Abstract
Side-chain liquid crystal elastomers (SC-LCEs) have been designed by using a new smectic crosslinker. Two types of monodomain films were prepared based on polysiloxane chains, with a different relative concentration of both crosslinker and mesogenic comonomers. The mesomorphic behavior of the two SC-LCE systems was investigated by differential scanning calorimetry and polarized optical microscopy showing a different mesomorphic behavior: in one case, we obtained a nematic SC-LCE film, in the other case, a Smectic A SC-LCE film. In both systems, the mesophases were stable in a wide temperature range. Moreover, the SC-LCE films possess a relatively high orientation at room temperature. The physical-chemical properties, such as the local orientational ordering, structural organization, and dynamics of SC-LCEs’ constituents were studied by means of static and dynamic 2H NMR experiments, small-angle X-ray, and wide-angle X-ray diffractions. The relevant physical properties, such as the thermo-elastic and thermo-mechanic behaviors, are reported and discussed in view of the practical applications.
1. Introduction
Liquid crystalline elastomers (LCEs) [1,2,3,4] represent an exciting class of soft materials with specific chemical and physical properties suitable for applications as artificial muscles, actuator systems, and sensors [5,6,7]. The soft and super-soft elasticity of LCEs [8] is related, on one side, to the presence of polymer networks, and, on the other side, to liquid crystalline molecules, which can be inserted as comonomers in side-chain liquid crystalline elastomers (SC-LCEs) or directly in the polymer main chain, in main-chain liquid crystalline elastomers (MC-LCEs) [9]. In addition to the deeply investigated structural and physical properties of a thermally induced actuator based on LCEs [10,11,12,13,14,15,16,17,18,19,20], an increasing number of papers concerns the application of external stimuli, such as UV–vis light, microwaves and infrared waves, and electric and magnetic fields, to obtain controlled and reversible shape deformations in LCE-based systems. For instance, UV–visible light can be used to induce reversible local geometric deformations in LCEs containing azo-mesogens or other photosensitive molecules, as crosslinkers, comonomers, or dopants [21,22,23,24,25], which are at the basis of several applications in the field of optical tunable gratings and light-driven motors. LCE-based materials responsive to infrared radiations were prepared by inserting carbon nanotubes or graphene sheets into the LCE matrix [26,27,28]. On the contrary, microwave irradiation was demonstrated to be effective in reaching macroscopic reversible deformations in pristine LCEs [29]. The synthesis and preparation of polymer composites based on LCEs, as a polymeric soft matrix [30,31,32,33,34,35], and electro-active or magneto-active nanostructured objects is another field under great development due to the potential applications in micro-robotics. Moreover, in recent years, research efforts have been focused on the processing of LCE three-dimensional actuators [36], highly orientable soft–soft composites with the capability to obtain different geometric actuations [37], LCE-based systems with high resolution shape-memory behaviors [38,39,40], and new synthetic approaches [41,42] to prepare LCEs with peculiar properties, such as flexoelectricity [43] and giant lateral electrostriction [44].
The interest in new LCE-based materials related to their rich variety of applications is a great stimulus also for the development of physical models at the meso-scale [8,45,46,47] and for the better understanding of these systems at the molecular and supramolecular scale [15,16,17,18,48,49,50,51]. In this regard, several experimental techniques, such as Deuterium Nuclear Magnetic Resonance (2H NMR), are successfully applied to LCEs selectively labelled by deuterium in different positions (crosslinkers or comonomers) [18,33,52,53,54,55,56] or doped with small deuterated probes [57,58,59,60]. Static 2H NMR experiments are helpful for elucidating the nature of the isotropic (Iso) to mesophase transition [61,62], which in most of the cases is a nematic phase, while in much less of the cases is a smectic phase [11,12,13,14]. Moreover, both 2H NMR and calorimetric investigations demonstrated the presence of the paranematic phase in LCEs, characterized by a small, but detectable, local order at temperatures above the clearing point [54,55,56,57]. The possibility to prepare LCE systems selectively labelled on the crosslinker and on different comonomers allowed us to obtain an insight into a local molecular order [54,55,56], local heterogeneities and misalignments [57], as well as different scales of molecular dynamics of the different molecular fragments [53]. The structural and orientational properties of LCEs in the nematic and smectic phases can be obtained by NMR and X-ray diffraction [18,63], while the combination between thermomechanical and stress–strain investigations was important to fully characterize the mechanical properties of monodomain LCEs and their behavior at isotropic–nematic, isotropic–smectic A, and nematic–smectic A phase transitions [16].
In this paper, we are reporting on the design and preparation of new SC-LCEs based on polysiloxane chains, containing a smectic crosslinker and two mesogenic comonomers. The two comonomers, a nematogen and a smectogen, mixed in different relative concentrations, allowed us to obtain two SC-LCE samples with a nematic phase or a smectic A phase, both stable in a reasonably broad temperature range. These new SC-LCEs were investigated and prepared in the polydomain and in the monodomain aligned forms. Differential scanning calorimetry (DSC), polarizing optical microscopy (POM), small-angle X-ray (SAXS), and wide-angle X-ray (WAXS) diffractions were performed to fully characterize the mesophase behavior and the main structural features of the two types of side-chain liquid crystalline elastomers. The thermo-mechanic and stress–strain properties of the SC-LCEs in the monodomain form were also measured. Moreover, the SC-LCE sample showing a direct transition from the isotropic to the Smectic A phase was also prepared in its deuterated form, by using a deuterium-labelled nematic comonomer, and it was studied by means of 2H NMR static and dynamic experiments. The orientational and dynamic properties of the smectic A SC-LCE sample obtained from 2H NMR are finally discussed in view of the recent advances in liquid crystalline elastomers.
2. Materials and Methods
2.1. Liquid Crystalline Crosslinker
The molecular structure of the smectic crosslinker, labelled ‘C’, is reported in Scheme 1.
Scheme 1.
Molecular structure of the crosslinker, labelled ‘C’.
The synthesis of the smectic crosslinker is reported in ref. [64]. The mesomorphic behavior, as determined by differential scanning calorimetry (DSC), and confirmed by polarizing optical microscopy (POM), is shown in Table 1.
Table 1.
Mesophase transitions determined by DSC (cooling rate of 5 K/min) of the sample labelled ‘C’. Phase transition temperatures (T, °C) and phase transition enthalpy (ΔH, J/g) measured at the second DSC cycle are shown. The values of melting point (m.p.) and clearing point (c.p.) (measured on heating) are reported.
2.2. Liquid Crystalline Elastomers
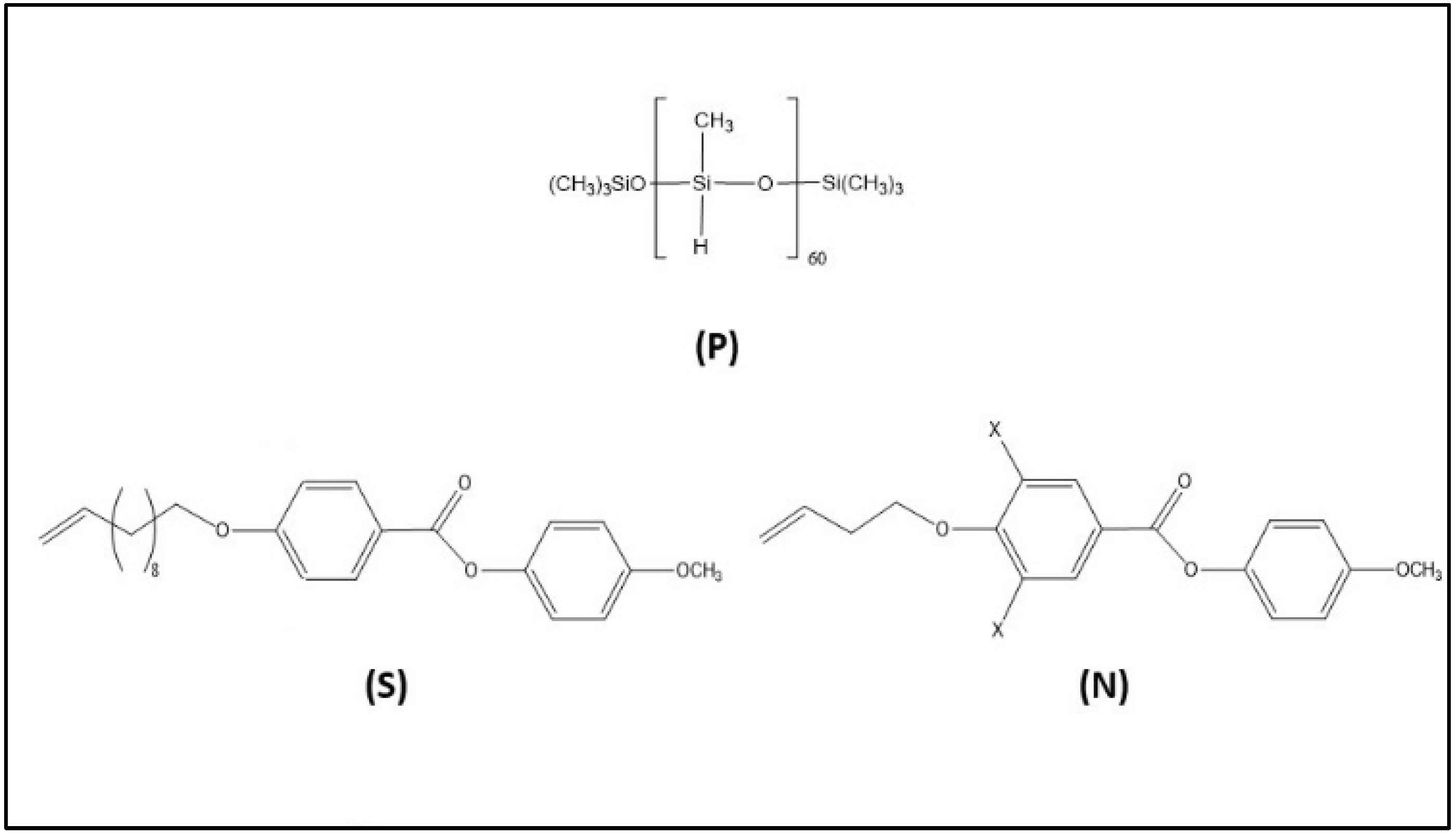
The SC-LCE samples were prepared using the well-known two-step crosslinking procedure [65], in the form of polydomains (not oriented) and monodomain (oriented) samples. The basic chemical components are shown in Figure 1 and Scheme 1. Two comonomers, namely the 4- methoxyphenyl 4-(but-3-en-1-yloxy) benzoate nematogen (denoted by M4) and the 4-methoxyphenyl 4-(undec-10-en-1-yloxy) benzoate smectogen (denoted by M11), were used, in different relative concentrations, to obtain a nematic or a smectic SC-LCE sample. The synthetic procedure and the characterization of the two comonomers is reported elsewhere [18,66,67]. For the preparation of each SC-LCE sample, 1 mmol of hydroxymethyl polysiloxane (P in Figure 1) was mixed with ‘c’/2 mmol% of the smectic crosslinker ‘C’ (Scheme 1), ‘n’ mmol% of nematogen M4 (N in Figure 1), and ‘s’ mmol% of smectogen M11 (S in Figure 1) in 2 mL of anhydrous toluene. Then, 30 μL of 71 mmol/l Pt-catalyst solution (Dichloro (1,5-cyclooctadiene) platinum (II) from Fischer scientific, dissolved in CH2Cl2) was added.
Figure 1.
Compounds used in the synthesis of LCE systems: (P) hydroxymethyl polysiloxane polymeric chain; (S) smectic comonomer, M11; (N) nematic comonomer, M4. X = 1H for the not labelled SC-LCEs, while X = 2H for the deuterated SC-LCEs. (The structure of the crosslinker, C, is shown in Scheme 1).
The resulting pre-polymerization mixture was then filtered into a cylindrical form for the first step of the crosslinking reaction inside a centrifuge (a rate of 5500 rpm, temperature of 343 K, and reaction time of 70 min). The resulting partially crosslinked LCE film gel was then cut into stripes to be mechanically strained. The second step of the crosslinking reaction to obtain the monodomain SC-LCEs was performed under progressive weights from 3 mg to 10 mg for each stripe. The elongated SC-LCE films were further crosslinked at 70 °C overnight. A representation of the two SC-LCE films in the oriented and aligned phase showing the molecular components (P, N, S, and C) is reported in Scheme 2.
Scheme 2.
Sketch of the two types of monodomain SC-LCEs: the aligned nematic film (SC-LCE 1) and the aligned smectic film (SC-LCE 2), with an ideal representation of the different components and their alignment with respect to the phase director, .
Two types of SC-LCEs, denoted as SC-LCE 1 and SC-LCE 2, were prepared with the values of mmol%, namely ‘c’, ‘n’, and ‘s’, reported in Table 2. The sample with a higher concentration of nematogen, M4, called SC-LCE 1, has a nematic phase stable in a wide range of temperatures, while the sample with the higher concentration of the smectogen M11, called SC-LCE 2, exhibits a smectic A phase, stable in a very wide temperature range. The SC-LCE 2 was also prepared in its deuterated form (labelled ‘SC-LCE 2 (D)’) by using the deuterated mesogen, M4-d2, deuterium labelled on the aromatic ring close to the polymerizable bond (see Figure 1) [18].
Table 2.
Mesophase transitions determined by DSC (cooling rate of 5 °C/min) of the samples labelled ‘SC-LCE 1′, ‘SC-LCE 2′, and ‘SC-LCE 2 (D)’. Temperature transitions (T, °C), transition enthalpy (ΔH, J/g), and thermal capacity (Cp, J/g °C) are reported. All values correspond to the second cooling run.
2.3. Mesomorphic Properties (DSC and POM)
The sequence of phases and phase transition temperatures were determined on heating/cooling to/from the isotropic phase by the identification of the characteristic textures and their changes observed in a polarizing optical microscope (POM NICON ECLIPSE E600POL). In the case of LCE films, they have been inserted between two glasses. The LCE film’s thickness is about 150 μm and the director is aligned along the direction of the elongation of the film (pre-determined during the preparation of the monodomain SC-LCEs). The LINKAM LTS E350 heating stage with a TMS 93 temperature programmer was used for the temperature control, which enabled the temperature stabilization within ±0.1 °C. The phase transition temperatures and transition enthalpies were evaluated from differential scanning calorimetry (DSC Pyris Diamond, Perkin-Elmer 7) on cooling and heating the sample at a rate of 5 °C/min. The sample (10 mg) hermetically sealed in an aluminum pan was placed in a nitrogen atmosphere. The temperature was calibrated on the extrapolated onsets of the melting points of water, indium, and zinc. The enthalpy change was calibrated on the enthalpies of the melting of water, indium, and zinc. The mesomorphic behavior of the LCEs has been studied by DSC on heating and subsequent cooling (5 °C/min). Each sample was placed into a DSC sample cell holder at room temperature, cooled to −40 °C and, after 5 min, heated to 140 °C, maintained at this temperature for 1 min, cooled to −40 °C and, after 2 min, reheated once again. Several heating/cooling runs were performed, showing the perfect reproducibility of the resulting DSC curves.
2.4. 2H NMR Measurements
2H NMR static experiments were carried out with a Bruker Advance III 500 MHz high resolution solid-state NMR spectrometer, equipped with an 11.74 T Bruker Ultrashield superconducting magnet. The deuterium Larmor frequency was of 76.753 MHz. The spectra were recorded as a function of the temperature, on heating and on cooling, by applying the quadrupolar echo [68] sequence with a calibrated 90 degrees pulse of 7.5 μs. The echo delay was fixed to 50 μs, the delay was 20 μs, and the delay between the consecutive acquisitions was 30 ms. The measurements of the monodomain LCE stripes was performed as described in ref. [55]. The number of scans was set between 51,200 and 102,400 at each acquired temperature depending on the sample. The temperature control was of an approximately 0.1 K of accuracy and the thermal equilibration of the sample was about 15 min at each temperature. The 2H spin–lattice relaxation times, T1, were measured by applying the pulse sequence (90° − τ − 90° − τ1 − 90° − τ2 − ACQ) [68]. The experimental parameters are those reported in ref. [53]. The T1 values were determined by fitting the experimental magnetization intensities as a function of τ by using the following equation:
The 2H spin–spin relaxation times, T2, were measured by applying the solid-echo sequence (90° − τ − 90° − τ − ACQ) and EXORCYCLE phase cycling [69,70] with the parameters reported in ref. [53]. The T2 values were determined by fitting the experimental magnetization intensities according to the equation:
Top Spin Software for the Bruker Advance III console was used to process the 2H NMR spectra and to obtain the main spectral parameters. The calculated NMR properties and the elaboration of the spectral parameters were mostly obtained by using home-made programs written in Mathematica 5.0 software for PC (copyright 1988–2003, Wolfram Research, Inc., Champaign, IL, USA).
2.5. X-ray Diffraction
Small-angle X-ray diffraction (SAXS) studies were conducted using Bruker NanoStar system (CuKα radiation, cross-coupled Goebel mirrors, three pinhole collimation system, MRI heating stage, and Vantec-2000 area detector). Wide-angle X-ray diffraction patterns were collected with the Bruker GADDS system (CuKα radiation, Goebel mirror, point beam collimator system, adapted Linkam heating stage, Vantec-2000 area detector). The samples of the SC-LCE stripes in the monodomain alignment were measured in transmission mode. SAXS measurements were also performed on the smectogen crosslinker, ‘C’ sample, in the bulk, on cooling the sample from the isotropic phase to the crystalline phase.
2.6. Thermo-Mechanic and Elastic Measurements
The thermo-mechanic measurements of the monodomain SC-LCEs have been performed on a home-built computer-controlled setup comprising a temperature-controlled cell, a strain gauge, and a linear actuator for the stretching of the samples, which allowed for the simultaneous measurement of the temperature, force, and sample length, L(T). The variations of the SC-LCE length were recorded as a function of the temperature at different heating–cooling rates by using a constant-force feedback loop with a minimal force of about 1 mN. The same apparatus has been used to measure the elastic modulus by stretching the LCE film and simultaneously recording the applied stress.
3. Results and Discussion
3.1. Mesophase Properties of the Crosslinker ‘C’
The new SC-LCEs were prepared by using a crosslinker, labelled ‘C’ (see Scheme 1 and Table 1), which shows a series of tilted smectic phases, as evidenced by the formation of schlieren-type optical textures in samples with one free surface (Figure 2). Similar POM images were observed in other smectic LCs [71].
Figure 2.
Optical textures observed in liquid crystalline phases of crosslinker ‘C’ for sample with one free surface: (A) SmC at 185 °C, (B) SmI at 145 °C, and (C) SmJ at 130 °C. The width of the pictures is about 100 μm.
Small-angle X-ray diffraction measurements allowed for the determination of the temperature dependence of the layer spacing, d, (Figure 3). Consistent with the tilted arrangement of the molecules within smectic layers, the d values were found to be considerably smaller than the estimated molecular length, L ~ 52 Å (Gaussian 98 with b3lyp/3–21 g) [72]. The observed increase in the layer spacing during the cooling might be attributed to the increase in the orientational order of the molecules, causing the growth of the effective molecular length in the mesophases. The phase sequence ‘SmC–SmI–SmJ’ has been observed in other smectic LCs and it corresponds to an increase in the ordering from a short range (SmC) to a long-range order (SmJ), which is also associated with the appearance of a 2D structure, typically a hexatic one, in the smectic phase [73].
Figure 3.
Temperature dependence of the layer distance, d (Å), of the smectogen ‘C’. In the inset, a scheme showing relation between the molecular length, L, of the most extended conformer and the layer spacing, d, for tilted smectic.
3.2. Mesophase and Structural Properties of the New SC LCEs
In this work, the smectogen ‘C’ was used as a crosslinker to prepare the new SC-LCEs in the polydomain and in the monodomain forms. The relative concentration of the crosslinker was chosen from 10% to 15%, according to the literature [18,52], with the aim of preparing mechanically robust LCEs. Relative concentrations of all chemical components of the new SC-LCEs are reported in Table 2. Despite the flexibility of the smectogen (see also its molecular structure in Figure 3), to guarantee the soft and elastic properties of the new SC-LCEs, a mixture of two standard mesogens, namely M4 and M11, was chosen. These two comonomers were widely studied by means of different techniques [16,18,53,54,55,74] and they were used to prepare a series of SC-LCEs showing the nematic and the Smectic A phases [16,18]. Based on previous studies [16,18,53,74], the relative concentration of the two co-monomers, M4 and M11, was selected to obtain a nematic SC-LCE (M4:M11 of 50/35) and a smectic A SC-LCE (M4:M11 of 20/70). As expected, these two different relative concentrations of the nematogen M4 and the smectogen M11 are optimal to obtain SC-LCEs with a single phase (nematic or smectic A) stable in a very wide temperature range. The mesomorphic behavior of the two samples, SC-LCE 1 and SC-LCE 2, as determined by DSC, are reported in Table 2. For each SC-LCEs, several samples were prepared in the form of polydomain and oriented monodomain stripes. A selection of the representative microphotographs obtained during POM observations on the monodomain smectic SC-LCE 2 sample is shown in Figure 4.
Figure 4.
Microphotographs of the textures for SC-LCE 2 elastomer: (A) texture at room temperature (27 °C); (B) texture of the SmA phase (60 °C); (C) texture of the SmA phase (110 °C); (D) texture of the Iso-SmA phase transition (118 °C). The width of the pictures is about 200 μm.
The birefringence phenomenon due to the aligned smectic domains of the thin film is clearly observed by decreasing the temperature from the isotropic phase, confirming the occurrence of an ordered phase. It should be noted that the smectic A liquid crystalline elastomer in the form of monodomain stripes shows no defects in the morphology at a macroscopic level; in fact, the film appears completely transparent, thus confirming the very good homogeneous alignment.
The two SC-LCE monodomain stripes were investigated by X-ray diffraction. An X-ray diffraction pattern of an aligned SC-LCE 1 (Figure 5A) taken at room temperature is typical for the nematic phase, where only broad diffuse signals are observed in small-angle and in the wide-angle regions. In the pattern of the SC-LCE 2 (Figure 5B), a series of sharp commensurate signals is seen in small-angle range, while the high-angle signal, positioned at the orthogonal azimuthal direction with respect to small-angle signals, is similar to that observed for SC-LCE 1. Such a pattern is characteristic for a well-aligned lamellar structure showing no long-range positional correlations within the layers; thus, it is fully consistent with the smectic A phase assignment.
Figure 5.
Typical X-ray diffraction patterns: (A) monodomain SC-LCE 1 in the nematic phase at 25 °C; (B) monodomain SC-LCE 2 in the Smectic A phase at 25 °C.
Figure 6 reports the evolution of small-angle XRD patterns as a function of the temperature for the monodomain SC-LCE 2 sample. In the smectic A phase, a small increase in the layer’s thickness is observed (from 31.8 Å to 32.8 Å, with a positive thermal expansion coefficient of the order of 0.01 Å/K). It should be noted that the smectic layer periodicity is slightly larger than the length of the smectogen comonomer, M11, which is about 28.8 Å (see Figure 6). This feature can be explained by taking into account that the polymer backbone and the crosslinker ‘C’ also contributes to the average thickness of the smectic layers and influences the structure of the smectic domains. Moreover, the values of d of the SC-LCE 2 sample within the smectic A phase are similar to those obtained in similar LCE systems showing an SmA phase and containing high concentrations of M11, as a comonomer [18]. The transition from the SmA phase to the isotropic liquid, which is not usual in LCEs but is widely investigated in low-molecular weight liquid crystals [75,76], is not abrupt; instead, a smooth decrease in the diffraction signal’s intensity is observed which is associated with its gradual broadening due to the continuous decrease in the correlation length of the positional order of the molecules in the isotropic liquid. As shown from the 2H NMR results, the SmA-Iso phase transition in liquid crystalline elastomers is of a weak first order, as observed in other similar systems [10,11,12,13,14]. The behavior of the studied elastomer just above the SmA-Iso transition is similar to that observed in other LCEs with a direct transition from the isotropic to the smectic-A phase [10,12,16] and it is also coherent with the thermo-mechanic trend reported in the following paragraph.
Figure 6.
Temperature evolution of small-angle XRD pattern for the monodomain SC-LCE 2 sample. Diffracted intensity is coded with color (red to yellow to blue). On the right-top side, the optimized molecular structure of M11 (smectogen) showing its average length. On the right-bottom, layer spacing (d—black points) and diffraction signal width at its half-maximum (fwhm—red points) are reported as a function of temperature.
3.3. Thermo-Mechanic and Elastic Properties of New SC LCEs
The thermo-mechanic properties of the two SC-LCE samples are reported in Figure 7. Here, the normalized elongation L/L0 of the SC-LCE 1 and SC-LCE 2 are reported as a function of the temperature. The temperature dependences of L/L0 in the case of SC-LCE 1 is typical of side-chain LCEs with a nematic phase [16]. In this sample, the maximum elongation is about 43% at room temperature with respect to the length in the isotropic phase (L0), obtained with a load of 1 mN/mm2. In the case of the SC-LCE monodomain sample with the higher concentration of M11, namely the SC-LCE 2, the hermos-mechanic temperature trend shows a much smaller elongation with respect to nematic SC-LCE 1. Lowering the temperature from the isotropic phase, the elastomer film elongates in the direction of the local SmA phase director until it reaches ~15%. The maximum elongation is reached at about 118 °C, which is close to the temperature transition iso-SmA. Within the temperature range of the stability of the SmA phase, the elongation of the SC-LCE 2 slowly decreases, reaching the value of ~10% at room temperature. This behavior has been observed in several SC-LCE samples with a concentration of M11 higher than 50% [16], and in other LCEs with a smectic phase [11,12,13,14,17,77,78,79,80]. This thermo-mechanic behavior can be explained with the formation of layered local structures, whose layer spacing is gradually reduced by decreasing the temperature. The higher molecular packing lowers the mechanical response of the LCEs in the smectic phase, and the LCE stripes appear to be stiff [16]. Similarly to what was observed in other SmA LCEs [12], this shrinkage process is related to an increasing perfection of the smectic structure rearrangement of the network with a consequent realignment of both comonomers and polymer chains.
Figure 7.
Thermo-mechanic measurements on the two monodomain SC-LCE samples: SC-LCE 1 (black) and SC-LCE 2 (red). Temperature transitions are indicated with dotted lines.
The elastic properties of the two SC-LCE samples were investigated at room temperature, as reported in Figure 8. The elastic modulus, E, was measured by applying a uniaxial mechanical stress parallel to the phase director, . In the case of the nematic SC-LCE 1, the typical rubber elastic response of nematic networks is observed and the value of 234 kPa is comparable to that measured in similar LCEs with the nematic phase [16]. In the SC-LCE 2 sample, with a smectic A phase stable at room temperature, the value of the elastic modulus is about 2 MPa, which confirms the presence of a smectic structure and the typical enthalpy-elastic behavior ascribable to the long-range 1D order of the smectic layered structures [81]. If we compare the results obtained for these two SC-LCEs with those reported in the detailed investigation [16] of the thermo-mechanic and elastic properties of strongly crosslinked bimesogenic monodomain LCEs, with the controlled relative composition of nematogenic and smectogenic constituents, it is possible to conclude that they represent the two limiting cases of a typical soft nematic LCE (i.e., SC-LCE 1 sample) and typical smectic A LCE (i.e., SC-LCE 2 sample).
Figure 8.
Elastic modulus of monodomain SC-LCE 1 (A) and SC-LCE 2 (B) samples measured at room temperature. Stretching and compression were applied at a controlled value of the force. Black curve corresponds to experimental data while red curves are linear fitting functions, y = Ex + b.
3.4. 2H NMR Studies of the Smectic SC LCE Sample
A further investigation was performed on the SC-LCE showing the smectic A phase, by means of 2H NMR spectroscopy. To this aim, a monodomain SC-LCE 2 sample was prepared by following the same procedure described in Section 2.2, by using the nematic comonomer deuterium-labelled on the phenyl moiety, namely the nematogen M4-d2 shown in Figure 2A. The deuterated sample, called SC-LCE 2 (D), was characterized by POM and DSC (see Table 2). As it can be noted, the temperature transition from the isotropic to the SmA phase was shifted to lower temperatures with respect to the not-labelled sample. This can be attributed to the deuteration substitution or to small differences in the loads applied during the second crosslinking step of the SC-LCE synthesis. A ‘sandwich-like’ sample formed by the square pieces of monodomain SC-LCE 2 (D) was prepared following the procedure reported in refs [53,74] to perform static 2H NMR measurements, as described in Section 2.4. A selection of the 2H NMR spectra recorded on the cooling of the SC-LCE 2 (D) sample from 120 °C to 30 °C are reported in Figure 9. The 2H NMR spectra in the oriented phase are characterized by a well-defined doublet ascribable to the deuterons present on the phenyl ring of the nematogen M4, indicating the good alignment of the monodomain sample in its SmA phase. At temperatures above the isotropic-SmA transition temperature, the 2H NMR spectra are characterized by a single peak, which is typical of disordered (liquid-like) phases. In the vicinity of the mesophase transition, a very small quadrupolar splitting can be measured, which is the proof of a partial local orientation of the mesogens. In the case of SC-LCE showing the isotropic to nematic transition, this phenomenon was interpreted as the evidence of a critical phase transition [53,54,55,56,57] (or subcritical/critical/supercritical phase transition, depending on the crosslinker density). In the present SC-LCE system, the direct transition from the isotropic to SmA phase shows the typical features of a weak first order phase transition. This feature has been theoretically explained by a phenomenological model based on the modified Landau-de Gennes theory [79] and the existence of a weak first order transition is correlated with the relatively high crosslinker density (i.e., 10% in the presence case). The temperature-dependence of the quadrupolar splitting, obtained by fitting the spectral doublets with two Lorentzian functions, is shown in Figure 9.
Figure 9.
On the left and on the right: selection of 2H NMR spectra of the deuterated SC-LCE 2 (D) sample recorded on cooling from the isotropic phase to room temperature. Vertical lines on the two spectral stackplots (from 103 °C to 68 °C and from 65 °C to 32 °C) are eye guidelines. In the center: temperature dependence of the quadrupolar splitting, Δνquad. The vertical dotted line indicates the temperature transition as observed by 2H NMR spectroscopy.
As observed on structurally similar liquid crystalline elastomers [53,74], the quantitative analysis of the temperature-dependence of 2H NMR quadrupolar splitting (Δνquad) can be done by using Equation (3) [82,83], which expresses the relationship between the measured quadrupolar splitting of the deuterons on the aromatic fragment and the orientational order parameters, Szz and Δbiax (=Sxx − Syy), referred to the biphenyl axes frame (with z parallel to the para axis):
Here, η is 0.04 and qaa is 185 kHz, according to the literature for aromatic deuterons [84]. The angle ϕ between the C-D bond and the para axis of the biphenyl fragment is fixed equal to 60°. The application of Equation (3), by assuming a fragment biaxiality of 0.05, as in analogous LCEs prepared with the comonomer M4-d2 [75], gives rise to a local order parameter, Szz, which ranges from 0 (far above the temperature transition) to ~0.52 at room temperature. It should be noticed that at temperatures lower than 55 °C, the spectra become much broader (see Figure 9), as it can also be observed from the trend of the half-height line-broadening (Δνfwhm) reported in Figure 10B.
Figure 10.
(A) 2H NMR spin–lattice relaxation times (T1, ms) and spin–spin relaxation times (T2, μs) as a function of 1000/T(K) of the SC LCE 2 (D) sample, deuterium labelled on the nematic comonomer, M4-d2. (B) 2H NMR spectral line width (Δν, kHz), namely Δνfwhm, as a function of temperature T (°C) of the SC LCE 2 (D), deuterium labelled on the nematic comonomer, M4-d2. Dashed vertical lines indicate the phase transition temperature.
Usually, the analysis of the temperature dependence of the 2H NMR spectra of LCEs requires quite sophisticated models [57], since they are inherently heterogeneous systems at the micro-scale level. The eventual local misalignment of the phase directors in the micro-domains, as well as the presence of a distribution of the local orientational order, cannot be excluded [53,54,55,56,57]. In the present case, additional information about the eventual heterogeneities can be obtained from the analysis of the temperature dependence of the half-height linewidths and both relaxation times, T1 and T2.
Focusing on the spin–lattice relaxation times (T1 versus 1000/T) reported in Figure 10A, we can observe an almost continuous trend at the isotropic to SmA transition and the occurrence of a minimum in the SmA phase, around T = 50–56 °C.
A similar temperature-dependence of the 2H NMR spin–lattice relaxation times has been observed in other side-chain LCEs containing deuterated comonomers linked to the polymer chain [53,75]. In particular, the values of T1 in the mesophase formed by liquid crystalline elastomers are in the range of 6–12 ms, as observed in other LCEs [53,75], and the presence of a minimum indicates that the characteristic correlation time, τC, associated with the dynamic processes active in the high frequency range of 10–100 MHz, passes from a fast to slow regime. This phenomenon is not observed in low-molecular weight LCs and this is due to the fact that once the mesogens are connected to the polymer chains, their overall reorientational motions, namely the spinning and tumbling processes, are much slower (i.e., the relative diffusion coefficients are two or three orders of magnitude smaller) than in the case that they are completely free to move [53].
The trend of the spin–spin relaxation times (T2) versus the temperature, reported in Figure 10A, indicates a linear temperature-dependence in the isotropic phase, associated with a drop of the T2 from 6.5 ms to ~300 μs at the transition between the isotropic and SmA phase. A sudden change in the slope of the T-dependence of T2 is observed at the phase transition. Within the SmA phase, the values of T2 decrease much more slowly, reaching the value of ~100 μs at room temperature. A similar behavior and similar values of T2 were obtained on the SC-LCEs prepared with deuterated M4 (and M11) [53,75]. Another interesting feature is related to the nature of the 2H NMR spectral linewidth (Figure 10B). In fact, the homogeneous contribution to the linewidth, Δνfwhm, which can be calculated from the measured T2, as fwhmhomo = 1/(πT2) [85,86,87], coincides with the 2H NMR spectral linewidth, evaluated from the half-height of the Lorentzian peaks. This finding can be interpreted in terms of the motional processes responsible for the measured 2H NMR spectral linewidth: the motions affecting the 2H NMR linewidth are in the extreme motional narrowing regime, as observed in other cases in LCEs prepared with deuterated comonomers [53,75]. Different phenomena have been found in LCEs deuterium-labelled on the crosslinker, whose molecular motions are usually much hindered due to the two links to the polymer chains [53,75].
4. Conclusions
In this paper, we are reporting a complete study of new side-chain liquid crystalline elastomers in the form of monodomain films, containing a new smectic crosslinker and two comonomers, a nematogen and a smectogen, in different relative concentrations. Two types of SC-LCE films were designed and characterized, showing a nematic or a smectic A phase stable in a wide temperature range. The mesomorphic and structural studies based on X-ray diffraction confirmed the good alignment and uniaxial orientation of the two SC-LCE systems, while the thermo-mechanic and thermo-elastic characterizations indicate that the two SC-LCE films have good properties to act as shape-memory materials for an application in the field of soft actuators. Detailed investigations were performed on the SC-LCE film showing a direct transition between the isotropic and the smectic A phase. All the experimental measurements confirm the nature of the weak first-order transition in agreement with the theoretical models describing the Iso-SmA transition in LCEs. The observed thermo-mechanic behavior could be interpreted as due to the formation of layered local structures, whose layer spacing is gradually reduced by decreasing the temperature, while the increasing perfection of the smectic structure lowers the mechanical response of the LCEs within the smectic phase. This process is associated with an increase in the orientational order within the SmA phase, as confirmed from 2H NMR spectroscopy. Both static and dynamic investigations based on the 2H NMR measurements indicate a relatively high orientational order of the nematic comonomer and the presence of dynamic motions passing from a fast to a slow regime within the SmA phase.
Author Contributions
Conceptualization, V.D.; data curation, A.B., A.R., D.P. and V.D.; formal analysis, A.B., A.R., J.M., D.P. and V.D.; investigation, all authors; methodology, V.H., J.M., D.P. and V.D.; supervision, B.Z., E.G. and V.D.; validation, V.D. and A.B.; writing—original draft, A.B. and V.D.; writing—review and editing, all authors. All authors have read and agreed to the published version of the manuscript.
Funding
This work was funded by (or authors A.B. and V.H. greatly acknowledge the funding from) the Czech Science Foundation [Project No. CSF 22-16499S] and Operational Programme for Research, Development and Education financed by European Structural and Investment Funds and the Czech Ministry of Education, Youth and Sports [Project No. SOLID21—CZ.02.1.01/0.0/0.0/16_019/0000760]. This work also was partially supported by the ARRS applied project L1-2607.
Conflicts of Interest
The authors declare no conflict of interest.
References
- Warner, M.; Terentjev, E.M. Liquid Crystal Elastomers; Oxford University Press: Oxford, MS, USA, 2003. [Google Scholar]
- Zentel, R. Liquid Crystalline Elastomers. Angew. Chem. Int. Ed. 1989, 28, 1407. [Google Scholar] [CrossRef]
- Terentjev, E. Liquid Crystalline Elastomers. J. Cond. Matter Phys. 1999, 11, R239. [Google Scholar] [CrossRef]
- Finkelmann, H.; Kock, H.J.; Rehage, G. Investigations on Liquid-Crystalline Polysiloxanes. 3. Liquid Crystalline Elastomers—A new type of liquid-crystalline material. Makromol. Chem. Rapid Commun. 1981, 2, 317. [Google Scholar] [CrossRef]
- de Jeu, W.H. Liquid Crystal Elastomers: Materials and Applications; Springer: Berlin/Heidelberg, Germany, 2012. [Google Scholar]
- Thomsen, D.L.; Keller, P.; Naciri, J.; Pink, R.; Jeon, H.; Shenoy, D.; Ratna, B.R. Liquid crystal elastomers with mechanical properties of a muscle. Macromolecules 2001, 34, 5868. [Google Scholar] [CrossRef]
- Ohm, C.; Brehmer, M.; Zentel, R. Liquid crystalline elastomers as actuators and sensors. Adv. Mater. 2010, 22, 3366. [Google Scholar] [CrossRef]
- Skacej, G.; Zannoni, C. Molecular Simulations Shed Light on Supersoft Elasticity in Polydomain Liquid Crystal Elastomers. Macromolecules 2014, 47, 8824. [Google Scholar] [CrossRef]
- Herbert, K.M.; Fowler, H.E.; McCracken, J.M.; Schlafmann, K.R.; Koch, J.A.; White, T.J. Synthesis and alignment of liquid crystalline elastomers. Nat. Rev. Mater. 2022, 7, 23. [Google Scholar] [CrossRef]
- de Jeu, W.H.; Ostrovskii, B.I.; Kramer, D.; Finkelmann, H. Random disorder and the smectic-nematic transition in liquid-crystalline elastomers. Phys. Rev. E 2001, 83, 041703. [Google Scholar] [CrossRef]
- Aßfalg, N.; Finkelmann, H. A smectic a liquid single crystal elastomer (LSCE): Phase behavior and mechanical anisotropy. Macromol. Chem. Phys. 2001, 202, 794. [Google Scholar] [CrossRef]
- Nishikawa, E.; Finkelmann, H. Smectic-A liquid single crystal elastomers—Strain induced break-down of smectic layers. Macromol. Chem. Phys. 1999, 200, 312. [Google Scholar] [CrossRef]
- Nishikawa, E.; Finkelmann, H.; Brand, H.R. Smectic A liquid single crystal elastomers showing macroscopic in-plane fluidity. Macromol. Rapid Commun. 1997, 18, 65. [Google Scholar] [CrossRef]
- Komp, A.; Finkelmann, H. A New Type of Macroscopically Oriented Smectic-A Liquid Crystal Elastomer. Macromol. Rapid Commun. 2007, 28, 55. [Google Scholar] [CrossRef]
- Lavric, M.; Derets, N.; Cresnar, D.; Cresta, V.; Domenici, V.; Resetic, A.; Skacej, G.; Sluban, M.; Umek, P.; Zalar, B.; et al. Tunability of the elastocaloric response in main-chain liquid crystalline elastomers. Liq. Cryst. 2021, 48, 405. [Google Scholar] [CrossRef]
- Resetic, A.; Milavec, J.; Domenici, V.; Zupancic, B.; Bubnov, A.; Zalar, B. Stress-strain and thermomechanical characterization of nematic to smectic A transition in a strongly-crosslinked bimesogenic liquid crystal elastomer. Polymer 2018, 158, 96. [Google Scholar] [CrossRef]
- Bubnov, A.; Domenici, V.; Hamplova, V.; Kaspar, M.; Zalar, B. First liquid single crystal elastomer containing lactic acid derivative as chiral co-monomer: Synthesis and properties. Polymer 2011, 52, 4490. [Google Scholar] [CrossRef]
- Domenici, V.; Milavec, J.; Bubnov, A.; Pociecha, D.; Zupancic, B.; Resetic, A.; Hamplova, V.; Gorecka, E.; Zalar, B. Effect of co-monomers’ relative concentration on self-assembling behaviour of side-chain liquid crystalline elastomers. RSC Adv. 2014, 4, 44056. [Google Scholar] [CrossRef]
- Wang, X.X.; Zhao, N.; Qin, B.; Xu, J.J.; Yang, W.L.; Li, C.S.; Sun, L.G.; Zhang, J.Q.D. Ultrasonics Sonochemistry Assisted Preparation of Polysiloxane Main-Chain Liquid-Crystalline Elastomers. Macromol. Chem. Phys. 2020, 221, 2000071. [Google Scholar] [CrossRef]
- Wu, X.J.; Cao, H.; Guo, R.W.; Li, K.X.; Wang, F.F.; Yang, H. Effect of cholesteric liquid crystalline elastomer with binaphthalene crosslinkings on thermal and optical properties of a liquid crystal that show smectic A-cholesteric phase transition. Polym. Adv. Tech. 2013, 24, 228. [Google Scholar] [CrossRef]
- Zhao, Y.; Ikeda, T. Smart Light-Responsive Materials: Azobenzene-Containing Polymers and Liquid Crystals; Wiley-Interscience: Hoboken, NJ, USA, 2009. [Google Scholar]
- Camacho-Lopez, M.; Finkelmann, H.; Palffy-Muhoray, P.; Shelley, M. Fast liquid crystal elastomer swims into the dark. Nat. Mater. 2004, 3, 307. [Google Scholar] [CrossRef]
- Yamada, M.; Kondo, M.; Mamiya, J.; Yu, Y.; Kinoshita, M.; Barrett, C.J.; Ikeda, T. Photomobile polymer materials: Towards light-driven plastic motors. Angew. Chem. Int. Ed. 2008, 47, 4986. [Google Scholar] [CrossRef]
- Shen, W.B.; Liu, J.S.; Du, B.; Zhuo, H.T.; Chen, S.J. Thermal- and light-responsive programmable shape-memory behavior of liquid crystalline polyurethanes with pendant photosensitive groups. J. Mater. Chem. A 2021, 9, 15087. [Google Scholar] [CrossRef]
- Prijatelj, M.; Ellabban, M.A.; Fally, M.; Domenici, V.; Copic, M.; Drevensek-Olenik, I. Peculiar behaviour of optical polarization gratings in light-sensitive liquid crystalline elastomers. Opt. Mater. Express 2016, 6, 961. [Google Scholar] [CrossRef]
- Yang, L.Q.; Setyowati, K.; Li, A.; Gong, S.Q.; Chen, J. Reversible infrared actuation of carbon nanotube-liquid crystalline elastomer nanocomposites. Adv. Mater. 2008, 20, 2271. [Google Scholar] [CrossRef]
- Yang, Y.K.; Zhan, W.J.; Peng, R.G.; He, C.G.; Pang, X.C.; Shi, D.; Jiang, T.; Lin, Z.Q. Graphene-Enabled Superior and Tunable Photomechanical Actuation in Liquid Crystalline Elastomer Nanocomposites. Adv. Mater. 2015, 27, 6376. [Google Scholar] [CrossRef]
- Guo, H.Y.; Saed, M.O.; Terentjev, E.M. Heliotracking Device using Liquid Crystalline Elastomer Actuators. Adv. Mater. Tech. 2021, 6, 2100681. [Google Scholar] [CrossRef]
- Wang, X.X.; Wang, Y.C.; Wang, X.X.; Niu, H.Y.; Ridi, B.Y.; Shu, J.C.; Fang, X.Y.; Li, C.S.; Wang, B.S.; Gao, Y.C.; et al. A study of the microwave actuation of a liquid crystalline elastomer. Soft Matter 2020, 16, 7332. [Google Scholar] [CrossRef]
- Meng, H.; Li, G. A review of stimuli-responsive shape memory polymer composites. Polymer 2013, 54, 2299. [Google Scholar] [CrossRef]
- Cresta, V.; Romano, G.; Kolpak, A.; Zalar, B.; Domenici, V. Nanostructured Composites Based on Liquid-Crystalline Elastomers. Polymers 2018, 10, 773. [Google Scholar] [CrossRef]
- Zhao, N.; Wang, X.X.; Yao, L.R.; Yan, H.X.; Qin, B.; Li, C.S.; Zhang, J.Q. Actuation performance of a liquid crystalline elastomer composite reinforced by eiderdown fibers. Soft Matter 2022, 18, 1264. [Google Scholar] [CrossRef]
- Domenici, V.; Zupancic, B.; Laguta, V.V.; Belous, A.G.; V’yunov, O.I.; Remskar, M.; Zalar, B. PbTiO3 Nanoparticles Embedded in a Liquid Crystalline Elastomer Matrix: Structural and Ordering Properties. J. Phys. Chem. C 2010, 114, 10782S. [Google Scholar] [CrossRef]
- Zupancic, B.; Zalar, B.; Remskar, M.; Domenici, V. Actuation of Gold-Coated Liquid Crystal Elastomers. Appl. Phys. Lett. 2013, 6, 021701. [Google Scholar]
- Greco, F.; Domenici, V.; Desii, A.; Sinibaldi, E.; Zupancic, B.; Zalar, B.; Mazzolai, B.; Mattoli, V. Liquid single crystal elastomer/conducting polymer bilayer composite actuator: Modelling and experiments. Soft Matter 2013, 9, 11405. [Google Scholar] [CrossRef]
- Zhang, Y.B.; Ji, Y. Research progress in processing methods of reversible three-dimensional structures of liquid-crystalline elastomers based on dynamic covalent bonds. Chin. J. Liq. Cryst. Disp. 2022, 37, 199. [Google Scholar] [CrossRef]
- Resetic, A.; Milavec, J.; Zupancic, B.; Domenici, V.; Zalar, B. Polymer dispersed liquid crystal elastomers. Nat. Commun. 2016, 7, 13140. [Google Scholar] [CrossRef]
- Ware, T.H.; McConney, M.E.; Wie, J.J.; Tondiglia, V.P.; White, T.J. Voxelated liquid crystal elastomers. Science 2015, 347, 982. [Google Scholar] [CrossRef] [PubMed]
- Marshall, J.E.; Gallagher, S.; Terentjev, E.M.; Smoukov, S.K. Anisotropic colloidal micromuscles from liquid crystal elastomers. J. Am. Chem. Soc. 2014, 136, 474. [Google Scholar] [CrossRef]
- Stannarius, R.; Eremin, A.; Harth, K.; Morys, M.; DeMiglio, A.; Ohm, C.; Zentel, R. Mechanical and optical properties of continuously spun fibres of a main-chain smectic A elastomer. Soft Matter 2012, 8, 1858. [Google Scholar] [CrossRef]
- Bauman, G.E.; McCracken, J.M.; White, T.J. Actuation of Liquid Crystalline Elastomers at or Below Ambient Temperature. Angew. Chem. Int. Ed. 2022, 61, e202202577. [Google Scholar] [CrossRef]
- Li, Y.Z.; Liu, T.; Ambrogi, V.; Rios, O.; Xia, M.; He, W.L.; Yang, Z. Liquid Crystalline Elastomers Based on Click Chemistry. ACS Appl. Mater. Interfaces 2022, 14, 14842. [Google Scholar] [CrossRef]
- Hiraoka, K.; Ishihara, T.; Minami, H.; Taira, S.; Komesu, S.; Yamada, K. Spontaneous polarization due to flexoelectric effect in liquid crystalline elastomers prepared by cross-linking under splay distortion. Liq. Cryst. 2022, 49, 2051–2057. [Google Scholar] [CrossRef]
- Lehmann, W.; Skupin, H.; Tolksdorf, C.; Gebhard, E.; Zentel, R.; Kruger, P.; Losche, M.; Kremer, F. Giant lateral electrostriction in ferroelectric liquid-crystalline elastomers. Nature 2001, 410, 447. [Google Scholar] [CrossRef]
- Ahmadpour-Samani, P.; Zahedi, P. An investigation on nematic-isotropic phase transition, viscosity and diffusion coefficient of liquid crystalline elastomers at different temperatures using molecular dynamics simulation. J. Mol. Liq. 2022, 367, 120403. [Google Scholar] [CrossRef]
- Skacej, G. Sample preparation affects the nematic-isotropic transition in liquid crystal elastomers: Insights from molecular simulation. Soft Matter 2018, 14, 1408. [Google Scholar] [CrossRef]
- Skacej, G.; Zannoni, C. Molecular simulations elucidate electric field actuation in swollen liquid crystal elastomers. Proc. Natl. Acad. Sci. USA 2012, 109, 10193. [Google Scholar] [CrossRef]
- Ortiz, C.; Wagner, M.; Bhargava, N.; Ober, C.K.; Kramer, E.J. Deformation of a polydomain, smectic liquid crystalline elastomer. Macromolecules 1998, 31, 8531. [Google Scholar] [CrossRef]
- Hu, J.S.; Yang, L.Q.; Yao, D.S.; Song, Z.W. The effect of mesogenic and non-mesogenic crosslinking units on the phase behaviour of side-chain smectic and cholesteric elastomers. Liq. Cryst. 2010, 37, 1385. [Google Scholar] [CrossRef]
- Clarke, S.M.; Hotta, A.; Tajbakhsh, A.R.; Terentjev, E.M. Effect of crosslinker geometry on equilibrium thermal and mechanical properties of nematic elastomers. Phys. Rev. E 2001, 64, 061702. [Google Scholar] [CrossRef] [PubMed]
- Brown, D.H.; Das, V.; Allen, R.W.K.; Styring, P. Monodomain liquid crystal elastomers and elastomeric gels: Improved thermomechanical responses and phase behaviour by addition of low molecular weight LCs. Mater. Chem. Phys. 2007, 104, 488. [Google Scholar] [CrossRef]
- Domenici, V. H-2 NMR studies of liquid crystal elastomers: Macroscopic vs. molecular properties. Prog. Nucl. Magn. Reson. Spectrosc. 2012, 63, 1. [Google Scholar] [CrossRef]
- Milavec, J.; Resetic, A.; Bubnov, A.; Zalar, B.; Domenici, V. Dynamic investigations of liquid crystalline elastomers and their constituents by H-2 NMR spectroscopy. Liq. Cryst. 2018, 45, 2158. [Google Scholar] [CrossRef]
- Resetic, A.; Milavec, J.; Domenici, V.; Zupancic, B.; Bubnov, A.; Zalar, B. Deuteron NMR investigation on orientational order parameter in polymer dispersed liquid crystal elastomers. Phys. Chem. Chem. Phys. 2020, 22, 23064. [Google Scholar] [CrossRef]
- Milavec, J.; Domenici, V.; Zupancic, B.; Resetic, A.; Bubnov, A.; Zalar, B. Deuteron NMR resolved mesogen vs. crosslinker molecular order and reorientational exchange in liquid single crystal elastomers. Phys. Chem. Chem. Phys. 2016, 18, 4071. [Google Scholar] [CrossRef] [PubMed]
- Domenici, V.; Milavec, J.; Zupancic, B.; Bubnov, A.; Hamplova, V.; Zalar, B. Brief overview on 2H NMR studies of polysiloxane-based side-chain nematic elastomers. Magn. Reson. Chem. 2014, 52, 649. [Google Scholar] [CrossRef] [PubMed]
- Lebar, A.; Kutnjak, Z.; Zumer, S.; Finkelmann, H.; Sanchez-Ferrer, A.; Zalar, B. Evidence of supercritical behavior in liquid single crystal elastomers. Phys. Rev. Lett. 2005, 94, 197801. [Google Scholar] [CrossRef] [PubMed]
- Storz, R.; Komp, A.; Hoffmann, A.; Finkelmann, H. Phase Biaxility in Smectic-A Side-Chain Liquid Crystalline Elastomers. Macromol. Rapid Commun. 2009, 30, 615. [Google Scholar] [CrossRef]
- Brommel, F.; Zou, P.; Finkelmann, H.; Hoffmann, A. Influence of the mesogenic shape on the molecular dynamics and phase-biaxiality of liquid crystal main-chain polymers. Soft Matter 2013, 9, 1674. [Google Scholar] [CrossRef]
- Amigo-Melchior, A.; Finkelmann, H. A concept for bifocal contact- or intraocular lenses: Liquid single crystal hydrogels (“-LSCH”). Polym. Adv. Technol. 2002, 13, 363. [Google Scholar] [CrossRef]
- Cifelli, M.; Domenici, V.; Veracini, C.A. Recent advancements in understanding thermotropic liquid crystal structure and dynamics by means of NMR spectroscopy. Curr. Opin. Colloid Interface Sci. 2013, 18, 190. [Google Scholar] [CrossRef]
- Dong, R.Y. Recent NMR Studies of Thermotropic Liquid Crystals. In Annual Reports on NMR Spectroscopy; Webb, G.A., Ed.; Academic Press: Oxford, UK, 2016; Volume 87, p. 41. [Google Scholar]
- Ghilardi, M.; Adamo, F.C.; Vita, F.; Francescangeli, O.; Domenici, V. Comparative H-2 NMR and X-ray Diffraction Investigation of a Bent-Core Liquid Crystal Showing a Nematic Phase. Crystals 2020, 10, 284. [Google Scholar] [CrossRef]
- Wójcik, M.M.; Wróbel, J.; Jańczuk, Z.Z.; Mieczkowski, J.; Górecka, E.; Choi, J.; Cho, M.; Pociecha, D. Liquid-Crystalline Elastomers with Gold Nanoparticle Cross-Linkers. Chem. Eur. J. 2017, 23, 8912–8920. [Google Scholar] [CrossRef]
- Kupfer, J.; Finkelmann, H. Nematic Liquid Single Crystal Elastomers. Makromol. Chem. Rapid Commun. 1991, 12, 717. [Google Scholar] [CrossRef]
- Finkelmann, H.; Kiechle, U.; Rehage, G. Behavior of liquid crystalline side chain polymers in an electric field. Mol. Cryst. Liq. Cryst. 1983, 94, 343–358. [Google Scholar] [CrossRef]
- Marini, A.; Domenici, V.; Malanga, C.; Menicagli, R.; Veracini, C.A. Synthesis of deuterium-labelled, optically active, ferroelectric liquid crystals. Tetrahedron 2010, 66, 3472–3477. [Google Scholar] [CrossRef]
- Luz, Z.; Meiboom, S. Nuclear magnetic resonance study of the protolysis of trimethylammonium ion in aqueous solution order of the reaction with respect to solvent. J. Chem. Phys. 1963, 39, 366. [Google Scholar] [CrossRef]
- Kleinberg, R. Encyclopedia of Nuclear Magnetic Resonance; Grant, D.M., Harris, R.K., Eds.; Wiley: New York, NY, USA, 1995. [Google Scholar]
- Slichter, C.P. Principles of Magnetic Resonance, 3rd ed.; Springer: Berlin, Germany; New York, NY, USA, 1996. [Google Scholar]
- Walker, R.; Pociecha, D.; Storey, J.M.D.; Gorecka, E.; Imrie, C.T. Remarkable smectic phase behaviour in odd-membered liquid crystal dimers: The CT6O.m series. J. Mater. Chem. C 2021, 9, 5167–5173. [Google Scholar] [CrossRef]
- Frisch, M.J.; Trucks, G.W.; Schlegel, H.B.; Scuseria, G.E.; Robb, M.A.; Cheeseman, J.R.; Zakrzewski, V.G.; Montgomery, J.A., Jr.; Stratmann, R.E.; Burant, J.C.; et al. Gaussian 98; Gaussian, Inc.: Pittsburgh, PA, USA, 1998. [Google Scholar]
- Cowling, S.J.; Davis, E.J.; Mandle, R.J.; Goodby, J.W. Defect textures of liquid crystals. In Progress in Liquid Crystal Science and Technology; Kwok, H.-S., Shohei, H., Ong, L., Eds.; Series in Liquid Crystals; World Scientific: Singapore, 2013; Volume 4, ISBN 978-981-4417-59-4. [Google Scholar]
- Milavec, J. Network Component-Resolved NMR Study of Ordering and Dynamics in Liquid Crystal Elastomers. Ph.D. Thesis, Jozef Stefan Institute, Ljubljana, Slovenia, 2015. [Google Scholar]
- Mukherjee, P.K. Isotropic to smectic-A phase transition: A review. J. Mol. Liq. 2014, 190, 99. [Google Scholar] [CrossRef]
- Mukherjee, P.K. Advances of isotropic to smectic phase transitions. J. Mol. Liq. 2021, 340, 117227. [Google Scholar] [CrossRef]
- Martinoty, P.; Stein, P.; Finkelmann, H.; Pleiner, H.; Brand, H.R. Mechanical properties of mono-domain side chain nematic elastomers. Eur. Phys. J. E 2004, 14, 311. [Google Scholar] [CrossRef]
- Mukherjee, P.K. Effect of cross-link concentration on the isotropic to smectic—A phase transition in smectic elastomers. Phys. Scr. 2020, 95, 035224. [Google Scholar] [CrossRef]
- Obraztsov, E.P.; Muresan, A.S.; Ostrovskii, B.I.; de Jeu, W.H. Road to disorder in smectic elastomers. Phys. Rev. E 2008, 77, 021706. [Google Scholar] [CrossRef]
- Li, Y.; Keum, J.K.; Wang, J.; Bras, W.; Kessler, M.R.; Rios, O. Multiscale Structural Characterization of a Smectic Liquid Crystalline Elastomer upon Mechanical Deformation Using Neutron Scattering. Macromolecules 2021, 54, 10574. [Google Scholar] [CrossRef]
- Kundler, I.; Nishikawa, E.; Finkelmann, H. Nematic and smectic liquid single crystal elastomers: Influence of external stress parallel and perpendicular to the director. Macromol. Symp. 1997, 117, 11. [Google Scholar] [CrossRef]
- Dong, R.Y. Nuclear Magnetic Resonance of Liquid Crystals; Springer: New York, NY, USA, 1997; ISBN 978-1-4612-1954-5. [Google Scholar]
- Veracini, C.A. NMR Spectra in Liquid Crystals; NATO ASI Series, Series C, 141; Emsley, J.W., Ed.; Reidel: Dordrecht, The Netherlands, 1985; Chapter 5. [Google Scholar]
- Domenici, V. Order and dynamics of rod-like and banana-shaped liquid crystals by H-2 NMR. Pure App. Chem. 2007, 79, 21. [Google Scholar] [CrossRef]
- Dong, R.Y. Advances in NMR studies of liquid crystals. Annu. Rep. NMR Spectrosc. 2004, 53, 68. [Google Scholar]
- Domenici, V. The role of NMR in the study of partially ordered materials: Perspectives and challenges. Pure Appl. Chem. 2011, 83, 67. [Google Scholar] [CrossRef]
- Frezzato, D.; Kothe, G.; Moro, G.J. Transverse Nuclear Spin Relaxation due to Director Fluctuations in Liquid Crystals A Slow-Motional Theory. J. Phys. Chem. B 2001, 105, 1281. [Google Scholar] [CrossRef]
Disclaimer/Publisher’s Note: The statements, opinions and data contained in all publications are solely those of the individual author(s) and contributor(s) and not of MDPI and/or the editor(s). MDPI and/or the editor(s) disclaim responsibility for any injury to people or property resulting from any ideas, methods, instructions or products referred to in the content. |
© 2023 by the authors. Licensee MDPI, Basel, Switzerland. This article is an open access article distributed under the terms and conditions of the Creative Commons Attribution (CC BY) license (https://creativecommons.org/licenses/by/4.0/).











