End-of-Life Liquid Crystal Displays Recycling: Physico-Chemical Properties of Recovered Liquid Crystals
Abstract
1. Introduction
2. Materials and Methods
2.1. Materials: EOL-LCD Panels
2.2. Extraction of LCs from EOL-LCD Panels
2.3. Characterization Techniques
2.3.1. Determination of Molecular Structures by FTIR, 1H NMR and GC-MS
2.3.2. Determination of Thermal and Optical Properties
3. Results and Discussions
3.1. Mass Balance of Extracted LCs
3.2. Chemical Characterization of LCs Mixtures
3.2.1. Identification of Aromatic Groups and Possible Substitutions
3.2.2. Alkyl and Alkane Groups
3.2.3. Aliphatic Group Associated with Specific Chemical Bonds
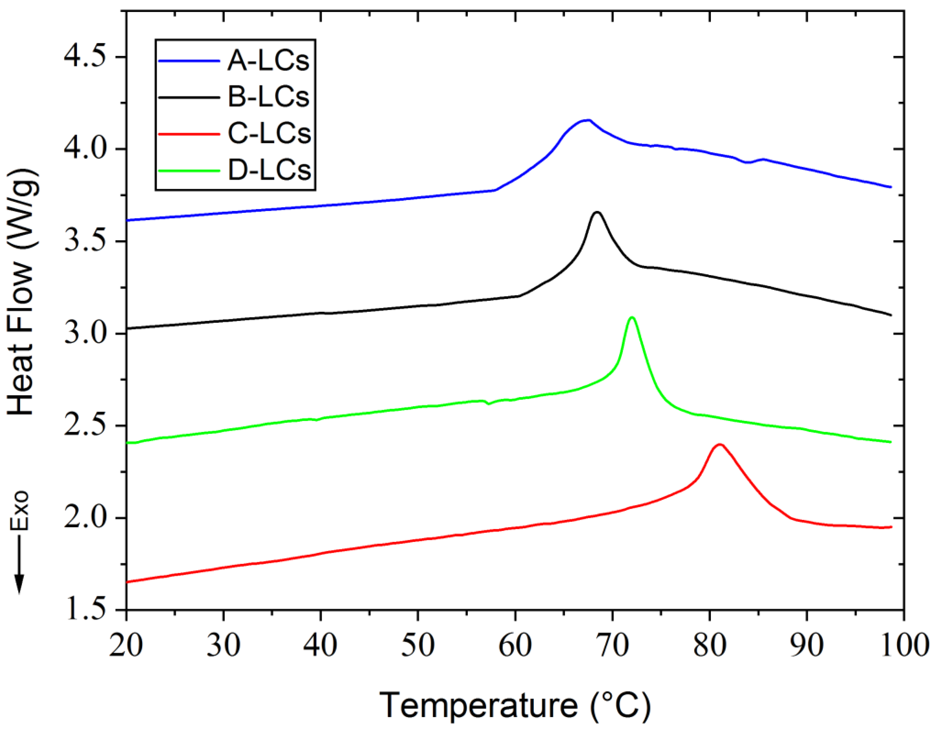
3.3. Mesomorphic Properties
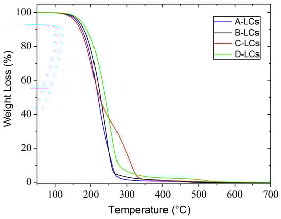
3.4. Thermogravimetric Analysis
3.5. Economic Interest of Extracted LCs
3.5.1. Evaluation of the Amount of Liquid Crystals
3.5.2. Economic Benefits and Reuse Fields
- (a)
- LCD flat panels
- (b)
- Their use in PDLC systems
- (c)
- LCs recycled as lubricants
- (d)
- Recycled liquid crystals and thermal effects (thermochromic molecules)
4. Conclusions
Author Contributions
Funding
Institutional Review Board Statement
Informed Consent Statement
Data Availability Statement
Acknowledgments
Conflicts of Interest
Sample Availability
References
- Directive 2002/96/EC of the European Parliament and of the council of 27 January 2003 on waste electrical and electronic equipment (WEEE). Off. J. Eur. Union 2003, L37/24, 12–25.
- Directive 2002/95/EC of the European Parliament and of the council of 27 January 2003 on the restriction of the use of certain hazardous substances in electrical and electronic equipment. Off. J. Eur. Union 2003, L174/88, 19–23.
- Décret n 2005-829 du 20 juillet 2005 relatif à la composition des équipements électriques et électroniques et à l’élimination des déchets issus de ces équipements. J. Off. République Française 2005, 169, 8.
- Décret n 2012-617 du 2 mai 2012 relatif à la gestion des déchets de piles et accumulateurs et d’équipements électriques et électroniques. J. Off. République Française 2012, 105, 19–72.
- Décret n 2014-928 du 19 août 2014 relatif aux déchets d’équipements électriques et électroniques et aux équipements électriques et électroniques usagés. J. Off. République Française 2014, 193, 10–56.
- European Commission. Circular Economy Action Plan. Available online: https://ec.europa.eu/environment/strategy/circular-economy-action-plan_en (accessed on 19 April 2021).
- Conseil Supérieur de L’audiovisuel. L’équipement Audiovisuel des Foyers au 1er Semestre 2018. Available online: https://www.csa.fr/Informer/Collections-du-CSA/Panorama-Toutes-les-etudes-liees-a-l-ecosysteme-audiovisuel/Les-observatoires-de-l-equipement-audiovisuel/L-equipement-audiovisuel-des-foyers-au-1er-semestre-2018 (accessed on 19 April 2021).
- Singh, S. Liquid Crystals Fundamentals, 1st ed.; World Scientific Publishing Co. Pte. Ltd.: London, UK, 2002; ISBN 9810242506. [Google Scholar]
- Brown, C.V. Physical Properties of Nematic Liquid Crystals. In Handbook of Visual Display Technology; Chen, J., Cranton, W., Fihn, M., Eds.; Springer: Berlin/Heidelberg, Germany, 2012; Volume 1–4, pp. 1343–1361. ISBN 9783540795674. [Google Scholar]
- Collings, P.J.; Hird, M. Introduction to Liquid Crystals: Chemistry and Physics, 1st ed.; Taylor & Francis Ltd.: London, UK, 2017; ISBN 9781351989244. [Google Scholar]
- Yang, D.K.; Wu, S.T. Fundamentals of Liquid Crystal Devices, 1st ed.; John Wiley & Sons Ltd.: Chichester, UK, 2014; ISBN 9781118751992. [Google Scholar]
- Goodship, V.; Stevels, A.; Huisman, J. Waste Electrical and Electronic Equipment (WEEE) Handbook, 2nd ed.; Woodhead Publishing (Elsevier): Cambridge, UK, 2019; ISBN 9780081021583. [Google Scholar]
- Xenarc Tecnhologies. How The Technology of LCD Displays Works. Available online: https://www.xenarc.com/lcd-technology.html (accessed on 18 October 2021).
- Ueberschaar, M.; Schlummer, M.; Jalalpoor, D.; Kaup, N.; Rotter, V.S. Potential and recycling strategies for LCD panels from WEEE. Recycling 2017, 2, 7. [Google Scholar] [CrossRef]
- Kawamoto, H. The history of liquid-crystal display and its industry. In Proceedings of the 2012 Third IEEE HISTory of ELectro-technology CONference (HISTELCON), Pavia, Italy, 5–7 September 2012; pp. 1–6. [Google Scholar]
- Amato, A.; Beolchini, F. End of life liquid crystal displays recycling: A patent review. J. Environ. Manage. 2018, 225, 1–9. [Google Scholar] [CrossRef] [PubMed]
- Hunt, A.J.; Clark, J.H.; Breeden, S.W.; Matharu, A.S.; Ellis, C.; Goodby, J.W.; Bottomley, J.A.; Cowling, S.J. Extraction of liquid crystals from flat panel display devices using both liquid and supercritical carbon dioxide. In Proceedings of the 11th International Supercritical Conference Proceedings, Barcelona, Spain, 4–7 May 2008; Volume 7, pp. 343–354. [Google Scholar]
- ITRI. LCD Waste Recycling System-Circular Economy-Sustainable Environment-Innovations and Applications-Industrial Technology Research Institute. Available online: https://www.itri.org.tw/english/ListStyle.aspx?DisplayStyle=01_content&SiteID=1&MmmID=1037333532432522160&MGID=1037350654202216363 (accessed on 30 March 2021).
- Izhar, S.; Yoshida, H.; Nishio, E.; Utsumi, Y.; Kakimori, N. Removal and recovery attempt of liquid crystal from waste LCD panels using subcritical water. Waste Manag. 2019, 92, 15–20. [Google Scholar] [CrossRef] [PubMed]
- Fontana, D.; Forte, F.; De Carolis, R.; Grosso, M. Materials recovery from waste liquid crystal displays: A focus on indium. Waste Manag. 2015, 45, 325–333. [Google Scholar] [CrossRef] [PubMed]
- Yoshida, H.; Izhar, S.; Nishio, E.; Utsumi, Y.; Kakimori, N.; Asghari, F.S. Recovery of indium from TFT and CF glasses of LCD wastes using NaOH-enhanced sub-critical water. J. Supercrit. Fluids 2015, 104, 40–48. [Google Scholar] [CrossRef]
- Souada, M.; Louage, C.; Doisy, J.Y.; Meunier, L.; Benderrag, A.; Ouddane, B.; Bellayer, S.; Nuns, N.; Traisnel, M.; Maschke, U. Extraction of indium-tin oxide from end-of-life LCD panels using ultrasound assisted acid leaching. Ultrason. Sonochem. 2018, 40, 929–936. [Google Scholar] [CrossRef] [PubMed]
- Amato, A.; Becci, A.; Mariani, P.; Carducci, F.; Ruello, M.L.; Monosi, S.; Giosuè, C.; Beolchini, F. End-of-life liquid crystal display recovery: Toward a zero-waste approach. Appl. Sci. 2019, 9, 2985. [Google Scholar] [CrossRef]
- Zhang, K.; Li, B.; Wu, Y.; Wang, W.; Li, R.; Zhang, Y.N.; Zuo, T. Recycling of indium from waste LCD: A promising non-crushing leaching with the aid of ultrasonic wave. Waste Manag. 2017, 64, 236–243. [Google Scholar] [CrossRef] [PubMed]
- Matharu, A.S.; Wu, Y. Liquid Crystal Displays: From Devices to Recycling. In Issues in Environmental Science and Technology; Hester, R.E., Harrison, R.M., Eds.; Royal Society of Chemistry: Cambridge, UK, 2009; pp. 180–211. ISBN 978-0-85404-112-1. [Google Scholar]
- Barrera, A.; Binet, C.; Dubois, F.; Hébert, P.A.; Supiot, P.; Foissac, C.; Maschke, U. Dielectric spectroscopy analysis of liquid crystals recovered from end-of-life liquid crystal displays. Molecules 2021, 26, 2873. [Google Scholar] [CrossRef] [PubMed]
- Maschke, U.; Moundoungou, I.; Fossi-Tabieguia, G.J. Method for Extracting the Liquid Crystals Contained in an Element that Comprises a First Support and a Second Support-Associated Device. Patent No. EP3111276 (A1), 1 April 2017. [Google Scholar]
- Bezborodov, V.S.; Petrov, V.F.; Lapanik, V.I. Liquid crystalline oxygen containing heterocyclic derivatives. Liq. Cryst. 2006, 20, 785–796. [Google Scholar] [CrossRef]
- Pakiari, A.H.; Aazami, S.M.; Ghanadzadeh, A. Electronic interactions of typical liquid crystal molecules with typical contacted species generated from the surface of different materials. J. Mol. Liq. 2008, 139, 8–13. [Google Scholar] [CrossRef]
- Mandle, R.J.; Bevis, E.; Goodby, J.W. Phase Structures of Nematic Liquid Crystals. In Handbook of Liquid Crystals: Physical Properties and Phase Behaviour of Liquid Crystals; Wiley-VCH Verlag GmbH & Co.: Weinheim, Germany, 2014; pp. 1–27. [Google Scholar]
- Bouchakour, M.; Derouiche, Y.; Bouberka, Z.; Beyens, C.; Supiot, P.; Dubois, F.; Riahi, F.; Maschke, U. Electron Beam Curing of Monomer/Liquid Crystal Blends. In Polymer-Modified Liquid Crystals; Dierking, I., Ed.; Royal Society of Chemistry: Cambridge, UK, 2019; pp. 45–60. ISBN 9781782629825. [Google Scholar]
- Bouchakour, M.; Derouiche, Y.; Bouberka, Z.; Beyens, C.; Mechernène, L.; Riahi, F.; Maschke, U. Optical properties of electron beam- and UV-cured polypropyleneglycoldiacrylate/liquid crystal E7 systems. Liq. Cryst. 2015, 42, 1527–1536. [Google Scholar] [CrossRef]
- Jain, A.K.; Deshmukh, R.R. An Overview of Polymer-Dispersed Liquid Crystals Composite Films and Their Applications. In Liquid Crystals and Display Technology; IntechOpen: London, UK, 2020; pp. 11–78. ISBN 978-1-78985-368-1. [Google Scholar]
- Saeed, M.H.; Zhang, S.; Cao, Y.; Zhou, L.; Hu, J.; Muhammad, I.; Xiao, J.; Zhang, L.; Yang, H. Recent advances in the polymer dispersed liquid crystal composite and its applications. Molecules 2020, 25, 5510. [Google Scholar] [CrossRef] [PubMed]
- Sengupta, A.; Schulz, B.; Ouskova, E.; Bahr, C. Functionalization of microfluidic devices for investigation of liquid crystal flows. Microfluid Nanofluid 2012, 13, 941–955. [Google Scholar] [CrossRef]
- Yang, J.; Yuan, Y.; Li, K.; Amann, T.; Wang, C.; Yuan, C.; Neville, A. Ultralow friction of 5CB liquid crystal on steel surfaces using a 1,3-diketone additive. Wear 2021, 480, 203934. [Google Scholar] [CrossRef]










| D-LCs | B-LCs | A-LCs | C-LCs | |
|---|---|---|---|---|
| Diameter (inch) of the LCD panel | 23 | 26 | 32 | 32 |
| Mass (mg) of recovered LC | 347.6 | 575.4 | 754.8 | 873.5 |
| LC Characteristics | A | B | C | D |
|---|---|---|---|---|
| Rigid core | Aromatic rings Mono-, para-substituted | Aromatic rings Para-, ortho-substituted | Aromatic rings Mono-, para-, ortho-substituted | Aromatic rings Mono-, para-substituted |
| Flexible chains | CH3-… …-CH2-… R…CH2…CH3 -HC=CH- | CH3-… …-CH2-… R…CH2…CH3 -HC=CH- | CH3-… …-CH2-… R…CH2…CH3 | CH3-… …-CH2-… R…CH2…CH3 -HC=CH- |
| Polar groups | C≡N, C-O, C-F/C-F3, C=O | C-O, C-F/C-F3, C=O | C-O, C-F/C-F3, | C-O, C-F/C-F3, C=O |
| Retention Time (min) | Assignment |
|---|---|
| A-LCs | |
| 21.27 | ![]() 4-ethyl-4′-(4-(trifluoromethoxy) phenyl)-1,1′-bi(cyclohexane) |
| 21.46 | ![]() 4- butoxy-2,3-dicyanophenyl 4-((1r,4r)-4-ethylcyclohexyl) benzoate |
| 22.17 | ![]() 4′-propyl-bicyclohexyl-4-carboxylic acid 4-fluoro-phenyl ester |
| 24.98 | ![]() 4′-cyano-(1,1′-biphenyl)-4-y1 4-(-4-pentylcyclohexyl) benzoate |
| C-LCs | |
| 18.60 | ![]() 4-(4-Fluoro-phenyl)-4′-propyl-bicyclohexyl |
| 21.12 | ![]() 1-((1r,4r)-4-ethylcyclohexyl)-4-((E)-4-propylstyryl) benzene |
| 22.94 | ![]() (1s, 1r’, 4R, 4′R)-4-propyl-4′-(p-tolyl)-1,1′-bi(cyclohexane) |
| 23.22 | ![]() 4-(3,4-difluoro-phenyl)-4′-pentyl-1,1′-bi(cyclohexane) |
| Sample | TNI (°C) | Clearing Point Range T (°C) [ΔT] |
|---|---|---|
| A | 67.5 | 65.8–72 [6.2 °C] |
| B | 69 | 70.8–73.4 [2.6 °C] |
| C | 80.8 | 79–88.2 [9.2 °C] |
| D | 72 | 72.2–74 [1.8 °C] |
| LC Interlayer Thickness | 3 µm | 4 µm | 5 µm |
|---|---|---|---|
| Specific gravity | 1 g/cm3 | 1 g/cm3 | 1 g/cm3 |
| Theoretical mass (one panel) | 1.01 g | 1.35 g | 1.69 g |
| « Real » mass (one panel, for 60% of recovery rate) | 0.61 g | 0.81 g | 1.01 g |
| Total per day (680 panels) | 415 g | 551 g | 678 g |
Publisher’s Note: MDPI stays neutral with regard to jurisdictional claims in published maps and institutional affiliations. |
© 2022 by the authors. Licensee MDPI, Basel, Switzerland. This article is an open access article distributed under the terms and conditions of the Creative Commons Attribution (CC BY) license (https://creativecommons.org/licenses/by/4.0/).
Share and Cite
Moundoungou, I.; Bouberka, Z.; Fossi Tabieguia, G.-J.; Barrera, A.; Derouiche, Y.; Dubois, F.; Supiot, P.; Foissac, C.; Maschke, U. End-of-Life Liquid Crystal Displays Recycling: Physico-Chemical Properties of Recovered Liquid Crystals. Crystals 2022, 12, 1672. https://doi.org/10.3390/cryst12111672
Moundoungou I, Bouberka Z, Fossi Tabieguia G-J, Barrera A, Derouiche Y, Dubois F, Supiot P, Foissac C, Maschke U. End-of-Life Liquid Crystal Displays Recycling: Physico-Chemical Properties of Recovered Liquid Crystals. Crystals. 2022; 12(11):1672. https://doi.org/10.3390/cryst12111672
Chicago/Turabian StyleMoundoungou, Idriss, Zohra Bouberka, Guy-Joël Fossi Tabieguia, Ana Barrera, Yazid Derouiche, Frédéric Dubois, Philippe Supiot, Corinne Foissac, and Ulrich Maschke. 2022. "End-of-Life Liquid Crystal Displays Recycling: Physico-Chemical Properties of Recovered Liquid Crystals" Crystals 12, no. 11: 1672. https://doi.org/10.3390/cryst12111672
APA StyleMoundoungou, I., Bouberka, Z., Fossi Tabieguia, G.-J., Barrera, A., Derouiche, Y., Dubois, F., Supiot, P., Foissac, C., & Maschke, U. (2022). End-of-Life Liquid Crystal Displays Recycling: Physico-Chemical Properties of Recovered Liquid Crystals. Crystals, 12(11), 1672. https://doi.org/10.3390/cryst12111672









