Analytical and Numerical Analyses of Multilayer Photonic Metamaterial Slab Optical Waveguide Structures with Kerr-Type Nonlinear Cladding and Substrate
Abstract
1. Introduction
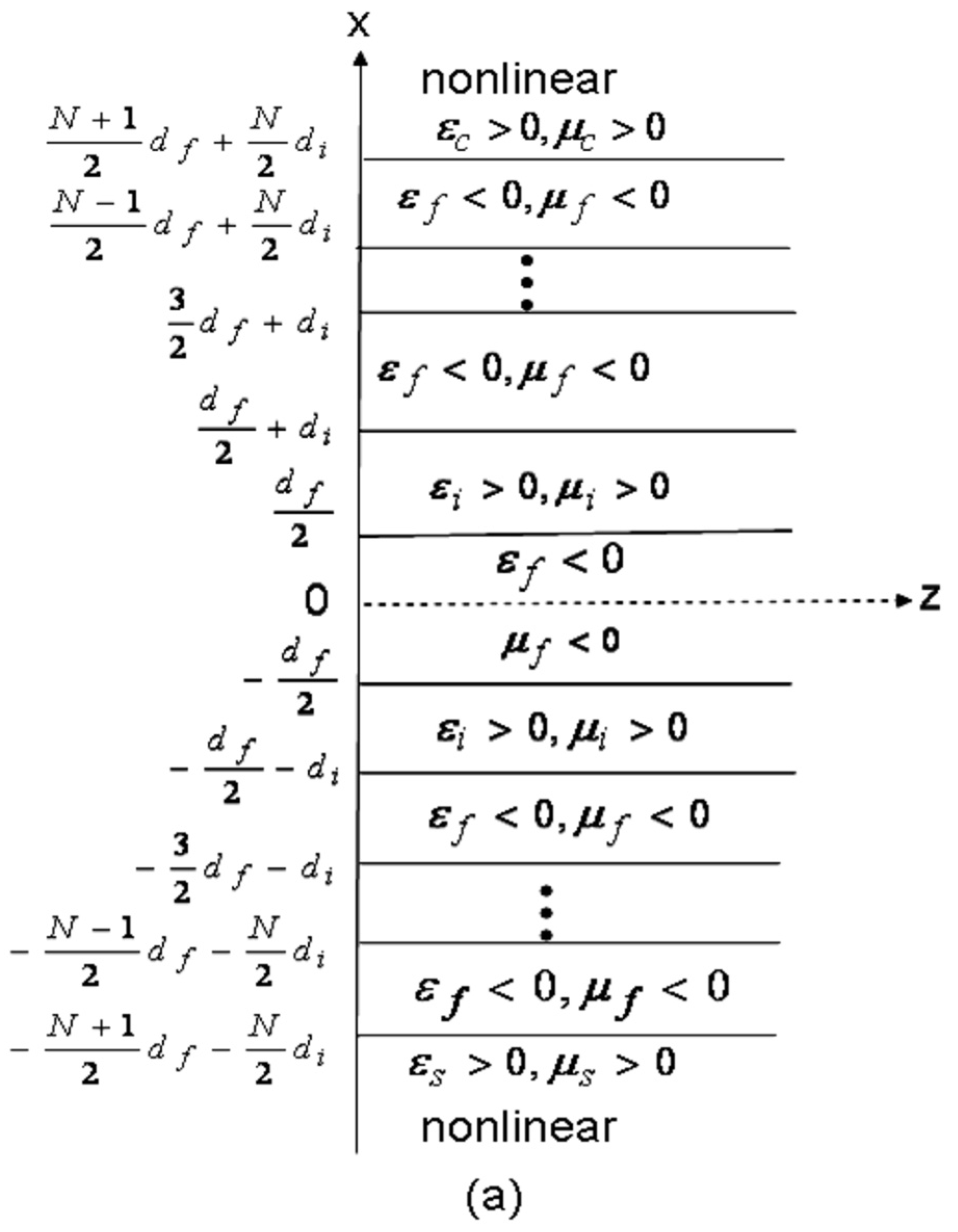
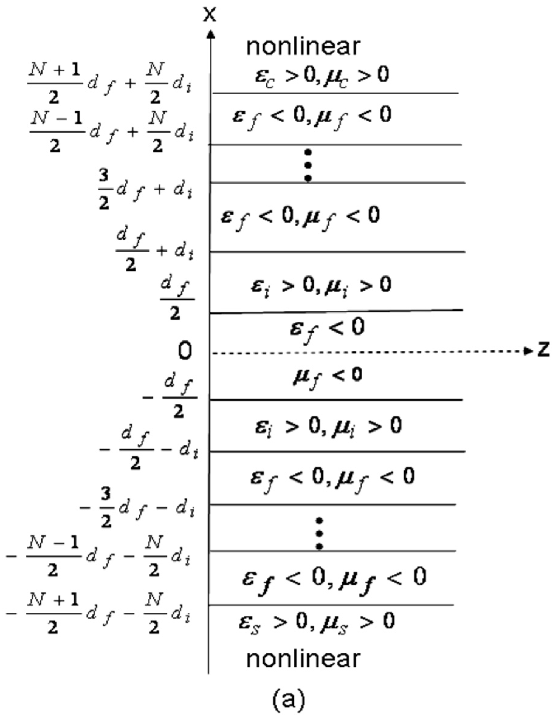
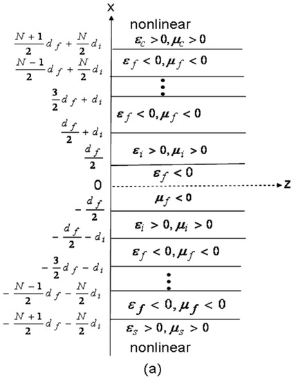
2. Analysis
3. Numerical Analysis Results
4. Conclusions
Author Contributions
Funding
Data Availability Statement
Acknowledgments
Conflicts of Interest
Appendix A
Appendix B
References
- Shelby, R.A.; Smith, D.R.; Schultz, S. Experimental verification of a negative index of refraction. Science 2001, 292, 77–79. [Google Scholar] [CrossRef] [PubMed]
- Veselago, V.G. The electrodynamics of substances with simultaneously negative values of ε and µ. Sov. Phys. Usp. 1968, 10, 509–514. [Google Scholar] [CrossRef]
- Ziolkowski, R.W.; Heyman, E. Wave propagation in media having negative permittivity and permeability. Phys. Rev. E 2001, 64, 056625. [Google Scholar] [CrossRef]
- Milonni, P.W.; Maclay, G. Quantized-field description of light in negative-index media. Opt. Commun. 2003, 228, 161–165. [Google Scholar] [CrossRef]
- Zhang, J.; Luo, Y.; Chen, H.; Wu, B.I. Efficient complementary metamaterial element for waveguide fed metasurface antennas. Opt. Express 2016, 25, 28686–28692. [Google Scholar]
- Segovia, P.; Marino, G.; Krasavin, A.V.; Olivier, N.; Wurtz, G.A.; Belov, P.A.; Ginzburg, P.; Zayats, A.V. Hyperbolic metamaterial antenna for second-harmonic generation tomography. Opt. Express 2015, 23, 30730–30738. [Google Scholar] [CrossRef]
- Landy, N.I.; Sajuyigbe, S.; Mock, J.J.; Smith, D.R.; Padilla, W.J. Perfect metamaterial absorber. Phys. Rev. Lett. 2008, 100, 207402. [Google Scholar] [CrossRef]
- Alaee, R.; Menzel, C.; Rockstuhl, C.; Lederer, F. Perfect absorbers on curved surfaces and their potential applications. Opt. Express 2012, 20, 18370–18376. [Google Scholar] [CrossRef]
- Jang, Y.; Yoo, M.; Lim, S. Conformal metamaterial absorber for curved surface. Opt. Express 2013, 21, 24163–24170. [Google Scholar] [CrossRef]
- Liu, N.; Mesch, M.; Weiss, T.; Hentschel, M.; Giessen, H. Infrared Perfect Absorber and Its Application as Plasmonic Sensor. Nano Lett. 2010, 10, 2342–2348. [Google Scholar] [CrossRef]
- Yi, C.; Yoo, Y.J.; Kim, Y.J.; Kim, K.W.; Lee, Y.P.; Rhee, J.Y. Analysis of a systematic error appearing as a periodic fluctuation in the frequency-domain absorption spectra of metamaterial absorbers. Opt. Express 2017, 25, 13296–13304. [Google Scholar] [CrossRef] [PubMed]
- Capecchi, W.J.; Behdad, N.; Volpe, F.A. Reverse chromatic aberration and its numerical optimization in a metamaterial lens. Opt. Express 2012, 20, 8761–8769. [Google Scholar] [CrossRef] [PubMed]
- Orazbayev, B.; Pacheco-Peña, V.; Beruete, M.; Navarro-Cía, M. Exploiting the dispersion of the double-negative index fishnet material to creat a broadband low-profile metallic lens. Opt. Express 2015, 23, 8555–8564. [Google Scholar] [CrossRef]
- Castaldi, G.; Gallina, I.; Galdi, V.; Alú, A.; Engheta, N. Cloak/anti-cloak interactions. Opt. Express 2009, 17, 3101–3114. [Google Scholar] [CrossRef] [PubMed]
- Islam, S.S.; Faruque, M.R.I.; Islam, M.T. A Near Zero Refractive Index Metamaterial for Electromagnetic Invisibility Cloaking Operation. Materials 2015, 8, 4790–4804. [Google Scholar] [CrossRef] [PubMed]
- Guenneau, S.; Petiteau, D.; Zerrad, M.; Amra, C. Bicephalous transformed media concentrator versus and cloak versus superscatterer. Opt. Express 2014, 22, 23614–23619. [Google Scholar] [CrossRef]
- Vrba, J.; Vrba, D. A Microwave Metamaterial Inspired Sensor for Non-Invasive Blood Glucose Monitoring. Radioengineering 2015, 24, 877–884. [Google Scholar] [CrossRef]
- Sarwadnya, R.R.; Dawande, N.A. Literature Review of Metamaterial Based Sensing Devices. IJIRSET 2016, 5, 19028–19031. [Google Scholar]
- Taya, S.A.; Shabat, M.M.; Khalil, H.M. Enhancement of sensitivity in optical waveguide sensors using left-handed materials. Optik 2009, 120, 504–508. [Google Scholar] [CrossRef]
- Taya, S.A.; El-Farram, E.J.; El-Agez, T.M. Goos–Hanchen shift as a probe in evanescent slab waveguide sensors. Int. J. Electron. Commun. 2012, 66, 204–210. [Google Scholar] [CrossRef]
- Chen, H.-T.; Padilla, W.J.; Cich, M.J.; Azad, A.; Averitt, R.D.; Taylor, A.J. A metamaterial solid-state terahertz phase modulator. Nat. Photonics 2009, 3, 148–151. [Google Scholar] [CrossRef]
- Yan, R.; Sensale-Rodriguez, B.; Liu, L.; Jena, D.; Xing, H.G. A new class of electrically tunable metamaterial terahertz modulators. Opt. Express 2012, 20, 28664–28671. [Google Scholar] [CrossRef] [PubMed]
- Larouche, S.; Tsai, Y.-J.; Tyler, T.; Jokerst, N.M.; Smith, D.R. Infrared metamaterial phase holograms. Nat. Mater. 2012, 11, 450–454. [Google Scholar] [CrossRef]
- Lipworth, G.; Caira, N.W.; Larouche, S.; Smith, D.R. Phase and magnitude constrained metasurface holography at W-band frequencies. Opt. Express 2016, 24, 19372–19387. [Google Scholar] [CrossRef] [PubMed]
- Shalaby, A.S.; Alamri, S.; Mohamed, D.; Aly, A.H.; Awasthi, S.K.; Matar, Z.S.; Tammam, M.T. Theoretical study of one-dimensional defect photonic crystal as a high-performance sensor for water-borne bacterias. Opt. Quantµm Electron. 2021, 53, 660. [Google Scholar] [CrossRef]
- Liu, W.; Wu, J.-W. Tunable optical bistability at microwave frequency based on 1D sandwich photonic structure consisting of a nonlinear dielectric slab and two magnetized cold plasma layers. Curr. Appl. Phys. 2021, 29, 66–71. [Google Scholar] [CrossRef]
- Calvo-Velasco, D.M.; Sánchez-Cano, R. Omnidirectional photonic band gaps in one-dimensional gradient refractive index photonic crystals considering linear and quadratic profiles. Curr. Appl. Phys. 2022, 35, 72–77. [Google Scholar] [CrossRef]
- Manapati, M.B.; Kshetrimayµm, R.S. SAR Reduction in Hµman Head from Mobile Phone Radiation using Single Negative Metamaterials. J. Electromagn. Waves Appl. 2009, 23, 1385–1395. [Google Scholar] [CrossRef]
- Hwang, R.-B.; Liu, H.-W.; Chin, C.-Y. A metamaterial-based E-plane horn antenna. Prog. Electromagn. Res. 2009, 93, 275–289. [Google Scholar] [CrossRef]
- Huang, M.D.; Tan, S.Y. Efficient electrically small prolate spheroidal antennas coated with a shell of double-negative metamaterials. Prog. Electromagn. Res. 2008, 82, 241–255. [Google Scholar] [CrossRef][Green Version]
- Si, L.-M.; Lv, X. CPW-FED multi-band omni-directional planar microstrip antenna using composite metamaterial resonators for wireless communications. Prog. Electromagn. Res. 2008, 83, 133–146. [Google Scholar] [CrossRef]
- Al-Naib, I.A.I.; Jansen, C.; Koch, M. Single metal layer CPW metamaterial band-pass flter. Prog. Electromagn. Res. Lett. 2010, 17, 153–161. [Google Scholar] [CrossRef][Green Version]
- Mirza, O.; Sabas, J.N.; Shi, S.; Prather, D.W. Experimental demonstration of metamaterial-based phase modulation. Prog. Electromagn. Res. 2009, 93, 1–12. [Google Scholar] [CrossRef][Green Version]
- Sabah, C.; Uckun, S. Multilayer system of Lorentz/drude type metamaterials with dielectric slabs and its application to electromagnetic lters. Prog. Electromagn. Res. 2009, 91, 349–364. [Google Scholar] [CrossRef]
- Seaton, C.T.; Mai, X.; Stegeman, G.I.; Winful, H.G. Nonlinear Guided Wave Applications. Opt. Eng. 1985, 24, 244593. [Google Scholar] [CrossRef]
- Stegeman, G.; Wright, E.; Finlayson, N.; Zanoni, R.; Seaton, C. Third order nonlinear integrated optics. J. Light. Technol. 1988, 6, 953–970. [Google Scholar] [CrossRef]
- Mihalache, D.; Bertolotti, M.; Sibilia, C. IV Nonlinear Wave Propagation in Planar Structures. In Progress in Optics; Elsevier: Amsterdam, The Netherlands, 1989; Volµme 27, pp. 227–313. [Google Scholar]
- Wu, Y.D.; Huang, M.L.; Chen, M.H.; Tasy, R.Z. All-optical switch based on the local nonlinear Mach-Zehnder interferometer. Opt. Express 2007, 15, 9883–9892. [Google Scholar] [CrossRef]
- Wu, Y.D.; Shih, T.T.; Chen, M.H. New all-optical logic gates based on the local nonlinear Mach-Zehnder interferometer. Opt. Express 2008, 16, 248–257. [Google Scholar] [CrossRef]
- Kaman, V.; Zheng, X.; Yuan, S.; Klingshirn, J.; Pusarla, C.; Helkey, R.; Jerphagnon, O.; Bowers, J. A 32/spl times/10 Gb/s DWDM metropolitan network demonstration using wavelength-selective photonic cross-connects and narrow-band EDFAs. IEEE Photon.-Technol. Lett. 2005, 17, 1977–1979. [Google Scholar] [CrossRef]
- Shadrivov, I.V.; Sukhorukov, A.A.; Kivshar, Y.S. Guided modes in negative-refractive-index waveguides. Phys. Rev. E 2003, 67, 057602. [Google Scholar] [CrossRef]
- Darmanyan, S.A.; Nevière, M.; Zakhidov, A.A. Nonlinear surface waves at the interfaces of left-handed electromagnetic media. Phys. Rev. E 2005, 72, 036615. [Google Scholar] [CrossRef] [PubMed]
- Shadrivov, I.; Sukhorukov, A.; Kivshar, Y.S.; Zharov, A.A.; Boardman, A.D.; Egan, P. Nonlinear surface waves in left-handed materials. Phys. Rev. E 2004, 69, 016617. [Google Scholar] [CrossRef] [PubMed]
- Shen, M.; Ruan1, L.; Chen, X. Guided modes near the dirac point in negative-zero-positive index metamaterial waveguide. Opt. Express 2010, 18, 12779–12787. [Google Scholar] [CrossRef] [PubMed]
- He, J.; He, Y.; Hong, Z. Backward coupling o modes in a left-handed met material tapered waveguide. IEEE Microw. Wirel. Compon. Lett. 2010, 20, 378–380. [Google Scholar] [CrossRef]
- Pollock, J.G.; Iyer, A.K. Below-cutoff propagation in metamaterial-lined circular waveguides. IEEE Trans. Microw. Theory Tech. 2013, 61, 3169–3178. [Google Scholar] [CrossRef]
- Seaton, C.; Valera, J.; Shoemaker, R.; Stegeman, G.; Chilwell, J.; Smith, S. Calculations of nonlinear TE waves guided by thin dielectric films bounded by nonlinear media. IEEE J. Quantµm Electron. 1985, 21, 774–783. [Google Scholar] [CrossRef]
- Vach, H.; Stegeman, G.I.; Seaton, C.T.; Khoo, I.C. Experimental observation of nonlinear guided waves. Opt. Lett. 1984, 9, 238–240. [Google Scholar] [CrossRef]
- Aghaie, K.Z.; Shahabadi, M. Multiple-scale analysis of plane wave refraction at a dielectric slab with kerr-type nonlinearity. Prog. Electr. Res. 2006, 56, 81–92. [Google Scholar] [CrossRef][Green Version]
- Sammut, R.A.; Li, Q.Y.; Pask, C. Variational approximations and mode stability in planar nonlinear waveguides. J. Opt. Soc. Am. B 1992, 9, 884–890. [Google Scholar] [CrossRef]
- Kuo, C.-W.; Chen, S.-Y.; Wu, Y.-D.; Chen, M.-H.; Chang, C.-F. Analysis and Calculations of Forbidden Regions for Transverse-Electric-Guided Waves in the Three-Layer Planar Waveguide with Photonic Metamaterial. Fiber Integr. Opt. 2010, 29, 305–314. [Google Scholar] [CrossRef]
- Kuo, C.W.; Chen, S.Y.; Wu, Y.D.; Chen, M.H. Analyzing the multilayer optical planar waveguides with double-negative metamaterial. Prog. Electr. Res. 2010, 110, 163–178. [Google Scholar] [CrossRef]















Publisher’s Note: MDPI stays neutral with regard to jurisdictional claims in published maps and institutional affiliations. |
© 2022 by the authors. Licensee MDPI, Basel, Switzerland. This article is an open access article distributed under the terms and conditions of the Creative Commons Attribution (CC BY) license (https://creativecommons.org/licenses/by/4.0/).
Share and Cite
Wu, Y.-D.; Xu, Y.-J.; Shih, T.-T.; Cheng, M.-H. Analytical and Numerical Analyses of Multilayer Photonic Metamaterial Slab Optical Waveguide Structures with Kerr-Type Nonlinear Cladding and Substrate. Crystals 2022, 12, 628. https://doi.org/10.3390/cryst12050628
Wu Y-D, Xu Y-J, Shih T-T, Cheng M-H. Analytical and Numerical Analyses of Multilayer Photonic Metamaterial Slab Optical Waveguide Structures with Kerr-Type Nonlinear Cladding and Substrate. Crystals. 2022; 12(5):628. https://doi.org/10.3390/cryst12050628
Chicago/Turabian StyleWu, Yaw-Dong, Yi-Jun Xu, Tien-Tsorng Shih, and Ming-Hsiung Cheng. 2022. "Analytical and Numerical Analyses of Multilayer Photonic Metamaterial Slab Optical Waveguide Structures with Kerr-Type Nonlinear Cladding and Substrate" Crystals 12, no. 5: 628. https://doi.org/10.3390/cryst12050628
APA StyleWu, Y.-D., Xu, Y.-J., Shih, T.-T., & Cheng, M.-H. (2022). Analytical and Numerical Analyses of Multilayer Photonic Metamaterial Slab Optical Waveguide Structures with Kerr-Type Nonlinear Cladding and Substrate. Crystals, 12(5), 628. https://doi.org/10.3390/cryst12050628
