Nanoindentation on the Transformation of LPSO Phases during Different Solution Heat Treatments in an Mg-Dy-Nd-Zn-Zr Alloy
Abstract
1. Introduction
2. Materials and Methods
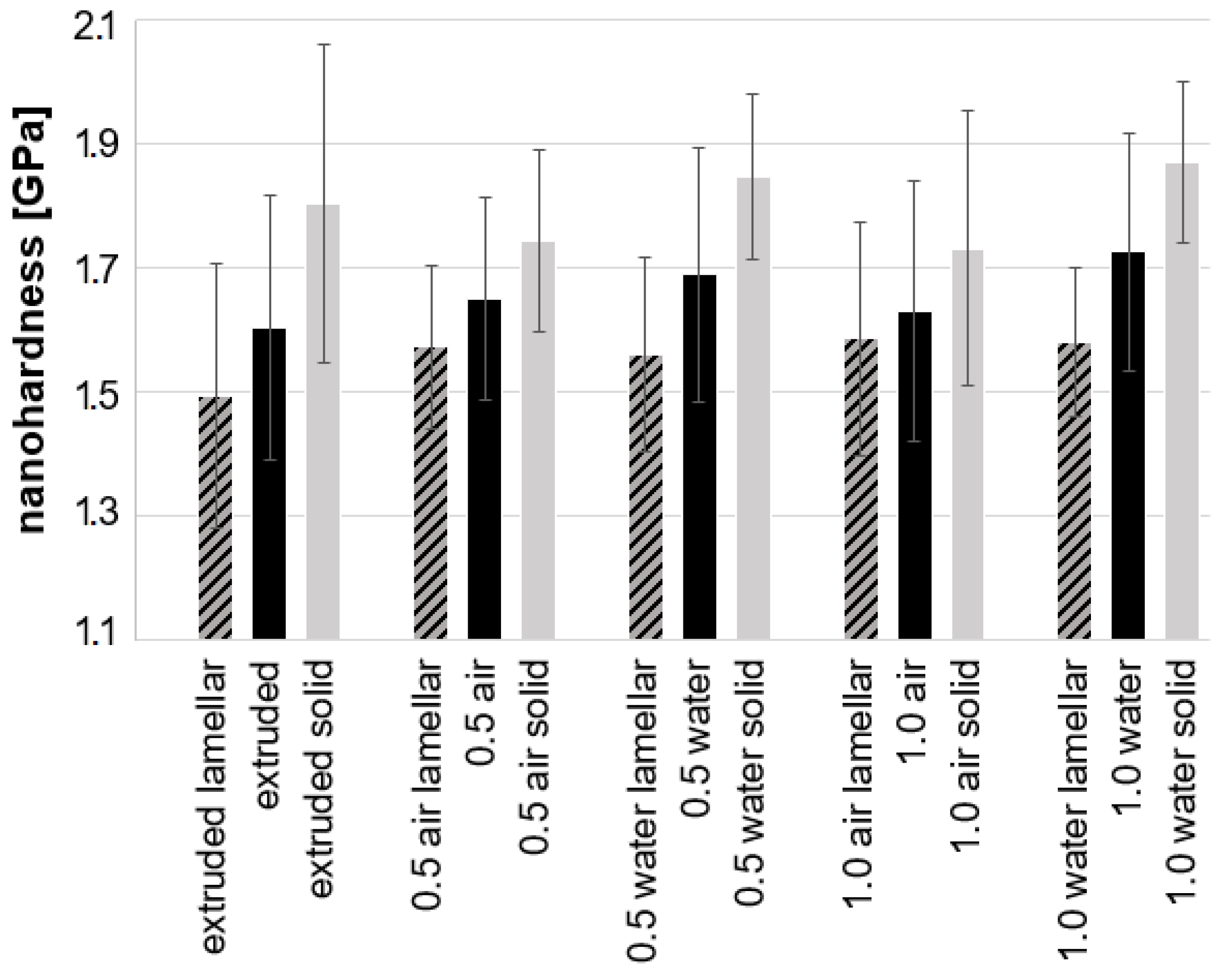
3. Results
4. Discussion
5. Conclusions
Author Contributions
Funding
Data Availability Statement
Acknowledgments
Conflicts of Interest
References
- Kawamura, Y.; Yamasaki, M. Formation and Mechanical Properties of Mg97Zn1RE2 Alloys with Long-Period Stacking Ordered Structure. Mater. Trans. 2017, 48, 2986–2992. [Google Scholar] [CrossRef]
- Bi, G.; Han, Y.; Jiang, J.; Li, Y.; Zhang, D.; Qiu, D.; Easton, M. Microstructure and mechanical properties of an extruded Mg-Dy-Ni alloy. Mater. Sci. Eng. A 2019, 760, 246–257. [Google Scholar] [CrossRef]
- Wang, K.; Dou, X.; Wang, J.; Huang, Y.; Gavras, S.; Hort, N.; Liu, S.; Hu, H.; Wang, J.; Pan, F. Achieving enhanced mechanical properties in Mg-Gd-Y-Zn-Mn alloy by altering dynamic recrystallization behavior via pre-ageing treatment. Mater. Sci. Eng. A 2020, 790, 139635. [Google Scholar] [CrossRef]
- Zhang, Z.; Du, Y.; Zhang, G.; Yan, Z.; Yu, J.; Meng, M. Microstructure and Mechanical Properties of MgGdYZnZr Alloy Prepared by Repetitive Upsetting and Extrusion. Mater. Trans. 2018, 59, 669–673. [Google Scholar] [CrossRef]
- Ramezani, S.M.; Zarei-Hanzaki, A.; Abedi, H.R.; Salandari-Rabori, A.; Minarik, P. Achievement of fine-grained bimodal microstructures and superior mechanical properties in a multi-axially forged GWZ magnesium alloy containing LPSO structures. J. Alloys Compd. 2019, 793, 134–145. [Google Scholar] [CrossRef]
- Xu, D.; Han, E.; Xu, Y. Effect of long-period stacking ordered phase on microstructure, mechanical property and corrosion resistance of Mg alloys: A review. Prog. Nat. Sci. Mater. Int. 2016, 26, 117–128. [Google Scholar] [CrossRef]
- Sun, C.; Liu, H.; Wang, C.; Ju, J.; Bai, J.; Xue, F.; Ma, A.; Jiang, J.; Chen, X.B. Fragmentation of 18R LPSO phases through multi-pass equal channel angular pressing and its impact on rollability of Mg97Y2Zn1 (at%) alloy. J. Mater. Res. Technol. 2020, 9, 14865–14877. [Google Scholar] [CrossRef]
- Zheng, L.; Zhang, X.; Wang, H.; Wang, L.; Hou, H.; Li, H.; Kwang, S. Synergistic effect of LPSO and eutectic phase on mechanical properties of Mg-Gd-Nd-Zn-Zr alloy during equal channel angular pressing. J Mater. Res. Technol. 2021, 15, 2459–2470. [Google Scholar] [CrossRef]
- Li, Y.X.; Qiu, D.; Rong, Y.H.; Zhang, M.X. Effect of long-period stacking ordered phase on thermal stability of refined grains in Mg-RE-based alloys. Philos. Mag. 2014, 94, 1311–1326. [Google Scholar] [CrossRef]
- Liu, H.; Bai, J.; Yan, K.; Yan, J.; Ma, A.; Jiang, J. Comparative studies on evolution behaviors of 14H LPSO precipitates in as-cast and as-extruded Mg–Y–Zn alloys during annealing at 773K. Mater. Des. 2016, 93, 9–18. [Google Scholar] [CrossRef]
- Xu, P.; Yu, J.; Zhang, Z. Microstructure and Texture Evolution of Mg–Gd–Y–Zn–Zr Alloy by Compression–Torsion Deformation. Materials 2019, 12, 2773. [Google Scholar] [CrossRef]
- Kittner, K.; Ullmann, M.; Arndt, F.; Kawalla, R.; Prahl, U. Microstructure and Texture Evolution during Twin-Roll Casting and Annealing of a Mg–6.8Y2.5Zn–0.4Zr Alloy (WZ73). Crystals 2020, 10, 513. [Google Scholar] [CrossRef]
- Liao, H.; Kim, J.; Lee, T.; Song, J.; Peng, J.; Jiang, B.; Pan, F. Effect of heat treatment on LPSO morphology and mechanical properties of Mg–Zn–Y–Gd alloys. J. Magnes. Alloys 2020, 8, 1120–1127. [Google Scholar] [CrossRef]
- Wang, D.; Wu, H.; Wu, R.; Wang, Y.; Zhang, J.; Betsofen, S.; Krit, B.; Hou, L.; Nodir, T. The transformation of LPSO type in Mg-4Y-2Er-2Zn-0.6Zr and its response to the mechanical properties and damping capacities. J. Magnes. Alloys 2020, 8, 793–798. [Google Scholar] [CrossRef]
- Lu, R.; Jiao, K.; Zhao, Y.; Li, K.; Yao, K.; Hou, H. A Study on the Damping Capacities of Mg–Zn–Y-Based Alloys with Lamellar Long Period Stacking Ordered Phases by Preparation Process. Metals 2021, 11, 79. [Google Scholar] [CrossRef]
- Wu, Y.J.; Zeng, X.Q.; Lin, D.L.; Peng, L.M.; Ding, W.J. The microstructure evolution with lamellar 14H-type LPSO structure in an Mg96.5Gd2.5Zn1 alloy during solid solution heat treatment at 773K. J. Alloys Compd. 2009, 477, 193–197. [Google Scholar] [CrossRef]
- Ding, W.J.; Wu, Y.J.; Peng, L.M.; Zeng, X.Q.; Yuan, G.Y.; Lin, D.L. Formation of 14H-type long period stacking ordered structure in the as-cast and solid solution treated Mg-Gd-Zn-Zr alloys. J. Mater. Res. 2009, 24, 1842–1854. [Google Scholar] [CrossRef]
- Xu, C.; Nakata, T.; Qiao, X.; Zheng, M.; Wu, K.; Kamado, S. Effect of LPSO and SFs on microstructure evolution and mechanical properties of Mg-Gd-Y-Zn-Zr alloy. Sci. Rep. 2017, 7, 40846. [Google Scholar] [CrossRef]
- Liu, H.; Ju, J.; Bai, J.; Sun, J.; Song, D.; Yan, J.; Jiang, J.; Ma, A. Preparation, Microstructure Evolutions, and Mechanical Property of an Ultra-Fine Grained Mg-10Gd-4Y-1.5Zn-0.5Zr Alloy. Metals 2017, 7, 398. [Google Scholar] [CrossRef]
- Liu, W.; Zhang, J.; Xu, C.; Zong, X.; Zhus, W.; Ma, Q. Precipitation behaviors of 14H LPSO lamellae in Mg96Gd3Zn0.5Ni0.5 alloys during severe plastic deformation. J. Mater. Sci. 2017, 52, 13271–13283. [Google Scholar] [CrossRef]
- Dong, B.; Zhang, Z.; Che, X.; Yu, J.; Meng, M.; Zhang, J. Microstructure, Texture Evolution, and Mechanical Properties of MDFed GWZ Alloy Containing LPSO Phases on the Condition of High and Low Temperature Cycle Deformation. Metals 2020, 10, 136. [Google Scholar] [CrossRef]
- Yuan, J.; Li, T.; Zhang, K.; Li, X.; Li, Y.; Ma, M.; Shi, G.; Du, Z.; Liu, W.; Peng, Y. Precipitation Behavior of Mg-7Gd-3Y-2Zn-0.5Zr Alloy during Isothermal Aging. Materials 2021, 14, 1737. [Google Scholar] [CrossRef] [PubMed]
- Wang, G.; Xiao, Z.; Yang, Z.; Liu, P. The evolution of LPSO phase and its influence on grain size during cooling free forging. Mater. Res. Express 2021, 8, 76508. [Google Scholar] [CrossRef]
- CAI, X.; Fu, H.; Guo, J.; Peng, Q. Negative Strain-Rate Sensitivity of Mg Alloys Containing 18R and 14H Long-Period Stacking-Ordered Phases at Intermediate Temperatures. Metall. Mater. Trans. A 2014, 45, 3703–3707. [Google Scholar] [CrossRef]
- Yuan, L.; Bi, G.; Li, Y.; Jiang, J.; Han, Y.; Fang, D.; Ma, Y. Effects of solid solution treatment and cooling on morphology of LPSO phase and precipitation hardening behavior of Mg−Dy−Ni alloy. Trans. Nonferrous Met. Soc. China 2017, 27, 2381–2389. [Google Scholar] [CrossRef]
- Egusa, D.; Abe, E. The structure of long period stacking/order Mg–Zn–RE phases with extended non-stoichiometry ranges. Acta Mater. 2012, 60, 166–178. [Google Scholar] [CrossRef]
- Zhang, J.; Liu, S.; Wu, R.; Hou, L.; Zhang, M. Recent developments in high-strength Mg-RE-based alloys: Focusing on Mg-Gd and Mg-Y systems. J. Magnes. Alloys 2018, 6, 277–291. [Google Scholar] [CrossRef]
- Sun, W.T.; Qiao, X.G.; Zheng, M.Y.; Hu, N.; Gao, N.; Starink, M.J. Evolution of long-period stacking ordered structure and hardness of Mg-8.2Gd-3.8Y-1.0Zn-0.4Zr alloy during processing by high pressure torsion. Mater. Sci. Eng. A 2018, 738, 238–252. [Google Scholar] [CrossRef]
- Schuh, C.A. Nanoindentation studies of materials. Mater. Today 2006, 9, 32–40. [Google Scholar] [CrossRef]
- Bočan, J.; Maňák, J.; Jäger, A. Nanomechanical analysis of AZ31 magnesium alloy and pure magnesium correlated with crystallographic orientation. Mater. Sci. Eng. A 2015, 644, 121–128. [Google Scholar] [CrossRef]
- Lu, Y.; Ding, R.G.; Chiu, Y.L.; Jones, I.P. Tomographic investigation of the effects of second phases on the biodegradation and nano-mechanical performance of a Mg–Zn–Ca alloy. Materialia 2018, 4, 1–9. [Google Scholar] [CrossRef]
- Ghasemi, A.; Penther, D.; Kamrani, S. Microstructure and nanoindentation analysis of Mg-SiC nanocomposite powders synthesized by mechanical milling. Mater. Charact. 2018, 142, 137–143. [Google Scholar] [CrossRef]
- Li, D.; Zhang, J.; Que, Z.; Xu, C.; Niu, X. Effects of Mn on the microstructure and mechanical properties of long period stacking ordered Mg95Zn2.5Y2.5 alloy. Mater. Lett. 2013, 109, 46–50. [Google Scholar] [CrossRef]
- Zhang, Z.; Zhang, Y.; Zhang, J.; Li, Y.; Ma, Y.; Xu, C. Effect of ZRB2-modified on microstructure and mechanical properties of Mg-Zn-Y-Mn alloy. J. Magnes. Alloys 2018, 6, 255–262. [Google Scholar] [CrossRef]
- Zhang, H.X.; Chen, S.F.; Cheng, M.; Zheng, C.; Zhang, S.H. Modeling the Dynamic Recrystallization of Mg–11Gd–4Y–2Zn–0.4Zr Alloy Considering Non-uniform Deformation and LPSO Kinking During Hot Compression. Acta Metall. Sin. Engl. Lett. 2019, 32, 1122–1134. [Google Scholar] [CrossRef]
- Zhang, X.; Sun, G.; Liu, J.; Che, C.; Yang, M.; Han, S.; Fang, D.; Jiang, Z.; Lian, J. Effect of Zn addition on the microstructures and mechanical behaviors of As-cast Mg-2.5Y-1Ce-0.5Mn alloy. Mater. Res. Express 2020, 1, 7. [Google Scholar] [CrossRef]
- MeKo Manufacturing, e.K. Available online: www.meko.de/RESOLOY (accessed on 12 October 2022).
- Fort Wayne Metals. Available online: www.fwmetals.com/RESOLOY-a-magnesium-alloy-for-absorbable-devices (accessed on 12 October 2022).
- Maier, P.; Griebel, A.; Jahn, M.; Bechly, M.; Menze, R.; Bittner, B.; Schaffer, J. Corrosion Bending Fatigue of RESOLOY® and WE43 Magnesium Alloy Wires. In Magnesium Technology 2019; The Minerals Metals & Materials Series; Joshi, V., Jordon, J., Orlov, D., Neelameggham, N.R., Eds.; Springer: Cham, Switzerland, 2019; pp. 175–181. [Google Scholar] [CrossRef]
- Yang, L.; Huang, Y.; Feyerabend, F.; Willumeit, R.; Mendis, C.; Kainer, K.U.; Hort, N. Microstructure, mechanical and corrosion properties of Mg–Dy–Gd–Zr alloys for medical applications. Acta Biomater. 2013, 9, 8499–8508. [Google Scholar] [CrossRef]
- Feyerabend, F.; Fischer, J.; Holtz, J.; Witte, F.; Willumeit, R.; Drücker, H.; Vogt, C.; Hort, N. Evaluation of short-term effects of rare earth and other elements used in magnesium alloys on primary cells and cell lines. Acta Biomater. 2010, 6, 1834–1842. [Google Scholar] [CrossRef]
- Ahlers, S.; Bittner, B.; Maier, P. Influence of Cooling Conditions on Long-Period Stacking-Ordered Phase Evolution and Corrosion Behavior of As-Cast Resoloy®. Metals 2021, 11, 1372. [Google Scholar] [CrossRef]
- Maier, P.; Clausius, B.; Richter, A.; Bittner, B.; Hort, N.; Menze, R. Crack Propagation in As-Extruded and Heat-Treated Mg-Dy-Nd-Zn-Zr Alloy Explained by the Effect of LPSO Structures and Their Micro- and Nanohardness. Materials 2021, 14, 3686. [Google Scholar] [CrossRef]
- Huang, Y.; Yang, L.; You, S.; Gan, W.; Kainer, K.U.; Hort, N. Unexpected formation of hydrides in heavy rare earth containing magnesium alloys. J. Magnes. Alloys 2016, 4, 173–180. [Google Scholar] [CrossRef]
- Liu, H.; Meng, Y.; Yu, H.; Xu, W.; Zhang, S.; Jia, L.; Wu, G. The Role of Long Period Stacking Ordered Phase in Dynamic Recrystallization of a Mg–Gd–Y–Zn–Zr Alloy during Multi-Directional Forging Process. Materials 2020, 13, 3290. [Google Scholar] [CrossRef] [PubMed]
- Cheng, J.; Guo, T.; Barnett, M.R. Influence of temperature on twinning dominated pop-ins during nanoindentation of a magnesium single crystal. J. Magnes. Alloys 2022, 10, 169–179. [Google Scholar] [CrossRef]
- Hu, J.; Zhang, W.; Peng, G.; Zhang, T.; Zhang, Y. Nanoindentation deformation of refine-grained AZ31 magnesium alloy: Indentation size effect, pop-in effect and creep behavior. Mater. Sci. Eng. A 2018, 725, 522–529. [Google Scholar] [CrossRef]
- Huang, C.-Y.; Hsieh, P.-J.; Chen, I.-C.; Ke, W.-C.; Yang, P.-F.; Jian, S.-R. Nanoindentation of Mg-doped AlGaN thin films. J. Alloys Compd. 2014, 593, 220–223. [Google Scholar] [CrossRef]
- Sato, Y.; Shinzato, S.; Ohmura, T.; Hatano, T.; Ogata, S. Unique universal scaling in nanoindentation pop-ins. Nat. Commun. 2020, 11, 4177. [Google Scholar] [CrossRef]









Publisher’s Note: MDPI stays neutral with regard to jurisdictional claims in published maps and institutional affiliations. |
© 2022 by the authors. Licensee MDPI, Basel, Switzerland. This article is an open access article distributed under the terms and conditions of the Creative Commons Attribution (CC BY) license (https://creativecommons.org/licenses/by/4.0/).
Share and Cite
Maier, P.; Schmahl, M.; Clausius, B.; Joy, C.; Fleck, C. Nanoindentation on the Transformation of LPSO Phases during Different Solution Heat Treatments in an Mg-Dy-Nd-Zn-Zr Alloy. Crystals 2022, 12, 1673. https://doi.org/10.3390/cryst12111673
Maier P, Schmahl M, Clausius B, Joy C, Fleck C. Nanoindentation on the Transformation of LPSO Phases during Different Solution Heat Treatments in an Mg-Dy-Nd-Zn-Zr Alloy. Crystals. 2022; 12(11):1673. https://doi.org/10.3390/cryst12111673
Chicago/Turabian StyleMaier, Petra, Merle Schmahl, Benjamin Clausius, Charis Joy, and Claudia Fleck. 2022. "Nanoindentation on the Transformation of LPSO Phases during Different Solution Heat Treatments in an Mg-Dy-Nd-Zn-Zr Alloy" Crystals 12, no. 11: 1673. https://doi.org/10.3390/cryst12111673
APA StyleMaier, P., Schmahl, M., Clausius, B., Joy, C., & Fleck, C. (2022). Nanoindentation on the Transformation of LPSO Phases during Different Solution Heat Treatments in an Mg-Dy-Nd-Zn-Zr Alloy. Crystals, 12(11), 1673. https://doi.org/10.3390/cryst12111673

