The Griffith Crack and the Interaction between Screw Dislocation and Semi-Infinite Crack in Cubic Quasicrystal Piezoelectric Materials
Abstract
:1. Introduction
2. Basic Equations of Cubic Quasicrystal Piezoelectric Material
3. Basic Solution for the Fracture Problem of Cubic Quasicrystal Piezoelectric Materials
4. Griffith Crack Problem
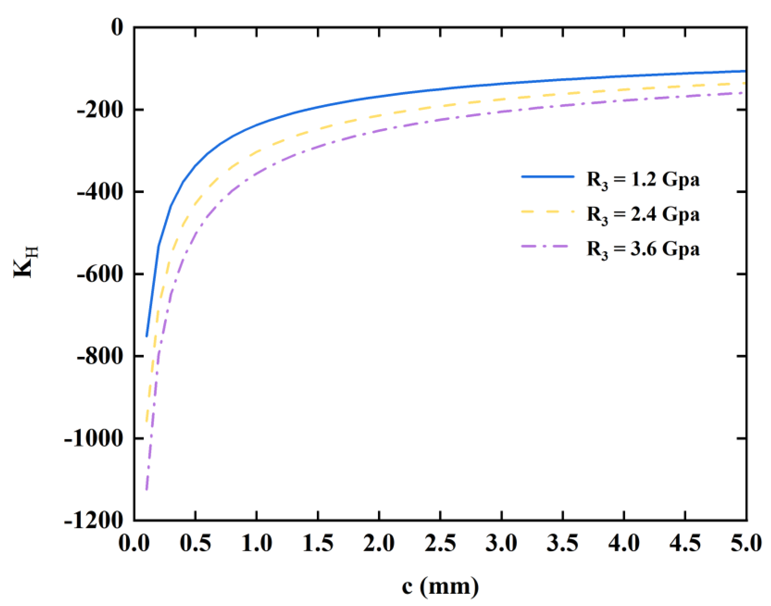
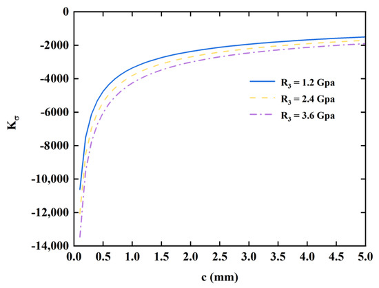
5. Interaction between Screw Dislocation and Semi-Infinite Crack
6. Conclusions
Author Contributions
Funding
Institutional Review Board Statement
Informed Consent Statement
Data Availability Statement
Conflicts of Interest
References
- Hu, C.Z.; Wang, R.H.; Ding, D.H.; Yang, W.G. Piezoelectric effects in quasicrystals. Phys. Rev. B 1997, 56, 2463–2468. [Google Scholar] [CrossRef]
- Altay, G.; Dökmeci, M.C. On the fundamental equations of piezoelasticity of quasicrystal media. Int. J. Solids Struct. 2012, 49, 3255–3262. [Google Scholar] [CrossRef]
- Li, X.Y.; Li, P.D.; Wu, T.H.; Shi, M.X.; Zhu, Z.W. Three-dimensional fundamental solutions for one-dimensional hexagonal quasicrystal with piezoelectric effect. Phys. Lett. A 2014, 378, 826–834. [Google Scholar] [CrossRef]
- Yu, J.; Guo, J.H.; Pan, E.N.; Xing, Y.M. General solutions of plane problem in one-dimensional quasicrystal piezoelectric materials and its application on fracture mechanics. Appl. Math. Mech. (Engl. Ed.) 2015, 36, 793–814. [Google Scholar] [CrossRef]
- Zhou, Y.B.; Liu, G.T. Electroplastic analysis of anti-plane type ш crack in one-dimensional hexagonal quasicrystal piezoelectric materials. Chin. J. Solid Mech. 2015, 36, 63–68. [Google Scholar]
- Guo, J.h.; Zhang, Z.Y.; Xing, Y.M. Antiplane analysis for an elliptical inclusion in 1D hexagonal piezoelectric quasicrystal composites. Philos. Mag. 2016, 96, 349–369. [Google Scholar] [CrossRef]
- Cui, X.W.; Li, L.H. Anti-plane problem of finite large one-dimensional hexagonal quasicrystal piezoelectric wedge with screw dislocation. Chin. J. Appl. Mech. 2019, 36, 1058–1062. [Google Scholar]
- Zhou, Y.B.; Liu, G.T.; Li, L.H. Effect of T-stress on the fracture in an infinite one-dimensional hexagonal piezoelectric quasicrystal with a Griffith crack. Eur. J. Mech.—A/Solids 2021, 86, 104184. [Google Scholar] [CrossRef]
- Loboda, V.; Sheveleva, A.; Komarov, O.; Lapusta, Y. An interface crack with mixed electrical conditions at it faces in 1D quasicrystal with piezoelectric effect. Mech. Adv. Mater. Struct. 2022, 29, 3334–3344. [Google Scholar] [CrossRef]
- Jiang, L.J.; Liu, G.T. The interaction between a screw dislocation and a wedge-shaped crack in one-dimensional hexagonal piezoelectric quasicrystals. Chin. Phys. B 2017, 26, 249–255. [Google Scholar] [CrossRef]
- Zhang, F.; Li, X. The Analytic Solutions of a Circular Hole with Four Cracks of One-Dimensional Hexagonal Piezoelectric Quasicrystals. J. Jiangxi Norm. Univ. (Natural Sci. Ed.) 2015, 39, 50–54. [Google Scholar]
- Bai, Q.M.; Ding, S.H. Anti-plane problem of hexagonal hole edge crack in one-dimensional hexagonal quasicrystal piezoelectric. Appl. Math. Mech. 2019, 40, 1071–1080. [Google Scholar]
- Pi, J.D.; Zhao, Y.; Li, L.H. Interaction between a ScrewDislocation and Two Unequal Interface racks Emanating from an Elliptical Hole in One Dimensional Hexagonal Piezoelectric Quasicrystal Bi-Material. Crystals 2022, 12, 314. [Google Scholar] [CrossRef]
- Zhou, W.M.; Fan, T.Y.; Yin, S.Y.; Wang, N.P. Anti-Plane Elasticity Problem and Mode III Crack Problem of Cubic Quasicrystal. J. Beijing Inst. Technol. (Engl. Ed.) 2001, 10, 250–254. [Google Scholar]
- Zhang, L. Stress Intensity of Antiplane Conjugate Cracks in Cubic Quasicrystal. J. Southwest JT. Univ. (Engl. Ed.) 2008, 16, 285–289. [Google Scholar]
- Gao, Y.; Ricoeur, A.; Zhang, L. Plane problems of cubic quasicrystal media with an elliptic hole or a crack. Phys. Lett. A 2011, 375, 2775–2781. [Google Scholar] [CrossRef]
- Suo, Y.R.; Zhou, Y.B.; Liu, G.T. Effect of T stress on the presence of cross-shaped cracks in an optically shaped quasicrystal. Acta Mech. Solida Sin. 2022, 43, 95–110. [Google Scholar]
- Zhang, J.M.; Mao, Z.H.; Feng, X.; Zhang, L.L.; Gao, Y. Free Vibration of Three-Dimensional Piezoelectric Cubic Quasicrystal Plates. In Proceedings of the 2020 15th Symposium on Piezoelectrcity, Acoustic Waves and Device Applications (SPAWDA), Zhengzhou, China, 16–19 April 2021. [Google Scholar]
- Wang, R.H.; Hu, C.Z.; Gui, J.N. Quasicrystal Physics; Science Press: Beijing, China, 2004. [Google Scholar]
- Gao, Y. Governing equations and general solutions of plane elasticity of cubic quasicrystals. Phys. Lett. A 2009, 8, 885–889. [Google Scholar] [CrossRef]





Publisher’s Note: MDPI stays neutral with regard to jurisdictional claims in published maps and institutional affiliations. |
© 2022 by the authors. Licensee MDPI, Basel, Switzerland. This article is an open access article distributed under the terms and conditions of the Creative Commons Attribution (CC BY) license (https://creativecommons.org/licenses/by/4.0/).
Share and Cite
Pi, J.; Li, L. The Griffith Crack and the Interaction between Screw Dislocation and Semi-Infinite Crack in Cubic Quasicrystal Piezoelectric Materials. Crystals 2022, 12, 1250. https://doi.org/10.3390/cryst12091250
Pi J, Li L. The Griffith Crack and the Interaction between Screw Dislocation and Semi-Infinite Crack in Cubic Quasicrystal Piezoelectric Materials. Crystals. 2022; 12(9):1250. https://doi.org/10.3390/cryst12091250
Chicago/Turabian StylePi, Jiandong, and Lianhe Li. 2022. "The Griffith Crack and the Interaction between Screw Dislocation and Semi-Infinite Crack in Cubic Quasicrystal Piezoelectric Materials" Crystals 12, no. 9: 1250. https://doi.org/10.3390/cryst12091250
APA StylePi, J., & Li, L. (2022). The Griffith Crack and the Interaction between Screw Dislocation and Semi-Infinite Crack in Cubic Quasicrystal Piezoelectric Materials. Crystals, 12(9), 1250. https://doi.org/10.3390/cryst12091250
