A Discrepancy in Thermal Conductivity Measurement Data of Quantum Spin Liquid β′-EtMe3Sb[Pd(dmit)2]2 (dmit = 1,3-Dithiol-2-thione-4,5-dithiolate)
Abstract
:1. Introduction
2. Materials and Methods
3. Results
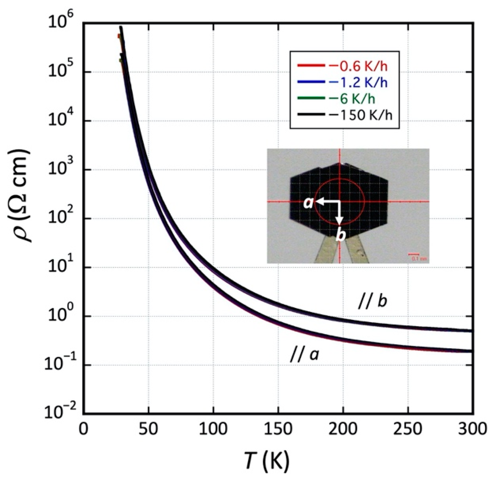
3.1. Electrical Resistivity
3.2. Low-Temperature Crystal Structure
3.3. 13C-NMR
4. Discussion
Author Contributions
Funding
Institutional Review Board Statement
Informed Consent Statement
Data Availability Statement
Acknowledgments
Conflicts of Interest
References
- Anderson, P.W. Resonating valence bonds: A new kind of insulator? Mater. Res. Bull. 1973, 8, 153–160. [Google Scholar] [CrossRef]
- Balents, L. Spin liquids in frustrated magnets. Nature 2010, 464, 199–208. [Google Scholar] [CrossRef]
- Kato, R. Development of π-electron systems based on [M(dmit)2] (M= Ni and Pd; dmit: 1,3-dithiole-2-thione-4,5-dithiolate) Anion Radicals. Bull. Chem. Soc. Jpn. 2014, 87, 355–374. [Google Scholar] [CrossRef] [Green Version]
- Kato, R.; Hengbo, C. Cation dependence of crystal structure and band parameters in a series of molecular conductors, β’-(Cation)[Pd(dmit)2]2 (dmit = 1,3-dithiol-2-thione-4,5-dithiolate). Crystals 2012, 2, 861–874. [Google Scholar] [CrossRef] [Green Version]
- Itou, T.; Oyamada, A.; Maegawa, S.; Tamura, M.; Kato, R. Quantum spin liquid in the spin-1/2 triangular antiferromagnet EtMe3Sb[Pd(dmit)2]2. Phys. Rev. B. 2008, 77, 104413. [Google Scholar] [CrossRef]
- Kanoda, K.; Kato, R. Mott physics in organic conductors with triangular lattices. Annu. Rev. Condens. Matter Phys. 2011, 2, 167–188. [Google Scholar] [CrossRef]
- Itou, T.; Oyamada, A.; Maegawa, S.; Kato, R. Instability of a quantum spin liquid in an organic triangular-lattice antiferromagnet. Nat. Phys. 2010, 6, 673–676. [Google Scholar] [CrossRef]
- Yamashita, S.; Yamamoto, T.; Nakazawa, Y.; Tamura, M.; Kato, R. Gapless spin liquid of an organic triangular compound evidenced by thermodynamic measurements. Nat. Commun. 2011, 2, 1–6. [Google Scholar] [CrossRef]
- Watanabe, D.; Yamashita, M.; Tonegawa, S.; Oshima, Y.; Yamamoto, H.M.; Kato, R.; Sheikin, I.; Behnia, K.; Terashima, T.; Uji, S.; et al. Novel Pauli-paramagnetic quantum phase in a Mott insulator. Nat. Commun. 2012, 3, 1–6. [Google Scholar] [CrossRef] [Green Version]
- Yamashita, M.; Nakata, N.; Senshu, Y.; Nagata, M.; Yamamoto, H.M.; Kato, R.; Shibauchi, T.; Matsuda, Y. Highly mobile gapless excitations in a two-dimensional candidate quantum spin liquid. Science 2010, 328, 1246–1248. [Google Scholar] [CrossRef]
- Bourgeois-Hope, P.; Laliberté, F.; Lefrançois, E.; Grissonnanche, G.; René de Cotret, S.; Gordon, R.; Kitou, S.; Sawa, H.; Cui, H.; Kato, R.; et al. Thermal conductivity of the quantum spin liquid candidate EtMe3Sb[Pd(dmit)2]2: No evidence of mobile gapless excitations. Phys. Rev. X 2019, 9, 041051. [Google Scholar] [CrossRef] [Green Version]
- Ni, J.M.; Pan, B.L.; Song, B.Q.; Huang, Y.Y.; Zeng, J.Y.; Yu, Y.J.; Cheng, E.J.; Wang, L.S.; Dai, D.Z.; Kato, R.; et al. Absence of magnetic thermal conductivity in the quantum spin liquid candidate EtMe3Sb[Pd(dmit)2]2. Phys. Rev. Lett. 2019, 123, 247204. [Google Scholar] [CrossRef] [PubMed] [Green Version]
- Yamashita, M. Boundary-limited and glassy-like phonon thermal conduction in EtMe3Sb[Pd(dmit)2]2. J. Phys. Soc. Jpn. 2019, 88, 083702. [Google Scholar] [CrossRef] [Green Version]
- Fukuyama, H. Comment on “Boundary-limited and glassy-like phonon thermal conduction in EtMe3Sb[Pd(dmit)2]2. J. Phys. Soc. Jpn. 2020, 89, 086001. [Google Scholar] [CrossRef]
- Yamashita, M. Reply to comment on “Boundary-limited and glassy-like phonon thermal conduction in EtMe3Sb[Pd(dmit)2]2“. J. Phys. Soc. Jpn. 2020, 89, 086002. [Google Scholar] [CrossRef]
- Yamashita, M.; Sato, Y.; Tominaga, T.; Kasahara, Y.; Kasahara, S.; Cui, H.; Kato, R.; Shibauchi, T.; Matsuda, Y. Presence and absence of itinerant gapless excitations in the quantum spin liquid candidate EtMe3Sb[Pd(dmit)2]2. Phys. Rev. B 2020, 101, 140407. [Google Scholar] [CrossRef] [Green Version]
- Yamashita, M. Erratum: Boundary-limited and glassy-like phonon thermal conduction in EtMe3Sb[Pd(dmit)2]2. J. Phys. Soc. Jpn. 2020, 89, 068001. [Google Scholar] [CrossRef]
- Bretizer, J.G.; Chou, J.-H.; Rauchfuss, T.B. A new synthesis of tetrathiooxalate and its conversion to C3S52− and C4S62−. Inorg. Chem. 1998, 37, 2080–2082. [Google Scholar] [CrossRef]
- Crystal Structure, Version 3.8, Crystal Structure Analysis Package; Rigaku and Rigaku Americas: The Woodlands, TX, USA, 2006.
- Altomare, A.; Cascarano, G.; Giacovazzo, C.; Guagliardi, A.; Burla, M.C.; Polidori, G.; Camalli, M. SIR92: A program for automatic solution of crystal structures by direct methods. J. Appl. Cryst. 1994, 27, 435. [Google Scholar] [CrossRef]
- Sheldrick, G.M. Crystal structure refinement with SHELXL. Acta Crystallogr. Sect. C 2015, C71, 3–8. [Google Scholar]
- Kagawa, F.; Sato, T.; Miyagawa, K.; Kanoda, K.; Tokura, Y.; Kobayashi, K.; Kumai, R.; Murakami, Y. Charge-cluster glass in an organic conductor. Nat. Phys. 2013, 9, 419–422. [Google Scholar] [CrossRef]
- Ueda, K.; Tsumuraya, T.; Kato, R. Temperature dependence of crystal structures and band parameters in quantum spin liquid β′-EtMe3Sb[Pd(dmit)2]2 and related materials. Crystals 2018, 8, 138. [Google Scholar] [CrossRef] [Green Version]
- Fujiyama, S.; Kato, R. Fragmented electronic spins with quantum fluctuations in organic Mott insulators near a quantum spin liquid. Phys. Rev. Lett. 2019, 122, 147204. [Google Scholar] [CrossRef] [PubMed] [Green Version]
- Itou, T.; Tokyo University of Science, Tokyo, Japan. Personal communication, 2021.





| Cooling Rate | −120 K/h (Rapid) | −0.6 K/h (Slow) |
|---|---|---|
| a (Å) | 14.346 (8) | 14.342 (8) |
| b (Å) | 6.317 (3) | 6.315 (3) |
| c (Å) | 37.07 (2) | 37.07 (2) |
| β (Å) | 97.624 (14) | 97.640 (13) |
| V (Å3) | 3330 (3) | 3328 (3) |
| R factor | 0.0370 | 0.0357 |
| G.O.F. | 1.079 | 1.049 |
| Δρmax (e Å−3) | 1.363 | 1.314 |
| Δρmin (e Å−3) | −1.089 | −0.960 |
Publisher’s Note: MDPI stays neutral with regard to jurisdictional claims in published maps and institutional affiliations. |
© 2022 by the authors. Licensee MDPI, Basel, Switzerland. This article is an open access article distributed under the terms and conditions of the Creative Commons Attribution (CC BY) license (https://creativecommons.org/licenses/by/4.0/).
Share and Cite
Kato, R.; Uebe, M.; Fujiyama, S.; Cui, H. A Discrepancy in Thermal Conductivity Measurement Data of Quantum Spin Liquid β′-EtMe3Sb[Pd(dmit)2]2 (dmit = 1,3-Dithiol-2-thione-4,5-dithiolate). Crystals 2022, 12, 102. https://doi.org/10.3390/cryst12010102
Kato R, Uebe M, Fujiyama S, Cui H. A Discrepancy in Thermal Conductivity Measurement Data of Quantum Spin Liquid β′-EtMe3Sb[Pd(dmit)2]2 (dmit = 1,3-Dithiol-2-thione-4,5-dithiolate). Crystals. 2022; 12(1):102. https://doi.org/10.3390/cryst12010102
Chicago/Turabian StyleKato, Reizo, Masashi Uebe, Shigeki Fujiyama, and Hengbo Cui. 2022. "A Discrepancy in Thermal Conductivity Measurement Data of Quantum Spin Liquid β′-EtMe3Sb[Pd(dmit)2]2 (dmit = 1,3-Dithiol-2-thione-4,5-dithiolate)" Crystals 12, no. 1: 102. https://doi.org/10.3390/cryst12010102
APA StyleKato, R., Uebe, M., Fujiyama, S., & Cui, H. (2022). A Discrepancy in Thermal Conductivity Measurement Data of Quantum Spin Liquid β′-EtMe3Sb[Pd(dmit)2]2 (dmit = 1,3-Dithiol-2-thione-4,5-dithiolate). Crystals, 12(1), 102. https://doi.org/10.3390/cryst12010102

