Photoluminescence of the Eu3+-Activated YxLu1−xNbO4 (x = 0, 0.25, 0.5, 0.75, 1) Solid-Solution Phosphors
Abstract
:1. Introduction
2. Materials and Methods
3. Results
3.1. Crystal Structure and Morphology
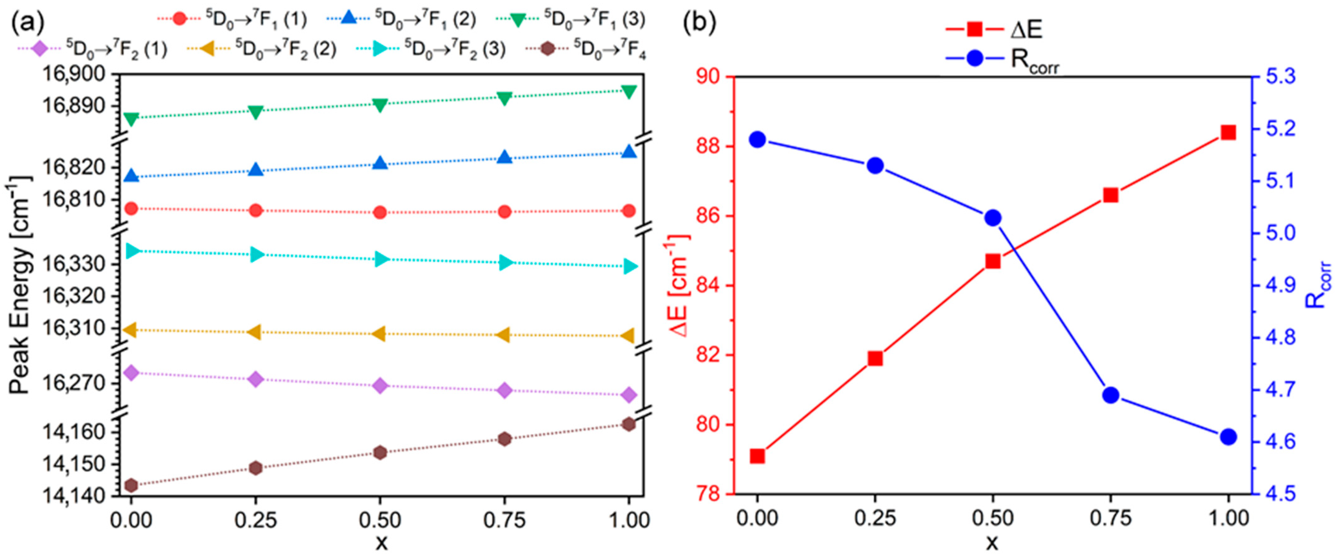
3.2. Photoluminescence
3.3. Judd–Ofelt Analysis
4. Conclusions
Author Contributions
Funding
Institutional Review Board Statement
Informed Consent Statement
Data Availability Statement
Acknowledgments
Conflicts of Interest
References
- Yen, W.M.; Shionoya, S.; Yamamoto, H. (Eds.) Practical Applications of Phosphors; CRC Press: Boca Raton, FL, USA, 2007; ISBN 9781315219974. [Google Scholar] [CrossRef]
- Atuchin, V.V.; Subanakov, A.K.; Aleksandrovsky, A.S.; Bazarov, B.G.; Bazarova, J.G.; Gavrilova, T.A.; Krylov, A.S.; Molokeev, M.S.; Oreshonkov, A.S.; Stefanovich, S.Y. Structural and spectroscopic properties of new noncentrosymmetric self-activated borate Rb3EuB6O12 with B5O10 units. Mater. Des. 2018, 140, 488–494. [Google Scholar] [CrossRef] [Green Version]
- Atuchin, V.V.; Aleksandrovsky, A.S.; Chimitova, O.D.; Gavrilova, T.A.; Krylov, A.S.; Molokeev, M.S.; Oreshonkov, A.S.; Bazarov, B.G.; Bazarova, J.G. Synthesis and spectroscopic properties of monoclinic α-Eu2(MoO4)3. J. Phys. Chem. C 2014, 118, 15404–15411. [Google Scholar] [CrossRef]
- Shi, P.; Xia, Z.; Molokeev, M.S.; Atuchin, V.V. Crystal chemistry and luminescence properties of red-emitting CsGd1−xEux(MoO4)2 solid-solution phosphors. Dalton Trans. 2014, 43, 9669–9676. [Google Scholar] [CrossRef] [PubMed]
- Binnemans, K. Interpretation of europium(III) spectra. Coord. Chem. Rev. 2015, 295, 1–45. [Google Scholar] [CrossRef] [Green Version]
- Tanner, P.A. Some misconceptions concerning the electronic spectra of tri-positive europium and cerium. Chem. Soc. Rev. 2013, 42, 5090. [Google Scholar] [CrossRef]
- Ðorđević, V.; Antić, Ž.; Lojpur, V.; Dramićanin, M.D. Europium-doped nanocrystalline Y2O3−La2O3 solid solutions with bixbyite structure. J. Phys. Chem. Solids 2014, 75, 1152–1159. [Google Scholar] [CrossRef]
- Ðorđević, V.; Antić, Ž.; Nikolić, M.G.; Dramićanin, M.D. Comparative structural and photoluminescent study of Eu3+-doped La2O3 and La(OH)3 nanocrystalline powders. J. Phys. Chem. Solids 2014, 75, 276–282. [Google Scholar] [CrossRef]
- Blasse, G.; Bril, A. Luminescence of Phosphors Based on Host Lattices ABO4 (A is Sc, In; B is P, V, Nb). J. Chem. Phys. 2003, 50, 2974. [Google Scholar] [CrossRef]
- Ding, S.; Zhang, H.; Liu, W.; Sun, D.; Zhang, Q. Experimental and first principle investigation the electronic and optical properties of YNbO4 and LuNbO4 phosphors. J. Mater. Sci. Mater. Electron. 2018, 29, 11878–11885. [Google Scholar] [CrossRef]
- Rubin, J.J.; Van Uitert, L.G. Growth of Large Yttrium Vanadate Single Crystals for Optical Maser Studies. J. Appl. Phys. 1966, 37, 2920. [Google Scholar] [CrossRef]
- Erdei, S. Growth of oxygen deficiency-free YVO4 single crystal by top-seeded solution growth technique. J. Cryst. Growth 1993, 134, 1–13. [Google Scholar] [CrossRef]
- Packer, R.J.; Tsipis, E.V.; Munnings, C.N.; Kharton, V.V.; Skinner, S.J.; Frade, J.R. Diffusion and conductivity properties of cerium niobate. Solid State Ion. 2006, 177, 2059–2064. [Google Scholar] [CrossRef]
- Haugsrud, R.; Norby, T. Proton conduction in rare-earth ortho-niobates and ortho-tantalates. Nat. Mater. 2006, 5, 193–196. [Google Scholar] [CrossRef]
- Wu, M.; Liu, X.; Gu, M.; Ni, C.; Liu, B.; Huang, S. Characterization and luminescence properties of sol–gel derived M′-type LuTaO4:Ln3+ (Ln = Pr, Sm, Dy) phosphors. Mater. Res. Bull. 2014, 60, 652–658. [Google Scholar] [CrossRef]
- Takei, H.; Tsunekawa, S. Growth and properties of LaNbO4 and NdNbO4 single crystals. J. Cryst. Growth 1977, 38, 55–60. [Google Scholar] [CrossRef]
- Fulle, K.; McMillen, C.D.; Sanjeewa, L.D.; Kolis, J.W. Hydrothermal Chemistry and Growth of Fergusonite-type RENbO4 (RE = La-Lu, Y) Single Crystals and New Niobate Hydroxides. Cryst. Growth Des. 2016, 16, 4910–4917. [Google Scholar] [CrossRef]
- Brunckova, H.; Mudra, E.; Medvecky, L.; Kovalcikova, A.; Durisin, J.; Sebek, M.; Girman, V. Effect of lanthanides on phase transformation and structural properties of LnNbO4 and LnTaO4 thin films. Mater. Des. 2017, 134, 455–468. [Google Scholar] [CrossRef]
- Zhang, P.; Wang, T.; Xia, W.; Li, L. Microwave dielectric properties of a new ceramic system NdNbO4 with CaF2 addition. J. Alloys Compd. 2012, 535, 1–4. [Google Scholar] [CrossRef]
- Đačanin, L.R.; Dramićanin, M.D.; Lukić-Petrović, S.R.; Petrović, D.M.; Nikolić, M.G.; Ivetić, T.B.; Gúth, I.O. Mechanochemical synthesis of YNbO4:Eu nanocrystalline powder and its structural, microstructural and photoluminescence properties. Ceram. Int. 2014, 40, 8281–8286. [Google Scholar] [CrossRef]
- Blasse, G.; Bril, A. Photoluminescent Efficiency of Phosphors with Electronic Transitions in Localized Centers. J. Electrochem. Soc. 1968, 115, 1067. [Google Scholar] [CrossRef]
- Lee, S.K.; Chang, H.; Han, C.H.; Kim, H.J.; Jang, H.G.; Park, H.D. Electronic Structures and Luminescence Properties of YNbO4 and YNbO4:Bi. J. Solid State Chem. 2001, 156, 267–273. [Google Scholar] [CrossRef]
- Dwivedi, A.; Mishra, K.; Rai, S.B. Tm3+, Yb3+ activated ANbO4 (A = Y, Gd, La) phosphors: A comparative study of optical properties (downshifting and upconversion emission) and laser induced heating effect. J. Phys. D Appl. Phys. 2016, 50, 045602. [Google Scholar] [CrossRef] [Green Version]
- Xiao, X.; Yan, B. REMO4 (RE = Y, Gd; M = Nb, Ta) phosphors from hybrid precursors: Microstructure and luminescence. J. Mater. Res. 2008, 23, 679–687. [Google Scholar] [CrossRef]
- Liu, C.; Zhou, W.; Shi, R.; Lin, L.; Zhou, R.; Chen, J.; Li, Z.; Liang, H. Host-sensitized luminescence of Dy3+ in LuNbO4 under ultraviolet light and low-voltage electron beam excitation: Energy transfer and white emission. J. Mater. Chem. C 2017, 5, 9012–9020. [Google Scholar] [CrossRef]
- Dačanin, L.R.; Lukić-Petrović, S.R.; Petrović, D.M.; Nikolić, M.G.; Dramićanin, M.D. Temperature quenching of luminescence emission in Eu3+- and Sm3+-doped YNbO4 powders. J. Lumin. 2014, 151, 82–87. [Google Scholar] [CrossRef]
- Wang, X.; Li, X.; Xu, S.; Cheng, L.; Sun, J.; Zhang, J.; Li, L.; Chen, B. A comparative study of spectral and temperature sensing properties of Er3+ mono-doped LnNbO4 (Ln = Lu, Y, Gd) phosphors under 980 and 1500 nm excitations. Mater. Res. Bull. 2019, 111, 177–182. [Google Scholar] [CrossRef]
- Ding, S.; Peng, F.; Zhang, Q.; Luo, J.; Liu, W.; Sun, D.; Dou, R.; Sun, G. Structure, spectroscopic properties and laser performance of Nd:YNbO4 at 1066 nm. Opt. Mater. 2016, 62, 7–11. [Google Scholar] [CrossRef]
- Massabni, A.M.G.; Montandon, G.J.M.; Couto, M.A.; Santos, D. Synthesis and luminescence spectroscopy of YNbO4 doped with Eu(III). Mater. Res. 1998, 1, 01–04. [Google Scholar] [CrossRef]
- Đačanin Far, L.; Lukić-Petrović, S.R.; Đorđević, V.; Vuković, K.; Glais, E.; Viana, B.; Dramićanin, M.D. Luminescence temperature sensing in visible and NIR spectral range using Dy3+ and Nd3+ doped YNbO4. Sens. Actuators A Phys. 2018, 270, 89–96. [Google Scholar] [CrossRef]
- Refguson, R.B. The crystallography of synthetic YTaO4 and fused fergusonite | The Canadian Mineralogist | GeoScienceWorld. Can. Mineral. 1957, 6, 72–77. [Google Scholar]
- Brixner, L.H.; Whitney, J.F.; Zumsteg, F.C.; Jones, G.A. Ferroelasticity in the LnNbO4-type rare earth niobates. Mater. Res. Bull. 1977, 12, 17–24. [Google Scholar] [CrossRef]
- Bayliss, R.D.; Pramana, S.S.; An, T.; Wei, F.; Kloc, C.L.; White, A.J.P.; Skinner, S.J.; White, T.J.; Baikie, T. Fergusonite-type CeNbO4+δ: Single crystal growth, symmetry revision and conductivity. J. Solid State Chem. 2013, 204, 291–297. [Google Scholar] [CrossRef]
- Arulnesan, S.W.; Kayser, P.; Kimpton, J.A.; Kennedy, B.J. Studies of the fergusonite to scheelite phase transition in LnNbO4 orthoniobates. J. Solid State Chem. 2019, 277, 229–239. [Google Scholar] [CrossRef]
- Keller, C. Über ternäre Oxide des Niobs und Tantals vom Typ ABO4. Z. Anorg. Allg. Chem. 1962, 318, 89–106. [Google Scholar] [CrossRef]
- Weitzel, H. Kristallstrukturverfeinerungen von Euxenit, Y(Nb0.5Ti0.5)2O6, und M-Fergusonit, YNbO4. Z. Krist.-Cryst. Mater. 1980, 152, 69–82. [Google Scholar] [CrossRef]
- Shannon, R.D. Revised effective ionic radii and systematic studies of interatomic distances in halides and chalcogenides. Acta Crystallogr. Sect. A 1976, 32, 751–767. [Google Scholar] [CrossRef]
- Malta, O.L.; Antic-Fidancev, E.; Lemaitre-Blaise, M.; Milicic-Tang, A.; Taibi, M. The crystal field strength parameter and the maximum splitting of the 7F1 manifold of the Eu3+ ion in oxides. J. Alloys Compd. 1995, 228, 41–44. [Google Scholar] [CrossRef]
- Görller-Walrand, C.; Binnemans, K. Chapter 155 Rationalization of crystal-field parametrization. Handb. Phys. Chem. Rare Earths 1996, 23, 121–283. [Google Scholar] [CrossRef]
- Srivastava, A.M.; Brik, M.G.; Beers, W.W.; Cohen, W. The influence of nd0 transition metal cations on the Eu3+ asymmetry ratio R = I(5D0−7F2)/I(5D0−7F1) and crystal field splitting of 7F1 manifold in pyrochlore and zircon compounds. Opt. Mater. 2021, 114, 110931. [Google Scholar] [CrossRef]
- Görller-Walrand, C.; Fluyt, L.; Ceulemans, A.; Carnall, W.T. Magnetic dipole transitions as standards for Judd-Ofelt parametrization in lanthanide spectra. J. Chem. Phys. 1991, 95, 3099–3106. [Google Scholar] [CrossRef]
- Ćirić, A.; Stojadinović, S.; Brik, M.G.; Dramićanin, M.D. Judd-Ofelt parametrization from emission spectra: The case study of the Eu3+ 5D1 emitting level. Chem. Phys. 2020, 528, 110513. [Google Scholar] [CrossRef]
- Judd, B.R. Optical Absorption Intensities of Rare-Earth Ions. Phys. Rev. 1962, 127, 750–761. [Google Scholar] [CrossRef]
- Ofelt, G.S. Intensities of Crystal Spectra of Rare-Earth Ions. J. Chem. Phys. 1962, 37, 511–520. [Google Scholar] [CrossRef]
- Ćirić, A.; Stojadinović, S.; Dramićanin, M.D. An extension of the Judd-Ofelt theory to the field of lanthanide thermometry. J. Lumin. 2019, 216. [Google Scholar] [CrossRef]
- Babu, S.S.; Babu, P.; Jayasankar, C.K.; Sievers, W.; Tröster, T.; Wortmann, G. Optical absorption and photoluminescence studies of Eu3+-doped phosphate and fluorophosphate glasses. J. Lumin. 2007, 126, 109–120. [Google Scholar] [CrossRef]
- Suta, M.; Meijerink, A. A Theoretical Framework for Ratiometric Single Ion Luminescent Thermometers—Thermodynamic and Kinetic Guidelines for Optimized Performance. Adv. Theory Simul. 2020, 3, 2000176. [Google Scholar] [CrossRef]
- Hehlen, M.P.; Brik, M.G.; Krämer, K.W. 50th anniversary of the Judd–Ofelt theory: An experimentalist’s view of the formalism and its application. J. Lumin. 2013, 136, 221–239. [Google Scholar] [CrossRef]
- Görller-Walrand, C.; Binnemans, K. Chapter 167 Spectral intensities of f-f transitions. Handb. Phys. Chem. Rare Earths 1998, 25, 101–264. [Google Scholar]
- Babu, P.; Jayasankar, C.K. Optical spectroscopy of Eu3+ ions in lithium borate and lithium fluoroborate glasses. Phys. B Condens. Matter 2000, 279, 262–281. [Google Scholar] [CrossRef]
- Ćirić, A.; Stojadinović, S.; Sekulić, M.; Dramićanin, M.D. JOES: An application software for Judd-Ofelt analysis from Eu3+ emission spectra. J. Lumin. 2019, 205, 351–356. [Google Scholar] [CrossRef]
- Dramićanin, M.D. Sensing temperature via downshifting emissions of lanthanide-doped metal oxides and salts. A review. Methods Appl. Fluoresc. 2016, 4, 042001. [Google Scholar] [CrossRef] [PubMed] [Green Version]
- Brik, M.G.; Antic, Ž.M.; Vuković, K.; Dramićanin, M.D. Judd-Ofelt Analysis of Eu3+ Emission in TiO2 Anatase Nanoparticles. Mater. Trans. 2015, 56, 1416–1418. [Google Scholar] [CrossRef] [Green Version]





| Ref. Parameters | YNbO4:Eu3+ (C2/c) | LuNbO4:Eu3+ (I2/a) |
|---|---|---|
| Crystallite size (Å) | 533(6) | 479(6) |
| Strain (%) | 0.08(2) | 0.11(2) |
| a (Å) | 7.62775(17) | 5.23879(13) |
| b (Å) | 10.9636(3) | 10.8447(3) |
| c (Å) | 5.30476(15) | 5.04724(12) |
| α (o) | 90 | 90 |
| β (o) | 138.4389(11) | 94.4267(13) |
| γ (o) | 90 | 90 |
| Rwp 1 | 10.28% | 10.25% |
| Rp 2 | 6.30% | 6.55% |
| Re 3 | 3.23% | 3.32% |
| GOF 4 | 3.1833 | 3.0895 |
| Level | Observed Energy [cm−1] |
|---|---|
| 7F0 | 0 |
| 7F1 | 369 |
| 7F2 | 1200 |
| 7F3 | 1960 |
| 7F4 | 2999 |
| 7F5 | 3799 |
| 7F6 | N/A |
| 5D0 | 17,204 |
| 5D1 | 18,921 |
| 5D2 | 21,402 |
| 5D3 | 23,810 |
| 5L6 | 25,253 |
| 5L7 | 26,008 |
| 5G2–6 | 26,420 |
| 5L8 | 27,100 |
| 5D4 + 5L9 | 27,473 |
| 5L10 | 28,531 |
| 5H3,4,7 | 30,722 |
| x | 0 | 0.25 | 0.50 | 0.75 | 1 |
|---|---|---|---|---|---|
| Ω2∙1020 [cm2] | 6.75 | 6.88 | 7.37 | 7.41 | 7.48 |
| Ω4∙1020 [cm2] | 2.69 | 2.91 | 2.97 | 3.01 | 2.95 |
| βMD [%] | 14 | 14 | 14 | 14 | 14 |
| β2 [%] | 73 | 73 | 73 | 73 | 73 |
| β4 [%] | 13 | 14 | 14 | 14 | 13 |
| τrad [ms] | 0.782 | 0.859 | 0.916 | 1.027 | 1.134 |
| σMD∙1021 [cm2] | 2.12 | 1.81 | 1.64 | 1.43 | 1.49 |
| σ2∙1021 [cm2] | 9.96 | 9.40 | 9.71 | 9.01 | 8.87 |
| σ4∙1021 [cm2] | 3.63 | 3.50 | 3.64 | 3.13 | 3.18 |
| AMD [s−1] | 179 | 163 | 148 | 133 | 120 |
| A2 [s−1] | 928 | 838 | 795 | 705 | 628 |
| A4 [s−1] | 171 | 164 | 148 | 136 | 115 |
| AR [s−1] | 1279 | 1164 | 1092 | 974 | 882 |
| τobs [ms] | 0.619 | 0.643 | 0.650 | 0.650 | 0.652 |
| τNR [ms] | 2.970 | 2.557 | 2.238 | 1.771 | 1.534 |
| ηint [%] | 79 | 75 | 71 | 63 | 57 |
Publisher’s Note: MDPI stays neutral with regard to jurisdictional claims in published maps and institutional affiliations. |
© 2022 by the authors. Licensee MDPI, Basel, Switzerland. This article is an open access article distributed under the terms and conditions of the Creative Commons Attribution (CC BY) license (https://creativecommons.org/licenses/by/4.0/).
Share and Cite
Sekulić, M.; Dramićanin, T.; Ćirić, A.; Đačanin Far, L.; Dramićanin, M.D.; Đorđević, V. Photoluminescence of the Eu3+-Activated YxLu1−xNbO4 (x = 0, 0.25, 0.5, 0.75, 1) Solid-Solution Phosphors. Crystals 2022, 12, 427. https://doi.org/10.3390/cryst12030427
Sekulić M, Dramićanin T, Ćirić A, Đačanin Far L, Dramićanin MD, Đorđević V. Photoluminescence of the Eu3+-Activated YxLu1−xNbO4 (x = 0, 0.25, 0.5, 0.75, 1) Solid-Solution Phosphors. Crystals. 2022; 12(3):427. https://doi.org/10.3390/cryst12030427
Chicago/Turabian StyleSekulić, Milica, Tatjana Dramićanin, Aleksandar Ćirić, Ljubica Đačanin Far, Miroslav D. Dramićanin, and Vesna Đorđević. 2022. "Photoluminescence of the Eu3+-Activated YxLu1−xNbO4 (x = 0, 0.25, 0.5, 0.75, 1) Solid-Solution Phosphors" Crystals 12, no. 3: 427. https://doi.org/10.3390/cryst12030427
APA StyleSekulić, M., Dramićanin, T., Ćirić, A., Đačanin Far, L., Dramićanin, M. D., & Đorđević, V. (2022). Photoluminescence of the Eu3+-Activated YxLu1−xNbO4 (x = 0, 0.25, 0.5, 0.75, 1) Solid-Solution Phosphors. Crystals, 12(3), 427. https://doi.org/10.3390/cryst12030427

