Effect of Poly(Titanium Oxide) on the Viscoelastic and Thermophysical Properties of Interpenetrating Polymer Networks
Abstract
:1. Introduction
2. Experimental
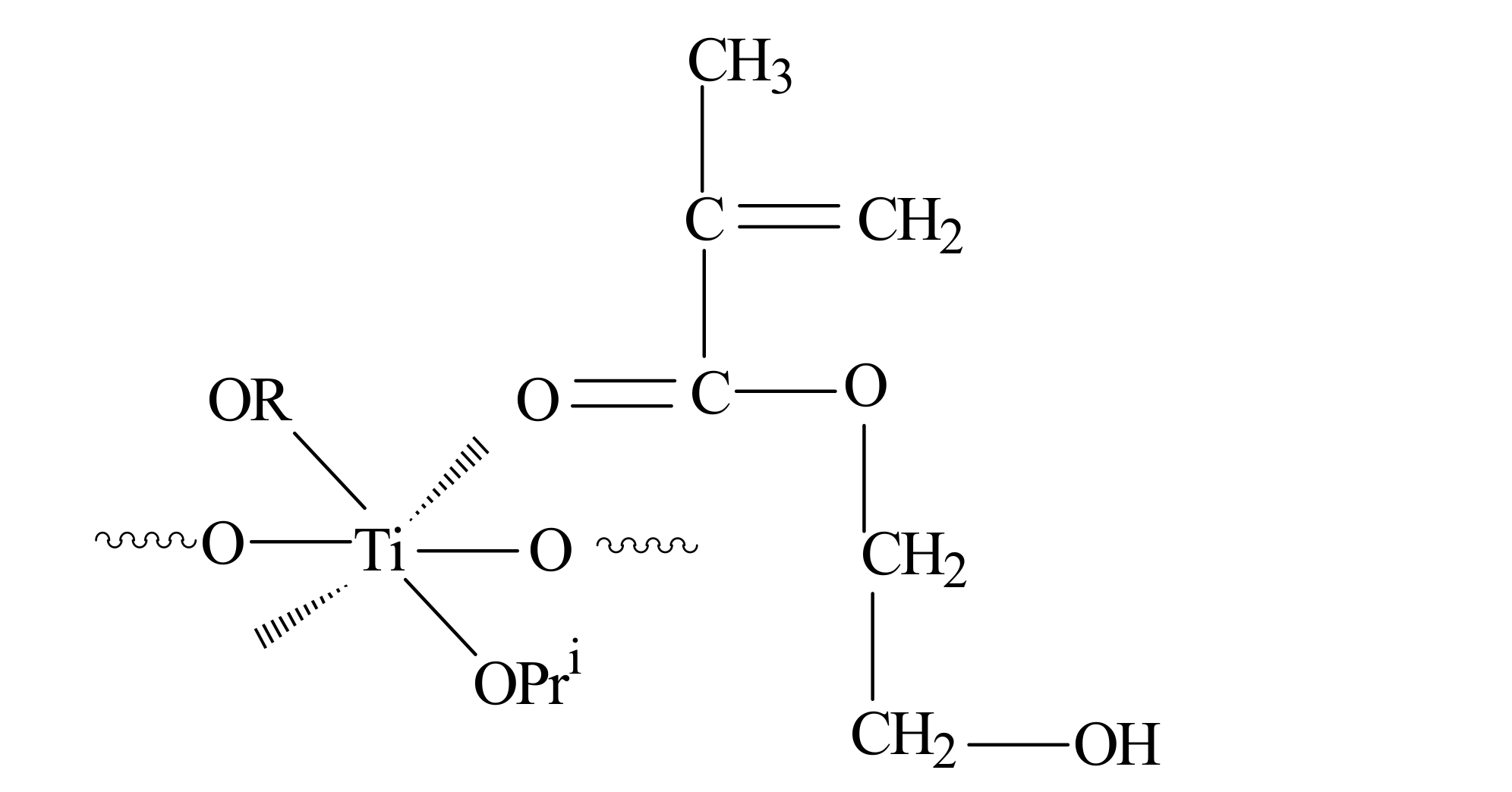
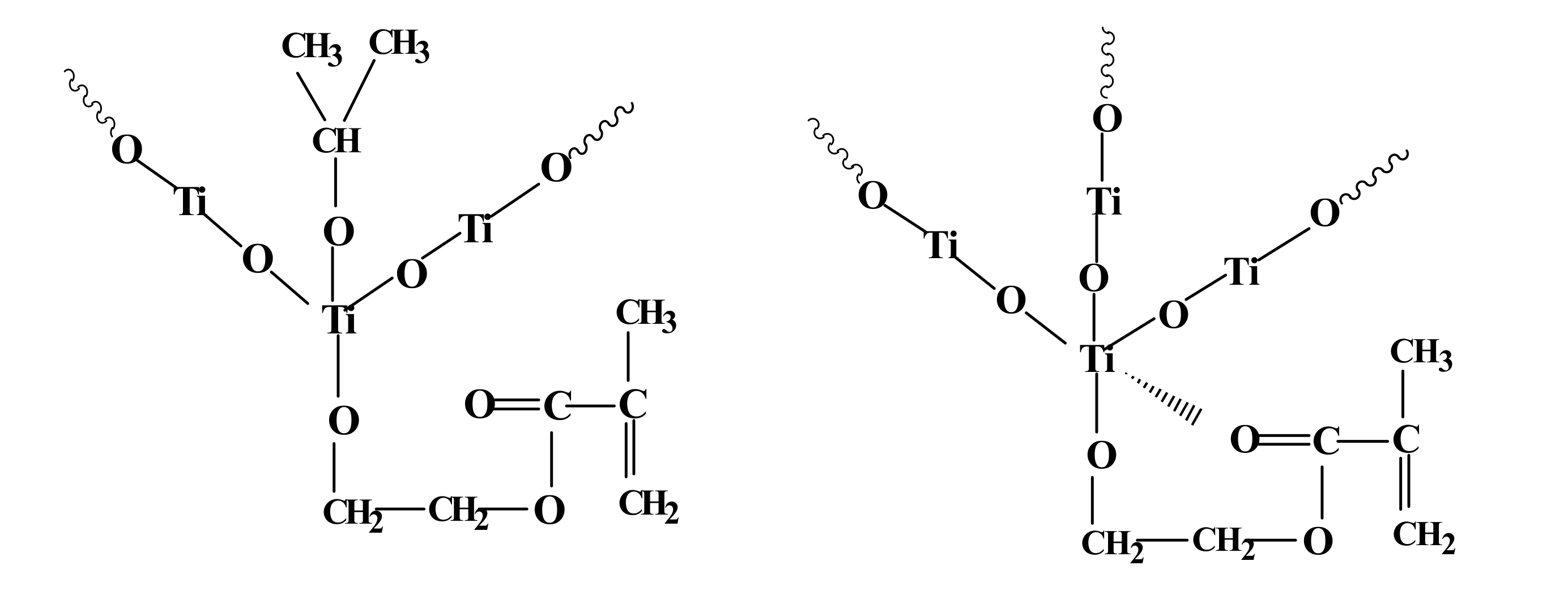
3. Results and Discussion
4. Conclusions
Author Contributions
Funding
Institutional Review Board Statement
Informed Consent Statement
Data Availability Statement
Acknowledgments
Conflicts of Interest
References
- Pandey, S.; Mishra, S.B. Sol–gel derived organic–inorganic hybrid materials: Synthesis, characterizations and applications. J. Sol Gel Sci. Technol. 2011, 59, 73–94. [Google Scholar] [CrossRef]
- Canto, C.F.; Prado, L.D.A.; Radovanovic, E.; Yoshida, I.V.P. Organic–inorganic hybrid materials derived from epoxy resin and polysiloxanes: Synthesis and characterization. Polym. Eng. Sci. 2008, 48, 141–148. [Google Scholar] [CrossRef]
- Wang, S.; Kang, Y.; Wang, L.; Zhang, H.; Wang, Y.; Wang, Y. Organic/inorganic hybrid sensors: A review. Sens. Actuators Chem. B 2013, 182, 467–481. [Google Scholar] [CrossRef]
- Karbovnyk, I.; Klym, H.; Piskunov, S.; Popov, A.A.; Chalyy, D.; Zhydenko, I.; Lukashevych, D. The impact of temperature on electrical properties of polymer-based nanocomposites. Low Temp. Phys. 2020, 46, 1231–1234. [Google Scholar] [CrossRef]
- Aksimentyeva, O.I.; Savchyn, V.P.; Dyakonov, V.P.; Piechota, S.; Horbenko, Y.Y.; Opainych, I.Y.; Demchenko, P.Y.; Popov, A.; Szymczak, H. Modification of polymer-magnetic nanoparticles by luminescent and conducting substances. Mol. Cryst. Liq. Cryst. 2014, 590, 35–42. [Google Scholar] [CrossRef]
- Savchyn, V.P.; Popov, A.I.; Aksimentyeva, O.I.; Klym, H.; Horbenko, Y.Y.; Serga, V.; Moskina, A.; Karbovnyk, I. Cathodoluminescence characterization of polystyrene-BaZrO3 hybrid composites. Low Temp. Phys. 2016, 42, 597–600. [Google Scholar] [CrossRef]
- Karbovnyk, I.; Olenych, I.; Kukhta, A.; Lugovskii, A.; Sasnouski, G.; Olenych, Y.; Luchechko, A.; Popov, A.I.; Yarytska, L. Multicolor photon emission from organic thin films on different substrates. Radiat. Meas. 2016, 90, 38–42. [Google Scholar] [CrossRef]
- Zhyhailo, M.; Yevchuk, I.; Yatsyshyn, M.; Korniy, S.; Demchyna, O.; Musiy, R.; Raudonis, R.; Zarkov, A.; Kareiva, A. Preparation of polyacrylate/silica membranes for fuel cell application by in situ UV polymerization. Chemija 2020, 31, 247–254. [Google Scholar] [CrossRef]
- Laurikėnas, A.; Mažeika, K.; Baltrūnas, D.; Skaudžius, R.; Beganskienė, A.; Kareiva, A. Hybrid organic-inorganic Fe3O (TFBDC)3(H2O)3·(DMF)3 compound synthesized by slow evaporation method: Characterization and comparison of magnetic properties. Lith. J. Phys. 2020, 60, 78. [Google Scholar] [CrossRef]
- Kiele, E.; Lukseniene, J.; Griguceviciene, A.; Selskis, A.; Senvaitiene, J.; Ramanauskas, R.; Raudonis, R.; Kareiva, A. Methyl–modified hybrid organic-inorganic coatings for the conservation of copper. J. Cult. Herit. 2014, 15, 242–249. [Google Scholar] [CrossRef]
- Aksimentyeva, O.; Konopelnyk, O.; Bolesta, I.; Karbovnyk, I.; Poliovyi, D.; Popov, A.I. Charge transport in electrically responsive polymer layers. J. Phys. Conf. Ser. 2007, 93, 012042. [Google Scholar] [CrossRef]
- Aksimentyeva О, І.; Chepikov, I.B.; Filipsonov, R.V.; Malynych, S.Z.; Gamernyk, R.V.; Martyniuk, G.V.; Horbenko, Y.Y. Hybrid composites with low reflection of IR radiation. Phys. Chem. Solid State 2020, 21, 764–770. [Google Scholar] [CrossRef]
- Kickelbick, G. Introduction to hybrid materials. In Hybrid Materials: Synthesis, Characterization, and Applications; Wiley-VCH Verlag GmbH & Co.: Weinheim, Germany, 2007; pp. 1–48. [Google Scholar]
- Sabah, F.A.; Razak, I.A.; Kabaa, E.A.; Zaini, M.F.; Omar, A.F. Characterization of hybrid organic/inorganic semiconductor materials for potential light emitting applications. Opt. Mater. 2020, 107, 110117. [Google Scholar] [CrossRef]
- Quy, H.V.; Truyen, D.H.; Kim, S.; Bark, C.W. Facile Synthesis of Spherical TiO2 Hollow Nanospheres with a Diameter of 150 nm for High-Performance Mesoporous Perovskite Solar Cells. Materials 2021, 14, 629. [Google Scholar] [CrossRef]
- Li, Y.; Wang, W.; Wang, F.; Di, L.; Yang, S.; Zhu, S.; Yao, Y.; Ma, C.; Dai, B.; Yu, F. Enhanced Photocatalytic Degradation of Organic Dyes via Defect-Rich TiO2 Prepared by Dielectric Barrier Discharge Plasma. Nanomaterials 2019, 9, 720. [Google Scholar] [CrossRef] [Green Version]
- Pant, B.; Park, M.; Park, S.-J. Recent Advances in TiO2 Films Prepared by Sol-Gel Methods for Photocatalytic Degradation of Organic Pollutants and Antibacterial Activities. Coatings 2019, 9, 613. [Google Scholar] [CrossRef] [Green Version]
- Ramirez, L.; Ramseier Gentile, S.; Zimmermann, S.; Stoll, S. Behavior of TiO2 and CeO2 Nanoparticles and Polystyrene Nanoplastics in Bottled Mineral, Drinking and Lake Geneva Waters. Impact of Water Hardness and Natural Organic Matter on Nanoparticle Surface Properties and Aggregation. Water 2019, 11, 721. [Google Scholar] [CrossRef] [Green Version]
- Zhao, W.; Yang, X.; Liu, C.; Qian, X.; Wen, Y.; Yang, Q.; Sun, T.; Chang, W.; Liu, X.; Chen, Z. Facile Construction of All-Solid-State Z-Scheme g-C3N4/TiO2 Thin Film for the Efficient Visible-Light Degradation of Organic Pollutant. Nanomaterials 2020, 10, 600. [Google Scholar] [CrossRef] [PubMed] [Green Version]
- Regmi, C.; Lotfi, S.; Espíndola, J.C.; Fischer, K.; Schulze, A.; Schäfer, A.I. Comparison of Photocatalytic Membrane Reactor Types for the Degradation of an Organic Molecule by TiO2-Coated PES Membrane. Catalysts 2020, 10, 725. [Google Scholar] [CrossRef]
- Dukenbayev, K.; Kozlovskiy, A.; Kenzhina, I.; Berguzinov, A.; Zdorovets, M. Study of the effect of irradiation with Fe7+ ions on the structural properties of thin TiO2 foils. Mater. Res. Express 2019, 6, 046309. [Google Scholar] [CrossRef]
- Knoks, A.; Kleperis, J.; Grinberga, L. Raman spectral identification of phase distribution in anodic titanium dioxide coating. Proc. Estonian Acad. Sci. 2017, 66, 422–429. [Google Scholar] [CrossRef]
- Kozlovskiy, A.; Shlimas, D.; Kenzhina, I.; Boretskiy, O.; Zdorovets, M. Study of the Effect of Low-Energy Irradiation with O2+ Ions on Radiation Hardening and Modification of the Properties of Thin TiO2 Films. J. Inorg. Organomet. Polym. Mater. 2021, 31, 790–801. [Google Scholar] [CrossRef]
- Mattsson, M.S.M.; Azens, A.; Niklasson, G.A.; Granqvist, C.G.; Purans, J. Li intercalation in transparent Ti–Ce oxide films: Energetics and ion dynamics. J. Appl. Phys. 1997, 81, 6432–6437. [Google Scholar] [CrossRef]
- Prashantha, K.; Rashmi, B.J.; Venkatesha, T.V.; Lee, J.-H. Spectral characterization of apatite formation on poly(2-hydroxyethylmethacrylate)–TiO2 nanocomposite film prepared by sol–gel process. Spectrochim. Acta Part A Mol. Biomol. Spectrosc. 2006, 65, 340–344. [Google Scholar] [CrossRef] [PubMed]
- Štengl, V.; Houšková, V.; Bakardjieva, S.; Murafa, N.; Havlín, V. Optically Transparent Titanium Dioxide Particles Incorporated in Poly(hydroxyethyl methacrylate) Thin Layers. J. Phys. Chem. C. 2008, 112, 19979–19985. [Google Scholar] [CrossRef]
- Toledo, L.; Racine, L.; Pérez, V.; Henríquez, J.P.; Auzely-Velty, R.; Urbano, B.F. Physical nanocomposite hydrogels filled with low concentrations of TiO2 nanoparticles: Swelling, networks parameters and cell retention studies. Mater. Sci. Eng. C 2018, 92, 769–778. [Google Scholar] [CrossRef]
- Mubarak, S.; Dhamodharan, D.; Divakaran, N.; Kale, M.B.; Senthil, T.; Wu, L.; Wang, J. Enhanced Mechanical and Thermal Properties of Stereolithography 3D Printed Structures by the Effects of Incorporated Controllably Annealed Anatase TiO2 Nanoparticles. Nanomaterials 2020, 10, 79. [Google Scholar] [CrossRef] [Green Version]
- Moustafa, H.; Darwish, D.; Youssef, A.S.; El-Wakil, R.A. High-Performance of Nanoparticles and Their Effects on the Mechanical, Thermal Stability and UV-Shielding Properties of PMMA Nanocomposites. Egypt. J. Chem. 2018, 61, 23–32. [Google Scholar] [CrossRef]
- Motaung, T.E.L.; Luyt, A.S.; Bondioli, F.; Messori, M.; Saladino, M.L.; Spinella Al Nasillo, G.; Caponetti, E. PMMA–titania nanocomposites: Properties and thermal degradation behavior. Polym. Degrad. Stab. 2012, 97, 1325–1333. [Google Scholar] [CrossRef]
- Gayvoronsky, V.; Galas, A.; Shepelyavyy, E.; Dittrich, T.; Timoshenko, V.; Nepijko, S.; Brodyn, M.; Koch, F. Giant nonlinear optical response of nanoporous anatase layers. Appl. Phys. B 2005, 80, 97–100. [Google Scholar] [CrossRef]
- Kuznetsov, A.I.; Kameneva, O.; Alexandrov, A.; Bityurin, N.; Marteau, P.; Chhor, K.; Sanchez, C.; Kanaev, A. Light-induced charge separation and storage in titanium oxide gels. Phys. Rev. E 2005, 71, 021403. [Google Scholar] [CrossRef]
- Salomatina, E.V.; Bityurin, N.M.; Gulenova, M.V.; Gracheva, T.A.; Drozdov, M.N.; Knyazev, A.V.; Kir’yanov, K.V.; Markin, A.V.; Smirnova, L.A. Synthesis, structure, and properties of organic-inorganic nanocomposites containing poly(titanium oxide). J. Mater. Chem. C 2013, 1, 6375–6385. [Google Scholar] [CrossRef]
- Salomatina, E.V.; Moskvichev, A.N.; Knyazev, A.V.; Smirnova, L.A. Effect of kinetic features in synthesis of hybrid copolymers based on Ti(OiPr)4 and hydroxyethyl methacrylate on their structure and properties. Russian J. Appl. Chem. 2015, 88, 197–207. [Google Scholar] [CrossRef]
- Kameneva, O.; Kuznestov, A.I.; Smirnova, L.A.; Rozes, L.; Sanchez, C.; Alexandrov, A.; Bityurin, N.; Chhor, K.; Kanaev, A. New photoactive hybrid organic-inorganic materials based on titanium-oxo-PHEMA nanocomposites exhibiting mixed valence properties. J. Mater. Chem. 2005, 15, 3380–3383. [Google Scholar] [CrossRef]
- Ryabkova, O.; Redina, L.; Salomatina, E.; Smirnova, L. Hydrophobizated poly(titanium oxide) containing polymeric surfaces with UV-induced reversible wettability and self-cleaning properties. Surf. Interfaces 2020, 18, 100452. [Google Scholar] [CrossRef]
- Fadeeva, E.; Koch, J.; Chichkov, B.; Kuznetsov, A.; Kameneva, O.; Bityurin, N.; Sanchez, C.; Kanaev, A. Laser imprinting of 3D structures in gel-based titanium oxide organic-inorganic hybrids. Appl. Phys. A 2006, 84, 27–30. [Google Scholar] [CrossRef]
- Brinker, C.J.; Scherer, G.W. Sol-Gel Science; Academic Press: New York, NY, USA, 1990; 881p. [Google Scholar]
- Jonauske, V.; Stanionyte, S.; Chen, S.-W.; Zarkov, A.; Juskenas, R.; Selskis, A.; Matijosius, T.; Yang, T.C.K.; Ishikawa, K.; Ramanauskas, R.; et al. Characterization of Sol-Gel Derived Calcium Hydroxyapatite Coatings Fabricated on Patterned Rough Stainless Steel Surface. Coatings 2019, 9, 334. [Google Scholar] [CrossRef] [Green Version]
- Mura, S.; Ludmerczki, R.; Stagi, L.; Garroni, S.; Carbonaro, C.M.; Ricci, P.C.; Casula, M.F.; Malfatti, L.; Innocenzi, P. Integrating sol-gel and carbon dots chemistry for the fabrication of fluorescent hybrid organic-inorganic films. Sci. Rep. 2020, 10, 4770. [Google Scholar] [CrossRef] [PubMed] [Green Version]
- Valeikiene, L.; Roshchina, M.; Grigoraviciute-Puroniene, I.; Prozorovich, V.; Zarkov, A.; Ivanets, A.; Kareiva, A. On the Reconstruction Peculiarities of Sol–Gel Derived Mg2−xMx/Al1 (M = Ca, Sr, Ba) Layered Double Hydroxides. Crystals 2020, 10, 470. [Google Scholar] [CrossRef]
- Tsvetkov, N.; Larina, L.; Ku Kang, J.; Shevaleevskiy, O. Sol-Gel Processed TiO2 Nanotube Photoelectrodes for Dye-Sensitized Solar Cells with Enhanced Photovoltaic Performance. Nanomaterials 2020, 10, 296. [Google Scholar] [CrossRef] [Green Version]
- Veselov, G.B.; Karnaukhov, T.M.; Bauman, Y.I.; Mishakov, I.V.; Vedyagin, A.A. Sol-Gel-Prepared Ni-Mo-Mg-O System for Catalytic Transformation of Chlorinated Organic Wastes into Nanostructured Carbon. Materials 2020, 13, 4404. [Google Scholar] [CrossRef] [PubMed]
- Korolkov, I.V.; Kuandykova, A.; Yeszhanov, A.B.; Güven, O.; Gorin, Y.G.; Zdorovets, M.V. Modification of PET Ion-Track Membranes by Silica Nanoparticles for Direct Contact Membrane Distillation of Salt Solutions. Membranes 2020, 10, 322. [Google Scholar] [CrossRef]
- Smalenskaite, A.; Pavasaryte, L.; Yang, T.C.K.; Kareiva, A. Undoped and Eu3+ Doped Magnesium-Aluminium Layered Double Hydroxides: Peculiarities of Intercalation of Organic Anions and Investigation of Luminescence Properties. Materials 2019, 12, 736. [Google Scholar] [CrossRef] [PubMed] [Green Version]
- Jaafar, A.; Hecker, C.; Árki, P.; Joseph, Y. Sol-Gel Derived Hydroxyapatite Coatings for Titanium Implants: A Review. Bioengineering 2020, 7, 127. [Google Scholar] [CrossRef] [PubMed]
- Grazenaite, E.; Garskaite, E.; Stankeviciute, Z.; Raudonyte-Svirbutaviciene, E.; Zarkov, A.; Kareiva, A. Ga-Substituted Cobalt-Chromium Spinels as Ceramic Pigments Produced by Sol–Gel Synthesis. Crystals 2020, 10, 1078. [Google Scholar] [CrossRef]
- Karbovnyk, I.; Borshchyshyn, I.; Vakhula, Y.; Lutsyuk, I.; Klym, H.; Bolesta, I. Impedance characterization of Cr3+, Y3+ and Zr4+ activated forsterite nanoceramics synthesized by sol–gel method. Ceram. Int. 2016, 42, 8501–8504. [Google Scholar] [CrossRef]
- Sperling, L.H. Interpenetrating Polymer Networks and Related Materials; Springer Science & Business Media: Cham, Switzerland, 2012. [Google Scholar]
- Lipatov, Y.S.; Alekseeva, T. Phase-separated interpenetrating polymer networks. In Advances in Polymer Science; Springer: Berlin, Germany, 2007; Volume 208, pp. 147–194. ISBN 978-3-540-73071-2. [Google Scholar]
- Widmaier, J.-M.; Bonilla, G. In situ synthesis of optically transparent interpenetrating organic/inorganic networks. Polym. Adv. Technol. 2006, 17, 634–640. [Google Scholar] [CrossRef]
- Bonilla, G.; Martinez, M.; Mendoza, A.M.; Widmaier, J.-M. Ternary interpenetrating networks of polyurethane-poly(methyl methacrylate)–silica. Preparation by sol-gel process and characterization of films. Eur. Polym. J. 2006, 42, 2977–2986. [Google Scholar] [CrossRef]
- Nielsen, L.E.; Landel, R.F. Mechanical Properties of Polymers and Composites; CRC Press: Boca Raton, FL, USA, 1993; p. 580. ISBN 9780824789640. [Google Scholar]
- Beckman, E.J.; Karasz, F.E.; Porter, R.S.; MacKnight, W.J.; Van Hunsel, J.; Koningsveld, R. Estimation of the interfacial fraction in partially miscible polymer blends from DSC measurements. Macromolecules 1988, 21, 1193–1194. [Google Scholar] [CrossRef]
- Lee, L.H.; Chen, W.C. High-Refractive-index thin films prepared from trialkoxysilane-capped poly(methyl methacrylate)−titania materials. Chem. Mater. 2001, 13, 1137–1142. [Google Scholar] [CrossRef]
- Bach, L.G.; Islam, M.R.; Seo, S.Y.; Lim, K.T. A novel route for the synthesis of poly (2-hydroxyethyl methacrylate) grafted TiO2 nanoparticles via surface thiol-lactam initiated radical polymerization. J. Appl. Polym. Sci. 2013, 127, 261–269. [Google Scholar] [CrossRef]
- Wu, C.S. In situ polymerization of titanium isopropoxide in polycaprolactone: Properties and characterization of the hybrid nanocomposites. J. Appl. Polym. Sci. 2004, 92, 1749–1757. [Google Scholar] [CrossRef]
- Chen, W.; Lee, S.; Lee, L.; Lin, J. Synthesis and Characterization of Trialkoxysilane-Capped Poly (Methyl Methacrylate)-titania Hybrid Optical Thin Films. J. Mater. Chem. 1999, 9, 2999–3003. [Google Scholar] [CrossRef]
- Rozenberg, B.A.; Boiko, G.N.; Bogdanova, L.M.; Dzhavadyan, E.A.; Komarov, B.A. Mechanism of anionic polymerization of 2-hydroxyethyl (meth) acrylates initiated by alkali metals and their alkoxides. Polym. Sci. Ser. A 2003, 45, 819–825. [Google Scholar]
- Feld, R.; Cowe, P.L. Organic Chemistry of Titanium; Butterworth & Co Publishers Ltd.: London, UK, 1965; 222p, ISBN 13 978-0408283007. [Google Scholar]
- Trabelsi, S.; Janke, A.; Hässler, R.; Zafeiropoulos, N.E.; Fornasieri, G.; Bocchini, S.; Rozes, L.; Stamm, M.; Gérard, J.-F.; Sanchez, C. Novel Organo-functional titanium−oxo-cluster-based hybrid materials with enhanced thermomechanical and thermal properties. Macromolecules 2005, 38, 6068–6078. [Google Scholar] [CrossRef]
- Ignatova, T.D.; Kosyanchuk, L.F.; Todosiychuk, T.T.; Nesterov, A.E. Reaction-induced phase separation and structure formation in polymer blends. Compos. Interfaces 2011, 18, 185–236. [Google Scholar] [CrossRef]
- Lipatov, Y.S.; Nesterov, A.E. Thermodynamics of Polymer Blends; Techn. Publ. Co.: Basel, Switzerland, 1997; 450p. [Google Scholar]
- Hourston, D.J.; Schäfer, F.U. Polyurethane/Polystyrene Oneshot Interpenetrating Polymer Networks with Good Damping Ability: Transition Broadening Through Crosslinking, Internetwork Grafting and Compatibilization. Polym. Adv. Technol. 1996, 7, 273–280. Available online: https://onlinelibrary.wiley.com (accessed on 28 February 2021). [CrossRef]
- Serga, V.; Burve, R.; Krumina, A.; Romanova, M.; Kotomin, E.A.; Popov, A.I. Extraction–Pyrolytic Method for TiO2 Polymorphs Production. Crystals 2021, 11, 431. [Google Scholar] [CrossRef]
- Serga, V.; Burve, R.; Krumina, A.; Pankratova, V.; Popov, A.I.; Pankratov, V. Study of phase composition, photocatalytic activity, and photoluminescence of TiO2 with Eu additive produced by the extraction-pyrolytic method. J. Mater. Res. Technol. 2021, 13, 2350–2360. [Google Scholar] [CrossRef]
- Serikov, T.M.; Ibrayev, N.K.; Isaikina, O.Y.; Savilov, S.V. Nanocrystalline TiO2 Films: Synthesis and Low-Temperature Luminescent and Photovoltaic Properties. Russ. J. Inorg. Chem. 2021, 66, 117–123. [Google Scholar] [CrossRef]







| Samples | PU/PHEMA/TiO2 *, wt% | Ti(OPri)4/H2O, mol | PHEMA Phase | E∞ MPa | Mc | |
|---|---|---|---|---|---|---|
| Tg2, °C | tanδmax2 | |||||
| IPNs | 30.0/70.0/0 | − | 128 | 0.78 | 3.7 | 3760 |
| OI IPNs-1 | 29.30/68.26/2.44 | 1/2 | 126 | 0.72 | 5.4 | 2600 |
| OI IPNs-2 | 29.05/67.73/3.22 | 1/2 | 126 | 0.67 | 6.6 | 2130 |
| OI IPNs-3 | 28.60/66.75/4.65 | 1/2 | 126 | 0.54 | 13.2 | 1070 |
| OI IPNs-4 | 28.60/66.75/4.65 | 1/1 | 118 | 0.36 | 25.6 | 550 |
| Samples | PU/PHEMA/ TiO2 *, wt% | Ti(OPri)4/H2O, mol | Tg1 PU- Enriched Phase, °C | Tg2 PHEMA- Enriched Phase, °C | ΔCpPU kJ/(kg K) | ΔCpPHEMA kJ/(kg K) | 1 − F |
|---|---|---|---|---|---|---|---|
| PU | 100.0/0/0 | - | −18.86 | - | 0.4936 | - | - |
| PHEMA | 0/100.0/0 | - | - | 64.51 | - | 0.21 | - |
| IPNs | 30.0/70.0/0 | - | −18.44 | 53.32 | 0.1833 | 0.2802 | 0.24 |
| OI IPNs-1 | 29.30/68.26/2.44 | 1/2 | −13.78 | 53.19 | 0.2139 | 0.1886 | 0.41 |
| OI IPNs-2 | 29.05/67.73/3.22 | 1/2 | −14.33 | 53.53 | 0.1966 | 0.2248 | 0.34 |
| OI IPNs-3 | 28.60/66.75/4.65 | 1/2 | −14.65 | 53.08 | 0.231 | 0.1925 | 0.38 |
Publisher’s Note: MDPI stays neutral with regard to jurisdictional claims in published maps and institutional affiliations. |
© 2021 by the authors. Licensee MDPI, Basel, Switzerland. This article is an open access article distributed under the terms and conditions of the Creative Commons Attribution (CC BY) license (https://creativecommons.org/licenses/by/4.0/).
Share and Cite
Tsebriienko, T.; Popov, A.I. Effect of Poly(Titanium Oxide) on the Viscoelastic and Thermophysical Properties of Interpenetrating Polymer Networks. Crystals 2021, 11, 794. https://doi.org/10.3390/cryst11070794
Tsebriienko T, Popov AI. Effect of Poly(Titanium Oxide) on the Viscoelastic and Thermophysical Properties of Interpenetrating Polymer Networks. Crystals. 2021; 11(7):794. https://doi.org/10.3390/cryst11070794
Chicago/Turabian StyleTsebriienko, Tamara, and Anatoli I. Popov. 2021. "Effect of Poly(Titanium Oxide) on the Viscoelastic and Thermophysical Properties of Interpenetrating Polymer Networks" Crystals 11, no. 7: 794. https://doi.org/10.3390/cryst11070794
APA StyleTsebriienko, T., & Popov, A. I. (2021). Effect of Poly(Titanium Oxide) on the Viscoelastic and Thermophysical Properties of Interpenetrating Polymer Networks. Crystals, 11(7), 794. https://doi.org/10.3390/cryst11070794
