Structural Evolution from Neutron Powder Diffraction of Nanostructured SnTe Obtained by Arc Melting
Abstract
1. Introduction
2. Materials and Methods
3. Results and Discussion
3.1. Crystal Structure Evolution
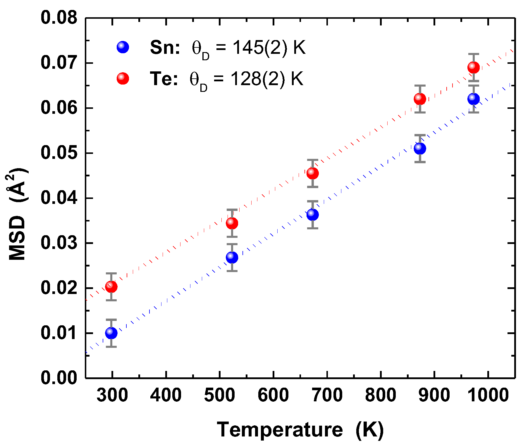
3.2. Debye Model Fittings and DFT Calculation
3.3. SEM Investigation
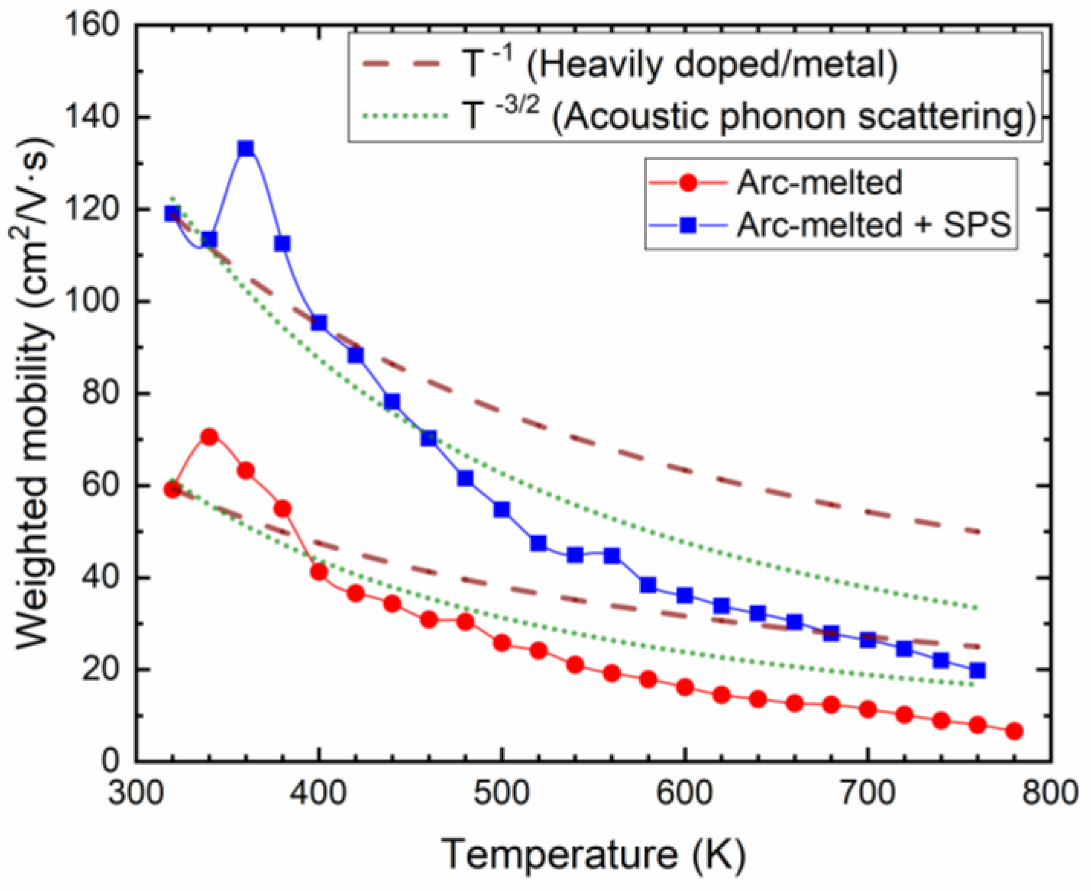
3.4. Thermoelectric Properties
4. Conclusions
Supplementary Materials
Author Contributions
Funding
Data Availability Statement
Acknowledgments
Conflicts of Interest
References
- Li, J.-F.; Liu, W.-S.; Zhao, L.-D.; Zhou, M. High-Performance Nanostructured Thermoelectric Materials. NPG Asia Mater. 2010, 2, 152–158. [Google Scholar] [CrossRef]
- Snyder, G.J.; Toberer, E.S. Complex Thermoelectric Materials. Nat. Mater. 2008, 7, 105–114. [Google Scholar] [CrossRef] [PubMed]
- Mao, J.; Chen, G.; Ren, Z. Thermoelectric Cooling Materials. Nat. Mater. 2021, 20, 454–461. [Google Scholar] [CrossRef] [PubMed]
- Freer, R.; Powell, A. V Realising the Potential of Thermoelectric Technology: A Roadmap. J. Mater. Chem. C 2020, 8, 441–463. [Google Scholar] [CrossRef]
- Biswas, K.; He, J.; Zhang, Q.; Wang, G.; Uher, C.; Dravid, V.P.; Kanatzidis, M.G. Strained Endotaxial Nanostructures with High Thermoelectric Figure of Merit. Nat. Chem. 2011, 3, 160–166. [Google Scholar] [CrossRef]
- Zhou, C.; Lee, Y.K.; Yu, Y.; Byun, S.; Luo, Z.-Z.; Lee, H.; Ge, B.; Lee, Y.-L.; Chen, X.; Lee, J.Y.; et al. Polycrystalline SnSe with a Thermoelectric Figure of Merit Greater than the Single Crystal. Nat. Mater. 2021, 20, 1378–1384. [Google Scholar] [CrossRef]
- Zhu, Y.; Hu, L.; Zhan, S.; Ina, T.; Gao, X.; Hong, T.; Zhao, L.-D. Breaking the Sodium Solubility Limit for Extraordinary Thermoelectric Performance in P-Type PbTe. Energy Environ. Sci. 2022, 15, 3958–3967. [Google Scholar] [CrossRef]
- Zhao, L.-D.; Lo, S.-H.; Zhang, Y.; Sun, H.; Tan, G.; Uher, C.; Wolverton, C.; Dravid, V.P.; Kanatzidis, M.G. Ultralow Thermal Conductivity and High Thermoelectric Figure of Merit in SnSe Crystals. Nature 2014, 508, 373–377. [Google Scholar] [CrossRef]
- Serrano-Sánchez, F.; Gharsallah, M.; Nemes, N.M.; Mompean, F.J.; Martínez, J.L.; Alonso, J.A. Record Seebeck Coefficient and Extremely Low Thermal Conductivity in Nanostructured SnSe. Appl. Phys. Lett. 2015, 106, 083902. [Google Scholar] [CrossRef]
- Serrano-Sánchez, F.; Nemes, N.M.; Dura, O.J.; Fernandez-Diaz, M.T.; Martínez, J.L.; Alonso, J.A. Structural Phase Transition in Polycrystalline SnSe: A Neutron Diffraction Study in Correlation with Thermoelectric Properties. J. Appl. Crystallogr. 2016, 49, 2138–2144. [Google Scholar] [CrossRef]
- Gainza, J.; Serrano-Sánchez, F.; Rodrigues, J.E.F.S.; Huttel, Y.; Dura, O.J.; Koza, M.M.; Fernández-Díaz, M.T.; Meléndez, J.J.; Márkus, B.G.; Simon, F.; et al. High-Performance n-Type SnSe Thermoelectric Polycrystal Prepared by Arc-Melting. Cell Rep. Phys. Sci. 2020, 1, 100263. [Google Scholar] [CrossRef]
- Gainza, J.; Serrano-Sánchez, F.; Gharsallah, M.; Carrascoso, F.; Bermúdez, J.; Dura, O.J.; Mompean, F.J.; Biskup, N.; Meléndez, J.J.; Martínez, J.L.; et al. Evidence of Nanostructuring and Reduced Thermal Conductivity in N-Type Sb-Alloyed SnSe Thermoelectric Polycrystals. J. Appl. Phys. 2019, 126, 045105. [Google Scholar] [CrossRef]
- Gainza, J.; Moltó, S.; Serrano-Sánchez, F.; Dura, O.J.; Fernández-Díaz, M.T.; Biškup, N.; Martínez, J.L.; Alonso, J.A.; Nemes, N.M. SnSe:Kx Intermetallic Thermoelectric Polycrystals Prepared by Arc-Melting. J. Mater. Sci. 2022, 57, 8489–8503. [Google Scholar] [CrossRef]
- Gharsallah, M.; Serrano-Sánchez, F.; Nemes, N.M.; Mompeán, F.J.; Martínez, J.L.; Fernández-Díaz, M.T.; Elhalouani, F.; Alonso, J.A. Giant Seebeck Effect in Ge-Doped SnSe. Sci. Rep. 2016, 6, 26774. [Google Scholar] [CrossRef]
- Serrano-Sánchez, F.; Nemes, N.M.; Martínez, J.L.; Juan-Dura, O.; de la Torre, M.A.; Fernández-Díaz, M.T.; Alonso, J.A. Structural Evolution of a Ge-Substituted SnSe Thermoelectric Material with Low Thermal Conductivity. J. Appl. Crystallogr. 2018, 51, 337–343. [Google Scholar] [CrossRef]
- Serrano-Sánchez, F.; Funes, M.; Nemes, N.M.; Dura, O.J.; Martínez, J.L.; Prado-Gonjal, J.; Fernández-Díaz, M.T.; Alonso, J.A. Low Lattice Thermal Conductivity in Arc-Melted GeTe with Ge-Deficient Crystal Structure. Appl. Phys. Lett. 2018, 113, 083902. [Google Scholar] [CrossRef]
- Gainza, J.; Serrano-Sánchez, F.; Nemes, N.M.; Martínez, J.L.; Fernández-Díaz, M.T.; Alonso, J.A. Features of the High-Temperature Structural Evolution of GeTe Thermoelectric Probed by Neutron and Synchrotron Powder Diffraction. Metals 2019, 10, 48. [Google Scholar] [CrossRef]
- Gainza, J.; Serrano-Sánchez, F.; Nemes, N.M.; Dura, O.J.; Martínez, J.L.; Alonso, J.A. Lower Temperature of the Structural Transition, and Thermoelectric Properties in Sn-Substituted GeTe. Mater. Today Proc. 2021, 44, 3450–3457. [Google Scholar] [CrossRef]
- Gainza, J.; Serrano-Sánchez, F.; Biskup, N.; Nemes, N.M.; Martínez, J.L.; Fernández-Díaz, M.T.; Alonso, J.A. Influence of Nanostructuration on PbTe Alloys Synthesized by Arc-Melting. Materials 2019, 12, 3783. [Google Scholar] [CrossRef]
- Hsieh, T.H.; Lin, H.; Liu, J.; Duan, W.; Bansil, A.; Fu, L. Topological Crystalline Insulators in the SnTe Material Class. Nat. Commun. 2012, 3, 982. [Google Scholar] [CrossRef]
- Schindler, F.; Cook, A.M.; Vergniory, M.G.; Wang, Z.; Parkin, S.S.P.; Bernevig, B.A.; Neupert, T. Higher-Order Topological Insulators. Sci. Adv. 2018, 4, eaat0346. [Google Scholar] [CrossRef] [PubMed]
- Tanaka, Y.; Ren, Z.; Sato, T.; Nakayama, K.; Souma, S.; Takahashi, T.; Segawa, K.; Ando, Y. Experimental Realization of a Topological Crystalline Insulator in SnTe. Nat. Phys. 2012, 8, 800–803. [Google Scholar] [CrossRef]
- Tan, G.; Zhao, L.-D.; Shi, F.; Doak, J.W.; Lo, S.-H.; Sun, H.; Wolverton, C.; Dravid, V.P.; Uher, C.; Kanatzidis, M.G. High Thermoelectric Performance of P-Type SnTe via a Synergistic Band Engineering and Nanostructuring Approach. J. Am. Chem. Soc. 2014, 136, 7006–7017. [Google Scholar] [CrossRef] [PubMed]
- Moshwan, R.; Yang, L.; Zou, J.; Chen, Z.-G. Eco-Friendly SnTe Thermoelectric Materials: Progress and Future Challenges. Adv. Funct. Mater. 2017, 27, 1703278. [Google Scholar] [CrossRef]
- Li, W.; Zheng, L.; Ge, B.; Lin, S.; Zhang, X.; Chen, Z.; Chang, Y.; Pei, Y. Promoting SnTe as an Eco-Friendly Solution for p-PbTe Thermoelectric via Band Convergence and Interstitial Defects. Adv. Mater. 2017, 29, 1605887. [Google Scholar] [CrossRef]
- Li, W.; Wu, Y.; Lin, S.; Chen, Z.; Li, J.; Zhang, X.; Zheng, L.; Pei, Y. Advances in Environment-Friendly SnTe Thermoelectrics. ACS Energy Lett. 2017, 2, 2349–2355. [Google Scholar] [CrossRef]
- Yan, X.; Zheng, S.; Zhou, Z.; Wu, H.; Zhang, B.; Huang, Y.; Lu, X.; Han, G.; Wang, G.; Zhou, X. Melt-Spun Sn1−x−ySbxMnyTe with Unique Multiscale Microstructures Approaching Exceptional Average Thermoelectric ZT. Nano Energy 2021, 84, 105879. [Google Scholar] [CrossRef]
- Shenoy, U.S.; Bhat, D.K. Bi and Zn Co-Doped SnTe Thermoelectrics: Interplay of Resonance Levels and Heavy Hole Band Dominance Leading to Enhanced Performance and a Record High Room Temperature ZT. J. Mater. Chem. C 2020, 8, 2036–2042. [Google Scholar] [CrossRef]
- Ma, Z.; Wang, C.; Chen, Y.; Li, L.; Li, S.; Wang, J.; Zhao, H. Ultra-High Thermoelectric Performance in SnTe by the Integration of Several Optimization Strategies. Mater. Today Phys. 2021, 17, 100350. [Google Scholar] [CrossRef]
- Wang, L.; Hong, M.; Sun, Q.; Wang, Y.; Yue, L.; Zheng, S.; Zou, J.; Chen, Z.-G. Hierarchical Structuring to Break the Amorphous Limit of Lattice Thermal Conductivity in High-Performance SnTe-Based Thermoelectrics. ACS Appl. Mater. Interfaces 2020, 12, 36370–36379. [Google Scholar] [CrossRef]
- Moshwan, R.; Liu, W.-D.; Shi, X.-L.; Wang, Y.-P.; Zou, J.; Chen, Z.-G. Realizing High Thermoelectric Properties of SnTe via Synergistic Band Engineering and Structure Engineering. Nano Energy 2019, 65, 104056. [Google Scholar] [CrossRef]
- Rietveld, H.M. A Profile Refinement Method for Nuclear and Magnetic Structures. J. Appl. Crystallogr. 1969, 2, 65–71. [Google Scholar] [CrossRef]
- Rodríguez-Carvajal, J. Recent Advances in Magnetic Structure Determination by Neutron Powder Diffraction. Phys. B Phys. Condens. Matter 1993, 192, 55–69. [Google Scholar] [CrossRef]
- Dovesi, R.; Erba, A.; Orlando, R.; Zicovich-Wilson, C.M.; Civalleri, B.; Maschio, L.; Rérat, M.; Casassa, S.; Baima, J.; Salustro, S.; et al. Quantum-mechanical Condensed Matter Simulations with CRYSTAL. WIREs Comput. Mol. Sci. 2018, 8, e1360. [Google Scholar] [CrossRef]
- Demichelis, R.; Civalleri, B.; Ferrabone, M.; Dovesi, R. On the Performance of Eleven DFT Functionals in the Description of the Vibrational Properties of Aluminosilicates. Int. J. Quantum Chem. 2010, 110, 406–415. [Google Scholar] [CrossRef]
- Laun, J.; Bredow, T. BSSE-Corrected Consistent Gaussian Basis Sets of Triple-Zeta Valence with Polarization Quality of the Fifth Period for Solid-State Calculations. J. Comput. Chem. 2022, 43, 839–846. [Google Scholar] [CrossRef]
- Casassa, S.; Erba, A.; Baima, J.; Orlando, R. Electron Density Analysis of Large (Molecular and Periodic) Systems: A Parallel Implementation. J. Comput. Chem. 2015, 36, 1940–1946. [Google Scholar] [CrossRef]
- Perlt, S.; Höche, T.; Dadda, J.; Müller, E.; Bauer Pereira, P.; Hermann, R.; Sarahan, M.; Pippel, E.; Brydson, R. Microstructure Analyses and Thermoelectric Properties of Ag1-XPb18Sb1+yTe20. J. Solid State Chem. 2012, 193, 58–63. [Google Scholar] [CrossRef]
- Kempf, N.; Luo, Z.-Z.; Xie, H.; Daw, J.; Kanatzidis, M.G.; Zhang, Y. Thermoelectric Properties of High-Performance n-Type Lead Telluride Measured in Situ in a Nuclear Reactor Core. J. Mater. Chem. A 2022, 10, 21266–21272. [Google Scholar] [CrossRef]
- Rodrigues, J.E.F.S.; Escanhoela, C.A.; Fragoso, B.; Sombrio, G.; Ferrer, M.M.; Álvarez-Galván, C.; Fernández-Díaz, M.T.; Souza, J.A.; Ferreira, F.F.; Pecharromán, C.; et al. Experimental and Theoretical Investigations on the Structural, Electronic, and Vibrational Properties of Cs 2 AgSbCl 6 Double Perovskite. Ind. Eng. Chem. Res. 2021, 60, 18918–18928. [Google Scholar] [CrossRef]
- Mi, J.-L.; Christensen, M.; Nishibori, E.; Iversen, B.B. Multitemperature Crystal Structures and Physical Properties of the Partially Filled Thermoelectric Skutterudites M0.1Co4Sb12 (M = La, Ce, Nd, Sm, Yb and Eu). Phys. Rev. B 2011, 84, 064114. [Google Scholar] [CrossRef]
- Bukshpan, S. Determination of the Debye Temperature of SnTe Using the Mössbauer Effect in 119Sn and 125Te. Solid State Commun. 1968, 6, 477–478. [Google Scholar] [CrossRef]
- Gatti, C.; Saunders, V.R.; Roetti, C. Crystal Field Effects on the Topological Properties of the Electron Density in Molecular Crystals: The Case of Urea. J. Chem. Phys. 1994, 101, 10686–10696. [Google Scholar] [CrossRef]
- Zhang, Y.; Day, T.; Snedaker, M.L.; Wang, H.; Krämer, S.; Birkel, C.S.; Ji, X.; Liu, D.; Snyder, G.J.; Stucky, G.D. A Mesoporous Anisotropic N-Type Bi2Te3 Monolith with Low Thermal Conductivity as an Efficient Thermoelectric Material. Adv. Mater. 2012, 24, 5065–5070. [Google Scholar] [CrossRef]
- Sarkar, D.; Ghosh, T.; Banik, A.; Roychowdhury, S.; Sanyal, D.; Biswas, K. Highly Converged Valence Bands and Ultralow Lattice Thermal Conductivity for High-Performance SnTe Thermoelectrics. Angew. Chem. Int. Ed. 2020, 59, 11115–11122. [Google Scholar] [CrossRef]
- Lee, Y.K.; Luo, Z.; Cho, S.P.; Kanatzidis, M.G.; Chung, I. Surface Oxide Removal for Polycrystalline SnSe Reveals Near-Single-Crystal Thermoelectric Performance. Joule 2019, 3, 719–731. [Google Scholar] [CrossRef]
- Snyder, G.J.; Snyder, A.H.; Wood, M.; Gurunathan, R.; Snyder, B.H.; Niu, C. Weighted Mobility. Adv. Mater. 2020, 32, 2001537. [Google Scholar] [CrossRef]
- Munir, Z.A.; Ohyanagi, M. Perspectives on the Spark Plasma Sintering Process. J. Mater. Sci. 2021, 56, 1–15. [Google Scholar] [CrossRef]
- Wu, Y.; Chen, Z.; Nan, P.; Xiong, F.; Lin, S.; Zhang, X.; Chen, Y.; Chen, L.; Ge, B.; Pei, Y. Lattice Strain Advances Thermoelectrics. Joule 2019, 3, 1276–1288. [Google Scholar] [CrossRef]










| Atom | Site | x | y | z | B (Å2) | focc |
|---|---|---|---|---|---|---|
| Sn | 4a | 0.0 | 0.0 | 0.0 | 0.79(8) | 0.803(13) |
| Te | 4b | 0.5 | 0.5 | 0.5 | 1.60(9) | 1.0 |
Disclaimer/Publisher’s Note: The statements, opinions and data contained in all publications are solely those of the individual author(s) and contributor(s) and not of MDPI and/or the editor(s). MDPI and/or the editor(s) disclaim responsibility for any injury to people or property resulting from any ideas, methods, instructions or products referred to in the content. |
© 2022 by the authors. Licensee MDPI, Basel, Switzerland. This article is an open access article distributed under the terms and conditions of the Creative Commons Attribution (CC BY) license (https://creativecommons.org/licenses/by/4.0/).
Share and Cite
Gainza, J.; Serrano-Sánchez, F.; Rodrigues, J.E.F.S.; Dura, O.J.; Fragoso, B.; Ferrer, M.M.; Nemes, N.M.; Martínez, J.L.; Fernández-Díaz, M.T.; Alonso, J.A. Structural Evolution from Neutron Powder Diffraction of Nanostructured SnTe Obtained by Arc Melting. Crystals 2023, 13, 49. https://doi.org/10.3390/cryst13010049
Gainza J, Serrano-Sánchez F, Rodrigues JEFS, Dura OJ, Fragoso B, Ferrer MM, Nemes NM, Martínez JL, Fernández-Díaz MT, Alonso JA. Structural Evolution from Neutron Powder Diffraction of Nanostructured SnTe Obtained by Arc Melting. Crystals. 2023; 13(1):49. https://doi.org/10.3390/cryst13010049
Chicago/Turabian StyleGainza, Javier, Federico Serrano-Sánchez, João E. F. S. Rodrigues, Oscar J. Dura, Brenda Fragoso, Mateus M. Ferrer, Norbert M. Nemes, José L. Martínez, María T. Fernández-Díaz, and José A. Alonso. 2023. "Structural Evolution from Neutron Powder Diffraction of Nanostructured SnTe Obtained by Arc Melting" Crystals 13, no. 1: 49. https://doi.org/10.3390/cryst13010049
APA StyleGainza, J., Serrano-Sánchez, F., Rodrigues, J. E. F. S., Dura, O. J., Fragoso, B., Ferrer, M. M., Nemes, N. M., Martínez, J. L., Fernández-Díaz, M. T., & Alonso, J. A. (2023). Structural Evolution from Neutron Powder Diffraction of Nanostructured SnTe Obtained by Arc Melting. Crystals, 13(1), 49. https://doi.org/10.3390/cryst13010049

