Axial Compressive Behavior of Reinforced Concrete (RC) Columns Incorporating Multi-Walled Carbon Nanotubes and Marble Powder
Abstract
1. Introduction
2. Significance of Research
3. Experimental Program
3.1. Materials
3.1.1. Cement
3.1.2. Aggregates
3.1.3. Marble Powder
3.1.4. Carbon Nano Tubes (CNTs)
3.2. Casting of Concrete Specimen
3.3. Test Setup for Columns
4. Results and Discussion
4.1. SEM
4.2. Compressive Strength of Concrete Cubes
4.3. Axial Behaviour of RC Columns
4.4. Failure Modes
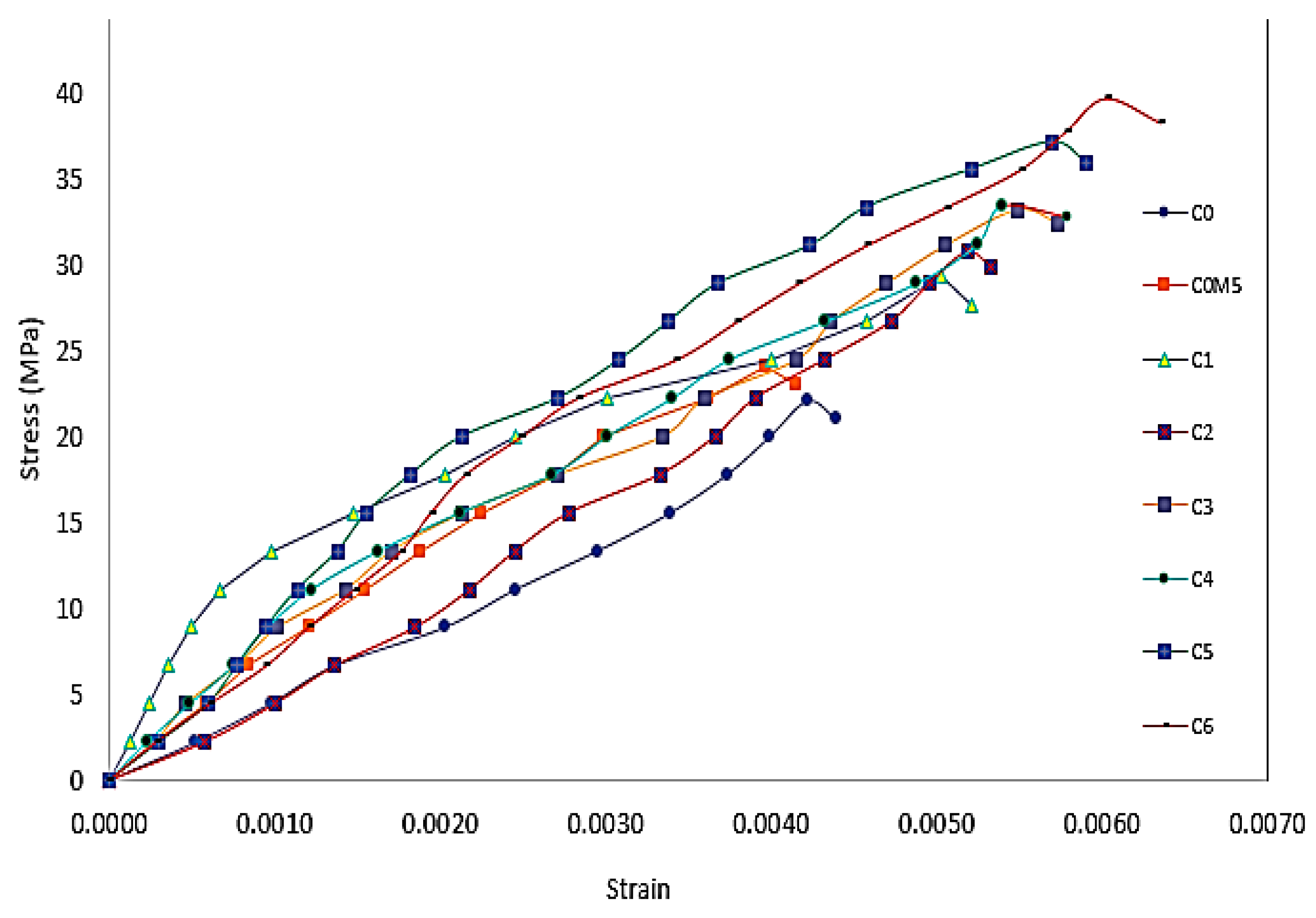
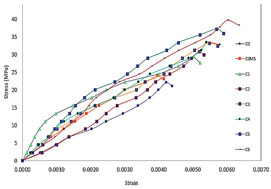
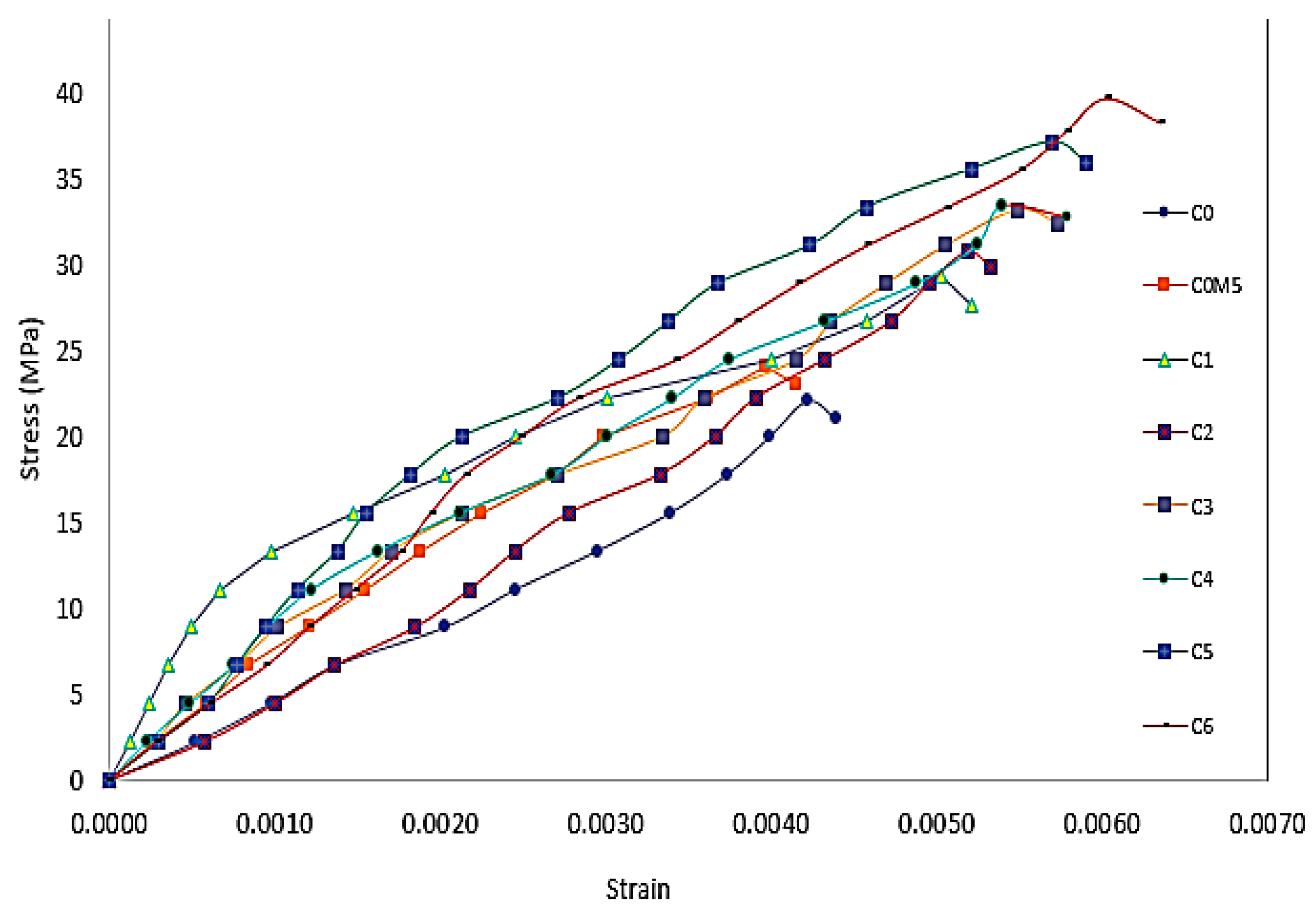
4.5. Load-Deformation Behaviour
4.6. Ductility
5. Conclusion and Recommendations
5.1. Conclusions
- The MWCNTs incorporating columns tend to increase the axial compressive strength. The highest strength was noted for the column (0.20% MWCNTs & 5% marble powder) which was found more than the reference column by 79.11%.
- By adding CNTs in the concrete increases its strength with curing age as noted in the case of concrete cubes. It was noted that concrete cubes incorporated with 0.20% CNTs and 5% marble powder had greater strength than reference mix by 44.47, 72.58% at 7, and 28 days of curing, respectively.
- The incorporation of MWCNTs in concrete enhanced its microstructure and strength to minimize column buckling. There was no buckling of reinforcement observed in columns cast with adding MWCNTs except for columns having 0.025% CNTs & 5% marble powder.
- The load-deflection curves confirm maximum stiffness for MWCNTs columns and minimum for control columns.
- The columns incorporated with 0.20% MWCNTs exhibit higher ductility than the control specimen by 42.04%.
- The columns incorporated with no MWCNTs and 5% marble powder showed ductile failure.
- The SEM analysis confirms the bridging formation of MWCNTs in the form of folds and layers embedded in the concrete matrix.
- The SEM analysis also confirms the embedding of MWCNTs in the C-S-H gel.
5.2. Recommendations
Author Contributions
Funding
Institutional Review Board Statement
Informed Consent Statement
Data Availability Statement
Acknowledgments
Conflicts of Interest
Abbreviations
References
- Yakovlev, G.; Pervushin, G.; Maeva, I.; Keriene, J.; Pudov, I.; Shaybadullina, A.; Buryanov, A.; Korzhenko, A.; Senkov, S. Modification of Construction Materials with Multi-Walled Carbon Nanotubes. Procedia Eng. 2013, 57, 407–413. [Google Scholar] [CrossRef]
- Tamimi, A.; Hassan, N.M.; Fattah, K.; Talachi, A. Performance of cementitious materials produced by incorporating surface treated multiwall carbon nanotubes and silica fume. Constr. Build. Mater. 2016, 114, 934–945. [Google Scholar] [CrossRef]
- Eftekhari, M.; Mohammadi, S.; Khanmohammadi, M. A hierarchical nano to macro multiscale analysis of monotonic behavior of concrete columns made of CNT-reinforced cement composite. Constr. Build. Mater. 2018, 175, 134–143. [Google Scholar] [CrossRef]
- Douba, A.; Emiroglu, M.; Kandil, U.F.; Taha, M.M.R. Very ductile polymer concrete using carbon nanotubes. Constr. Build. Mater. 2019, 196, 468–477. [Google Scholar] [CrossRef]
- Reis, J.M.L.D. Mechanical Characterization of Fiber Reinforced Polymer Concrete. Mater. Res. 2005, 8, 357–360. [Google Scholar] [CrossRef]
- Saeed, H.Z.; Khan, H.A.; Farooq, R. Experimental investigation of stress–strain behavior of CFRP confined Low Strength Concrete (LSC) cylinders. Constr. Build. Mater. 2016, 104, 208–215. [Google Scholar] [CrossRef]
- Lee, H.; Kang, D.; Kim, J.; Choi, K.; Chung, W. Void detection of cementitious grout composite using single-walled and multi-walled carbon nanotubes. Cement Concr. Compos. 2019, 95, 237–246. [Google Scholar] [CrossRef]
- Iijima, S.; Ichihashi, T. Single shell Carbon nanotubes of 1-nm diameter. Nature 1993, 363, 603–605. [Google Scholar] [CrossRef]
- Gillani, S.S.U.H.; Khitab, A.; Ahmad, S.; Khushnood, R.A.; Ferro, G.A.; Kazmi, S.M.S.; Qureshi, L.A.; Restuccia, L. Improving the mechanical performance of cement composites by carbon nanotubes addition. Procedia Struct. Integr. 2017, 3, 11–17. [Google Scholar] [CrossRef]
- Hadavand, B.S.; Javid, K.M.; Gharagozlou, M. Mechanical properties of multi-walled carbon nanotube / epoxy polysulfide nanocomposite. Mater. Des. 2013, 50, 62–67. [Google Scholar] [CrossRef]
- Geng, Y.; Liu, M.Y.; Li, J.; Shi, X.M.; Kim, J.K. A Effects of surfactant treatment on mechanical and electrical properties of CNT / epoxy nanocomposites. Compos. Part A Appl. Sci. Manuf. 2008, 39, 1876–1883. [Google Scholar] [CrossRef]
- Shokrieh, M.M.; Rafiee, R. Investigation of nanotube length effect on the reinforcement efficiency in carbon nanotube-based composites. Compos. Struct. 2010, 92, 2415–2420. [Google Scholar] [CrossRef]
- Yu, M.F.; Lourie, O.; Dyer, M.J.; Moloni, K.; Kelly, T.F.; Ruoff, R.S. Strength and Breaking Mechanism of Multiwalled Carbon Nanotubes Under Tensile Load. Science 2000, 287, 637–640. [Google Scholar] [CrossRef]
- Li, G.Y.; Wang, P.M.; Zhao, X. Mechanical behavior and microstructure of cement composites incorporating surface-treated multi-walled carbon nanotubes. Carbon 2005, 43, 1239–1245. [Google Scholar] [CrossRef]
- Cwirzen, A.; Habermehl-Cwirzen, K.; Penttala, V. Surface decoration of carbon nanotubes and mechanical properties of cement/carbon nanotube composites. Adv. Cem. Res. 2008, 20, 65–73. [Google Scholar] [CrossRef]
- Torkittikul, P.; Chaipanich, A. Bioactivity and Mechanical Properties of White Portland Cement Paste with Carbon Nanotubes. In Proceedings of the 3rd International Nanoelectronics Conference (INEC), Hong Kong, China, 3–8 January 2010. [Google Scholar] [CrossRef]
- Chaipanich, A.; Nochaiya, T.; Wongkeo, W.; Torkittikul, P. Compressive strength and microstructure of carbon nanotubes—fly ash cement composite. Mater. Sci. Eng. A 2010, 527, 1063–1067. [Google Scholar] [CrossRef]
- Konsta-Gdoutos, M.S.; Metaxa, Z.S.; Shah, S.P. Cement and Concrete Research Highly dispersed carbon nanotube reinforced cement-based materials. Cem. Concr. Res. 2010, 40, 1052–1059. [Google Scholar] [CrossRef]
- Xie, X.L.; Mai, Y.W.; Zhou, X.P. Dispersion, and alignment of carbon nanotubes in polymer matrix: A review. Mater. Sci. Eng. R Rep. 2006, 49, 89–112. [Google Scholar] [CrossRef]
- Suchorzewski, J.; Prieto, M.; Mueller, U. An experimental study of self-sensing concrete enhanced with multi-wall carbon nanotubes in wedge splitting test and DIC. Constr. Build. Mater. 2020, 262, 120871. [Google Scholar] [CrossRef]
- Akbar, A.; Liew, K.M.; Farooq, F.; Khushnood, R.A. Exploring mechanical performance of hybrid MWCNT and GNMP reinforced cementitious composites. Constr. Build. Mate. 2021, 267, 120721. [Google Scholar] [CrossRef]
- Singh, N.B.; Kalra, M.; Saxena, S.K. Nanoscience of cement and concrete. Mater. Today. Proc. 2017, 4, 5478–5487. [Google Scholar] [CrossRef]
- Baloch, W.L.; Khushnood, R.A.; Khaliq, W. Influence of multi-walled carbon nanotubes on the residual performance of concrete exposed to high temperatures. Constr. Build. Mater. 2018, 185, 44–56. [Google Scholar] [CrossRef]
- Munir, M.J.; Kazmi, S.M.S.; Wu., Y.-F. Efficiency of waste marble powder in controlling alkali–silica reaction of concrete: a sustainable approach. Constr. Build. Mater. 2017, 154, 590–599. [Google Scholar] [CrossRef]
- Tunc, E.T. Recycling of marble waste: A review based on strength of concrete containing marble waste. J. Environ. Manag. 2019, 231, 86–97. [Google Scholar] [CrossRef] [PubMed]
- Corinaldesi, V.; Moriconi, G.; Naik, T.R. Characterization of marble powder for its use in mortar and concrete. Constr. Build. Mater. 2010, 24, 113–117. [Google Scholar] [CrossRef]
- Hebhoub, H.; Aoun, H.; Belachia, M.; Houari, H.; Ghorbel, E. Use of waste marble aggregates in concrete. Constr. Build. Mater. 2011, 25, 1167–1171. [Google Scholar] [CrossRef]
- Silva, D.; Gameiro, F.; de Brito, J. Mechanical Properties of Structural Concrete Containing Fine Aggregates from Waste Generated by the Marble Quarrying Industry. J. Mater. Civ. Eng. 2014, 26, 1–8. [Google Scholar] [CrossRef]
- ASTM C150/C150M-19a, Standard Specification for Portland Cement; ASTM International: West Conshohocken, PA, USA, 2019; Available online: www.astm.org (accessed on 9 February 2021).
- ASTM C136/C136M-14, Standard Test Method for Sieve Analysis of Fine and Coarse Aggregates; ASTM International: West Conshohocken, PA, USA, 2014; Available online: www.astm.org (accessed on 9 February 2021).
- Ma, P.C.; Siddiqui, N.A.; Marom, G.; Kim, J.K. Dispersion, and functionalization of carbon nanotubes for polymer-based nanocomposites: A review. Compos. Part A Appl. Sci. Manuf. 2010, 41, 1345–1367. [Google Scholar] [CrossRef]
- ACI 318-19, Building Code Requirements for Structural Concrete and Commentary; American Concrete Institute (ACI): Farmington Hills, MI, USA, 2019.
- Parveen, S.; Rana, S.; Fangueiro, R.; Paiva, M.C. Microstructure and mechanical properties of carbon nanotube reinforced cementitious composites developed using a novel dispersion technique. Cem. Concr. Res. 2015, 73, 215–227. [Google Scholar] [CrossRef]
- Sedaghatdoost, A.; Behfarnia, K.; Bayati, M. The effect of curing period on the residual strength of Portland cement mortar containing MWCNTs at elevated temperature. Constr. Build. Mater. 2019, 196, 144–153. [Google Scholar] [CrossRef]
- Eftekhari, M.; Mohammadi, S. Multiscale dynamic fracture behavior of the carbon nanotube reinforced concrete under impact loading. Int. J. Impact Eng. 2016, 187, 55–64. [Google Scholar] [CrossRef]
- Li, L.G.; Huang, Z.H.; Tan, Y.P.; Kwan, A.K.H.; Chen, H.Y. Recycling of marble dust as paste replacement for improving strength, microstructure and eco-friendliness of mortar. J. Cleaner Prod. 2018, 210, 55–65. [Google Scholar] [CrossRef]
- Kabeer, K.S.A.; Vyas, A.K. Utilization of marble powder as fine aggregate in mortar mixes. Constr. Build. Mater. 2018, 165, 321–332. [Google Scholar] [CrossRef]
- Thomas, J.J.; Jennings, H.M.; Chen, J.J. Influence of Nucleation Seeding on the Hydration Mechanisms of Tricalcium Silicate and Cement. J. Phys. Chem. C 2009, 113, 4327–4334. [Google Scholar] [CrossRef]
- Miled, K.; Sab, K.; Le Roy, R. Particle size effect on EPS lightweight concrete compressive strength: Experimental investigation and modelling. Mech. Mater. 2007, 39, 222–240. [Google Scholar] [CrossRef]
- Carriço, A.; Bogas, J.A.; Hawreen, A.; Guedes, M. Durability of multi-walled carbon nanotube reinforced concrete. Constr. Build. Mater. 2018, 164, 121–133. [Google Scholar] [CrossRef]
- Shanan, M.A.; El-zanaty, A.H.; Metwally, K.G. Effect of Concrete Strength and Aspect Ratio on Strength and Ductility of Concrete Columns. IJCEE 2016, 10, 955–963. [Google Scholar] [CrossRef]
- Rashad, A.M. Effect of carbon nanotubes (CNTs) on the properties of traditional cementitious material. Constr. Build. Mater. 2017, 153, 81–101. [Google Scholar] [CrossRef]
- Jang, A.Y.; Lim, S.H.; Kim, D.H.; Yun, H.D.; Lee, G.C.; Seo, S.Y. Strain-Detecting properties of hybrid PE and steel fibers reinforced cement composite (Hy-FRCC) with Multi-Walled carbon nanotube (MWCNT) under repeated compression. Results Phys. 2020, 18, 103199. [Google Scholar] [CrossRef]















| Material | SiO2 | TiO2 | Al2O3 | Fe2O3 | MnO | MgO | CaO | Na2O | K2O | P2O5 |
|---|---|---|---|---|---|---|---|---|---|---|
| Cement | 21 | 0.348 | 5.04 | 3.24 | 0.064 | 2.56 | 61.7 | 0.252 | 1.117 | 0.068 |
| Marble Powder | 1.83 | - | 0.56 | 0.24 | - | 1.08 | 52.34 | 0.01 | 0.17 | - |
| Material | Fineness (cm2/g) | Water Absorption (%) | Specific Gravity | Setting Time (min) | Compressive Strength MPa | |||
|---|---|---|---|---|---|---|---|---|
| Initial | Final | 7 Days | 28 Days | |||||
| Cement | 2915 | - | 2.99 | 97 | 195 | 24.3 | 36.24 | |
| Fine Aggregates | - | 1.22 | 2.73 | - | - | - | ||
| Coarse Aggregates | - | 0.44 | 2.83 | - | - | - | ||
| Marble Powder | 3450 | 0.95 | 2.70 | - | - | - | ||
| Physical Property | Value/Specifications | Chemical Properties (Compounds) | Sample % Age by Wt. |
|---|---|---|---|
| Form | Powder form | Al2O3 | 7.01 |
| Color | Black | SiO2 | 0.53 |
| Carbon Purity | Min. 95% | SO3 | 0.46 |
| Number of Walls | 3–15 | P2O5 | 0.44 |
| Outer Diameter | 5–20 nm | Fe2O3 | 0.18 |
| Inner Diameter | 2–6 nm | Loss on ignition | 91.18 |
| Apparent Density | 0.15–0.35 g/cm3 | CaO | 0.11 |
| Flash Point | 290 °C | CO2O3 | 0.09 |
| Length | 20–100 μm | Tm2O3 | 0.01 |
| Water | Insoluble | K2O | – |
| Density at 20 °C | 0.15 g/cm3 | TiO2 | – |
| Danger of Explosion | At concentration 50 g/m3 or higher | Specific surface area (m2/kg) | 250–300 (m2/kg) |
| Column ID | Cement (kg) | F.A (kg) | C.A(kg) | MP (kg) | CNTs (g) | w/c ratio | Slump mm |
|---|---|---|---|---|---|---|---|
| C0 | 3.62 | 5.4 | 9 | 0 | 0 | 0.45 | 76 |
| C0M5 | 3.62 | 5.4 | 9 | 0.18 | 0 | 0.45 | 79 |
| C1 | 3.62 | 5.4 | 9 | 0.18 | 0.905 | 0.45 | 82 |
| C2 | 3.62 | 5.4 | 9 | 0.18 | 1.81 | 0.45 | 88 |
| C3 | 3.62 | 5.4 | 9 | 0.18 | 2.715 | 0.45 | 90 |
| C4 | 3.62 | 5.4 | 9 | 0.18 | 3.62 | 0.45 | 95 |
| C5 | 3.62 | 5.4 | 9 | 0.18 | 5.43 | 0.45 | 97 |
| C6 | 3.62 | 5.4 | 9 | 0.18 | 7.24 | 0.45 | 99 |
| Specimen | Ultimate Load (KN) | Ultimate Displacement (mm) | Initial Stiffness (KN/mm) | Toughness (KN.mm) | Failure Mode |
|---|---|---|---|---|---|
| C0 | 497 | 1.395 | 356.27 | 693.32 | Buckling |
| C0M5 | 541 | 1.311 | 412.66 | 709.25 | Crushing |
| C1 | 661 | 1.661 | 397.95 | 1097.92 | Crushing |
| C2 | 691 | 1.713 | 403.39 | 1183.68 | Crushing |
| C3 | 746 | 1.811 | 411.93 | 1351.01 | Crushing |
| C4 | 739 | 1.781 | 414.94 | 1316.16 | Crushing |
| C5 | 835 | 1.88 | 444.15 | 1569.80 | Crushing |
| C6 | 893 | 1.99 | 448.74 | 1777.07 | Crushing |
Publisher’s Note: MDPI stays neutral with regard to jurisdictional claims in published maps and institutional affiliations. |
© 2021 by the authors. Licensee MDPI, Basel, Switzerland. This article is an open access article distributed under the terms and conditions of the Creative Commons Attribution (CC BY) license (http://creativecommons.org/licenses/by/4.0/).
Share and Cite
Khan, A.J.; Ali Qureshi, L.; Khan, M.N.A.; Gul, A.; Umar, M.; Manan, A.; Badrashi, Y.I.; Abbas, A.; Javed, U.; Farooq, R. Axial Compressive Behavior of Reinforced Concrete (RC) Columns Incorporating Multi-Walled Carbon Nanotubes and Marble Powder. Crystals 2021, 11, 247. https://doi.org/10.3390/cryst11030247
Khan AJ, Ali Qureshi L, Khan MNA, Gul A, Umar M, Manan A, Badrashi YI, Abbas A, Javed U, Farooq R. Axial Compressive Behavior of Reinforced Concrete (RC) Columns Incorporating Multi-Walled Carbon Nanotubes and Marble Powder. Crystals. 2021; 11(3):247. https://doi.org/10.3390/cryst11030247
Chicago/Turabian StyleKhan, Abdul Jalil, Liaqat Ali Qureshi, Muhammad Nasir Ayaz Khan, Akhtar Gul, Muhammad Umar, Aneel Manan, Yasir Irfan Badrashi, Asim Abbas, Usman Javed, and Rashid Farooq. 2021. "Axial Compressive Behavior of Reinforced Concrete (RC) Columns Incorporating Multi-Walled Carbon Nanotubes and Marble Powder" Crystals 11, no. 3: 247. https://doi.org/10.3390/cryst11030247
APA StyleKhan, A. J., Ali Qureshi, L., Khan, M. N. A., Gul, A., Umar, M., Manan, A., Badrashi, Y. I., Abbas, A., Javed, U., & Farooq, R. (2021). Axial Compressive Behavior of Reinforced Concrete (RC) Columns Incorporating Multi-Walled Carbon Nanotubes and Marble Powder. Crystals, 11(3), 247. https://doi.org/10.3390/cryst11030247

