Abstract
Chlorodifluoromethane (HCFC-22) is one of the air pollutants that destroy the ozone layer and warm the earth. In order to degrade HCFC-22, the catalytic hydrolysis method is currently the most effective environmental technology. Herein, we prepare solid acid MoO3/ZrO2 and solid base MgO/ZrO2 catalysts for the degradation of HCFC-22, with a particular focus on revealing the effects of the catalyst preparation methods, calcination temperatures, and hydrolysis temperatures on the hydrolyzation and hydrolysis rates of HCFC-22. The catalysts are characterized by XRD, N2 isothermal adsorption–desorption, and NH3-TPD. The results show that the solid acid (base) MoO3(MgO)/ZrO2 catalysts have strong catalytic activity for the degradation of HCFC-22, while the catalytic activity of the solid acid MoZr is better than that of the solid base MgZr catalyst and the hydrolysis rate can reach more than 90%. The water vapor generates B-acid centers on the MoO3(MgO)/ZrO2 framework and promotes the hydrolysis of HCFC-22 to HF and HCl.
1. Introduction
Freon is a general term for chlorofluorocarbons, abbreviated as CFCs, which were first synthesized by American scientists led by Thomas Mickeli in 1928. Chlorodifluoromethane (HCFC-22) is one of the most widely used alternatives to CFCs; due to its stable chemical properties and low cost, it has been widely used in refrigerants [1], fire-extinguishing agents [2], and the foaming agents of foamed plastics [3]. However, as HCFC-22 can cause ozone depletion [4] and greenhouse effects [5], once discharged into atmosphere it can cause unpredictable disasters. Consequently, HCFC-22 decomposition has attracted widespread public attention [6]. Various processes for the harmless decomposition of HCFC-22 have been proposed. These include high-temperature decomposition, plasma treatment, supercritical hydrolysis, and plasma heating methods [7,8,9]. The above methods have many problems, such as the large energy consumption rates, cumbersome operation process, and contributions to environmental pollution. Compared with the above methods, catalytic hydrolysis seems to be the most practical and energetically favorable approach. It has many advantages, including its simple process, ease of establishment, and low reaction temperature, while the hydrolyzate will not cause secondary pollution to the environment [10,11]. It is well known that for catalytic hydrolysis reactions, the development of a highly efficient catalyst is the main challenge.
Thus, many scientists have done a lot of research on the catalytic degradation of CFCs. These studies found that the use of solid base and solid acid catalysts was thought to be most suitable process for the degradation of CFCs, because it was considered an economically benign decomposition method. Karmakar et al. [12] reported on the use of a titania catalyst for the decomposition of CFC-12 in the presence of water vapor. Niedersen et al. [13] found that sulfated zirconia was a very suitable catalyst for the catalytic hydrolysis of CFCs. Hino and Arata [14] prepared a loaded oxide solid super acid MoO3/ZrO2 catalyst. Liu et al. [15,16,17] studied a solid base Na2O(CaO)/ZrO2 catalyst for the catalytic hydrolysis of CFC-12. The results showed that CO2 and CClF3 were the main components. Huang et al. [18] studied the catalytic hydrolysis of HCFC-22 using a solid acid MoO3/ZrO2-TiO2 catalyst. The results showed that the degradation rate of the HCFC-22 reached 96.21%. Zhao et al. [19] reported that a solid acid TiO2/ZrO2 catalyst showed good catalytic hydrolysis activity in the catalytic hydrolysis of CFC-12. Zhou et al. [20] studied the composite catalyst MoO3-MgO/ZrO2 for the catalytic hydrolysis of CFC-12, and the degradation rate of CFC-12 reached 98.43%. Based on the above, the catalytic hydrolysis of HCFC-22 over solid acid and solid base catalysts may be a promising approach.
In this paper, the catalytic performance of solid acid MoO3/ZrO2 and solid base MgO/ZrO2 catalysts for the degradation of HCFC-22 was studied using the catalytic hydrolysis method due to the simple preparation method for the catalyst and the low price of the raw materials. The effects of the preparation method on the catalyst, calcination temperatures, and hydrolysis temperatures and on the hydrolysis products and hydrolysis rate of HCFC-22 were investigated. With nitrogen as the carrier gas, HCFC-22 was mixed with water vapor. The catalytic hydrolysis of HCFC-22 at a low concentration was achieved after a catalytic reaction bed was filled with the catalysts. Compared with the previous research results, this study proposed the MoO3(MgO)/ZrO2 catalyst for the catalytic hydrolysis of HCFC-22, which improved the degradation rate of HCFC-22 from 96.21% to 99.99%, without the generation of by-products, while HCFC-22 was almost completely degraded. This study can provide some theoretical references for the harmless treatment of low-concentration HCFC-22.
2. Results and Discussion
2.1. Characterization of Solid Acid MoO3/ZrO2 Catalyst
2.1.1. X-ray Diffraction Patterns of MoO3/ZrO2
In order to determine the effect of the phase structure of the catalyst on its performance, an X-ray diffraction pattern (XRD) analysis was carried out using a Bruker D8 Advance X-ray diffractometer in Karlsruhe, Germany with Ni-filtered Cu Kα radiation (λ = 0.154 nm). The diffraction curves were recorded from 10° to 90° with a scanning rate of 12°·min−1. Having been calcinated at different temperatures, the XRD patterns of the catalysts are depicted in Figure 1a. The catalyst calcinated at 550 °C and 600 °C showed obvious characteristic peaks at 2θ of 30.3°, 35.3°, 50.4°m and 60.3°, which may represent tetragonal-phase ZrO2. At calcination temperatures of 650 °C and 700 °C, there were extra peaks at 2θ = 23.1°, representing the Zr(MoO4)2 phase, which indicated that there was a chemical interaction between the metal and carrier [21,22]. It can be seen from Figure 1b that when the calcination temperature increased from 550 °C to 700 °C, the lattice parameters of the MoZr catalyst decreased first and then increased. When the calcination temperature was 600 °C, the lattice parameters of the MoZr catalyst decreased. No diffraction peak of MoO3 appeared, which may imply that MoO3 was highly dispersed on the support or penetrated the skeleton of ZrO2 in an amorphous form [23,24].
Figure 1.
(a) XRD patterns of MoZr catalyst different calcination temperatures. (b) Lattice parameters of MoZr catalysts: 550 °C: a = b = 3.59 Å, c = 5.22 Å; 600 °C: a = b = 3.59 Å, c = 5.13 Å; 650 °C: a = b = 3.60 Å, c = 5.14 Å; 700 °C: a = b = 3.59 Å, c = 5.20 Å.
2.1.2. N2 Isothermal Adsorption–Desorption Characterization of MoO3/ZrO2
To explore the change in the surface structure of the MoZr catalyst, the SBET and pore volume were characterized, and the results are shown in Figure 2. According to the IUPAC classification standard, the adsorption–desorption isotherm of the MoZr catalyst is a class-Ⅳ-type isotherm, which has the characteristics of typical mesoporous materials. In the range of P/P0 = 0.3–0.8, there are obvious N2 adsorption–desorption hysteresis loops, which can be classified as H2 hysteresis loops, and capillary condensation occurs at higher relative pressures.
Figure 2.
N2 adsorption–desorption curve of MoZr calcinated at 600 °C.
To further understand the physical structures of the catalysts with different calcination temperatures, the specific surface area, pore volume, and average pore diameter statistics were measured (Table 1); the specific surface area decreased more drastically from 197 m2/g at 500 °C to 74 m2/g at 700 °C, while the average pore size increased in sequence. These results indicate that the catalyst underwent a certain degree of sintering. With the increase in calcination temperatures, the relative pressure of the MoZr hysteresis ring increases, indicating that an increase in calcination temperatures will increase the pore diameter of the catalyst.
Table 1.
Structural properties of solid acid MoZr.
2.1.3. NH3 Temperature-Programmed Desorption
NH3 temperature-programmed desorption (NH3-TPD) is an effective method to characterize the surface acidity of solid acid catalysts. NH3-TPD can provide information such as the number of active acid centers, the strength of the acid centers, and the amount of acid corresponding to the acid strength [25]. It is generally believed that the desorption peak corresponds to the weak acid position below 200 °C, the desorption peak corresponds to the medium-strong acid position between 200–350 °C, and the desorption peak corresponds to the strong acid position between 350–500 °C.
The NH3-TPD profile of the catalysts was studied, as shown in Figure 3 and Table 2. The MoZr catalyst calcinated at 500 °C contained a weak acid desorption peak (α), a medium-strong acid desorption peak (β), and a strong acid desorption peak, respectively (γ) [26]. The NH3 desorption temperatures were 100–150 °C, 200–230 °C, and 500–700 °C. The peak area was proportional to the adsorption capacity of the NH3. The γ desorption peak was weak, indicating that the content of the strong acid was low. The calcination temperatures had a great effect on the acidity of the catalyst. The MoZr catalyst calcinated at 600 °C had the strongest α desorption peak and the weakest acid content. In contrast, the MoZr catalyst calcinated at 700 °C had the weakest α desorption peak but showed the lowest content of the weak acid. The results show that the MoZr catalyst calcinated at 600 °C has the best effect on the catalytic hydrolysis of HCFC-22, with the worst calcination result at 700 °C. In combination with the NH3-TPD characterization, the weak acid sites also had strong catalytic activity on HCFC-22. When the catalysts were calcinated at 600 °C and 700 °C, the γ desorption peak disappeared, because the higher calcination temperatures were not conducive to the formation of strong acid sites. Table 2 reveals the amounts of acid in the catalysts, calculated according to the desorption peak area. The weak acid sites first increased and then decreased with the calcination temperatures, while the strong acid sites showed a downward trend. The calcination temperature was 600 °C, and the weak acid sites had the highest acid content and catalytic activity, indicating that the weak acid sites played a good role in promoting the catalytic activity of the catalyst [27].
Figure 3.
NH3-TPD diagram of MoZr.
Table 2.
Acid properties of the MoO3/ZrO2 catalyst.
2.2. Catalytic Performance of Solid Acid MoO3/ZrO2 Catalyst
The effects of the catalyst calcination temperatures and catalytic hydrolysis temperatures on the hydrolyzate and hydrolysis rates of HCFC-22 were investigated, and the results are shown in Figure 4. It was observed that the hydrolysis rate of HCFC-22 gradually increased with the increases in temperature due to the decomposition reaction of HCFC-22 being an endothermic reaction at medium and low temperatures, which causes the chemical equilibrium to shift to the right. The reaction is as follows:
CHClF2 + H2O→CO + HCl + HF
Figure 4.
Effects of the catalyst calcination temperatures and catalytic hydrolysis temperatures on the hydrolysis rate of HCFC-22 (feed gas composition (mol %): 4.0 HCFC-22, 25.0 H2O(g), 10 O2, and N2; the total flow rate was 15 cm3/min and catalyst was 1.0 g).
With the increases in catalytic hydrolysis temperature (100–400 °C), the hydrolysis rate of HCFC-22 increased gradually. With the increases in calcination temperature (500–700 °C), the hydrolysis of HCFC-22 firstly increased and then decreased. When the catalytic hydrolysis temperature was 250 °C, the catalyst calcined at 600 °C had the best effect in terms of hydrolyzing HCFC-22, and the hydrolysis rate reached 99.99%. The catalyst calcined at 700 °C had the worst effect on hydrolyzing HCFC-22. Therefore, too high or too low calcination temperatures are unfavorable for the catalytic hydrolysis reaction. Combined with the NH3-TPD results (Figure 3), the calcination temperature was higher, the surface structure of the catalyst was destroyed, and the specific surface area of the catalyst and the catalytic activity of the catalyst were reduced. The results show that when calcinated at 600 °C, the MoZr catalyst showed a very high hydrolysis rate (almost 100%), which indicates that the specific surface area and pore size were moderate, the content of weak acids was large, and the catalyst had a higher hydrolysis rate for HCFC-22.
2.3. Characterization of Solid Base MgO/ZrO2 Catalyst
2.3.1. X-ray Diffraction
The XRD patterns of the solid base MgO/ZrO2 catalyst prepared via coprecipitation method are shown in Figure 5. The diffraction peaks at 2θ = 30.3°, 35.2°, 50.4°, and 60.3° are characteristic diffraction peaks of tetragonal zirconia (t-ZrO2). The standard card is JCPDS 88-1007 corresponding to crystal planes of (101), (110), (112), and (211). Schuth et al. [28] believed that zirconia exists only in the monoclinic phase and tetragonal phase at 1170 °C and is metastable. With the calcination temperature rising from 500 °C to 800 °C, the tetragonal phase tends to change to the monoclinic phase. However, the tetragonal phase ZrO2(t-ZrO2) rather than the monoclinic phase was detected in this study. This phenomenon was attributed to the doping effect of Mg2+. More importantly, the zirconia crystallization was completed, and the Mg2+ ions could replace Zr4+ ions in the host crystal lattice to form the MgZr-C solid solution, generating a stable MgO-ZrO2 solid solution. Mg2+ ions were introduced into the t-ZrO2 carrier, indicating that there existed an amorphous form of Mg(NO3)2 • 6H2O. It has been reported that MgO is added to ZrO2 or stays on the surface of the ZrO2 matrix, according to the preparation process [29].
Figure 5.
XRD pattern of MgZr-c prepared using the coprecipitation method.
Figure 6 shows the XRD patterns of the solid base MgZr-i catalysts, which were prepared using the impregnation method. The diffraction peak intensities of the MgZr-i catalyst vary greatly when prepared at different calcination temperatures, but there is no deviation to a certain extent. The calcination temperature of the catalyst was 500 °C, the crystal phase of ZrO2 was a mixed state of the tetragonal phase and monoclinic phase, and its diffraction peak intensity was relatively weak. With the gradual increase in calcination temperatures, the monoclinic phase of ZrO2 gradually increased and the diffraction peak became sharper and sharper, indicating that the catalysts were sintered to a certain extent, while the grain size became larger, which was consistent with the BET characterization. Meanwhile, the MgZr catalyst prepared using the impregnation method made MgNO3•6H2O uniformly distributed on the surface of the ZrO2. Since MgO had not yet reached the detection threshold, no diffraction peak of MgO was found in the XRD pattern. As can be seen from Figure 7, when the calcination temperature was 700 °C, the lattice parameters of the MgZr catalyst decreased and the cell volume shrank. Because Mg2+ replaced the position of the Zr4+ particles in the lattice and the radius of Mg2+ was smaller than that of Zr4+, the lattice parameters decreased. The lattice displacement of ZrO2 occurs due to the doping effect.
Figure 6.
XRD pattern of MgZr-i catalysts formed by impregnation method.
Figure 7.
Lattice parameters of MgZr catalysts: coprecipitation method: 500 °C: a = b=3.60 Å, c = 5.12 Å; 600 °C: a = b = 3.60 Å, c = 5.15 Å; 700 °C: a = b = 3.59 Å, c = 5.11 Å; 800 °C: a = b = 3.60 Å, c = 5.11 Å; impregnation method: 500 °C: a = b = 3.59 Å, c = 5.20 Å; 600 °C: a = b = 3.61 Å, c = 5.16 Å; 700 °C: a = b = 3.59 Å, c = 5.20 Å; 800 °C: a = b = 3.61 Å, c = 5.15 Å.
2.3.2. N2 isothermal Adsorption–Desorption
The N2 adsorption–desorption isotherms were applied to measure the pore structure of the catalysts. Figure 8 gives the N2 adsorption–desorption isotherms and pore size distribution. According to the IUPAC classification standard, the isotherm of the catalysts is a class-Ⅳ-type isotherm. The stripping line is distributed in the pores of a relatively narrow mesoporous material, which indicates the existence of a mesoporous framework [30]. In the range of P/P0 = 0.78–1.0, there were obvious hysteresis loops. These could be classified as H1 hysteresis loops, and the holes were mainly straight tube holes, which showed typical mesoporous characteristics. With the increase in calcination temperatures, the relative pressure at the close point of the MgZr hysteresis loop increases, indicating that an increase in calcination temperature will increase the pore diameter of the catalyst. To further understand the physical structure of the catalysts with different calcination temperatures, the specific surface area, pore volume, and average pore diameter statistics are listed in Table 3.
Figure 8.
N2 adsorption–desorption curve of MgO/ZrO2 catalyst calcinated at 700 °C.
Table 3.
Specific surface area, average pore size, and total pore volume of the solid base MgZr.
The specific surface area and total pore volume of the catalyst gradually decrease with the calcination temperature increase, and the average pore diameter increases slowly. Compared with the impregnation method, the specific surface area of the catalyst prepared via the coprecipitation method has been greatly improved. The calcination temperature was 500 °C and the specific surface area was 135 m2/g. With the increase in calcination temperature to 800 °C, the specific surface area decreases dramatically to 15 m2/g, indicating that the catalyst has been sintered. As shown in Figure 6, as the characteristic signal values increase, the surface area of the catalyst prepared by impregnation decreases slowly. Combined with the XRD results (Figure 5 and Figure 6), with the increase in catalyst calcination temperature, the monoclinic-phase ZrO2 dominates, the diffraction peak becomes sharper, the degree of crystallization increases, and the grain size becomes larger, exhibiting a gradual decrease in the specific surface area of the catalyst as the result of the joint action of the ZrO2 crystal-phase transformation and catalyst sintering.
2.3.3. CO2 Temperature-Programmed Desorption
In order to study the basic performance of the MgO/ZrO2 catalyst, the CO2-TPD profile was determined. Based on the characterization, the alkalinity strength and total alkalinity of the catalyst can be evaluated. The CO2 desorption peak occurs at a lower temperature, the MgO/ZrO2 catalyst forms a weak base site, and the strong base site is the opposite [31]. Namely, the higher the CO2 desorption temperature, the higher the surface alkalinity.
The solid base MgO/ZrO2 catalyst prepared via coprecipitation method was analyzed via CO2-TPD, and the results are shown in Figure 9. The CO2 desorption peaks of the MgZr-c catalyst were composed of α, β, and γ peaks at 50–100 °C, 100–200 °C, and 750–900 °C, respectively. The presence of α and β desorption peaks may be related to the ZrO2 corresponding to the surface alkalinity of ZrO2 [32], which is associated with the interaction between the weak base sites and hydroxyl groups on the surface. As the calcination temperature increased, the desorption amount of CO2 decreased obviously and the desorption peak moved slightly in the direction of the low temperature. The desorption temperature of desorption peak γ is close to the desorption temperature of MgO, which can be attributed to the MgO desorption peak on the surface of the carrier ZrO2, while the occurrence of γ desorption peaks is associated with metal–oxygen pairs (including Mg-O and Zr-O) and low-coordination oxygen atoms (O2−) [33].
Figure 9.
CO2-TPD patterns of MgZr-c catalyst prepared by coprecipitation method.
A CO2-TPD diagram of the solid base MgZr-i catalyst was prepared via impregnation method, as shown in Figure 10. The CO2 desorption peak of the MgZr-i catalyst was only the CO2 desorption peak of the ZrO2. Due to the peak area and strength, we did not see the γ desorption peak. The CO2 desorption peak was significantly reduced with the calcination temperature increase. Compared with the coprecipitation method, the α and β desorption peaks tend to move in the low-temperature direction. Combined with the XRD analysis, the crystalline phase of ZrO2 prepared via impregnation method is dominated by the monoclinic phase, while that prepared via coprecipitation method is dominated by the tetragonal phase. The alkalinity of the tetragonal phase ZrO2 was slightly higher than that of the monoclinic phase, indicating that the stronger the alkalinity, the higher the catalytic activity. The basic site distribution and total alkalinity of the solid base MgO/ZrO2 catalyst are listed in Table 4.
Figure 10.
CO2-TPD diagram of MgZr-i prepared by impregnation method.
Table 4.
Base properties of MgO/ZrO2 catalysts.
As can be seen from Table 4, as the calcination temperature increased from 500 °C to 800 °C, the amount of weak base in the solid base MgO/ZrO2 catalyst gradually decreased. The NH4+ and NH3 adsorbed on the catalyst are directly activated after participating in the reaction, while the NH4+ adsorbed on the Brønsted acid site in the catalyst can only be activated after migrating to the active site of the catalyst, then participating in the reaction [34]. The calcination temperature was 700 °C, and the synergistic effect between the NH3 adsorption site and activation site might have an important effect on the catalyst, meaning that solid base MgO/ZrO2 catalyst has a good catalytic performance for HCFC-22.
2.4. Catalytic Performance of Solid Base MgO/ZrO2 Catalyst
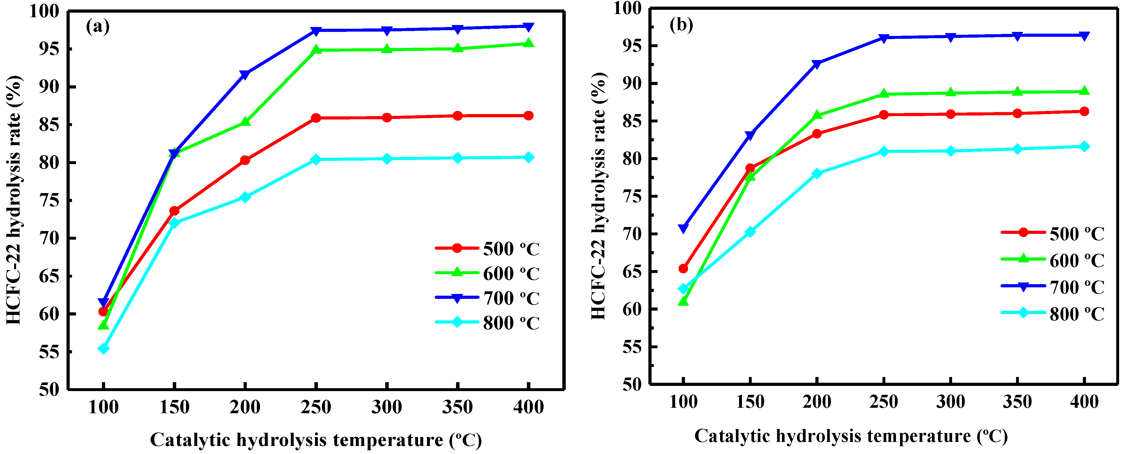
The effects of the calcination temperatures and catalytic hydrolysis temperatures of the MgZr catalyst on the hydrolyzation and hydrolysis rates of HCFC-22 were studied and are shown in Figure 11. As shown in Figure 11a, as the catalytic hydrolysis temperature increased from 100 °C to 400 °C, the hydrolysis rate of HCFC-22 gradually increased. The catalytic hydrolysis temperature was 400 °C and the calcination temperature was 700 °C. The catalyst prepared via coprecipitation method had the best effect on the catalytic hydrolysis of HCFC-22, for which the hydrolysis rate of HCFC-22 reached 98.03%. From the XRD and BET analysis results, the sharp diffraction of ZrO2 in the XRD image indicated that the catalyst had good crystallinity. The BET results showed that the catalyst had a moderate specific surface area and pore size, which may have been the reason for the good hydrolysis effect.
Figure 11.
Effects of the catalyst calcination temperatures and catalytic hydrolysis temperatures on the hydrolyzation and hydrolysis rates of HCFC-22 samples formed by (a) coprecipitation method and (b) impregnation method.
Figure 11b shows that the calcination temperature of the catalyst prepared via impregnation method was 700 °C and the catalytic hydrolysis temperature was 400 °C, while the hydrolysis rate of HCFC-22 reached 96.41%. Compared with Figure 11a, the solid base MgZr catalyst prepared via coprecipitation method had a better catalytic hydrolysis effect on HCFC-22. This may have been because the catalysts prepared via coprecipitation method mainly exist in the form of the tetrocheal-phase ZrO2 (t-ZrO2), while the ZrO2 crystal phase in the impregnation method is the monocline phase. The basicity of tetragonal-phase ZrO2 is slightly higher than in the monocline-phase, indicating that the stronger the basicity is, the higher the catalytic activity. Another aspect is attributed to the doping effect of Mg2+, as Mg2+ ions are introduced into the t-ZrO2 carrier to generate a stable MgO-ZrO2 solid solution, which improves the basicity of the oxygen vacancies on the catalyst’s surface and greatly improves the specific surface area of the catalyst.
2.5. The Contrast of the Catalytic Performance of Solid Acid (Base) MoO3(MgO)/ZrO2 Catalysts
We compared the catalytic performance of the solid acid MoO3/ZrO2 catalyst with the solid base MgO/ZrO2 catalyst for HCFC-22, as shown in Table 5. The catalytic performance of the two catalysts increased with the increase in catalytic hydrolysis temperatures. When the hydrolysis temperature of the solid acid MoZr catalyst was 250 °C and the calcination temperature was 600 °C, the hydrolysis rate of HCFC-22 reached 99.99%. When the hydrolysis temperature of the solid base MgZr catalyst was 250 °C and the calcination temperature was 600 °C, the hydrolysis rates of HCFC-22 reached 94.83% (coprecipitation method) and 88.55% (impregnation method).
Table 5.
Catalytic performance of solid acid MoO3/ZrO2 and solid base MgO/ZrO2 catalysts.
At calcination temperatures of 500 °C and 600 °C, the catalytic performance of the solid acid MoZr catalyst is higher than that of the solid base MgZr catalyst. At the calcination temperature of 700 °C, the catalytic performance of the solid base MgZr catalyst is higher than that of solid acid MoZr catalyst. It may be that MgO is not evenly dispersed on the surface of the carrier ZrO2 at the calcination temperature of 600 °C, which inhibits the doping effect of Mg2+, meaning that the catalyst cannot provide efficient catalytic performance. At the calcination temperature of 700 °C, MgO and ZrO2 form a solid solution, and Mg2+ enters the lattice of ZrO2 and replaces Zr4+ to form the Mg-O-Zr structure. Mg2+ is less electronegative than Zr4+, the electron cloud density and electronegativity are increased, and the surface of the solid base MgZr is strongly alkaline due to the lattice oxygen. The solid acid (base) MoO3(MgO)/ZrO2 catalysts had strong catalytic activity when HCFC-22 was catalyzed. The hydrolyzates of HCFC-22 are CO, HCl, and HF. Compared with the metal oxide catalysts reported in the previous literature, the MoO3(MgO)/ZrO2 catalyst has the advantages of high catalytic activity, simple operating conditions, a short reaction time, easy recovery of the catalyst, and no secondary pollutants. In this study, we achieved the catalytic hydrolysis of low-concentration HCFC-22, providing a certain theoretical basis for the practical application of the degradation of HCFC-22.
2.6. Mechanism of Catalytic Hydrolysis for HCFC-22
The NH3-TPD and XRD results showed that MoO3 may form strong acidic sites with ZrO2 through strong interaction forces. The acid center model is shown below.
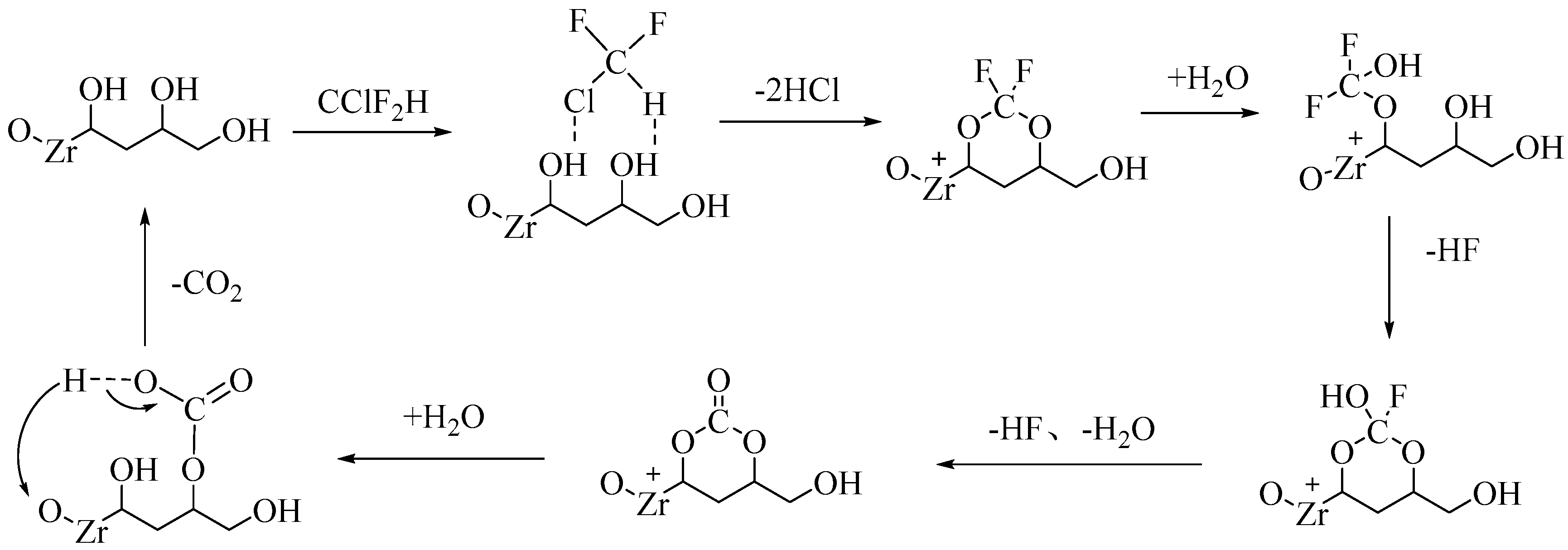
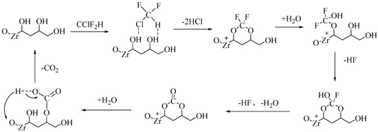
As can be seen from Figure 12, the solid acid MoO3 has L-acid and B-acid centers, and the Mo anion clusters on the surface of the ZrO2 (the weak acid properties of the Mo-OH-Mo or Zr-OH-Mo bridge hydroxyl groups) provide a lot of negative charges. During the catalytic hydrolysis of HCFC-22 by MoO3/ZrO2, the water vapor plays a role in forming B-acid centers on the MoO3/ZrO2 framework and promotes the hydrolysis of HCFC-22 into HF and HCl. As Cl- is less electronegative than F-, HCl is desorbed from the catalyst surface before HF and reacts with ZrO2 in the catalyst to form ZrCl2; the reason may be that ZrCl2 is found via XRD detection but ZrF2 is not. The formation of the B-acid center from Zr4+ is the main acid center for the decomposition of HCFC-22 into CO2. The possible mechanism of the catalytic hydrolysis of MoO3/ZrO2 for HCFC-22 is shown in Figure 13.
Figure 12.
The acid center model of MoO3/ZrO2.
Figure 13.
Schematic drawing of the catalytic hydrolysis of HCFC-22 by MoO3/ZrO2.
Zirconium hydroxide exists in the form of tetramer [Zr4(OH)8(H2O)18]8+, which is dissolved in water and converted into tetramer ion [Zr4(OH)14(H2O)10]2+. Each zirconium atom contains 2–3 non-bridging hydroxyl groups. Zirconium tetramers are bonded by hydroxyl bridge bonds to form a polymer [Zr(Ox(OH) 4−2x• yH2O]. The CO2-TPD and XRD results show that the basicity of the surface lattice oxygen in the metal oxide solid base is closely related to the properties of the metal ions. The stronger the electron donor capacity of the metal ions, the stronger the basicity of the oxygen. MgO and ZrO2 form a solid solution, and Mg2+ replaces the position of the Zr4+ particle in the lattice and forms a Mg−O−Zr structure, which makes the crystal ZrO2 lattice shift. Moreover, the electronegativity of Mg2+ is less than that of Zr4+, and the formation of the Mg−O−Zr structure further increases the density of the lattice oxygen O2− electron cloud and enhances the electronegativity. The change in O2- electron cloud density caused by the embedding of Mg2+ into the lattice produces the basic potential. The initial decomposition step of HCFC-22 is hydrolytic. The water vapor is adsorbed and dissociated on MgO/ZrO2, then the HCFC-22 is substituted with the adsorbed water vapor on the surface and bulk phase of the catalyst to generate CO2, HF, HCl, and other gases. The mechanism of the catalytic hydrolysis for HCFC-22 by MgO/ZrO2 is speculated and shown in Figure 14.
Figure 14.
Schematic drawing of the synthesis catalytic hydrolysis of HCFC-22 by MgO/ZrO2.
3. Experimental Section
3.1. Catalyst Preparation
The chemical reagents and solvents used in this research have a high purity percentage. The process of preparing the MoO3/ZrO2 catalyst using the impregnation method was as follows: Place 0.15 mol/L ZrOCl2•8H2O (Sino pharm group Chemical Reagents Company Limited) solution in a 250 mL beaker. Heat the solution to 60 °C in a water bath, stir to dissolve it completely, then slowly add 25% ammonia solution until the pH reaches 9~10 and continue stirring at 60 °C for 1 h. After this process, the reaction solution was sealed and stood at room temperature for 12 h, then it was washed until there was no Cl−. The filter cake was dried in an oven at 110 °C for 12 h. It was then impregnated with 0.5 mol/L (NH4)6Mo7O24•4H2O (Tianjin wind boat Chemical Reagents Company Limited) solution for 4 h at 80 °C, then filtered and dried in an oven at 110 °C for 24 h. Finally, the samples were calcinated at 500 °C, 550 °C, 600 °C, 650 °C, and 700 °C for 3 h, and the samples were denoted as MoZr.
The MgO/ZrO2 catalyst was prepared via coprecipitation and impregnation methods. Coprecipitation method: ZrOCl2•8H2O and Mg(NO3)2•6H2O (Tianjin wind boat Chemical Reagents Company Limited) were mixed into an aqueous solution of 0.15 mol/L according to n(Mg):n(Zr) = 0.3:1. The water bath was heated to 60 °C and stirred to dissolve the solution. Then, 25% ammonia solution was added slowly until the pH reached 9~10. The filter cake was dried at 110 °C for 12 h and calcinated at 500 °C, 600 °C, 700 °C, and 800 °C for 6 h, respectively. Then, the samples were denoted as MgZr-c.
Impregnation method: First, 0.15 mol/L ZrOCl2•8H2O solution was prepared in a 250 mL beaker and heated to 60 °C in a water bath. The cake was dried at 110 °C for 12 h after standing at room temperature for 12 h. The cake was then drained and washed until there was no Cl−. The dried filter cake was impregnated for 12 h (n(Mg): n(Zr) = 0.3:1) in 0.5 mol/L Mg(NO3)2•6H2O solution at 40 °C and filtered. The filter cake was dried at 110 °C for 12 h and calcined at 500 °C, 600 °C, 700 °C, and 800 °C for 6 h. The samples were denoted as MgZr-i.
3.2. Catalyst Characterization
The X-ray diffraction (XRD) patterns were assessed on a Bruker D8 Advance X-ray diffractometer in Germany using Cu Kα radiation, operating at 40 kV and 40 mA. The data were collected with 2θ values ranging from 10 to 90° using a step size of 0.01 °/s. The phase composition and structural degree of the samples were measured with a BELSORP-max Ⅱ gas adsorption instrument (McGee Bayer Co., Ltd., Durham, NC, USA) under liquid N2 temperature using N2 as the adsorbate. The surface acidity of the sample was measured on an American AutoChem II 2920 (Mike Company, Norcross, GA, USA) automatic chemical adsorption instrument. NH3 temperature-programmed desorption (NH3-TPD) was used to measure the NH3 adsorption on Lewis and Brønsted acid sites in the catalysts. The following experimental steps were followed: (1) the samples were pretreated at 200 °C under helium flow, NH3 was adsorbed at 200 °C, then the temperature was raised at a rate of 10 °C/min from 200 to 900 °C; (2) the amount of NH3 desorbed was detected by gas chromatography; (3) the NH3 desorption signal was detected by TCD. The surface alkalinity of the sample was measured using an American AutoChem II 2920 (Mike Company, USA) automatic chemical adsorption instrument. Here, 0.1 g sample was pretreated in an argon atmosphere at 700 °C for 2 h. After cooling to 30 °C, the CO2 was adsorbed until reaching saturation and purged with argon for 0.5 h to drive off the CO2 that had physically adsorbed on the surface. The temperature was increased to 900 °C at a rate of 10 °C/min, and the CO2 desorption signal was detected via TCD.
3.3. Catalyst Evaluation
Here, 1.00 g of catalyst and 50 g of quartz sand were mixed evenly and placed in the quartz tube. The simulated gas composition (mol%) was 4.0 CFCs, 25.0 H2O (g), while the rest was N2. Silicagel was used as a desiccant and NaOH solution was used as the absorbent of acidic gases (HCl and HF). The samples were started 10 min after the temperature reached the target reaction temperature, and then qualitative and quantitative analyses of HCFC-22 in the reaction gas were carried out via gas chromatography-mass spectrometry (GC/MS). The hydrolysis rate of HCFC-22 was used to evaluate the catalytic hydrolysis effect. The detection conditions were as follows: the inlet temperature was 80 °C, the column temperature was 35 °C, with holding for 2 min; the carrier gas was high-purity He (He ≥ 99.99%), the column flow rate was 1 mL/min, with a constant current mode and split ratio of 200:1; the mass ion source was EI, the electron energy was 70 eV, the ion source temperature was 260 °C, the transmission line temperature was 280 °C, and the injection volume was 0.1 mL. The calculation formula was as follows:
[HCFC-22 hydrolysis rate] = ([HCFC-22]import − [HCFC-22]export)/[HCFC-22]import × 100%
4. Conclusions
In conclusion, a solid acid MoZr catalyst and solid base MgZr catalyst were used to catalyze the hydrolysis of HCFC-22, which exhibited high catalytic activity. The catalytic hydrolysis effect of the solid acid MoZr was better than that of the solid base MgZr, and the hydrolysis rate reached more than 90%. The high dispersion of MoO3 facilitates the transition of ZrO2 from the monocline phase to the tetragonal phase, providing a weaker acid content. The electron cloud density and electronegativity could be promoted by the introduction of Mg2+, resulting in the formation of more oxygen vacancies, a stronger Brønsted acid, and larger specific surface area, which would increase the hydrolysis rate of HCFC-22. The optimum catalytic performance of the MoO3(MgO)/ZrO2 catalyst was determined in this study, and the degradation rate of HCFC-22 was improved. The experimental results show that the optimum catalytic conditions for the catalyst MoO3/ZrO2 to hydrolyze HCFC-22 were as follows: the calcination temperature was 600 °C, the catalytic hydrolysis temperature was 250 °C, and the hydrolysis rate of HCFC-22 reached 99.99% under this reaction condition. The optimum catalytic conditions for the catalytic hydrolysis of HCFC-22 by the catalyst MgO/ZrO2 were as follows: the calcination temperature was 700 °C, the catalytic hydrolysis temperature was 400 °C, and the hydrolysis rates of HCFC-22 reached 98.03% (coprecipitation method) and 96.41% (impregnation method) under these reaction conditions. Compared with the functional ligand-based materials mentioned in this paper (zeolite, WO3/MxOy, Na2O/ZrO2, CaO/ZrO2), the MoO3(MgO)/ZrO2 catalyst has the advantages of high catalytic activity, simple operating conditions, a short reaction time, and easy recovery of the catalyst, providing a certain theoretical basis for the practical application of the degradation of low concentrations of HCFC-22.
Author Contributions
All authors contributed to the conception and design of the study. Conceptualization, X.T. and T.L.; methodology, X.T. and J.M.; formal analysis, X.T. and G.R.; writing—original draft, X.T. and J.M.; writing—review and editing, X.T., J.M. and T.L.; supervision, T.L.; funding acquisition, T.L.; software, Y.C. and L.J. All authors have read and agreed to the published version of the manuscript.
Funding
The present work was financially supported by the National Natural Science Foundation of China (51568068) and the Young and Middle-Aged Academic and Technical Leaders Reserve Talent Program (202105AC160054).
Institutional Review Board Statement
Not applicable.
Informed Consent Statement
Not applicable.
Data Availability Statement
Not applicable.
Acknowledgments
Yunnan Minzu University is gratefully acknowledged for providing us with the facilities for the gas chromatography mass spectrometry study. I would like to thank Junhao Mao and Guoqing Ren for their help with the experiment, Yu Chang and Lijuan Jia for their help with the drawing software, and Professor Tiancheng Liu’s guidance regarding the experiment.
Conflicts of Interest
The authors declare no conflict of interest.
Abbreviations
HCFC-22, chlorodifluoromethane; CFCs, chlorofluorocarbons; MgZr-c, MgO/ZrO2 coprecipitation; MgZr-i, MgO/ZrO2 impregnation.
References
- Tsvetkov, O.B.; Laptev, Y.A. Refrigerants and environment. J. Phys. Conf. Ser. 2017, 891, 012218. [Google Scholar] [CrossRef]
- McCulloch, A.; Ashford, P.; Midgley, P.M. Historic emissions of fluorotrichloromethane (CFC-11) based. Atmos. Environ. 2001, 35, 4387–4397. [Google Scholar] [CrossRef]
- Hua, W.; Zhang, F.; Ma, Z.; Tang, Y.; Gao, Z. Catalytic hydrolysisof chlorofluorocarbon (CFC-12) over WO3/ZrO2. Catal. Lett. 2000, 65, 85–89. [Google Scholar] [CrossRef]
- Dixon, R.K. Global Environment Facility investments in the phase-out of ozone-depleting substances. Mitig. Adapt. Strateg. Glob. Chang. 2011, 16, 567–584. [Google Scholar] [CrossRef]
- Zhang, H.; Ng, C.F.; Lai, S.Y. Catalytic Decomposition of Chlorodifluoromethane (HCFC-22) over Platinum Supported on TiO2–ZrO2 mixed Oxides. Appl. Catal. B Environ. 2005, 55, 301–307. [Google Scholar] [CrossRef]
- Dhandapani, B.; Oyama, S.T. Novel Catalysts for selective dehalogenation of CC12F2 (CFC-12). Catal. Lett. 1995, 35, 353–360. [Google Scholar] [CrossRef]
- Ma, Z.; Hua, W.; Tang, Y.; Gao, Z. Catalytic decomposition of CFC-12 over solid acids WO3/MxOy (M = Ti, Sn, Fe). J. Mol. Catal. A Chem. 2000, 159, 335–345. [Google Scholar] [CrossRef]
- Liu, T.C.; Ning, P.; Wang, H.B.; Guo, J.M. Catalytic hydrolysis of CCl2F2 over solid base CaO/ZrO2. Adv. Mater. Res. 2013, 652–654, 1533–1538. [Google Scholar] [CrossRef]
- Ebidzuka, K.; Habazaki, H.; Akiyama, E.; Kawashima, A.; Asami, K.; Hashimoto, K. Amorphous alloy catalysts for decomposition of CC12F2 by hydrolysis. Mater. Sci. Eng. 1994, 4182, 1091–1094. [Google Scholar] [CrossRef]
- Zheng, X.; Xiao, Q.; Zhang, Y.; Zhang, X.; Zhong, Y.; Zhu, W. Deactivation of Pd/C catalysts in the hydrodechlorination of the chlorofluorocarbons CFC-115 and CFC-12. Catal. Today 2011, 175, 615–618. [Google Scholar] [CrossRef]
- Ren, G.; Jia, L.; Zhao, G.; Zhou, T.; Yang, X.; Li, R.; Chang, Y.; Liu, T. Catalytic Decomposition of Dichlorodifluoromethane (CFC-12) Over MgO/ZrO2 Solid Base Catalyst. Catal. Lett. 2019, 149, 507–512. [Google Scholar] [CrossRef]
- Karmakar, S.; Greene, H. An Investigation of CFC-12(CCl2F2) Decomposition on TiO2 Catalyst. J. Catal. 1995, 15, 394–406. [Google Scholar] [CrossRef]
- Niedersen, K.-U.; Lieske, E.; Kemnitz, E. Heterogeneously catalysed hydrolytic decomposition of CFCs How to deal with CFCs still deposited in refrigerators and foams. Green Chem. 1999, 1, 225–229. [Google Scholar] [CrossRef]
- Hino, M.; Arata, K. Synthesis of solid superacid of tungsten oxide supported on zirconia and its catalytic action for reactions of butane and pentane. J. Chem. Soc. Chem. Commun. 1988, 18, 1259–1260. [Google Scholar] [CrossRef]
- Liu, T.C.; Ning, P.; Wang, H.B.; Ma, L.Z.; Li, B. Catalytic decomposition of CCl2F2 over solid base Na2O/ZrO2. Adv. Mater. Res. 2013, 634–638, 494–499. [Google Scholar]
- Liu, T.C.; Guo, Y.J.; Ning, P.; Ji, S.P.; Li, B.; Yang, Z.; Wang, H.B. Kinetics Study on Catalytic Hydrolysis of CCl2F2 over Solid Acid MoO3/ZrO2. Adv. Mater. Res. 2013, 750–752, 1283–1286. [Google Scholar]
- Ning, P.; Wang, X.; Bart, H.-J.; Liu, T.; Huang, J.; Wang, Y.; Gao, A.H. Catalytic Decomposition of CFC-12 over Solid Super Acid Mo2O3/ZrO2. J. Environ. Eng. 2010, 136, 1418–1423. [Google Scholar] [CrossRef]
- Jiawei, H.; Guangyang, T.; Lijuan, J. Catalytic hydrolysis of HCFC-22 by MoO3-ZrO2/TiO2 solid acid. Chin. J. Environ. Eng. 2017, 11, 409–411. [Google Scholar]
- Guangqin, Z.; Lijuan, J.; Guangyang, T. Catalytic hydrolysis of CHClF2 and CCl2F2 by TiO2-ZrO2 solid acid. Environ. Eng. 2017, 35, 138–140. [Google Scholar]
- Tong, Z.; Lijuan, J.; Guoqing, R. The composite catalyst MoO3-MgO/ZrO2 catalyzed the hydrolysis of Freon. Appl. Chem. Ind. 2020, 49, 864–866. [Google Scholar]
- Rodrigues, C.M.; Ferreira, O.P.; Alves, O.L. Interaction of Sodium Titanate Nanotubes with Organic Acids and Base: Chemical, Structural and Morphological Stabilities. J. Braz. Chem. Soc. 2010, 21, 1341–1348. [Google Scholar] [CrossRef] [Green Version]
- Han, Z.; Yu, Y.; Zhang, J.; Yang, X.; Cao, W. The chemical interaction of poly(3-octylthiophene)/titanium dioxide composite materials. Synth. Met. 2012, 162, 212–216. [Google Scholar] [CrossRef]
- Guidi, V.; Carotta, M.C.; Ferroni, M.; Martinelli, G. Effect of Dopants on Grain Coalescence and Oxygen Mobility in Nanostructured Titania Anatase and Rutile. J. Phys. Chem. B. 2003, 107, 120–124. [Google Scholar] [CrossRef]
- Li, Z.; Liu, C.; Zhang, X.; Wang, W.; Wang, B.; Ma, X. Effect of ZrO2 on Catalyst Structure and Catalytic Sulfur-Resistant Methanation Performance of MoO3/ZrO2–Al2O3 Catalysts. Kinet. Catal. 2018, 59, 481–488. [Google Scholar] [CrossRef]
- Tago, T.; Okubo, Y.; Mukai, S.R.; Tanaka, T.; Masuda, T. Simultaneous characterization of acidic and basic properties of solid catalysts by a new TPD method and their correlation to reaction rates. Appl. Catal. A Gen. 2005, 290, 54–64. [Google Scholar] [CrossRef]
- Chary, K.V.R.; Reddy, K.R.; Kumar, C.P.; Naresh, D.; Rao, V.V.; Mestl, G. Characterization and reactivity of molybdenum oxide catalysts supported on Nb2O5–TiO2. J. Mol. Catal. A Chem. 2004, 223, 363–369. [Google Scholar] [CrossRef]
- Yu, S.; Fufeng, L. MoO3/ZrO2 Synthesis of dimethyl silicone oil catalyzed by solid acid. Sci. Technol. Chem. Ind. 2019, 27, 55–60. [Google Scholar]
- Schüth, F.; Ciesla, U.; Schacht, S.; Thieme, M.; Huo, Q.; Stucky, G. Ordered Mesoporous Silicas and Zirconias: Control on Length Scales between Nanometer and Micrometer. Mater. Res. Bull. 1999, 34, 483–494. [Google Scholar] [CrossRef]
- Saavedra, M.J.; Parada, C. Ca-Zr-O system: Synthesis and characterization of compounds using several routes of preparation. Solid State Ion. 1993, 63–65, 213–217. [Google Scholar] [CrossRef]
- Rezaei, M.; Alavi, S.M.; Sahebdelfar, S.; Bai, P.; Liu, X.; Yan, Z.-F. CO2 reforming of CH4 over nanocrystalline zirconia-supported nickel catalysts. Appl. Catal. B Environ. 2008, 77, 346–354. [Google Scholar] [CrossRef]
- Bhavani, A.G.; Kim, W.Y.; Kim, J.Y.; Lee, J.S. Improved activity and coke resistance by promoters of nanosized trimetallic catalysts for autothermal carbon dioxide reforming of methane. Appl. Catal. A Gen. 2013, 450, 63–72. [Google Scholar] [CrossRef]
- Liu, S.; Ma, J.; Guan, L.; Li, J.; Wei, W.; Sun, Y. Mesoporous CaO–ZrO2 nano-oxides: A novel solid base with high activity and stability. Microporous Mesoporous Mater. 2009, 117, 466–471. [Google Scholar] [CrossRef]
- Liu, S.G.; Zhang, X.L.; Li, J.P.; Zhao, N.; Wei, W.; Sun, Y.H. Preparation and application of stabilized mesoporous MgO-ZrO2 solid base. Catal. Commun. 2008, 9, 1527–1532. [Google Scholar] [CrossRef]
- Zhang, Q.; Fan, J.; Ning, P.; Song, Z.; Liu, X.; Wang, L.; Wang, J.; Wang, H.; Long, K. In situ DRIFTS investigation of NH3-SCR reaction over CeO2/zirconium phosphate catalyst. Appl. Surf. Sci. 2018, 435, 1037–1045. [Google Scholar] [CrossRef]
Publisher’s Note: MDPI stays neutral with regard to jurisdictional claims in published maps and institutional affiliations. |
© 2022 by the authors. Licensee MDPI, Basel, Switzerland. This article is an open access article distributed under the terms and conditions of the Creative Commons Attribution (CC BY) license (https://creativecommons.org/licenses/by/4.0/).













