Optimization of Effective Doping Concentration of Emitter for Ideal c-Si Solar Cell Device with PC1D Simulation
Abstract
:1. Introduction
2. Solar Cell Modelling Using PC1D
3. Simulation of c-Si Solar Cell
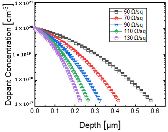
4. Results and Discussion
5. Conclusions
Author Contributions
Funding
Institutional Review Board Statement
Informed Consent Statement
Data Availability Statement
Conflicts of Interest
References
- Madeti, S.R.; Singh, S. Monitoring system for photovoltaic plants: A review. Renew. Sustain. Energy Rev. 2017, 67, 1180–1207. [Google Scholar] [CrossRef]
- Rezk, H.; Tyukhov, I.; Al-Dhaifallah, M.; Tikhonov, A. Performance of data acquisition system for monitoring PV system parameters. Measurement 2017, 104, 204–211. [Google Scholar] [CrossRef]
- Panwar, N.; Kaushik, S.; Kothari, S. Role of renewable energy sources in environmental protection: A review. Renew. Sustain. Energy Rev. 2011, 15, 1513–1524. [Google Scholar] [CrossRef]
- Matthias, L. Total primary Energy supply from sunlight. Retrieved April 2006, 6, 2012. [Google Scholar]
- Thirunavukkarasu, G.S.; Seyedmahmoudian, M.; Chandran, J.; Stojcevski, A.; Subramanian, M.; Marnadu, R.; Alfaify, S.; Shkir, M. Optimization of Mono-Crystalline Silicon Solar Cell Devices Using PC1D Simulation. Energies 2021, 14, 4986. [Google Scholar] [CrossRef]
- Battaglia, C.; Cuevas, A.; De Wolf, S. High-efficiency crystalline silicon solar cells: Status and perspectives. Energy Environ. Sci. 2016, 9, 1552–1576. [Google Scholar] [CrossRef] [Green Version]
- Stem, N.; Cid, M. Physical limitations for homogeneous and highly doped n-type emitter monocrystalline silicon solar cells. Solid-State Electron. 2004, 48, 197–205. [Google Scholar] [CrossRef]
- Franklin, E.; Fong, K.; McIntosh, K.; Fell, A.; Blakers, A.; Kho, T.; Walter, D.; Wang, D.; Zin, N.; Stocks, M.; et al. Design, fabrication and characterisation of a 24.4% efficient interdigitated back contact solar cell. Prog. Photovolt. Res. Appl. 2016, 24, 411–427. [Google Scholar] [CrossRef]
- Steinkemper, H.; Hermle, M.; Glunz, S.W. Comprehensive simulation study of industrially relevant silicon solar cell architectures for an optimal material parameter choice. Prog. Photovolt. Res. Appl. 2016, 24, 1319–1331. [Google Scholar] [CrossRef]
- Doshi, P.; Mejia, J.; Tate, K.; Kamra, S.; Rohatgi, A.; Narayanan, S.; Singh, R. High-efficiency silicon solar cells by low-cost rapid thermal processing, screen printing, and plasma-enhanced chemical vapor deposition. In Proceedings of the Conference Record of the Twenty Fifth IEEE Photovoltaic Specialists Conference, Washington, DC, USA, 13 May 1996; pp. 421–424. [Google Scholar]
- Oh, J.; Yuan, H.C.; Branz, H.M. An 18.2%-efficient black-silicon solar cell achieved through control of carrier recombination in nanostructures. Nat. Nanotechnol. 2012, 7, 743–748. [Google Scholar] [CrossRef]
- Clugston, D.A.; Basore, P.A. PC1D version 5: 32-bit solar cell modeling on personal computers. In Proceedings of the Conference Record of the Twenty Sixth IEEE Photovoltaic Specialists Conference-1997, Anaheim, CA, USA, 29 September–3 October 1997; pp. 207–210. [Google Scholar]
- Fell, A.; McIntosh, K.R.; Altermatt, P.P.; Janssen, G.J.; Stangl, R.; Ho-Baillie, A.; Steinkemper, H.; Greulich, J.; Müller, M.; Min, B.; et al. Input parameters for the simulation of silicon solar cells in 2014. IEEE J. Photovolt. 2015, 5, 1250–1263. [Google Scholar] [CrossRef] [Green Version]
- Kim, B.; Park, C.; Balaji, N.; Lee, Y.; Song, K.; Jung, W.; Choi, J.; Ju, M.; Lee, J.; Lee, H.; et al. Doping Profile Effect of Shallow Emitter Junction in Selective Emitter c-Si Solar Cell with Reactive Ion Etching Etch Back Process. J. Comput. Theor. Nanosci. 2013, 10, 1779–1783. [Google Scholar] [CrossRef]
- Park, C.; Ahn, S.; Kim, B.; Song, K.; Choi, J.; Balaji, N.; Ju, M.; Lee, H.; Yi, J. An Analysis and Optimization of Selective Emitter with Etched-Back Structure of Crystalline Silicon Solar Cells Using TCAD Simulation. J. Comput. Theor. Nanosci. 2013, 10, 1772–1778. [Google Scholar] [CrossRef]
- Bremner, S.; Levy, M.; Honsberg, C.B. Analysis of tandem solar cell efficiencies under AM1. 5G spectrum using a rapid flux calculation method. Prog. Photovolt. Res. Appl. 2008, 16, 225–233. [Google Scholar] [CrossRef]
- Fell, A.; McIntosh, K.R.; Abbott, M.; Walter, D. Quokka version 2: Selective surface doping, luminescence modeling and data fitting. In Proceedings of the 23rd International Photovoltaic Science and Engineering Conference 2013, Taipei, Taiwan, 28 October–1 November 2013. [Google Scholar]
- Trupke, T.; Green, M.A.; Würfel, P.; Altermatt, P.; Wang, A.; Zhao, J.; Corkish, R. Temperature dependence of the radiative recombination coefficient of intrinsic crystalline silicon. J. Appl. Phys. 2003, 94, 4930–4937. [Google Scholar] [CrossRef] [Green Version]
- Richter, A.; Glunz, S.W.; Werner, F.; Schmidt, J.; Cuevas, A. Improved quantitative description of Auger recombination in crystalline silicon. Phys. Rev. B 2012, 86, 165202. [Google Scholar] [CrossRef] [Green Version]
- Maeda, T.; Narita, T.; Ueda, H.; Kanechika, M.; Uesugi, T.; Kachi, T.; Kimoto, T.; Horita, M.; Suda, J. Shockley–Read–Hall lifetime in homoepitaxial p-GaN extracted from recombination current in GaN p–n+ junction diodes. Jpn. J. Appl. Phys. 2019, 58, SCCB14. [Google Scholar] [CrossRef]
- Klaassen, D. A unified mobility model for device simulation—I. Model equations and concentration dependence. Solid-State Electron. 1992, 35, 953–959. [Google Scholar] [CrossRef]
- Pässler, R. Semi-empirical descriptions of temperature dependences of band gaps in semiconductors. Phys. Status Solidi b 2003, 236, 710–728. [Google Scholar] [CrossRef]
- Passeri, D.; Moscatelli, F.; Morozzi, A.; Bilei, G. Modeling of radiation damage effects in silicon detectors at high fluences HL-LHC with Sentaurus TCAD. Nucl. Instruments Methods Phys. Res. Sect. A Accel. Spectrometers Detect. Assoc. Equip. 2016, 824, 443–445. [Google Scholar] [CrossRef] [Green Version]
- Altermatt, P.; Schenk, A.; Heiser, G. A simulation model for the density of states and for incomplete ionization in crystalline silicon. I. Establishing the model in Si: P. J. Appl. Phys. 2006, 100, 113715. [Google Scholar] [CrossRef]
- Schenk, A. Finite-temperature full random-phase approximation model of band gap narrowing for silicon device simulation. J. Appl. Phys. 1998, 84, 3684–3695. [Google Scholar] [CrossRef]
- Dexter, D.; Seitz, F. Effects of dislocations on mobilities in semiconductors. Phys. Rev. 1952, 86, 964. [Google Scholar] [CrossRef]
- Fischer, M.; Woodhouse, M.; Herritsch, S.; Trube, J. International Technology Roadmap for Photovoltaic (ITRPV); Technical Report; VDMA: Frankfurt am Main, Germany, 2020. [Google Scholar]
- Shanmugam, V.; Khanna, A.; Basu, P.K.; Aberle, A.G.; Mueller, T.; Wong, J. Impact of the phosphorus emitter doping profile on metal contact recombination of silicon wafer solar cells. Sol. Energy Mater. Sol. Cells 2016, 147, 171–176. [Google Scholar] [CrossRef]
- Chander, S.; Purohit, A.; Nehra, A.; Nehra, S.; Dhaka, M. A study on spectral response and external quantum efficiency of mono-crystalline silicon solar cell. Int. J. Renew. Energy Res. (IJRER) 2015, 5, 41–44. [Google Scholar]







| Characteristics | Value |
|---|---|
| Device area | cm |
| Front/rear surface texture depth | 54.74/3 m |
| Front/Rear surface coating | 80 nm − n = 2.03 |
| Internal optical reflectance | Enabled |
| Thickness | 180 m |
| Intrinsic concentration ni @ 300 K | cm |
| diffusion | cm |
| diffusion | cm |
| Front and rear SRV | 10,000 cm/s |
| Bulk recombination | 100 s |
| Temperature | °C |
| [Ω/sq.] | [%] | [fA/cm] | [fA/cm] | [fA/cm] | [fA/cm] |
|---|---|---|---|---|---|
| 50 | 89.6 | 0.03 | 52.53 | 13.96 | 66.52 |
| 70 | 93.7 | 0.02 | 38.97 | 14.6 | 53.59 |
| 90 | 95.8 | 0.02 | 30.65 | 14.92 | 45.59 |
| 110 | 96.9 | 0.01 | 25.35 | 15.09 | 40.45 |
| 130 | 97.5 | 0.01 | 21.62 | 15.19 | 36.82 |
Publisher’s Note: MDPI stays neutral with regard to jurisdictional claims in published maps and institutional affiliations. |
© 2022 by the authors. Licensee MDPI, Basel, Switzerland. This article is an open access article distributed under the terms and conditions of the Creative Commons Attribution (CC BY) license (https://creativecommons.org/licenses/by/4.0/).
Share and Cite
Subramanian, M.; Nagarajan, B.; Ravichandran, A.; Subhash Betageri, V.; Thirunavukkarasu, G.S.; Jamei, E.; Seyedmahmoudian, M.; Stojcevski, A.; Mekhilef, S.; Minnam Reddy, V.R. Optimization of Effective Doping Concentration of Emitter for Ideal c-Si Solar Cell Device with PC1D Simulation. Crystals 2022, 12, 244. https://doi.org/10.3390/cryst12020244
Subramanian M, Nagarajan B, Ravichandran A, Subhash Betageri V, Thirunavukkarasu GS, Jamei E, Seyedmahmoudian M, Stojcevski A, Mekhilef S, Minnam Reddy VR. Optimization of Effective Doping Concentration of Emitter for Ideal c-Si Solar Cell Device with PC1D Simulation. Crystals. 2022; 12(2):244. https://doi.org/10.3390/cryst12020244
Chicago/Turabian StyleSubramanian, Maruthamuthu, Balaji Nagarajan, Aishwarya Ravichandran, Varsha Subhash Betageri, Gokul Sidarth Thirunavukkarasu, Elmira Jamei, Mehdi Seyedmahmoudian, Alex Stojcevski, Saad Mekhilef, and Vasudeva Reddy Minnam Reddy. 2022. "Optimization of Effective Doping Concentration of Emitter for Ideal c-Si Solar Cell Device with PC1D Simulation" Crystals 12, no. 2: 244. https://doi.org/10.3390/cryst12020244
APA StyleSubramanian, M., Nagarajan, B., Ravichandran, A., Subhash Betageri, V., Thirunavukkarasu, G. S., Jamei, E., Seyedmahmoudian, M., Stojcevski, A., Mekhilef, S., & Minnam Reddy, V. R. (2022). Optimization of Effective Doping Concentration of Emitter for Ideal c-Si Solar Cell Device with PC1D Simulation. Crystals, 12(2), 244. https://doi.org/10.3390/cryst12020244

