Transient THz Emission and Effective Mass Determination in Highly Resistive GaAs Crystals Excited by Femtosecond Optical Pulses
Abstract
1. Introduction
2. Materials and Methods
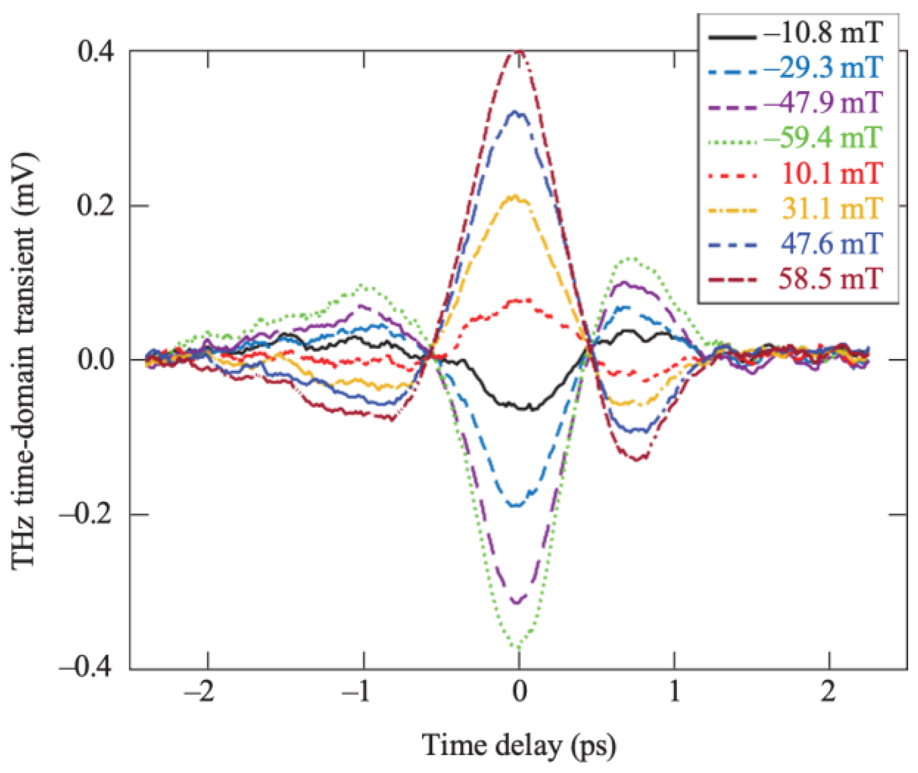
3. Results and Discussion
4. Conclusions
Author Contributions
Funding
Institutional Review Board Statement
Informed Consent Statement
Data Availability Statement
Acknowledgments
Conflicts of Interest
References
- Tonouchi, M. Cutting-edge terahertz technology. Nat. Photonics 2007, 1, 97–105. [Google Scholar] [CrossRef]
- Bacon, D.R.; Madéo, J.; Dani, K.M. Photoconductive emitters for pulsed terahertz generation. J. Opt. 2021, 23, 064001. [Google Scholar] [CrossRef]
- Zhang, X.C.; Hu, B.B.; Darrow, J.T.; Auston, D.H. Generation of femtosecond electromagnetic pulses from semiconductor surfaces. Appl. Phys. Lett. 1990, 56, 1011. [Google Scholar] [CrossRef]
- Zhang, X.C.; Auston, D.H. Optoelectronic measurement of semiconductor surfaces and interfaces with femtosecond optics. J. Appl. Phys. 1992, 71, 326. [Google Scholar] [CrossRef]
- Kersting, R.; Heyman, J.N.; Strasser, G.; Unterrainer, K. Coherent plasmons in n-doped GaAs. Phys. Rev. B 1998, 58, 4553. [Google Scholar] [CrossRef]
- Heyman, J.N.; Neocleous, P.; Hebert, D.; Crowell, P.A.; Müller, T.; Unterrainer, K. Terahertz emission from GaAs and InAs in a magnetic field. Phys. Rev. B 2001, 64, 085202. [Google Scholar] [CrossRef]
- Hwang, J.S.; Lin, H.C.; Lin, K.I.; Zhang, X.C. Terahertz radiation from InAlAs and GaAs surface intrinsic-N+ structures and the critical electric fields of semiconductors. Appl. Phys. Lett. 2005, 87, 121107. [Google Scholar] [CrossRef]
- Chuang, S.L.; Schmitt-Rink, S.; Greene, B.I.; Saeta, P.N.; Levi, A.F.J. Optical rectification at semiconductor surfaces. Phys. Rev. Lett. 1992, 68, 102. [Google Scholar] [CrossRef]
- Reid, M.; Cravetchi, I.V.; Fedosejevs, R. Terahertz radiation and second-harmonic generation from InAs: Bulk versus surface electric-field-induced contributions. Phys. Rev. B—Condens. Matter Mater. Phys. 2005, 72, 035201. [Google Scholar] [CrossRef]
- Liu, K.; Xu, J.; Yuan, T.; Zhang, X.C. Terahertz radiation from InAs induced by carrier diffusion and drift. Phys. Rev. B—Condens. Matter Mater. Phys. 2006, 73, 155330. [Google Scholar] [CrossRef]
- Mendis, R.; Smith, M.L.; Bignell, L.J.; Vickers, R.E.M.; Lewis, R.A. Strong terahertz emission from (100) p-type InAs. J. Appl. Phys. 2005, 98, 126104. [Google Scholar] [CrossRef]
- Reklaitis, A. Terahertz emission from InAs induced by photo-Dember effect: Hydrodynamic analysis and Monte Carlo simulations. J. Appl. Phys. 2010, 108, 053102. [Google Scholar] [CrossRef]
- Hasegawa, T.; Okushima, Y.; Tanaka, Y. Characteristics of terahertz wave emissions under the coexistence of different sub-picosecond transient phenomena in GaAs epitaxial films. Appl. Phys. Express 2021, 14, 041005. [Google Scholar] [CrossRef]
- Mangeney, J. THz Photoconductive Antennas Made From Ion-Bombarded Semiconductors. J. Infrared Millim. Terahertz Waves 2011, 33, 455–473. [Google Scholar] [CrossRef]
- Bhattacharya, A.; Bhattacharya, A.; Bhattacharya, A.; Ghindani, D.; Ghindani, D.; Prabhu, S.S. Enhanced terahertz emission bandwidth from photoconductive antenna by manipulating carrier dynamics of semiconducting substrate with embedded plasmonic metasurface. Opt. Express 2019, 27, 30272–30279. [Google Scholar] [CrossRef]
- Zhang, X.C.; Jin, Y.; Hewitt, T.D.; Sangsiri, T.; Kingsley, L.E.; Weiner, M. Magnetic switching of THz beams. Appl. Phys. Lett. 1993, 62, 2003. [Google Scholar] [CrossRef]
- Weiss, C.; Wallenstein, R.; Beigang, R. Magnetic-field-enhanced generation of terahertz radiation in semiconductor surfaces. Appl. Phys. Lett. 2000, 77, 4160. [Google Scholar] [CrossRef]
- Othonos, A. Probing ultrafast carrier and phonon dynamics in semiconductors. J. Appl. Phys. 1998, 83, 1789. [Google Scholar] [CrossRef]
- Kojima, O.; Tarui, Y.; Kita, T.; Majeed, A.; Ivanov, P.; Ivanov, P.; Clarke, E.; Hogg, R.A.; Hogg, R.A. Increase in terahertz-wave intensity in a magnetic field due to difference-frequency mixing by exciton excitation in a GaAs/AlAs multiple quantum well. Opt. Express 2022, 30, 11789–11796. [Google Scholar] [CrossRef]
- Grishkov, V.E.; Uryupin, S.A. Terahertz radiation generation in doped semiconductor interacting with femtosecond pulse in constant magnetic field. Laser Phys. Lett. 2022, 19, 116101. [Google Scholar] [CrossRef]
- Mikulics, M.; Marso, M.; Kordoš, P.; Stanček, S.; Kováč, P.; Zheng, X.; Wu, S.; Sobolewski, R. Ultrafast and highly sensitive photodetectors fabricated on high-energy nitrogen-implanted GaAs. Appl. Phys. Lett. 2003, 83, 1719. [Google Scholar] [CrossRef][Green Version]
- Mikulics, M.; Marso, M.; Mayorga, I.C.; Güsten, R.; Stanček, S.; Kováč, P.; Wu, S.; Li, X.; Khafizov, M.; Sobolewski, R.; et al. Photomixers fabricated on nitrogen-ion-implanted GaAs. Appl. Phys. Lett. 2005, 87, 041106. [Google Scholar] [CrossRef]
- Adam, R.; Chen, G.; Bürgler, D.E.; Shou, T.; Komissarov, I.; Heidtfeld, S.; Hardtdegen, H.; Mikulics, M.; Schneider, C.M.; Sobolewski, R. Magnetically and optically tunable terahertz radiation from Ta/NiFe/Pt spintronic nanolayers generated by femtosecond laser pulses. Appl. Phys. Lett. 2019, 114, 212405. [Google Scholar] [CrossRef]
- Geižutis, A.; Krotkus, A.; Bertulis, K.; Molis, G.; Adomavičius, R.; Urbanowicz, A.; Balakauskas, S.; Valaika, S. Terahertz radiation emitters and detectors. Opt. Mater. 2008, 30, 786–788. [Google Scholar] [CrossRef]
- Zhang, J.; Belousov, A.; Karpiski, J.; Batlogg, B.; Wicks, G.; Sobolewski, R. Time-resolved femtosecond optical characterization of multi-photon absorption in high-pressure-grown Al0.86Ga0.14N single crystals. J. Appl. Phys. 2011, 110, 113112. [Google Scholar] [CrossRef]
- Serafini, J.; Akbas, Y.; Crandall, L.; Bellman, R.; Williams, C.K.; Sobolewski, R. Time-resolved, nonequilibrium carrier dynamics in Si-on-glass thin films for photovoltaic cells. Semicond. Sci. Technol. 2016, 31, 045006. [Google Scholar] [CrossRef]
- Gu, P.; Tani, M.; Kono, S.; Sakai, K.; Zhang, X.C. Study of terahertz radiation from InAs and InSb. J. Appl. Phys. 2002, 91, 5533. [Google Scholar] [CrossRef]
- Dekorsy, T.; Auer, H.; Bakker, H.; Roskos, H.; Kurz, H. THz electromagnetic emission by coherent infrared-active phonons. Phys. Rev. B 1996, 53, 4005. [Google Scholar] [CrossRef] [PubMed]
- Rice, A.; Jin, Y.; Ma, X.F.; Zhang, X.C.; Bliss, D.; Larkin, J.; Alexander, M. Terahertz optical rectification from 〈110〉 zinc-blende crystals. Appl. Phys. Lett. 1998, 64, 1324. [Google Scholar] [CrossRef]
- Wu, X.; Xu, X.; Lu, X.; Wang, L. Terahertz emission from semi-insulating GaAs with octadecanthiol-passivated surface. Appl. Surf. Sci. 2013, 279, 92–96. [Google Scholar] [CrossRef]
- Hall, R.N. Electron-Hole Recombination in Germanium. Phys. Rev. 1952, 87, 387. [Google Scholar] [CrossRef]
- Shockley, W.; Read, W.T. Statistics of the Recombinations of Holes and Electrons. Phys. Rev. 1952, 87, 835. [Google Scholar] [CrossRef]
- Mikulics, M.; Hardtdegen, H.; Adam, R.; Grützmacher, D.; Gregušová, D.; Novák, J.; Kordoš, P.; Sofer, Z.; Serafini, J.; Zhang, J.; et al. Impact of thermal annealing on nonequilibrium carrier dynamics in single-crystal, freestanding GaAs mesostructures. Semicond. Sci. Technol. 2014, 29, 045022. [Google Scholar] [CrossRef]
- Gottstein, G.; Goerdeler, M.; Prasad, G.V.S.S. Encyclopedia of Condensed Matter Physics; Elsevier: Amsterdam, The Netherlands, 2005. [Google Scholar]








| Sample | k (1/T) | τ1 (ps) | τ2 (ps) |
|---|---|---|---|
| Annealed GaAs | 5.38 | 1.74 (−0.04; +0.06) | 35.00 |
| SI GaAs | 2.12 | 0.70 (−0.08; +0.05) | 16.00 |
| N-GaAs 400 | 0.85 | 0.30 (−0.01; +0.03) | 1.40 |
| N-GaAs 350 | 0.67 | 0.25 (−0.02; +0.02) | 1.23 |
| N-GaAs 300 | 0.48 | 0.20 (−0.01; +0.03) | 1.30 |
Publisher’s Note: MDPI stays neutral with regard to jurisdictional claims in published maps and institutional affiliations. |
© 2022 by the authors. Licensee MDPI, Basel, Switzerland. This article is an open access article distributed under the terms and conditions of the Creative Commons Attribution (CC BY) license (https://creativecommons.org/licenses/by/4.0/).
Share and Cite
Chen, G.; Chakraborty, D.; Cheng, J.; Mikulics, M.; Komissarov, I.; Adam, R.; Bürgler, D.E.; Schneider, C.M.; Hardtdegen, H.; Sobolewski, R. Transient THz Emission and Effective Mass Determination in Highly Resistive GaAs Crystals Excited by Femtosecond Optical Pulses. Crystals 2022, 12, 1635. https://doi.org/10.3390/cryst12111635
Chen G, Chakraborty D, Cheng J, Mikulics M, Komissarov I, Adam R, Bürgler DE, Schneider CM, Hardtdegen H, Sobolewski R. Transient THz Emission and Effective Mass Determination in Highly Resistive GaAs Crystals Excited by Femtosecond Optical Pulses. Crystals. 2022; 12(11):1635. https://doi.org/10.3390/cryst12111635
Chicago/Turabian StyleChen, Genyu, Debamitra Chakraborty, Jing Cheng, Martin Mikulics, Ivan Komissarov, Roman Adam, Daniel E. Bürgler, Claus M. Schneider, Hilde Hardtdegen, and Roman Sobolewski. 2022. "Transient THz Emission and Effective Mass Determination in Highly Resistive GaAs Crystals Excited by Femtosecond Optical Pulses" Crystals 12, no. 11: 1635. https://doi.org/10.3390/cryst12111635
APA StyleChen, G., Chakraborty, D., Cheng, J., Mikulics, M., Komissarov, I., Adam, R., Bürgler, D. E., Schneider, C. M., Hardtdegen, H., & Sobolewski, R. (2022). Transient THz Emission and Effective Mass Determination in Highly Resistive GaAs Crystals Excited by Femtosecond Optical Pulses. Crystals, 12(11), 1635. https://doi.org/10.3390/cryst12111635

