Supramolecular Association via Hg···S Secondary-Bonding Interactions in Crystals of Organomercury(II) Species: A Survey of the Cambridge Structure Database
Abstract
1. Introduction
2. Methods
3. Results and Discussion
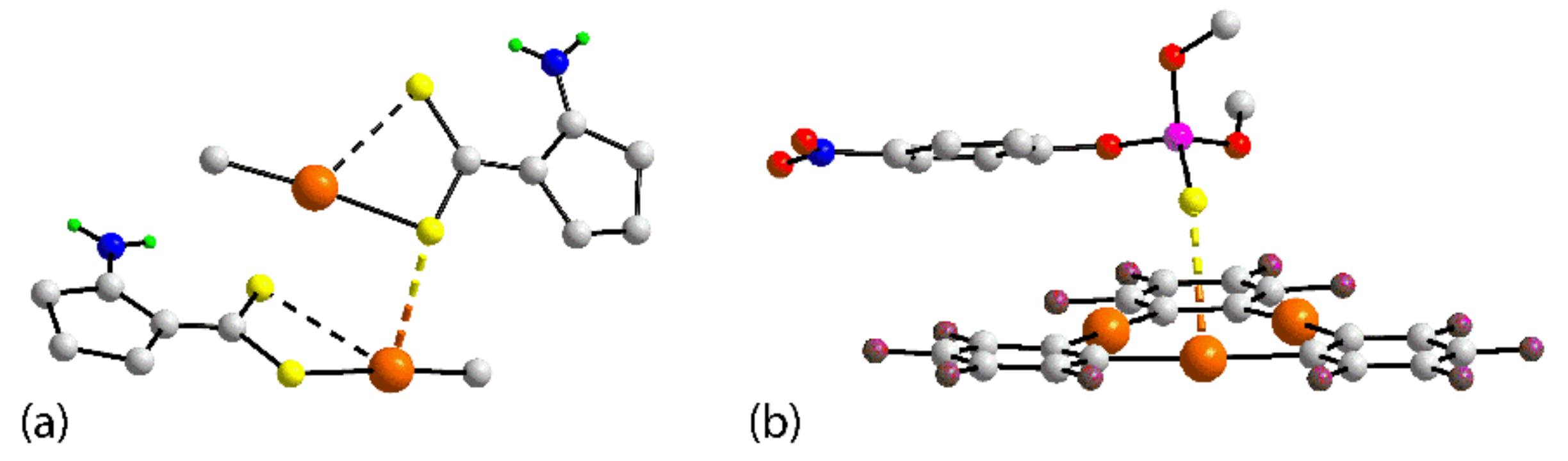
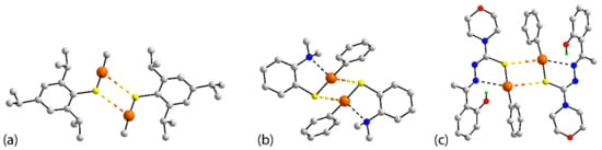
3.1. Zero-Dimensional Aggregates
3.2. One-Dimensional Assemblies
3.3. Two-Dimensional Assemblies
4. Overview
5. Conclusions
Supplementary Materials
Funding
Institutional Review Board Statement
Informed Consent Statement
Data Availability Statement
Conflicts of Interest
References
- Alcock, N.W. Secondary bonding to nonmetallic elements. Adv. Inorg. Chem. Radiochem. 1972, 15, 1–58. [Google Scholar] [CrossRef]
- Mulliken, R.S. Structures of complexes formed by halogen molecules with aromatic and with oxygenated solvents. J. Am. Chem. Soc. 1950, 72, 600–608. [Google Scholar] [CrossRef]
- Bent, H.A. Structural chemistry of donor-acceptor interactions. Chem. Rev. 1968, 68, 587–648. [Google Scholar] [CrossRef]
- Hassel, O. Structural Aspects of interatomic charge-transfer bonding. Science 1970, 170, 497–502. [Google Scholar] [CrossRef]
- Bauzá, A.; Alkorta, I.; Elguero, J.; Mooibroek, T.J.; Frontera, A. Spodium bonds: Noncovalent interactions involving Group 12 elements. Angew. Chem. Int. Ed. 2020, 59, 17482–17487. [Google Scholar] [CrossRef]
- Alkorta, I.; Elguero, J.; Frontera, A. Not only hydrogen bonds: Other noncovalent interactions. Crystals 2020, 10, 180. [Google Scholar] [CrossRef]
- Grabowski, S.J. The nature of triel bonds, a case of B and Al centres bonded with electron rich sites. Molecules 2020, 25, 2703. [Google Scholar] [CrossRef] [PubMed]
- Jabłoński, M. Study of beryllium, magnesium, and spodium bonds to carbenes and carbodiphosphoranes. Molecules 2021, 26, 2275. [Google Scholar] [CrossRef]
- Tiekink, E.R.T.; Winter, G. Inorganic xanthates: A structural perspective. Rev. Inorg. Chem. 1992, 12, 183–302. [Google Scholar] [CrossRef]
- Haiduc, I.; Sowerby, D.B. Stereochemical aspects of phosphor-1,1-dithiolato metal complexes: Coordination patterns, molecular structures and supramolecular associations in dithiophosphinates and related compounds. Polyhedron 1996, 15, 2469–2521. [Google Scholar] [CrossRef]
- Cox, M.J.; Tiekink, E.R.T. The diverse coordination patterns in the structures of zinc, cadmium and mercury bis(1,1-dithiolates). Rev. Inorg. Chem. 1997, 17, 1–23. [Google Scholar] [CrossRef]
- Tiekink, E.R.T. Molecular architecture and supramolecular association in the zinc-triad 1,1-dithiolates. Steric control as a design element in crystal engineering? CrystEngComm 2003, 5, 101–113. [Google Scholar] [CrossRef]
- Tiekink, E.R.T.; Haiduc, I. Stereochemical aspects of metal xanthate complexes: Molecular structures and supramolecular self-assembly. Prog. Inorg. Chem. 2005, 54, 127–319. [Google Scholar] [CrossRef]
- Tiekink, E.R.T. Exploring the topological landscape exhibited by binary zinc-triad 1,1-dithiolates. Crystals 2018, 8, 292. [Google Scholar] [CrossRef]
- Mahmoudi, G.; Masoudiasl, A.; Babashkina, M.G.; Frontera, A.; Doert, T.; White, J.M.; Zangrando, E.; Fedor, I.; Zubkov, F.I.; Safin, D.A. On the importance of π-hole spodium bonding in tricoordinated HgII complexes. Dalton Trans. 2020, 49, 17547–17551. [Google Scholar] [CrossRef]
- Mahmoudi, G.; Lawrence, S.E.; Cisterna, J.; Cárdenas, A.; Brito, I.; Frontera, A.; Safin, D.A. A new spodium bond driven coordination polymer constructed from mercury(II) azide and 1,2-bis(pyridin-2-ylmethylene)hydrazine. New J. Chem. 2020, 44, 21100–21107. [Google Scholar] [CrossRef]
- Gomila, R.M.; Bauzá, A.; Mooibroek, T.J.; Frontera, A. Spodium bonding in five coordinated Zn(II): A new player in crystal engineering? CrystEngComm 2021, 23, 3084–3093. [Google Scholar] [CrossRef]
- Gomila, R.M.; Bauzá, A.; Mooibroek, T.J.; Frontera, A. π-Hole spodium bonding in tri-coordinated Hg(II) complexes. Dalton Trans. 2021, 50, 7545–7553. [Google Scholar] [CrossRef]
- Alizadeh, V.; Mahmoudi, G.; Vinokurova, M.A.; Pokazeev, K.M.; Alekseeva, K.A.; Miroslaw, B.; Khandar, A.A.; Frontera, A.; Safin, D.A. Spodium bonds and metal–halogen ··halogen–metal interactions in propagation of monomeric units to dimeric or polymeric architectures. J. Mol. Struct. 2022, 1252, 132144. [Google Scholar] [CrossRef]
- Ciancaleoni, G.; Rocchigiani, L. Assessing the orbital contribution in the “spodium bond” by natural orbital for chemical valence−charge displacement analysis. Inorg. Chem. 2021, 60, 4683–4692. [Google Scholar] [CrossRef]
- Basak, T.; Gomila, R.M.; Frontera, A.; Chattopadhyay, S. Differentiating intramolecular spodium bonds from coordination bonds in two polynuclear zinc(II) Schiff base complexes. CrystEngComm 2021, 23, 2703–2710. [Google Scholar] [CrossRef]
- Kumar, P.; Frontera, A.; Pandey, S.K. Coordination versus spodium bonds in dinuclear Zn(II) and Cd(II) complexes with a dithiophosphate ligand. New J. Chem. 2021, 45, 19402–19415. [Google Scholar] [CrossRef]
- Kumar, P.; Banerjee, S.; Radha, A.; Firdoos, T.; Sahoo, S.C.; Pandey, S.K. Role of non-covalent interactions in the supramolecular architectures of mercury(II) diphenyldithiophosphates: An experimental and theoretical investigation. New J. Chem. 2021, 45, 2249–2263. [Google Scholar] [CrossRef]
- Wysokiński, R.; Zierkiewicz, W.; Michalczyk, M.; Scheiner, S. Anion⋯anion (MX3−)2 dimers (M = Zn, Cd, Hg; X = Cl, Br, I) in different environments. Phys. Chem. Chem. Phys. 2021, 23, 13853–13861. [Google Scholar] [CrossRef]
- Llull, R.; Montalbán, G.; Vidal, I.; Gomila, R.M.; Bauzá, A.; Frontera, A. Theoretical study of spodium bonding in the active site of three Zn-proteins and several model systems. Phys. Chem. Chem. Phys. 2021, 23, 16888–16896. [Google Scholar] [CrossRef]
- Rozhkov, A.V.; Katlenok, E.A.; Zhmykhova, M.V.; Kuznetsov, M.L.; Khrustalev, V.N.; Tugashov, K.I.; Bokach, N.A.; Kukushkin, V.Y. Spodium bonding to anticrown-Hg3 boosts phosphorescence of cyclometalated-PtII complexes. Inorg. Chem. Front. 2023, 10, 493–510. [Google Scholar] [CrossRef]
- Tiekink, E.R.T.; Zukerman-Schpector, J. Stereochemical activity of lone pairs of electrons and supramolecular aggregation patterns based on secondary interactions involving tellurium in its 1,1-dithiolate structures. Coord. Chem. Rev. 2010, 254, 46–76. [Google Scholar] [CrossRef]
- Lee, S.M.; Heard, P.J.; Tiekink, E.R.T. Molecular and supramolecular chemistry of mono- and di-selenium analogues of metal dithiocarbamates. Coord. Chem. Rev. 2018, 375, 410–423. [Google Scholar] [CrossRef]
- Tiekink, E.R.T. A survey of supramolecular aggregation based on main group element ··selenium secondary bonding interactions—A survey of the crystallographic literature. Crystals 2020, 10, 503. [Google Scholar] [CrossRef]
- Tiekink, E.R.T. Zero-, one-, two- and three-dimensional supramolecular architectures sustained by Se ··O chalcogen bonding: A crystallographic survey. Coord. Chem. Rev. 2021, 427, 213586. [Google Scholar] [CrossRef]
- Tiekink, E.R.T. Supramolecular aggregation patterns featuring Se⋯N secondary-bonding interactions in mono-nuclear selenium compounds: A comparison with their congeners. Coord. Chem. Rev. 2021, 443, 214031. [Google Scholar] [CrossRef]
- Tiekink, E.R.T. Te⋯N secondary-bonding interactions in tellurium crystals: Supramolecular aggregation patterns and a comparison with their lighter congeners. Coord. Chem. Rev. 2022, 457, 214397. [Google Scholar] [CrossRef]
- Tiekink, E.R.T. Supramolecular architectures featuring Se···N secondary-bonding interactions in crystals of selenium-rich molecules: A comparison with their congeners. CrystEngComm 2023, 25, 9–39. [Google Scholar] [CrossRef]
- Groom, C.R.; Bruno, I.J.; Lightfoot, M.P.; Ward, S.C. The Cambridge Structural Database. Acta Crystallogr. B Struct. Sci. Cryst. Eng. Mater. 2016, 72, 171–179. [Google Scholar] [CrossRef] [PubMed]
- Spek, A.L. checkCIF validation ALERTS: What they mean and how to respond. Acta Crystallogr. Sect. E Crystallogr. Commun. 2020, 76, 1–11. [Google Scholar] [CrossRef]
- Brandenburg, K.; Berndt, M. DIAMOND, Version 3.2k; GbR: Bonn, Germany, 2006. [Google Scholar]
- Bruno, I.J.; Cole, J.C.; Edgington, P.R.; Kessler, M.; Macrae, C.F.; McCabe, P.; Pearson, J.; Taylor, R. New software for searching the Cambridge Structural Database and visualizing crystal structures. Acta Crystallogr. Sect. B Struct. Sci. Cryst. Eng. Mater. 2002, 58, 389–397. [Google Scholar] [CrossRef]
- Tsunoda, M.; Gabbai, F.P. Complexation of methylparathion and bis(2-hydroxyethyl)sulfide by the tridentate lewis acid [(o-C6F4Hg)3]. Heteroat. Chem. 2005, 16, 292–297. [Google Scholar] [CrossRef]
- Lai, C.S.; Tiekink, E.R.T. Supramolecular association in organomercury(II) 1,1-dithiolates. Complementarity between Hg⋯S and hydrogen bonding interactions in organomercury(II) 2-amino-cyclopent-1-ene-1-carbodithioates. CrystEngComm 2003, 5, 253–261. [Google Scholar] [CrossRef]
- Singh, N.; Kumar, A.; Prasad, R.; Molloy, K.C.; Mahon, M.F. Syntheses, crystal, photoluminescence and electrochemical investigation of some new phenylmercury(II) dithiocarbamate complexes involving ferrocene. Dalton Trans. 2010, 39, 2667–2675. [Google Scholar] [CrossRef]
- Tiekink, E.R.T. Phenylmercury dithiolates. The crystal and molecular structures of (C6H5Hg(S2COR) (R = Me; iPr and (C6H5)Hg(S2CNEt2)). J. Organomet. Chem. 1987, 322, 1–10. [Google Scholar] [CrossRef]
- Prasad, R.; Yadav, R.; Trivedi, M.; Kociok-Köhn, G.; Kumar, A. The interplay of thiophilic and hydrogen bonding interactions in the supramolecular architecture of phenylmercury 4-hydroxypiperidine dithiocarbamate. J. Mol. Struct. 2016, 1103, 265–270. [Google Scholar] [CrossRef]
- Chieh, C.; Leung, L.P.C. Crystal structure and vibrational spectra of methyl N,N-diethyldithiocarbamato mercury(II). Can. J. Chem. 1976, 54, 3077–3084. [Google Scholar] [CrossRef]
- Singh, N.; Kumar, A.; Molloy, K.C.; Mahon, M.F. Syntheses, crystal and molecular structures, and properties of some new phenylmercury(II) dithiolate complexes. Dalton Trans. 2008, 4999–5007. [Google Scholar] [CrossRef] [PubMed]
- Singh, V.; Chauhan, R.; Kumar, A.; Bahadur, L.; Singh, N. Efficient phenylmercury(II) methylferrocenyldithiocarbamate functionalized dye-sensitized solar cells. Dalton Trans. 2010, 39, 9779–9788. [Google Scholar] [CrossRef] [PubMed]
- Lai, C.S.; Tiekink, E.R.T. Phenyl(N,N-di-n-propyldithiocarbamato)mercury(II). Appl. Organomet. Chem. 2003, 17, 194. [Google Scholar] [CrossRef]
- Singh, V.; Kumar, V.; Gupta, A.N.; Drew, M.G.B.; Singh, N. Effect of pyridyl substituents leading to the formation of green luminescent mercury(II) coordination polymers, zinc(II) dimers and a monomer. New J. Chem. 2014, 38, 3737–3748. [Google Scholar] [CrossRef]
- Selvaganapathi, P.; Thirumaran, S.; Ciattini, S. Synthesis, spectral, crystal structures, Hirshfeld surface analysis and DFT studies on phenylmercury(II) dithiocarbamate complexes and their utility for the preparation of mercury sulfide nanoparticles. J. Mol. Struct. 2017, 1148, 547–556. [Google Scholar] [CrossRef]
- Cadar, O.; Pöllnitz, A.; Mărgineanu, D.; Silvestru, C. Solid-state structure and solution behaviour of organomercury(II) compounds containing 2-(Me2NCH2)C6H4- moieties. Supramolecular aspects. Inorg. Chim. Acta 2017, 479, 90–97. [Google Scholar] [CrossRef]
- Yadav, M.K.; Rajput, G.; Gupta, A.N.; Kumar, V.; Drew, M.G.B.; Singh, N. Exploring the coordinative behaviour and molecular architecture of new PhHg(II)/Hg(II) dithiocarbamate complexes. Inorg. Chim. Acta 2014, 421, 210–217. [Google Scholar] [CrossRef]
- Abu-salem, Q. Synthesis, structural characterization and supramolecularity of (O-methyl dithiocarbonato)(N,N-dimethylaminophenyl) mercury(II). Synth. React. Inorg. Met.-Org. Nano-Met. Chem. 2016, 46, 821–827. [Google Scholar] [CrossRef]
- Vázquez-López, E.M.; Castiñeiras, A.; Sánchez, A.; Casas, J.S.; Sordo, J. Phenylmercury(II) dithiophosphates. Crystal structure of (O,O′-diethyldithiophosphate) phenylmercury(II). J. Crystallogr. Spectrosc. Res. 1992, 22, 403–409. [Google Scholar] [CrossRef]
- Zukerman-Schpector, J.; Vázquez-López, E.M.; Sánchez, A.; Casas, J.S.; Sordo, J. Synthesis and structural characterization of diphenldithiophosphinates of methyl- and phenylmercury(II). Crystal structure of MeHgS2PPh2. J. Organomet. Chem. 1991, 405, 67–74. [Google Scholar] [CrossRef]
- Tiekink, E.R.T. Aggregation patterns in the crystal structures of organometallic Group XV 1,1-dithiolates: The influence of the Lewis acidity of the central atom, metal- and ligand- bound steric bulk, and coordination potential of the 1,1-dithiolate ligands upon supramolecular architecture. CrystEngComm 2006, 8, 104–118. [Google Scholar] [CrossRef]
- Kuz’mina, L.G.; Struchkov, Y.T.; Rokhlina, E.M.; Peregudov, A.S.; Kravtsov, D.N. An X-ray structural study of non-valence interactions and coordination in organometallic compounds. 20. The crystal-structure of phenylmercury 2-dimethylaminothiophenolate. J. Struct. Chem. 1981, 22, 718–723. [Google Scholar] [CrossRef]
- Fernández, P.; Sousa-Pedrares, A.; Romero, J.; García-Vázquez, J.A.; Sousa, A.; Pérez-Lourido, P. Zinc(II), cadmium(II), mercury(II), and ethylmercury(II) complexes of phosphinothiol ligands. Inorg. Chem. 2008, 47, 2121–2132. [Google Scholar] [CrossRef] [PubMed]
- Biswas, S.; Mostafa, G.; Steele, I.M.; Sarkar, S.; Dey, K. Synthesis, crystal structures and luminescent properties of phenylmercury(II) complexes with thiohydrazone ligands having weak Hg···π and Hg···Hg interactions. Polyhedron 2009, 28, 1010–1016. [Google Scholar] [CrossRef]
- Aupers, J.H.; Howie, R.A.; Wardell, J.L. Structure of methyl(o-nitrobenzenethiolato)mercury. Polyhedron 1997, 16, 2283–2289. [Google Scholar] [CrossRef]
- Block, E.; Brito, M.; Gernon, M.; McGowty, D.; Kang, H.; Zubieta, J. Mercury(II) and methylmercury(II) complexes of novel sterically hindered thiolates: Carbon-13 and mercury-199 NMR studies and the crystal and molecular structures of [MeHg(SC6H2-2,4,6-Pr-iso3)], [Hg(SC6H4-2-SiMe3)2], [Hg(2-SC5H3N-3-SiMe3)2], and [Hg{(2-SC6H4)2SiMe2}]2. Inorg. Chem. 1990, 29, 3172–3181. [Google Scholar] [CrossRef]
- Lobana, T.S.; Rekha; Butcher, R.J.; Failes, T.W.; Turner, P. Crystal structures of organomercury(II) derivatives of cyclohexanone and benzaldehyde thiosemicarbazones. J. Coord. Chem. 2005, 58, 1369–1375. [Google Scholar] [CrossRef]
- Castiñeiras, A.; Hiller, W.; Strähle, J.; Bravo, J.; Casas, J.S.; Gayoso, M.; Sordo, J. Methyl- and phenyl-mercury(II) derivatives of 2-mercaptopyridine. Crystal and molecular structure of methyl(pyridine-2-thiolato)mercury(II). J. Chem. Soc. Dalton Trans. 1948, 1945–1948. [Google Scholar] [CrossRef]
- Martins, C.X.; Ferreira, G.B.; Howie, R.A.; Bordinhão, J.; Comerlato, N.M.; Wardell, J.L.; Wardell, S.M.S.V. Syntheses of bis(organomercury)1,3-dithiole-2-thione-4,5-dithiolates and related compounds: Crystal structure of bis(phenylmercury)1,3-dithiole-2-one-4,5-dithiolate. Inorg. Chim. Acta 2015, 429, 189–194. [Google Scholar] [CrossRef]
- Melnick, J.G.; Parkin, G. Cleaving mercury-alkyl bonds: A functional model for mercury detoxification by MerB. Science 2007, 317, 225–227. [Google Scholar] [CrossRef] [PubMed]
- Castaño, M.V.; Plasencia, M.M.; Macias, A.; Casas, J.S.; Sordo, J.; Castellano, E.E. Preparation and crystal structure of a binuclear compound of methylmercury(II) containing bismuthiol I as a bridging ligand. Daltons Trans. 1989, 1409–1411. [Google Scholar] [CrossRef]
- Tiekink, E.R.T. Crystal structure of a 1,2-phenylenedimercury dixanthate. J. Organomet. Chem. 1986, 303, C53–C55. [Google Scholar] [CrossRef]
- Almagro, X.; Clegg, W.; Cucurull-Sánchez, L.; González-Duarte, P.; Traveria, M. Schiff bases derived from mercury(II)–aminothiolate complexes as metalloligands for transition metals. J. Organomet. Chem. 2001, 623, 137–148. [Google Scholar] [CrossRef]
- Chojnacki, J.; Walaszewska, A.; Baum, E.; Wojnowski, W. 4-(Tri-tert-butoxysilylthiomercurio)benzoic acid. Acta Crystallogr. Sect. E Struct. Rep. 2003, 59, m125–m127. [Google Scholar] [CrossRef]
- Lafrance-Vanasse, J.; Maryse Lefebvre, M.; Di Lello, P.; Sygusch, J.; Omichinski, J.G. Crystal structures of the organomercurial lyase MerB in its free and mercury-bound forms: Insights into the mechanism of methylmercury degradation. J. Biol. Chem. 2009, 284, 938–944. [Google Scholar] [CrossRef]
- Casas, J.S.; Castiñeiras, A.; Sánchez, A.; Sordo, J.; Vázquez-López, E.M. Dicyclohexyldithiophosphinates and diethyldithiophosphinates of methylmercury(II) and phenylmercury(II): Crystal and molecular structure of [HgPh(S2PEt2)]. J. Organomet. Chem. 1984, 468, 1–6. [Google Scholar] [CrossRef]
- Bell, N.A.; Gelbrich, T.; Hursthouse, M.B.; Light, M.E.; Wilson, A. Reactions of trichlorovinylmercurials with potential non-chelating bidentate ligands. Crystal structures of [(C2Cl3)2Hg(4,4′-bipyridyl)] (1), [C2Cl3Hg(2-pyridyl thiolate)] (12) and polymeric HgBr2(2,2′-dipyridyl disulfide) (10). Polyhedron 2000, 19, 2539–2546. [Google Scholar] [CrossRef]
- Sattler, W.; Yurkerwich, K.; Parkin, G. Molecular structures of protonated and mercurated derivatives of thimerosal. Dalton Trans. 2009, 4327–4333. [Google Scholar] [CrossRef]
- Ghilardi, C.A.; Midollini, S.; Orlandini, A.; Vacca, A. Reactivity of the tripodal trithiol 1,1,1-tris(mercaptomethyl)ethane toward methyl- and ethyl-mercury halides. J. Chem. Soc. Dalton Trans. 1993, 3117–3121. [Google Scholar] [CrossRef]
- von Eschwege, K.; Muller, F.; Muller, A. [1,5-Bis(2-methoxyphenyl)thiocarbazonato-κ2N1,S]phenylmercury(II). Acta Crystallogr. Sect. E Struct. Rep. 2011, 67, m1804. [Google Scholar] [CrossRef] [PubMed]
- López-Torres, E.; Mendiola, M.A. Synthesis and molecular structures of methyl and phenylmercury(II) complexes with benzaldehyde-4,4-dimethylthiosemicarbazone. J. Organomet. Chem. 2013, 725, 28–33. [Google Scholar] [CrossRef]
- Bravo, J.; Casas, J.S.; Mascarenhas, Y.P.; Sánchez, A.; Santos, C.; Deo, P.; Sordo, J. Methyl(2-mercapto-4-methylpyrimidinato)mercury(II): A methylmercury(II) derivative with an unusual metal–metal interaction. J. Chem. Soc. Chem. Comm. 1986, 1100–1101. [Google Scholar] [CrossRef]
- Melnick, J.G.; Yurkerwich, K.; Buccella, D.; Sattler, W.; Parkin, G. Molecular structures of thimerosal (Merthiolate) and other arylthiolate mercury alkyl compounds. Inorg. Chem. 2008, 47, 6421–6426. [Google Scholar] [CrossRef] [PubMed]
- Kuz’mina, L.G.; Bokii, N.G.; Struchkov, Y.T.; Kravtsov, D.N.; Rokhlina, E.M. X-ray diffraction investigation of nonvalent interactions and coordination in organometallic compounds IV. Crystal and molecular structure of phenylmercury 2,6-dimethylthiophenolate. J. Struct. Chem. 1974, 15, 419–423. [Google Scholar] [CrossRef]
- López-Torres, E.; Mendiola, M.A.; Pastor, C.J. Mercury and methylmercury complexes with a triazine-3-thione ligand. Polyhedron 2006, 25, 1464–1470. [Google Scholar] [CrossRef]
- Nath, P.; Bharty, M.K.; Gupta, S.K.; Butcher, R.J.; Jasinski, J.P. (Benzylthiolato-κS)phenylmercury(II). IUCrData 2017, 2, x170503. [Google Scholar] [CrossRef]
- Wang, S.; Fackler, J.P., Jr. Organobimetallic complexes with Hg[CH2P(S)Ph2]2. Syntheses and characterization of two structural isomers of [HgAu(CH2P(S)Ph2)2]PF6 and the mercury precursor. Organometallics 1988, 7, 2415–2417. [Google Scholar] [CrossRef]
- Alcock, N.W.; Lampe, P.A.; Moore, P. Complexes of methylmercury(II) with dithiol ligands: Spectroscopic and crystallographic studies. The crystal structure of trans-1,2-dimercaptocyclohexanebis[methylmercury(II)], [Hg2Me2(S2C6H10)]. J. Chem. Soc. Dalton Trans. 1980, 1471–1474. [Google Scholar] [CrossRef]
- Lemos, S.S.; Martins, D.U.; Deflon, V.M.; Elena, J. Cationic and neutral phenylmercury(II) complexes with heterocyclic thione ligands. X-ray structures of [HgPh(dmpymtH)][BF4] H2O and [{HgPh}2(μ-dtu)]. Organometallics 2009, 694, 253–258. [Google Scholar] [CrossRef]
- Kuz’mina, L.G.; Struchkov, Y.T.; Rokhlina, E.M.; Kravtsov, D.N. X-ray structural study of nonvalence interactions and coordination in organometallic compounds. XXIV. Crystal-structure of phenylmercury quinoline-8-thiolate. J. Struct. Chem. 1983, 24, 764–770. [Google Scholar] [CrossRef]
- Baker, J.P. Mercury, Vaccines, and Autism. Am. J. Public Health 2008, 98, 244–253. [Google Scholar] [CrossRef] [PubMed]
- Schmidbaur, H.; Schier, A. Mercurophilic Interactions. Organometallics 2015, 34, 2048–2066. [Google Scholar] [CrossRef]
- Singh, V.; Kumar, A.; Prasad, R.; Rajput, G.; Drew, M.G.B.; Singh, N. The interplay of secondary Hg⋯S, Hg⋯N and Hg⋯π bonding interactions in supramolecular structures of phenylmercury(II) dithiocarbamates. CrystEngComm 2011, 13, 6817–6826. [Google Scholar] [CrossRef]
- Mocanu, T.; Kiss, L.; Sava, A.; Shova, S.; Silvestru, C.; Andruh, M. Coordination polymers and supramolecular solid-state architectures constructed from an organometallic tecton, bis(4-pyridyl)mercury. Polyhedron 2019, 166, 7–16. [Google Scholar] [CrossRef]
- Tiekink, E.R.T. On the coordination role of pyridyl-nitrogen in the structural chemistry of pyridyl-substituted dithiocarbamate ligands. Crystals 2021, 11, 286. [Google Scholar] [CrossRef]
- Dunitz, J.D.; Taylor, R. Organic fluorine hardly ever accepts hydrogen bonds. Chem. Eur. J. 1997, 3, 89–98. [Google Scholar] [CrossRef]
- Tiekink, E.R.T.; Zukerman-Schpector, J. A structural survey of metal⋯π heteroaromatic supramolecular synthons for metal = tellurium, tin, and gold. CrystEngComm 2009, 11, 2701–2711. [Google Scholar] [CrossRef]
- Caracelli, I.; Haiduc, I.; Zukerman-Schpector, J.; Tiekink, E.R.T. M⋯π(arene) interactions for M = gallium, indium and thallium: Influence upon supramolecular self-assembly and prevalence in some proteins. Coord. Chem. Rev. 2014, 283, 50–63. [Google Scholar] [CrossRef]
- Balmohammadi, Y.; Khavasi, H.R.; Naghavi, S.S. Existence of untypical halogen-involving interactions in crystal packings: A statistical and first-principles study. CrystEngComm 2020, 22, 2756–2765. [Google Scholar] [CrossRef]
- Politzer, P.; Murray, J.S. The use and misuse of van der Waals radii. Struct. Chem. 2021, 32, 623–629. [Google Scholar] [CrossRef]

























| Crystal | Hg···S | C–S···Hg | X–S···Hg | Y–Hg···S | C–Hg···S | CSD REFCODE | Ref. |
|---|---|---|---|---|---|---|---|
| 1 | 3.328(3) | 119.9(3) | Hg, 97.35(8) | S, 85.76(7) | 98.3(3) | IHOLEW | [39] |
| 2 | 3.278(5) | 86.1(3) | C, 90.4(3) | P, 154.3(2) | CEJNUB | [38] | |
| 3 | 3.0773(13) | 90.33(16) | S, 89.24(4) | 99.81(13) | FUPFEC | [40] | |
| 4a | 3.133(3) | 92.8(3) | S, 91.01(8) | 96.7(3) | FOKBIQ | [41] | |
| 3.191(3) | 86.7(3) | S, 91.13(8) | 97.4(3) | ||||
| 5 | 3.145(2) | 92.9(3) | S, 90.77(7) | 95.9(3) | LUWZOU | [42] | |
| 6 | 3.148(8) | 98.8(8) | S, 90.2(2) | 96.9(5) | MEDTHG | [43] | |
| 7 | 3.161(5) | 99.3(6) | S, 92.50(13) | 97.8(5) | FUPFIG | [40] | |
| 8 | 3.1727(13) | 90.01(17) | S, 91.81(4) | 98.17(13) | YOLJAL | [44] | |
| 9 | 3.174(3) | 94.6(4) | S, 89.94(7) | 99.6(3) | EKIYUT | [45] | |
| 10 | 3.1809(9) | 93.54(13) | S, 90.54(3) | 97.28(10) | GUVQUJ | [46] | |
| 11 | 3.181(3) | 98.5(4) | S, 93.27(9) | 95.5(3) | EKIYON | [45] | |
| 12 | 3.191(5) | 88.8(5) | S, 92.87(13) | 92.1(4) | FODRUN | [47] | |
| 13 | 3.2179(18) | 98.5(2) | S, 94.03(6) | 93.1(2) | YOLHUD | [44] | |
| 14 | 3.230(2) | 96.5(3) | S, 92.02(7) | 96.9(2) | FUPFAY | [40] | |
| 15 | 3.2479(15) | 93.80(18) | S, 91.65(4) | 92.53(14) | NEGRID | [48] | |
| 16a | 3.251(2) | 87.8(2) | S, 87.8(7) | 99.2(2) | HEGGOS | [49] | |
| 3.341(2) | 87.1(2) | S, 94.65(6) | 92.9(2) | ||||
| 17 | 3.252(4) | 93.2(6) | S, 92.47(14) | 95.6(5) | YOMXUV | [50] | |
| 18 | 3.2649(15) | 93.67(16) | S, 86.99(4) | 93.45(16) | LAJGOV | [51] | |
| 19 | 3.325(6) | P, 93.6(3) | S, 83.60(17) | 100.4(4) | YAHFIW | [52] | |
| 20 | 3.152(3) | P, 92.88(11) | S, 84.67(8) | 97.0(3) | VIHCUK | [53] |
| Crystal | Hg···S | C–S···Hg | Hg–S···Hg | S–Hg···S | C–Hg···S | CSD REFCODE | Ref. |
|---|---|---|---|---|---|---|---|
| 21 | 3.224(2) | 127.7(2) | 94.55(5) | 85.45(6) | 94.91(19) | BEBLUP | [55] |
| 22 | 3.2498(11) | 142.26(12) | 103.08(3) | 76.92(3) | 102.34(19) | VIYLAR | [56] |
| 23a | 3.250(2) | 148.0(3) | 90.33(6) | 90.61(6) | 83.4(2) | BORCIV | [57] |
| 3.289(2) | 146.6(3) | 89.26(6) | 89.79(6) | 89.78(19) | |||
| 24 | 3.256(2) | 136.92(2) | 106.86(7) | 73.14(6) | 108.7(3) | VIYLIZ | [56] |
| 25a | 3.257(4) | 130.3(3) | 105.61(14) | 74.39(13) | 103.4(6) | NEFDEH | [58] |
| 3.321(4) | 131.2(3) | 107.25(14) | 72.75(13) | 103.7(4) | |||
| 26 | 3.269(4) | 134.6(4) | 100.63(13) | 79.37(12) | 104.2(6) | JETYEM | [59] |
| 27 | 3.2758(11) | 150.17(12) | 102.88(4) | 77.12(3) | 88.04(10) | PAVVOY | [60] |
| 28 | 3.322(4) | 139.9(4) | 104.14(11) | 75.86(10) | 101.6(3) | DOMCAJ01 | [61] |
| 29 | 3.3014(11) | 83.54(16) | 95.98(4) | 80.02(4) | 101.51(13) | HUBRON | [62] |
| Crystal | Hg···S | X–S···Hg | Y–S···Hg | C–Hg···S | S–Hg···S | CSD REFCODE | Ref. |
|---|---|---|---|---|---|---|---|
| 30 | 3.206(2) | C, 88.1(2) | S, 83.05(5) | 96.7(2) | CIJPOB | [63] | |
| 31 | 3.2463(15) | C, 98.29(17) | S, 83.03(4) | 93.9(3) | CIJPIV | [63] | |
| 32 | 3.2523(6) | C, 99.88(7) | S, 84.542(16) | 93.89(8) | CIJQAO | [63] | |
| 33 | 3.349(12) | C, 90(1) | Hg, 88.7(3) | 94(2) | 85.9(4) | KAPWUT | [64] |
| 34 | 3.348(5) | C, 99.9(6) | 97.7(4) | 82.91(15) | FAZBOX | [65] | |
| 35a | 3.316(8) | C, 137(1) | Hg, 102.2(2) | 106(1) | 77.8(2) | QUGVUJ | [66] |
| 3.294(8) | C, 107(1) | Hg, 97.4(2) | 90(1) | 93.1(2) | |||
| 36a | 3.2465(15) | Si, 138.66(7) | Hg, 95.0(4) | 97.33(13) | 88.83(4) | XUYROY | [67] |
| 3.3737(15) | Si, 138.23(8) | Hg, 92.27(4) | 96.46(13) | 83.92(4) | |||
| 3.2365(16) | Si, 151.10(8) | Hg, 104.34(5) | 95.54(13) | 87.11(5) | |||
| 37b | 3.306(5) | C, 86.3(5) | Hg, 95.03(12) | 97.0(3) | 84.97(12) | FOKBEM | [41] |
| 3.329(4) | C, 118.3(5) | 94.7(4) | 80.91(13) | ||||
| 3.332(4) | C, 86.1(5) | Hg, 97.51(13) | 93.4(4) | 85.19(9) |
| Crystal | Hg···S | C–S···Hg | X–S···Hg | C–Hg···S | Y–Hg···S | CSD REFCODE | Ref. |
|---|---|---|---|---|---|---|---|
| 38 | 3.182(3) | P, 119.32(2) | 91.9(4) | S, 91.12(7) | LENZIN | [69] | |
| 39 | 3.330(7) | 108.4(8) | Hg, 89.1(2) | 98.5(7) | S, 89.1(2) | QIQHIH | [70] |
| 40a | 3.3247(13) | 128.08(17) | Hg, 90.72(4) | 99.09(16) | S, 90.72(4) | XUHREY | [71] |
| 3.2613(13) | 112.99(17) | Hg, 90.14(4) | 94.48(14) | S, 90.14(4) | |||
| 3.2851(13) | 117.01(17) | Hg, 85.13(4) | 104.42(14) | S, 71.15(4) | |||
| 41b | 3.212(6) | 100.8(7) | Hg, 112.6(2) | 93.1(7) | S, 98.12(19) | WAYPAN | [72] |
| 3.344(7) | 104.1(8) | Hg, 116.4(2) | 98.0(2) | S, 91.6(8) | |||
| 3.311(7) | 100.5(8) | Hg, 129.4(2) | 87.0(8) | S, 97.9(2) | |||
| 42 | 3.2929(10) | 100.79(14) | Hg, 81.11(3) | 86.43(11) | S, 93.96(3) | OBIZAC | [73] |
| 43 | 3.293(5) | 97.5(5) | Hg, 102.31(17) | 92.5(6) | S, 90.48(16) | NESRUA | [74] |
| 44 | 3.324(11) | 89.3(8) | Hg, 117.9(3) | 92(1) | S, 91.6(3) | DOYFIG | [75] |
| 45 | 3.184(7) | 140.2(6) | Hg, 92.29(12) | 97.4(7) | S, 85.23(16) | QUGVIX | [66] |
| 3.251(7) | 132.7(7) | Hg, 94.59(12) | 97.8(7) | S, 83.69(16) | |||
| 3.229(5) | 107.8(7) | Hg, 109.91(8) | 95.0(5) | S, 89.87(13) | |||
| 46 | 3.226(2) | 108.6(3) | Hg, 96.60(7) | 96.4(3) | S, 81.75(8) | DOFNOC | [76] |
| 3.312(2) | 145.0(3) | Hg, 94.79(7) | 101.9(3) | S, 79.58(7) | |||
| 3.272(2) | 108.5(3) | Hg, 119.07(8) | 92.6(3) | S, 89.53(7) | |||
| 47 | 3.254(5) | 92.7(5) | Hg, 85.66(13) | 94.7(5) | S, 93.07(16) | YOMXIJ | [50] |
| 48 | 3.0809(10) | 87.97(13) | Hg, 109.03(4) | 94.35(13) | S, 85.62(3) | XUHREY01 | [71] |
| 49 | 3.183(15) | 114(1) | Hg, 102.1(4) | 100(2) | S, 86.4(4) | PHGMSP | [77] |
| 50 | 3.3251(17) | 87.6(2) | Hg, 133.46(6) | 101.2(2) | S, 78.08(5) | OCOLEY | [78] |
| 51 | 3.290(3) | 88.6(3) | Hg, 95.82(7) | 95.7(3) | S, 86.23(7) | LAWTUB | [79] |
| 52 | 3.179(5) | P, 103.6(2) | 89.0(5) | C, 91.6(5) | GILNOE | [80] | |
| 53 | 3.296(4) | 104.2(2) | Hg, 105.28(13) | 96.5(7) | S, 86.56(15) | CHMEHG | [81] |
| 54 | 3.303(4) | 83.6(4) | Hg, 114.98(12) | 95.7(4) | S, 79.66(11) | LOPGUT | [82] |
| 55 | 3.268(3) | 91.1(4) | 96.6(3) | S, 83.52(9) | FUPFOM | [40] | |
| 3.303(3) | 91.7(4) | 95.4(3) | S, 84.37(9) | ||||
| 56 | 3.249(11) | 100.7(3) | Hg, 93.99(18) | 92.1(7) | S, 89.40(18) | CECWOW | [83] |
| 3.350(6) | 102.3(2) | Hg, 95.6(2) | 94.0(7) | S, 87.74(18) | |||
| 57 | 3.1797(17) | 94.64(15) | 96.72(17) | S, 90.45(4) | IHOLEW01 | [39] | |
| 3.3501(12) | 145.95(16) | Hg, 111.66(4) | 105.81(17) | S, 68.34(4) | |||
| 58b | 3.240(3) | 131.4(4) | Hg, 95.18(10) | 96.3(5) | S, 84.82(10) | QUGVOD | [66] |
| 3.251(3) | 131.3(4) | Hg, 91.80(11) | 93.5(4) | S, 88.20(11) | |||
| 3.128(3) | 111.9(4) | Hg, 106.76(11) | 92.8(5) | S, 88.27(10) | |||
| 3.160(3) | 107.3(4) | Hg, 108.01(11) | 93.1(4) | S, 87.11(10) | |||
| 59 | 3.2491(14) | 127.22(17) | Hg, 96.07(5) | 97.3(2) | S, 83.93(4) | DOFNIW | [75] |
| 3.2406(13) | 109.2(2) | Hg, 104.36(5) | S, 94.80(19) | S, 88.65(4) |
| Crystal | Hg···S | X–S···Hg | Y–S···Hg | C–Hg···S | Z–Hg···S | CSD REFCODE | Ref. |
|---|---|---|---|---|---|---|---|
| 60 | 3.1834(11) | C, 98.61(13) | 90.88(12) | 93.66(3) | IHOLIA | [39] | |
| 3.2269(10) | C, 102.17(12) | 101.38(10) | 81.60(3) | ||||
| 61 | 3.203(5) | C, 122.7(7) | 79.0(2) | C, 100.5(5) | EBUSIF | [86] | |
| 62 | 3.2960(12) | Ni, 109.33(4) | P, 165.54(7) | 88.58(17) | S, 177.17(3) | COCJUC | [87] |
| 91.42(17) |
Disclaimer/Publisher’s Note: The statements, opinions and data contained in all publications are solely those of the individual author(s) and contributor(s) and not of MDPI and/or the editor(s). MDPI and/or the editor(s) disclaim responsibility for any injury to people or property resulting from any ideas, methods, instructions or products referred to in the content. |
© 2023 by the author. Licensee MDPI, Basel, Switzerland. This article is an open access article distributed under the terms and conditions of the Creative Commons Attribution (CC BY) license (https://creativecommons.org/licenses/by/4.0/).
Share and Cite
Tiekink, E.R.T. Supramolecular Association via Hg···S Secondary-Bonding Interactions in Crystals of Organomercury(II) Species: A Survey of the Cambridge Structure Database. Crystals 2023, 13, 385. https://doi.org/10.3390/cryst13030385
Tiekink ERT. Supramolecular Association via Hg···S Secondary-Bonding Interactions in Crystals of Organomercury(II) Species: A Survey of the Cambridge Structure Database. Crystals. 2023; 13(3):385. https://doi.org/10.3390/cryst13030385
Chicago/Turabian StyleTiekink, Edward R. T. 2023. "Supramolecular Association via Hg···S Secondary-Bonding Interactions in Crystals of Organomercury(II) Species: A Survey of the Cambridge Structure Database" Crystals 13, no. 3: 385. https://doi.org/10.3390/cryst13030385
APA StyleTiekink, E. R. T. (2023). Supramolecular Association via Hg···S Secondary-Bonding Interactions in Crystals of Organomercury(II) Species: A Survey of the Cambridge Structure Database. Crystals, 13(3), 385. https://doi.org/10.3390/cryst13030385
