Abstract
A cubane-like complex dianion [Tb4(OH)4(tfa)6(hfac)4]2− was synthesized, accompanied by two counter cations of [Ni(hfac)(2pyIN)2]+, where Htfa, Hhfac, and 2pyIN stand for trifluoroacetic acid, 1,1,1,5,5,5-hexafluoropentane-2,4-dione, and 4,4,5,5-tetramethyl-2-pyridylimidazolin-1-oxyl, respectively. In the complex anion, each Tb ion was capped with hfac, and each Tb···Tb diagonal was bridged with tfa, thus forming an approximate Td symmetry, though the whole molecular formula was crystallographically independent in an orthorhombic Pbca space group. The ionic charge was −2 in total. The magnetic study revealed that the complex ions were magnetically isolated from each other. Practically no 4f–4f superexchange interaction was operative, while the 2p–3d ferromagnetic coupling seemed to be appreciable, as anticipated from the proposed magnetostructural relationship.
1. Introduction
Heterospin magnetic materials are fascinating to researchers because of the wide variety of symmetries and energy levels of the paramagnetic centers available from the viewpoint of frontier-orbital engineering [1,2,3,4,5,6,7,8,9,10,11,12]. Lanthanide ions, as a 4f spin source, have a large magnetic moment and strong magnetic anisotropy, and become indispensable in the development of conventional bulk magnets as well as recently exploited single-molecule magnets (SMMs) [4]. As a working hypothesis to construct exchange-coupled clusters and networks, plausible magneto-structure correlations have been proposed for 2p–3d [5,6,7], 3d–4f [8,9], and 2p–4f [10,11,12] heterospin systems. There are an increasing number of reports describing 2p–3d–4f triad systems [13,14,15,16,17]. Hopefully, these paramagnetic centers would be better strongly exchange-coupled, because the resultant large total spin quantum number is favorable for SMM performance.
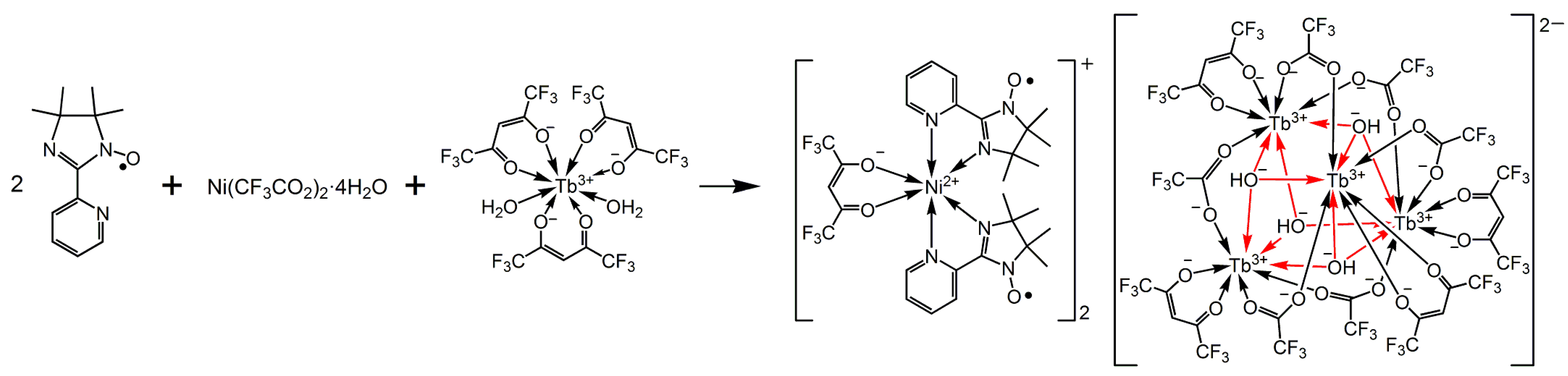
Lanthanide ions usually behave as a hard acid compared with transition-metal ions, which exhibit a soft nature [18]. Upon such selectivity, a simple synthesis has widely been applied, where the 2p, 3d, and 4f spin sources are mixed in a one-pot manner [13,14,15,16,17]. During our development on 2p–3d–4f heterospin magnets, we have found a cubane-like complex dianion [Tb4(OH)4(tfa)6(hfac)4]2−, accompanied by two counter cations of [Ni(hfac)(2pyIN)2]+ in a crystal lattice. Here, Htfa and Hhfac stand for trifluoroacetic acid and 1,1,1,5,5,5-hexafluoropentane-2,4-dione, respectively. Carbonyl compounds are often available as an antenna in luminescent materials [19,20]. The 2pyIN radical (4,4,5,5-tetramethyl-2-pyridylimidazolin-1-oxyl or 2-pyridyl iminonitroxide) [21] is popular in the metal-radical approach. We will describe the molecular/crystal structure and magnetic properties of the product. The formation of cubane-like clusters is not so astonishing since various oxo- and hydroxo-bridged metal clusters have been developed, but a highly symmetric architecture and dianionic valence is rare in the lanthanide cubane-like chemistry, to our knowledge.
2. Materials and Methods
2.1. Preparation
The complex formation was conducted according to the method for the known lanthanide–nitroxide complexes [22,23] with a slight modification. A heptane solution (20 mL) including [Tb(hfac)3(H2O)2] [24,25] (40.3 mg; 0.049 mmol) was refluxed and concentrated to ca. 2 mL. Similarly, another heptane suspension (20 mL) including Ni(CF3CO2)2·4H2O (Wako, 19.3 mg; 0.054 mmol) was refluxed and concentrated to ca. 2 mL. The above solution and suspension were cooled to ca. 40 °C and poured into a dichloromethane solution (1.5 mL) including 2pyIN [19] (21.7 mg; 0.10 mmol). Immediately, the combined solution was filtered, and the filtrate was allowed to stand in a freezer (−22 °C). After 3 days, [Ni(hfac)(2pyIN)2]2[Tb4(OH)4(tfa)6(hfac)4](C7H16)x (abbreviated as 1 hereafter) as orange polycrystalline precipitates were separated on a filter, washed with heptane, and air-dried (Scheme 1). The yield was 18.1 mg (40%). Mp 148–150 °C. Anal. (PerkinElmer 2400 II, PerkinElmer Inc., Waltham, MA, USA). Calcd. for C97H90F54N12Ni2O32Tb4 (x = 1): C, 31.36%; H, 2.44%; N, 4.52%. Found: C, 31.42%; H, 1.25%; N, 4.72%. IR (neat, attenuated total reflection (Nicolet FT-IR 6700, Thermo Scientific, Waltham, MA, USA)) 3578, 1688, 1652, 1555, 1497, 1347, 1253, 1200, 1138, 1098, 794, 662, 583 cm−1.
Scheme 1.
Synthesis of 1. Red arrows depict the coordination bonds in the cubane-like skeleton.
2.2. Structural Analysis
X-Ray diffraction data of a single crystal of 1 were collected on a Saturn 70 hybrid pixel array detector (Rigaku, Tokyo, Japan) with graphite monochromated Mo Kα radiation (λ = 0.71073 Å). The structure was solved by a heavy-atom method and expanded using Fourier techniques in the Olex2 program [26]. The parameters were refined on Shelxl [27]. The thermal displacement parameters of non-hydrogen atoms were refined anisotropically. Hydrogen atoms were located at calculated positions and treated as “riding”. A disorder model was applied to four trifluoromethyl groups. Considerable residual electron densities were found in a void space, and solvent heptane molecules could not be placed, possibly owing to severe disorder. A “squeeze” treatment [28] was applied to 183 residual electrons in a void space of 1016 Å3 per asymmetric cell, corresponding to three heptane molecules as a solvent mask. Selected data are as follows: C111H122F54N12Ni2O32Tb4, orthorhombic Pbca, a = 32.1908(6), b = 29.0734(5), c = 32.2901(6) Å, V = 30220.1(9) Å3, Z = 8, d = 1.721 g cm−3, µ(MoKα) = 2.228 mm−1, R(F) (I > 2σ(I)) = 0.0526, wR(F2) (all reflections) = 0.1185, goodness-of-fit parameter = 0.976, T = 96 K for 41279 reflections. For experimental details and geometrical parameter tables, see CCDC reference number 2153576.
2.3. Magnetic Measurements
Direct and alternating current (dc and ac, respectively) magnetic susceptibilities of 1 were measured on MPMS-XL7 and MPMS3 SQUID magnetometers (Quantum Design Inc., San Diego, CA, USA). For the dc measurements, the magnetic responses were corrected with diamagnetic blank data of the sample holder measured separately, and further diamagnetic contribution was estimated from Pascal’s constants [29].
3. Results and Discussion
Compound 1 was prepared from the starting materials [Tb(hfac)3(H2O)2], Ni(CF3CO2)2, and 2pyIN in a one-pot manner. The product was stable under ambient conditions, but the crystal solvent molecules incorporated escaped easily from the crystal lattice. The composition was confirmed to be [Ni(hfac)(2pyIN)2]2[Tb4(OH)4(tfa)6(hfac)4] by means of spectroscopic, analytic, and X-ray diffraction analyses. The single-crystal X-ray diffraction study clarified that the space group was orthorhombic Pbca with a whole formula unit crystallographically independent (Figure 1a). Considerable residual electron densities were found in a void space in a lattice, being ascribable to heptane. The complex cations and anions were discrete and accordingly seem to be magnetically isolated from each other. On the other hand, the Ni2+ ion and 2pyIN ligands must be magnetically correlated because of the direct metal–radical coordination bonds (see below).

Figure 1.
(a) X-ray crystal structure of 1. Trifluoromethyl groups, hydrogen atoms, and disordered solvent molecules are omitted for the sake of clarity. (b) The dianionic [Tb4(OH)4(tfa)6(hfac)4]2− portion and (c,d) two cationic [Ni(hfac)(2pyIN)2]+ portions in the crystal of 1. Only a major conformer is drawn for disordered trifluoromethyl groups, and hydrogen atoms are omitted for clarity in (b–d). The thermal ellipsoids are drawn at the 50% probability level. The atomic color codes are: C, black; O, red; N, blue; F, yellow; Tb, turquoise; Ni, green.
As Figure 1b shows, the anionic portion has a tetranuclear Tb3+ cage cluster in 1. Each Tb3+ ion is coordinated with three OH− ions, and each OH– ion plays the role of a tripodal bridge, forming a cube-like structure. The intra-cuboid Tb–O bond lengths varied from 2.329(3) to 2.429(3) Å, the Tb–O–Tb angles from 105.06(11) to 108.67(11)°, and the O–Tb–O angles from 69.04(10) to 71.47(10)°. Thus, the cubane-like cluster was considerably distorted with the wider Tb–O–Tb angles and narrower O–Tb–O angles, compared to 90°. The peripheral ligands were characterized as follows: each Tb3+ ion was capped with an hfac anion, and every Tb···Tb diagonal was bridged with a tfa anion. Several tfa-bridged lanthanide complexes are known in the literature [30]. Thus, the tetra(µ3-hydroxo)- and hexa(µ-η2(O,O’)-tfa)-bridged structure in 1 can be regarded as an approximate Td symmetry. The Tb3+ ions are eight-coordinate, and the SHAPE analysis [31] indicates that the TbO8 coordination spheres are best described as a triangular dodecahedron (TDD-8). Hydrogen bonds were found between the anion and cation moieties; the O···O distances were 2.991(5) and 2.918(4) Å for O2–H2···O25 and O4–H4···O29, respectively. Such interactions brought about an L-shaped cation–dianion–cation arrangement, and the resultant bulkiness seems to afford a void space in a crystal lattice, where the crystal solvent molecules were incorporated.
The [Tb4(OH)4]8+ core in 1 was similar to that of the known lanthanide cuboids [32,33,34,35]. A possible formation mechanism has already been discussed elsewhere [35]. In comparison with the known compounds, it should be noted that the present complex had peripheral ligands located in a highly symmetrical manner. Furthermore, a dianionic valence of the cuboidal complex ion is rather rare.
As for the cation moiety of 1 (Figure 1c,d), we can find two 2pyIN chelate rings around the Ni2+ (3d8) ion. The C2py-C2im–N–Ni torsion angle, ϕ, is proposed to be a convenient metric to assess magnetostructural relationship. The torsion angles were 1.1(6), 1.7(6), −2.5(6), and 0.7(5)° around the C40–C33–N1–Ni1, C52–C45–N4–Ni1, C69–C62–N7–Ni2, and C74–C81–N12–Ni2 bonds, respectively. These small torsions guarantee the absence of dz2/dx2–y2–π* orbital overlap. A closely related 2p/3d = 1/1 complex [Ni(hfac)2(2pyIN)] was reported to display orthogonal d–π* orbital arrangement and ferromagnetic coupling [36]. According to the magnetostructural relationship, the critical |ϕC|, where the exchange coupling alters from ferro- to antiferromagnetic, was reported to be 12.8(8)° for the Cu2+ and Ni2+ compounds [7] and 21(1) or 26(3)° for the Ni2+ compounds [37]. We can safely predict that the [Ni(hfac)(2pyIN)2]+ portions in 1 should behave as a ground quintet species.
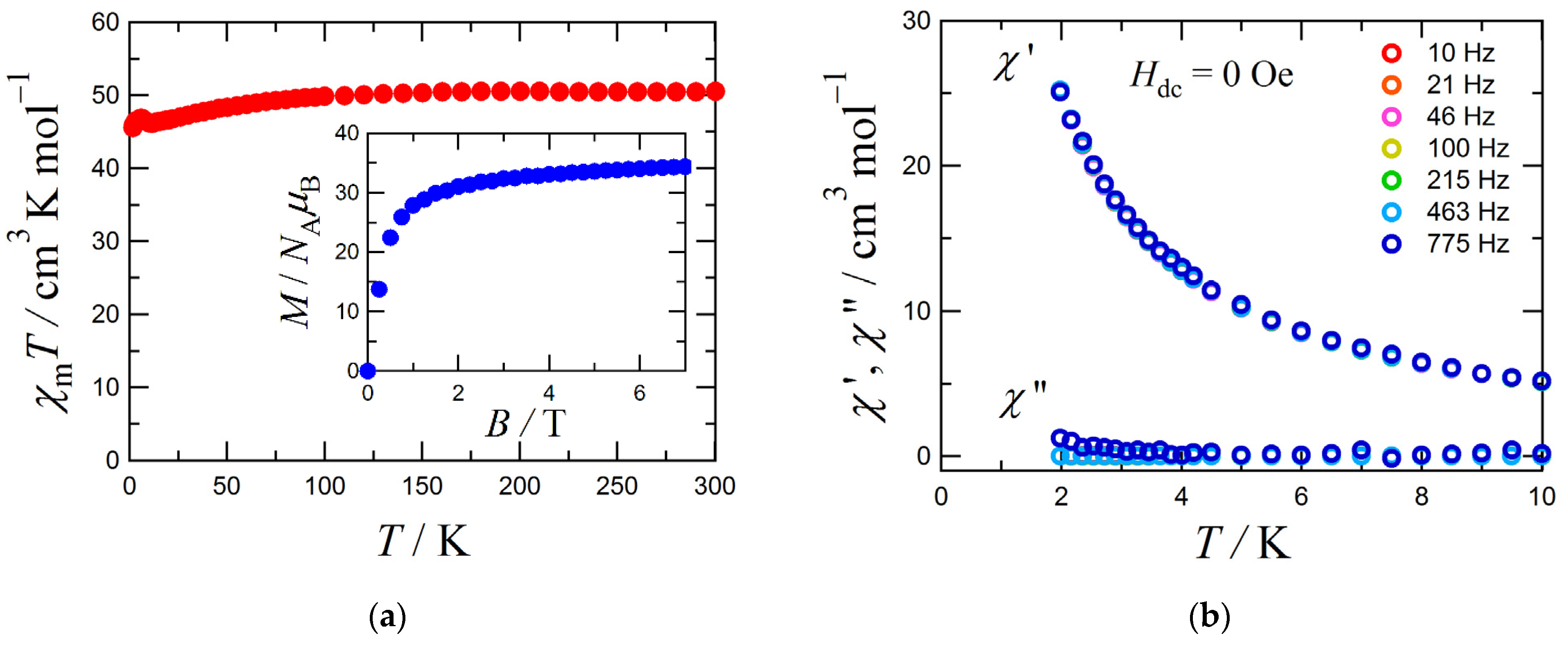
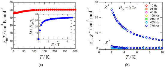
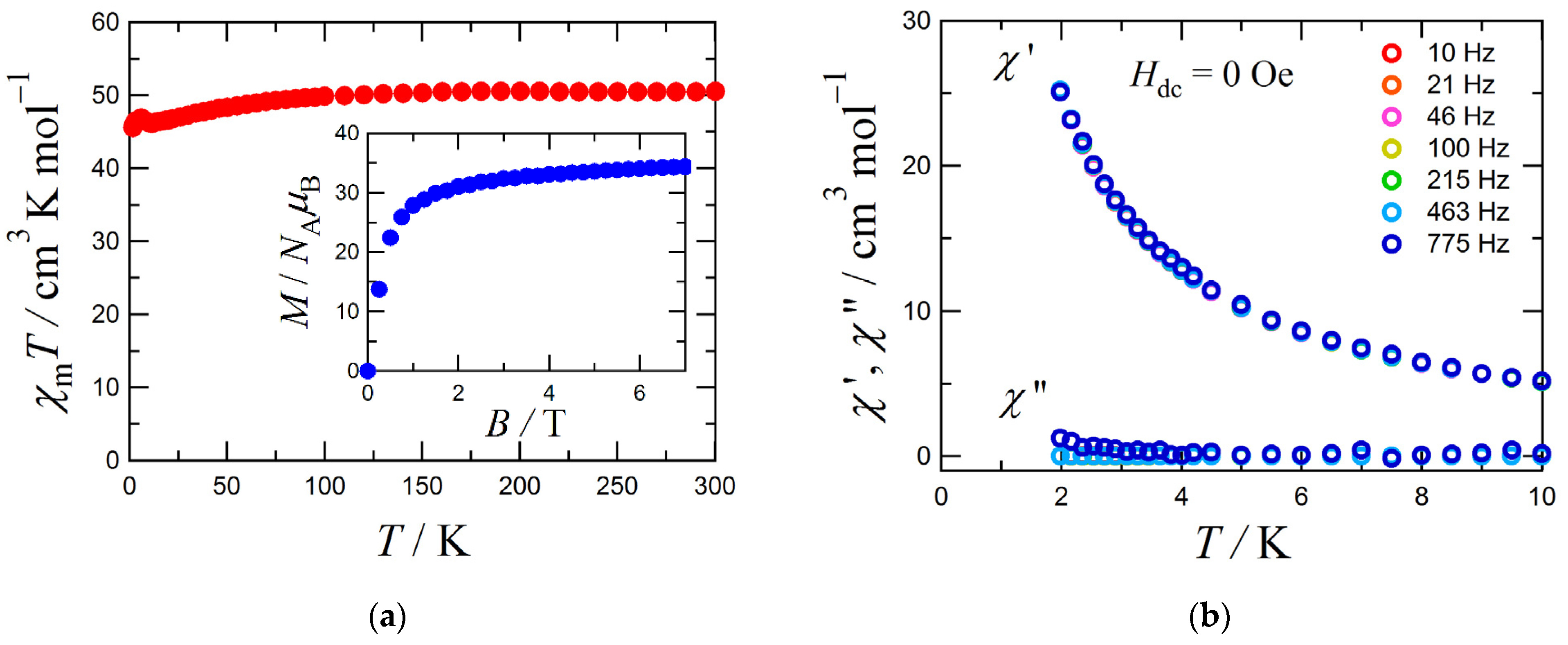
Figure 2a displays the dc magnetic susceptibility result on 1. A relatively temperature-insensitive character appeared, indicating that each complex ion was magnetically isolated from each other. This finding also implies that the Tb–O–Tb superexchange coupling was negligible. At 300 K, the χmT value was 50.5 cm3 K mol−1, in good agreement with the theoretical value 50.7 cm3 K mol−1 expected from the sum of four Tb3+ ions (11.81 cm3 K mol−1 each with the angular moment J = L + S = 6 and the Landé factor gJ = 3/2), two Ni2+ ions (1.00 cm3 K mol−1 each), and four radicals (0.375 cm3 K mol−1 each). On cooling, the χmT value gradually decreased and reached 45.6 cm3 K mol−1 at 1.8 K, and this profile can partly be explained in terms of depopulation effect regarding the Jz sublevels in the Tb3+ ion. Such a lanthanide single-ion property sometimes disturbs exchange coupling analysis. In the present case, the 2p–3d interaction in the cation portions could not be evaluated.
Figure 2.
(a) The χmT(T) plot for 1, measured at 500 Oe. The polycrystalline sample was fixed with a small amount of eicosane. Inset: the M(H) plot for 1, measured at 1.8 K. The sample was not fixed. (b) Ac magnetic susceptibilities for 1 without any applied dc field.
The M–H curve (Figure 2a, inset) displays a positive slope even at 7 T, and the magnetization (34.4 NAµB at 7 T and 1.8 K when the sample was unfixed) was lower than the theoretical maximum value 44 NAµB, mainly because of the strong magnetic anisotropy of the Tb3+ moment.
Figure 2b shows the in-phase (χ’) and out-of-phase parts (χ”) of the molar ac magnetic susceptibilities for 1, measured in no dc bias field. In further experiments with applied fields of 1000 and 2000 Oe, no appreciable χ” was recorded either. There have been several reports on Dy-based SMMs including Dy4(OH)4 cuboids [33]. The Kramers theorem suggests that Dy3+ ion has a double-well potential surface suitable for SMMs but Tb3+ ion does not [38,39]. After combining the results of the Tb4- and Dy4-based cuboids, the single-ion magnetic property of Tb3+ and Dy3+ seems to regulate the whole molecular magnetism. This conclusion is compatible with the negligible 4f–4f coupling in the cuboid.
4. Conclusions
A dianionic cuboidal complex ion [Tb4(OH)4(tfa)6(hfac)4]2− was synthesized, accompanied by two counter cations of [Ni(hfac)(2pyIN)2]+ in a crystal lattice. In the complex anion, each Tb ion is capped with hfac and bridged with tfa in a highly symmetrical manner. The magnetic study revealed that the complex ions were magnetically isolated and that the Tb–O–Tb superexchange coupling was negligible, although the 2p–3d–4f heterospin material was realized Building upon the present architectural study, the use of a wide diversity of carboxylates and diketonates will be of interest to supramolecular chemistry involving a lanthanide cuboid building block.
Author Contributions
Conceptualization and writing, T.I.; all of the experiments, Y.Y. All authors have read and agreed to the published version of the manuscript.
Funding
This research was supported in part from JSPS KAKENHI (grant number JP20K21170).
Data Availability Statement
CCDC reference number 2153576 contains the supplementary crystallographic data for 1. These data are provided free of charge by the Cambridge Crystallographic Data Centre at www.ccdc.cam.ac.uk/structures (accessed on 21 February 2022).
Conflicts of Interest
The authors declare no conflict of interest.
References
- Liu, K.; Shi, W.; Cheng, P. Toward heterometallic single-molecule magnets: Synthetic strategy, structures and properties of 3d–4f discrete complexes. Coord. Chem. Rev. 2015, 289, 74–122. [Google Scholar] [CrossRef]
- Demir, S.; Jeon, I.R.; Long, J.R.; Harris, T.D. Radical ligandcontaining single-molecule magnets. Coord. Chem. Rev. 2015, 289, 149–176. [Google Scholar] [CrossRef] [Green Version]
- Liu, J.L.; Chen, Y.C.; Tong, M.L. Symmetry strategies for high performance lanthanide-based single-molecule magnets. Chem. Soc. Rev. 2018, 47, 2431–2453. [Google Scholar] [CrossRef] [PubMed]
- Gatteschi, D.; Sessoli, R.; Villain, J. Molecular Nanomagnets; Oxford University Press: Oxford, UK, 2006. [Google Scholar]
- Kahn, O. Molecular Magnetism; VCH: New York, NY, USA, 1993. [Google Scholar]
- Caneschi, A.; Gatteschi, D.; Sessoli, R.; Rey, P. Toward molecular magnets: The metal-radical approach. Acc. Chem. Res. 1989, 22, 392–398. [Google Scholar] [CrossRef]
- Ishida, T.; Ito, S.; Homma, Y.; Kyoden, Y. Molecular S = 2 High-Spin, S = 0 Low-Spin and S = 0 ⇄ 2 Spin-Transition/-Crossover Nickel(II)-Bis(nitroxide) Coordination Compounds. Inorganics 2021, 9, 10. [Google Scholar] [CrossRef]
- Peng, Y.; Powell, A.K. What do 3d-4f butterflies tell us? Coord. Chem. Rev. 2021, 426, 213490. [Google Scholar] [CrossRef]
- Watanabe, R.; Fujiwara, K.; Okazawa, A.; Tanaka, G.; Yoshii, S.; Nojiri, H.; Ishida, T. Chemical trend of Ln−M exchange couplings in heterometallic complexes with Ln = Gd, Tb, Dy, Ho, Er and M = Cu, V. Chem. Commun. 2011, 47, 2110–2112. [Google Scholar] [CrossRef]
- Ikegaya, N.; Kanetomo, T.; Murakami, R.; Ishida, T. Triply Radical-coordinated Gadolinium(III) Complex as a High-spin S = 5 Assembly. Chem. Lett. 2012, 41, 82–83. [Google Scholar] [CrossRef]
- Kanetomo, T.; Naoi, Y.; Enomoto, M. Gadolinium-Triradical Complex with Ground S = 10 State: Synthesis, Structural Characterization and Magnetic Studies. Eur. J. Inorg. Chem. 2021, 2021, 1130–1136. [Google Scholar] [CrossRef]
- Nakamura, T.; Kanetomo, T.; Ishida, T. Strong Antiferromagnetic Interaction in a Gadolinium(III) Complex with Methoxy-TEMPO Radical: A Relation between the Coupling and the Gd–O–N Angle. Inorg. Chem. 2020, 60, 535–539. [Google Scholar] [CrossRef]
- Escobar, L.B.L.; Guedes, G.P.; Soriano, S.; Speziali, N.L.; Jordão, A.K.; Cunha, A.C.; Ferreira, V.F.; Maxim, C.; Novak, M.A.; Andruh, M.; et al. New Families of Hetero-tri-spin 2p–3d–4f Complexes: Synthesis, Crystal Structures, and Magnetic Properties. Inorg. Chem. 2014, 53, 7508–7517. [Google Scholar] [CrossRef]
- Novitchi, G.; Shova, S.; Lan, Y.; Wernsdorfer, W.; Train, C. Verdazyl Radical, a Building Block for a Six-Spin-Center 2p–3d–4f Single-Molecule Magnet. Inorg. Chem. 2016, 55, 12122–12125. [Google Scholar] [CrossRef]
- Li, H.; Sun, J.; Yang, M.; Sun, Z.; Tang, J.; Ma, Y.; Li, L. Functionalized nitronyl nitroxide biradicals for the construction of 3d–4f heterometallic compounds. Inorg. Chem. 2018, 57, 9757–9765. [Google Scholar] [CrossRef]
- Vaz, M.G.F.; Andruh, M. Molecule-based magnetic materials constructed from paramagnetic organic ligands and two different metal ions. Coord. Chem. Rev. 2021, 427, 213611. [Google Scholar] [CrossRef]
- Patrascu, A.A.; Calancea, S.; Briganti, M.; Soriano, S.; Madalan, A.M.; Cassaro, R.A.A.; Caneschi, A.; Totti, F.; Vaz, M.G.F.; Andruh, M. A chimeric design of heterospin 2p–3d, 2p–4f, and 2p–3d–4f complexes using a novel family of paramagnetic dissymmetric compartmental ligands. Chem. Commun. 2017, 53, 6504–6507. [Google Scholar] [CrossRef]
- Parr, R.G.; Pearson, R.G. Absolute hardness: Companion parameter to absolute electronegativity. J. Am. Chem. Soc. 1983, 105, 7512–7516. [Google Scholar] [CrossRef]
- Kudyakova, Y.S.; Slepukhin, P.A.; Valova, M.S.; Burgart, Y.V.; Saloutin, V.I.; Bazhin, D.N. Role of alkyl substituents in the structure and luminescence properties of discrete terbium(III)-lithium(I) Β-Diketonates. J. Mol. Struct. 2021, 1226, 129331. [Google Scholar] [CrossRef]
- Takano, R.; Ishida, T. Polymeric Terbium(III) Squarate Hydrate as a Luminescent Magnet. Crystals 2021, 11, 1221. [Google Scholar] [CrossRef]
- Helbert, J.N.; Kopf, P.W.; Poindexter, E.H.; Wagner, B.E. Complexing and protonation of free-radical imidazolin-1-oxyl and imidazolin-1-oxyl 3-oxide ligands: A magnetic-resonance investigation. J. Chem. Soc. Dalton Trans. 1975, 1975, 998–1006. [Google Scholar] [CrossRef]
- Kanetomo, T.; Yoshitake, T.; Ishida, T. Strongest Ferromagnetic Coupling in Designed Gadolinium(III)–Nitroxide Coordination Compounds. Inorg. Chem. 2016, 55, 8140–8146. [Google Scholar] [CrossRef]
- Kanetomo, T.; Ishida, T. Preparation and characterization of [Gd(hfac)3(DTBN)(H2O)] (DTBN = di-t-butyl nitroxide). Ferromagnetic Gd3+–Gd3+ super–superexchange. Chem. Commun. 2014, 50, 2529–2531. [Google Scholar] [CrossRef]
- Richardson, M.F.; Wagner, W.F.; Sands, D.E. Rare-earth trishexafluoroacetylacetonates and related compounds. J. Inorg. Nucl. Chem. 1968, 30, 1275–1289. [Google Scholar] [CrossRef]
- Bagryanskaya, I.Y.; Politanskaya, L.V.; Tretyakov, E.V. Frequently used, but still unknown: Terbium(III) tris-hexafluoroacetylacetonate dihydrate. Inorg. Chem. Commun. 2016, 66, 47–50. [Google Scholar] [CrossRef]
- Dolomanov, O.V.; Bourhis, L.J.; Gildea, R.J.; Howard, J.A.; Puschmann, H. Olex2: A complete structure solution, refinement and analysis program. J. Appl. Crystallogr. 2009, 42, 339–341. [Google Scholar] [CrossRef]
- Sheldrick, G.M. Crystal structure refinement with SHELXL. Acta Crystallogr. Sect. C Struct. Chem. 2015, 71, 3–8. [Google Scholar] [CrossRef]
- Spek, A.L. PLATON SQUEEZE: A tool for the calculation of the disordered solvent contribution to the calculated structure factors. Acta Crystallogr. Sect. C Struct. Chem. 2015, 71, 9–18. [Google Scholar] [CrossRef] [Green Version]
- Bain, G.A.; Berry, J.F. Diamagnetic Corrections and Pascal’s Constants. J. Chem. Educ. 2008, 85, 532–536. [Google Scholar]
- Eliseeva, S.V.; Pleshkov, D.N.; Lyssenko, K.A.; Lepnev, L.S.; Bünzli, J.C.G.; Kuzmina, N.P. Highly luminescent and triboluminescent coordination polymers assembled from lanthanide β-diketonates and aromatic bidentate O-donor ligands. Inorg. Chem. 2010, 49, 9300–9311. [Google Scholar] [PubMed]
- Lluncll, M.; Casanova, D.; Circra, J.; Bofill, J.M.; Alcmany, P.; Alvarez, S.; Pinsky, M.; Avnir, D. SHAPE, Version 2.1; University of Barcelona: Barcelona, Spain; Hebrew University of Jerusalem: Jerusalem, Israel, 2005. [Google Scholar]
- Li, X.; Sun, H.L.; Wu, X.S.; Qiu, X.; Du, M. Unique (3,12)-connected porous lanthanide–organic frameworks based on Ln4O4 clusters: Synthesis, crystal structures, luminescence, and magnetism. Inorg. Chem. 2010, 49, 1865–1871. [Google Scholar] [CrossRef]
- Wong, H.Y.; Chan, W.T.K.; Law, G.L. Assembly of lanthanide(III) cubanes and dimers with single-molecule magnetism and photoluminescence. Inorg. Chem. 2018, 57, 6893–6902. [Google Scholar] [PubMed]
- Andrews, P.C.; Gee, W.J.; Junk, P.C.; MacLellan, J.G. Systematic study of the formation of the lanthanoid cubane cluster motif mediated by steric modification of diketonate ligands. Dalton Trans. 2011, 40, 12169–12179. [Google Scholar] [CrossRef]
- Wu, Y.; Morton, S.; Kong, X.; Nichol, G.S.; Zheng, Z. Hydrolytic synthesis and structural characterization of lanthanide-acetylacetonato/hydroxo cluster complexes—A systematic study. Dalton Trans. 2011, 40, 1041–1046. [Google Scholar] [CrossRef] [Green Version]
- Luneau, D.; Rey, P.; Laugier, J.; Belorizky, E.; Cogne, A. Ferromagnetic behavior of nickel(II)–imino nitroxide derivatives. Inorg. Chem. 1992, 31, 3578–3584. [Google Scholar] [CrossRef]
- Okazawa, A. Magneto-Structural Relationship on Strong Exchange Interactions between Chelating Nitroxide Radical and Transition-Metal Spins. IOP Conf. Ser. Mater. Sci. Eng. 2017, 202, 012002. [Google Scholar] [CrossRef]
- Rinehart, J.D.; Long, J.R. Exploiting single-ion anisotropy in the design of f-element single-molecule magnets. Chem. Sci. 2011, 2, 2078–2085. [Google Scholar] [CrossRef]
- Ishida, T. Spin-Parity Behavior in the Exchange-Coupled Lanthanoid-Nitroxide Molecular Magnets. IOP Conf. Ser. Mater. Sci. Eng. 2017, 202, 012001. [Google Scholar] [CrossRef] [Green Version]
Publisher’s Note: MDPI stays neutral with regard to jurisdictional claims in published maps and institutional affiliations. |
© 2022 by the authors. Licensee MDPI, Basel, Switzerland. This article is an open access article distributed under the terms and conditions of the Creative Commons Attribution (CC BY) license (https://creativecommons.org/licenses/by/4.0/).



