Theory of the Thermal Stability of Silicon Vacancies and Interstitials in 4H–SiC
Abstract
1. Introduction
2. Theoretical Methods
3. Results
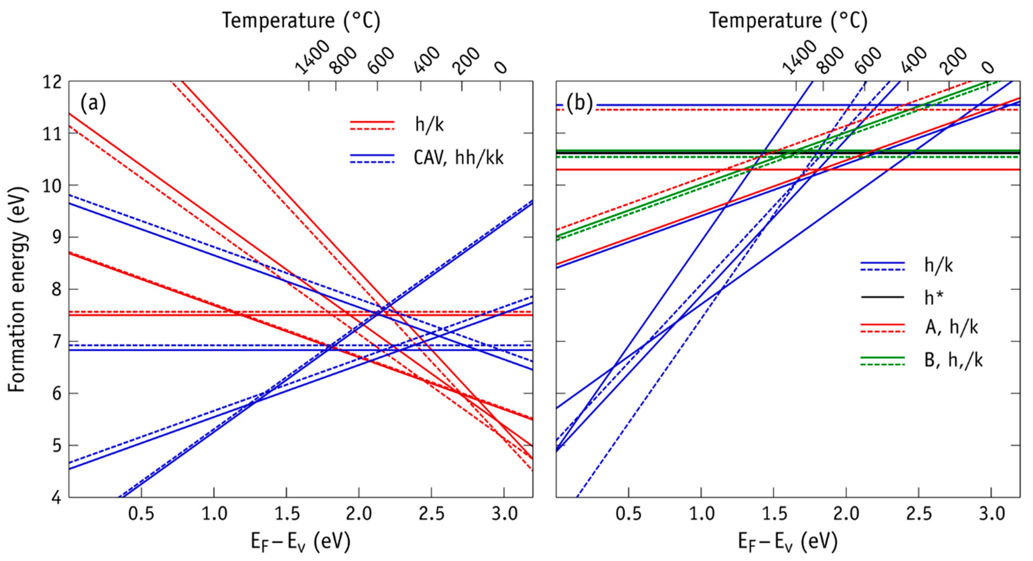
3.1. The Silicon Vacancy
3.1.1. Bistability of the Silicon Vacancy
3.1.2. Migration of the Silicon Vacancy
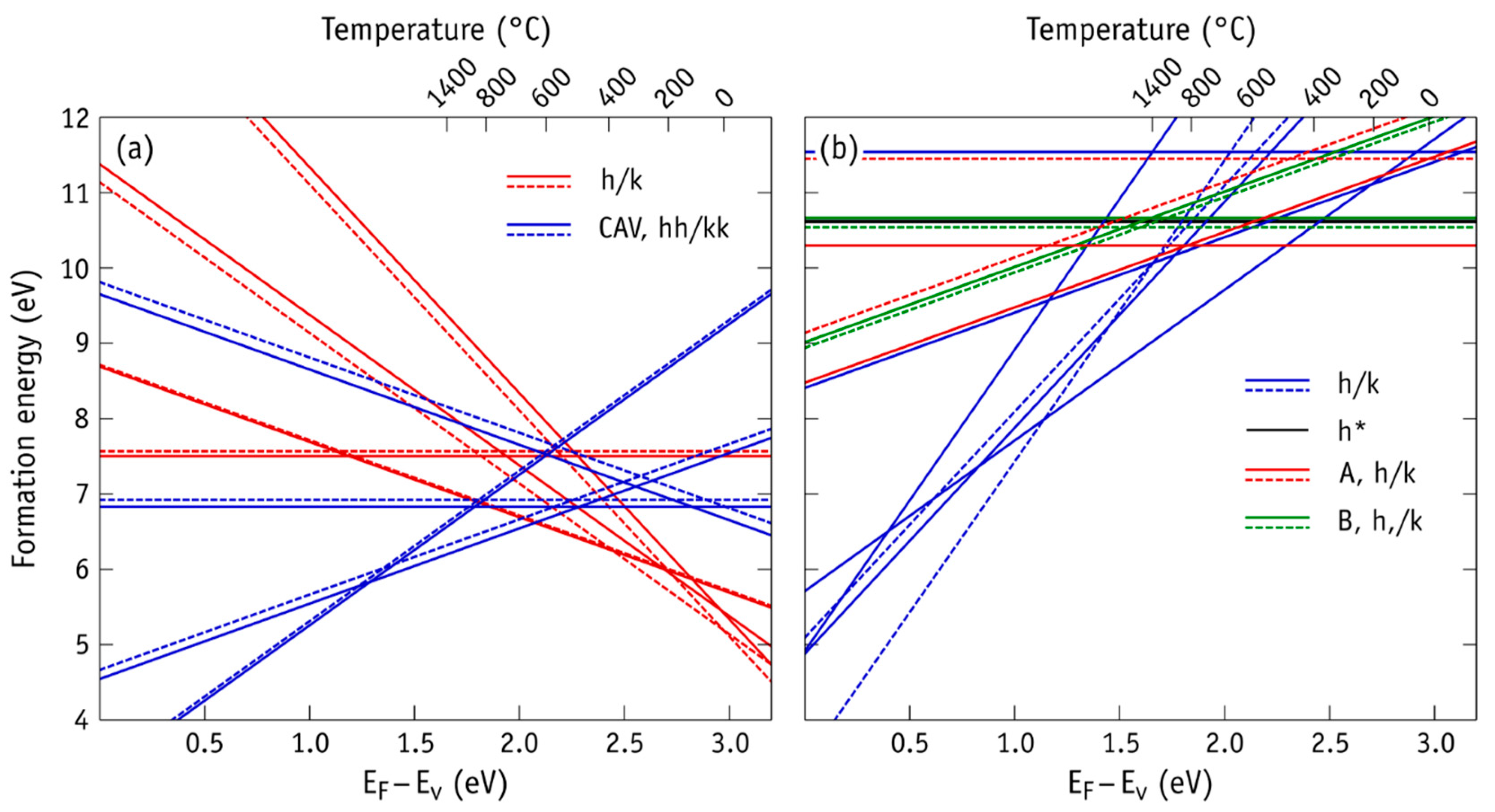
3.2. Silicon Interstitials
3.2.1. Bistability of the Silicon Interstitial
3.2.2. Migration of the Silicon Interstitial
4. Discussion
5. Conclusions
Funding
Conflicts of Interest
References
- Kimoto, T. Material Science and Device Physics in SiC Technology for High-Voltage Power Devices. Jpn. J. Appl. Phys. 2015, 54, 040103. [Google Scholar] [CrossRef]
- She, X.; Huang, A.Q.; Lucia, O.; Ozpineci, B. Review of Silicon Carbide Power Devices and Their Applications. IEEE Trans. Ind. Electron. 2017, 64, 8193–8205. [Google Scholar] [CrossRef]
- Castelletto, S.; Rosa, L.; Johnson, B.C. Silicon Carbide for Novel Quantum Technology Devices. In Advanced Silicon Carbide Devices and Processing; Saddow, S.E., Via, F.L., Eds.; InTech: London, UK, 2015; ISBN 978-953-51-2168-8. [Google Scholar] [CrossRef]
- Lohrmann, A.; Johnson, B.C.; McCallum, J.C.; Castelletto, S. A Review on Single Photon Sources in Silicon Carbide. Rep. Prog. Phys. 2017, 80, 034502. [Google Scholar] [CrossRef] [PubMed]
- Ruddy, F.H.; Seidel, J.G.; Chen, H.; Dulloo, A.R.; Ryu, S.-H. High-Resolution Alpha-Particle Spectrometry Using Silicon Carbide Semiconductor Detectors. In Proceedings of the IEEE Nuclear Science Symposium Conference Record, Fajardo, Puerto Rico, 23–29 October 2005; Volume 3, pp. 1231–1235. [Google Scholar]
- Coutinho, J.; Torres, V.J.B.; Capan, I.; Brodar, T.; Ereš, Z.; Bernat, R.; Radulović, V.; Ambrožič, K.; Snoj, L.; Pastuović, Ž.; et al. Silicon Carbide Diodes for Neutron Detection. Nucl. Instrum. Methods Phys. Res. Sect. A Accel. Spectrometers Detect. Assoc. Equip. 2021, 986, 164793. [Google Scholar] [CrossRef]
- Dulloo, A.R.; Ruddy, F.H.; Seidel, J.G.; Adams, J.M.; Nico, J.S.; Gilliam, D.M. The Thermal Neutron Response of Miniature Silicon Carbide Semiconductor Detectors. Nucl. Instrum. Methods Phys. Res. Sect. A Accel. Spectrometers Detect. Assoc. Equip. 2003, 498, 415–423. [Google Scholar] [CrossRef]
- Szalkai, D.; Ferone, R.; Issa, F.; Klix, A.; Lazar, M.; Lyoussi, A.; Ottaviani, L.; Tutto, P.; Vervisch, V. Fast Neutron Detection With 4H-SiC Based Diode Detector up to 500 °C Ambient Temperature. IEEE Trans. Nucl. Sci. 2016, 63, 1491–1498. [Google Scholar] [CrossRef]
- Coutinho, J.; Markevich, V.P.; Peaker, A.R. Characterisation of Negative-U Defects in Semiconductors. J. Phys. Condens. Matter 2020, 32, 323001. [Google Scholar] [CrossRef] [PubMed]
- Peaker, A.R.; Markevich, V.P.; Coutinho, J. Tutorial: Junction Spectroscopy Techniques and Deep-Level Defects in Semiconductors. J. Appl. Phys. 2018, 123, 161559. [Google Scholar] [CrossRef]
- Dalibor, T.; Pensl, G.; Matsunami, H.; Kimoto, T.; Choyke, W.J.; Schöner, A.; Nordell, N. Deep Defect Centers in Silicon Carbide Monitored with Deep Level Transient Spectroscopy. Phys. Status Solidi (A) 1997, 162, 199–225. [Google Scholar] [CrossRef]
- Hemmingsson, C.; Son, N.T.; Kordina, O.; Bergman, J.P.; Janzén, E.; Lindström, J.L.; Savage, S.; Nordell, N. Deep Level Defects in Electron-Irradiated 4H SiC Epitaxial Layers. J. Appl. Phys. 1997, 81, 6155–6159. [Google Scholar] [CrossRef]
- Hemmingsson, C.G.; Son, N.T.; Ellison, A.; Zhang, J.; Janzén, E. Negative-U Centers in 4H Silicon Carbide. Phys. Rev. B 1998, 58, R10119–R10122. [Google Scholar] [CrossRef]
- Hornos, T.; Gali, A.; Svensson, B.G. Large-Scale Electronic Structure Calculations of Vacancies in 4H-SiC Using the Heyd-Scuseria-Ernzerhof Screened Hybrid Density Functional. MSF 2011, 679–680, 261–264. [Google Scholar] [CrossRef]
- Son, N.T.; Trinh, X.T.; Løvlie, L.S.; Svensson, B.G.; Kawahara, K.; Suda, J.; Kimoto, T.; Umeda, T.; Isoya, J.; Makino, T.; et al. Negative-U System of Carbon Vacancy in 4H-SiC. Phys. Rev. Lett. 2012, 109, 187603. [Google Scholar] [CrossRef]
- Coutinho, J.; Torres, V.J.B.; Demmouche, K.; Öberg, S. Theory of the Carbon Vacancy in 4H-SiC: Crystal Field and Pseudo-Jahn-Teller Effects. Phys. Rev. B 2017, 96, 174105. [Google Scholar] [CrossRef]
- Capan, I.; Brodar, T.; Pastuović, Ž.; Siegele, R.; Ohshima, T.; Sato, S.; Makino, T.; Snoj, L.; Radulović, V.; Coutinho, J.; et al. Double Negatively Charged Carbon Vacancy at the H- and k-Sites in 4H-SiC: Combined Laplace-DLTS and DFT Study. J. Appl. Phys. 2018, 123, 161597. [Google Scholar] [CrossRef]
- Ayedh, H.M.; Nipoti, R.; Hallén, A.; Svensson, B.G. Elimination of Carbon Vacancies in 4H-SiC Employing Thermodynamic Equilibrium Conditions at Moderate Temperatures. Appl. Phys. Lett. 2015, 107, 252102. [Google Scholar] [CrossRef]
- Karsthof, R.; Bathen, M.E.; Galeckas, A.; Vines, L. Conversion Pathways of Primary Defects by Annealing in Proton-Irradiated n-Type 4H-SiC. Phys. Rev. B 2020, 102, 184111. [Google Scholar] [CrossRef]
- Umeda, T.; Son, N.T.; Isoya, J.; Janzén, E.; Ohshima, T.; Morishita, N.; Itoh, H.; Gali, A.; Bockstedte, M. Identification of the Carbon Antisite-Vacancy Pair in 4H-SiC. Phys. Rev. Lett. 2006, 96, 145501. [Google Scholar] [CrossRef]
- Steeds, J.W. Photoluminescence Study of the Carbon Antisite-Vacancy Pair in 4H- and 6H-SiC. Phys. Rev. B 2009, 80, 245202. [Google Scholar] [CrossRef]
- Szász, K.; Ivády, V.; Abrikosov, I.A.; Janzén, E.; Bockstedte, M.; Gali, A. Spin and Photophysics of Carbon-Antisite Vacancy Defect in 4H Silicon Carbide: A Potential Quantum Bit. Phys. Rev. B 2015, 91, 121201. [Google Scholar] [CrossRef]
- Bockstedte, M.; Mattausch, A.; Pankratov, O. Ab Initio Study of the Annealing of Vacancies and Interstitials in Cubic SiC: Vacancy-Interstitial Recombination and Aggregation of Carbon Interstitials. Phys. Rev. B 2004, 69, 235202. [Google Scholar] [CrossRef]
- Sasaki, S.; Kawahara, K.; Feng, G.; Alfieri, G.; Kimoto, T. Major Deep Levels with the Same Microstructures Observed in N-Type 4H–SiC and 6H–SiC. J. Appl. Phys. 2011, 109, 013705. [Google Scholar] [CrossRef]
- Kawahara, K.; Thang Trinh, X.; Tien Son, N.; Janzén, E.; Suda, J.; Kimoto, T. Investigation on Origin of Z1/2 Center in SiC by Deep Level Transient Spectroscopy and Electron Paramagnetic Resonance. Appl. Phys. Lett. 2013, 102, 112106. [Google Scholar] [CrossRef]
- Storasta, L.; Bergman, J.P.; Janzén, E.; Henry, A.; Lu, J. Deep Levels Created by Low Energy Electron Irradiation in 4H-SiC. J. Appl. Phys. 2004, 96, 4909–4915. [Google Scholar] [CrossRef]
- Alfieri, G.; Monakhov, E.V.; Svensson, B.G.; Linnarsson, M.K. Annealing Behavior between Room Temperature and 2000 °C of Deep Level Defects in Electron-Irradiated n-Type 4H Silicon Carbide. J. Appl. Phys. 2005, 98, 043518. [Google Scholar] [CrossRef]
- Beyer, F.C.; Hemmingsson, C.; Pedersen, H.; Henry, A.; Janzén, E.; Isoya, J.; Morishita, N.; Ohshima, T. Annealing Behavior of the EB-Centers and M-Center in Low-Energy Electron Irradiated n-Type 4H-SiC. J. Appl. Phys. 2011, 109, 103703. [Google Scholar] [CrossRef]
- Åberg, D.; Storasta, L.; Hallén, A.; Svensson, B.G. Implantation Temperature Dependent Deep Level Defects in 4H-SiC. MSF 2001, 353–356, 443–446. [Google Scholar] [CrossRef]
- David, M.L.; Alfieri, G.; Monakhov, E.M.; Hallén, A.; Blanchard, C.; Svensson, B.G.; Barbot, J.F. Electrically Active Defects in Irradiated 4H-SiC. J. Appl. Phys. 2004, 95, 4728–4733. [Google Scholar] [CrossRef]
- Gali, A. Defects in SiC: Theory. MSF 2011, 679–680, 225–232. [Google Scholar] [CrossRef]
- Bathen, M.E.; Galeckas, A.; Müting, J.; Ayedh, H.M.; Grossner, U.; Coutinho, J.; Frodason, Y.K.; Vines, L. Electrical Charge State Identification and Control for the Silicon Vacancy in 4H-SiC. NPJ Quantum Inf. 2019, 5, 111. [Google Scholar] [CrossRef]
- Wang, X.; Zhao, M.; Bu, H.; Zhang, H.; He, X.; Wang, A. Formation and Annealing Behaviors of Qubit Centers in 4H-SiC from First Principles. J. Appl. Phys. 2013, 114, 194305. [Google Scholar] [CrossRef]
- Castaldini, A.; Cavallini, A.; Rigutti, L.; Pizzini, S.; Le Donne, A.; Binetti, S. Diffusion Length and Junction Spectroscopy Analysis of Low-Temperature Annealing of Electron Irradiation-Induced Deep Levels in 4H-SiC. J. Appl. Phys. 2006, 99, 033701. [Google Scholar] [CrossRef]
- Hazdra, P.; Vobecký, J. Radiation Defects Created in N-Type 4H-SiC by Electron Irradiation in the Energy Range of 1–10 MeV. Phys. Status Solidi A 2019, 216, 1900312. [Google Scholar] [CrossRef]
- Alfieri, G.; Mihaila, A. Isothermal Annealing Study of the EH1 and EH3 Levels in N-Type 4H-SiC. J. Phys. Condens. Matter 2020, 32, 465703. [Google Scholar] [CrossRef]
- Pastuović, Ž.; Siegele, R.; Capan, I.; Brodar, T.; Sato, S.; Ohshima, T. Deep Level Defects in 4H-SiC Introduced by Ion Implantation: The Role of Single Ion Regime. J. Phys. Condens. Matter 2017, 29, 475701. [Google Scholar] [CrossRef]
- Capan, I.; Brodar, T.; Yamazaki, Y.; Oki, Y.; Ohshima, T.; Chiba, Y.; Hijikata, Y.; Snoj, L.; Radulović, V. Influence of Neutron Radiation on Majority and Minority Carrier Traps in N-Type 4H-SiC. Nucl. Instrum. Methods Phys. Res. Sect. B Beam Interact. Mater. Atoms 2020, 478, 224–228. [Google Scholar] [CrossRef]
- Brodar, T.; Bakrač, L.; Capan, I.; Ohshima, T.; Snoj, L.; Radulović, V.; Pastuović, Ž. Depth Profile Analysis of Deep Level Defects in 4H-SiC Introduced by Radiation. Crystals 2020, 10, 845. [Google Scholar] [CrossRef]
- Martin, D.M.; Kortegaard Nielsen, H.; Lévêque, P.; Hallén, A.; Alfieri, G.; Svensson, B.G. Bistable Defect in Mega-Electron-Volt Proton Implanted 4H Silicon Carbide. Appl. Phys. Lett. 2004, 84, 1704–1706. [Google Scholar] [CrossRef]
- Nielsen, H.K.; Hallén, A.; Svensson, B.G. Capacitance Transient Study of the Metastable M Center in n-Type 4 H-Si C. Phys. Rev. B 2005, 72, 085208. [Google Scholar] [CrossRef]
- Defo, R.K.; Zhang, X.; Bracher, D.; Kim, G.; Hu, E.; Kaxiras, E. Energetics and Kinetics of Vacancy Defects in 4 H-SiC. Phys. Rev. B 2018, 98, 104103. [Google Scholar] [CrossRef]
- Rauls, E.; Lingner, T.; Hajnal, Z.; Greulich-Weber, S.; Frauenheim, T.; Spaeth, J.-M. Metastability of the Neutral Silicon Vacancy in 4H-SiC. Phys. Status Solidi (B) 2000, 217, R1–R3. [Google Scholar] [CrossRef]
- Torpo, L.; Marlo, M.; Staab, T.E.M.; Nieminen, R.M. Comprehensive Ab Initio Study of Properties of Monovacancies and Antisites in 4H-SiC. J. Phys. Condens. Matter 2001, 13, 6203–6231. [Google Scholar] [CrossRef]
- Wiktor, J.; Jomard, G.; Bertolus, M. Electronic Structure Calculations of Positron Lifetimes in SiC: Self-Consistent Schemes and Relaxation Effect. Nucl. Instrum. Methods Phys. Res. Sect. B Beam Interact. Mater. Atoms 2014, 327, 63–67. [Google Scholar] [CrossRef]
- Yan, X.; Li, P.; Kang, L.; Wei, S.-H.; Huang, B. First-Principles Study of Electronic and Diffusion Properties of Intrinsic Defects in 4H-SiC. J. Appl. Phys. 2020, 127, 085702. [Google Scholar] [CrossRef]
- Bathen, M.E.; Coutinho, J.; Ayedh, H.M.; Hassan, J.U.; Farkas, I.; Öberg, S.; Frodason, Y.K.; Svensson, B.G.; Vines, L. Anisotropic and Plane-Selective Migration of the Carbon Vacancy in SiC: Theory and Experiment. Phys. Rev. B 2019, 100, 014103. [Google Scholar] [CrossRef]
- Kresse, G.; Hafner, J. Ab Initio Molecular Dynamics for Liquid Metals. Phys. Rev. B 1993, 47, 558–561. [Google Scholar] [CrossRef] [PubMed]
- Kresse, G.; Hafner, J. Ab Initio Molecular-Dynamics Simulation of the Liquid-Metal–Amorphous-Semiconductor Transition in Germanium. Phys. Rev. B 1994, 49, 14251–14269. [Google Scholar] [CrossRef] [PubMed]
- Kresse, G.; Furthmüller, J. Efficient Iterative Schemes for Ab Initio Total-Energy Calculations Using a Plane-Wave Basis Set. Phys. Rev. B 1996, 54, 11169–11186. [Google Scholar] [CrossRef]
- Kresse, G.; Furthmüller, J. Efficiency of Ab-Initio Total Energy Calculations for Metals and Semiconductors Using a Plane-Wave Basis Set. Comput. Mater. Sci. 1996, 6, 15–50. [Google Scholar] [CrossRef]
- Heyd, J.; Scuseria, G.E.; Ernzerhof, M. Hybrid Functionals Based on a Screened Coulomb Potential. J. Chem. Phys. 2003, 118, 8207–8215, Erratum in J. Chem. Phys. 2006, 124, 219906, doi:10.1063/1.2204597. [Google Scholar] [CrossRef]
- Blöchl, P.E. Projector Augmented-Wave Method. Phys. Rev. B 1994, 50, 17953–17979. [Google Scholar] [CrossRef] [PubMed]
- Perdew, J.P.; Burke, K.; Ernzerhof, M. Generalized Gradient Approximation Made Simple. Phys. Rev. Lett. 1996, 77, 3865–3868. [Google Scholar] [CrossRef] [PubMed]
- Gouveia, J.D.; Coutinho, J. Can We Rely on Hybrid-DFT Energies of Solid-State Problems with Local-DFT Geometries? Electron. Struct. 2019, 1, 015008. [Google Scholar] [CrossRef]
- Greenberg, E.; Natke, C.A.; Hubbard, W.N. The Enthalpy of Formation of Silicon Carbide by Fluorine Bomb Calorimetry. J. Chem. Thermodyn. 1970, 2, 193–201. [Google Scholar] [CrossRef]
- Freysoldt, C.; Neugebauer, J.; Van de Walle, C.G. Fully Ab Initio Finite-Size Corrections for Charged-Defect Supercell Calculations. Phys. Rev. Lett. 2009, 102, 016402. [Google Scholar] [CrossRef] [PubMed]
- Henkelman, G.; Uberuaga, B.P.; Jónsson, H. A Climbing Image Nudged Elastic Band Method for Finding Saddle Points and Minimum Energy Paths. J. Chem. Phys. 2000, 113, 9901–9904. [Google Scholar] [CrossRef]
- Mattausch, A. Ab Initio-Theory of Point Defects and Defect Complexes in SiC. Doctoral Thesis, Friedrich-Alexander-Universität (FAU), Erlangen-Nürnberg, Germany, 2005. [Google Scholar]
- Sze, S.M.; Ng, K.K. Physics of Semiconductor Devices; John Wiley & Sons, Inc.: Hoboken, NJ, USA, 2006; ISBN 978-0-470-06832-8. [Google Scholar]
- Konstantinov, A.O. Nature of the Point Defects Generated during the Diffusion of Acceptor Impurities in Silicon Carbide. Soviet Phys. Semicond. 1992, 26, 151. [Google Scholar]
- Harvey, J.N. Understanding the Kinetics of Spin-Forbidden Chemical Reactions. Phys. Chem. Chem. Phys. 2007, 9, 331–343. [Google Scholar] [CrossRef]
- Bockstedte, M.; Mattausch, A.; Pankratov, O. Ab Initio Study of the Migration of Intrinsic Defects in 3C-SiC. Phys. Rev. B 2003, 68, 205201. [Google Scholar] [CrossRef]
- Liao, T.; Roma, G.; Wang, J. First-Principles Study of Neutral Silicon Interstitials in 3C- and 4H-SiC. Philos. Mag. 2009, 89, 2271–2284. [Google Scholar] [CrossRef]
- Alfieri, G.; Kimoto, T. Minority Carrier Transient Spectroscopy of As-Grown, Electron Irradiated and Thermally Oxidized p-Type 4H-SiC. MSF 2014, 778–780, 269–272. [Google Scholar] [CrossRef]
- Linnarsson, M.K.; Janson, M.S.; Zhang, J.; Janzén, E.; Svensson, B.G. Self-Diffusion of 12C and 13C in Intrinsic 4H-SiC. J. Appl. Phys. 2004, 95, 8469–8471. [Google Scholar] [CrossRef]
- Rüschenschmidt, K.; Bracht, H.; Stolwijk, N.A.; Laube, M.; Pensl, G.; Brandes, G.R. Self-Diffusion in Isotopically Enriched Silicon Carbide and Its Correlation with Dopant Diffusion. J. Appl. Phys. 2004, 96, 1458–1463. [Google Scholar] [CrossRef]
- Hon, M.H.; Davis, R.F.; Newbury, D.E. Self-Diffusion of Si-30 in Polycrystalline Beta-SiC. J. Mater. Sci. 1980, 15, 2073–2080. [Google Scholar] [CrossRef]
- Hong, J.D.; Davis, R.F. Self-Diffusion of Carbon-14 in High-Purity and N-Doped Alpha-SiC Single Crystals. J. Am. Ceram. Soc. 1980, 63, 546–552. [Google Scholar] [CrossRef]
- Bathen, M.E.; Linnarsson, M.; Ghezellou, M.; Ul Hassan, J.; Vines, L. Influence of Carbon Cap on Self-Diffusion in Silicon Carbide. Crystals 2020, 10, 752. [Google Scholar] [CrossRef]
- Hornos, T.; Son, N.T.; Janzén, E.; Gali, A. Theoretical Study of Small Silicon Clusters in 4H-SiC. Phys. Rev. B 2007, 76, 165209. [Google Scholar] [CrossRef]





| Structure | ||||||
|---|---|---|---|---|---|---|
| 0.00 (1/2) | 0.00 (1) | 0.02 (3/2) | 0.73 (1) | |||
| 0.23 (1/2) | 0.24 (1) | 0.00 (3/2) | 0.67 (1) | |||
| CAV, | 1.12 (1/2) | 0.09 (1) | 0.12 (1/2) | 0.05 (0) | ||
| CAV, | 0.96 (1/2) | 0.00 (1) | 0.00 (1/2) | 0.00 (0) | ||
| CAV2, | 2.50 (0) | 2.08 (1/2) | 1.16 (0) | 1.63 (1/2) | 1.18 (0) | |
| CAV2, | 2.09 (0) | 1.72 (1/2) | 0.91 (0) | 1.50 (1/2) | 1.37 (0) |
| Structure | |||||
|---|---|---|---|---|---|
| 0.33 | 0.88 | 2.15 | |||
| 0.34 | 0.61 | 2.11 | |||
| CAV, | 0.41 | 1.04 | 1.95 | ||
| CAV, | 0.48 | 1.01 | 2.01 |
| Structure | |||||
|---|---|---|---|---|---|
| 0.32 * | 0.00 | 0.00 | 0.00 | 1.49 | |
| 2.54 | 1.34 | 1.51 | 0.21 | 0.00 | |
| A, | 0.00 | 0.07 | |||
| A, | 1.15 | 0.73 | 1.07 | ||
| B, | 0.37 | 0.61 | 2.43 | ||
| B, | 0.24 | 0.53 | 2.26 |
Publisher’s Note: MDPI stays neutral with regard to jurisdictional claims in published maps and institutional affiliations. |
© 2021 by the author. Licensee MDPI, Basel, Switzerland. This article is an open access article distributed under the terms and conditions of the Creative Commons Attribution (CC BY) license (http://creativecommons.org/licenses/by/4.0/).
Share and Cite
Coutinho, J. Theory of the Thermal Stability of Silicon Vacancies and Interstitials in 4H–SiC. Crystals 2021, 11, 167. https://doi.org/10.3390/cryst11020167
Coutinho J. Theory of the Thermal Stability of Silicon Vacancies and Interstitials in 4H–SiC. Crystals. 2021; 11(2):167. https://doi.org/10.3390/cryst11020167
Chicago/Turabian StyleCoutinho, José. 2021. "Theory of the Thermal Stability of Silicon Vacancies and Interstitials in 4H–SiC" Crystals 11, no. 2: 167. https://doi.org/10.3390/cryst11020167
APA StyleCoutinho, J. (2021). Theory of the Thermal Stability of Silicon Vacancies and Interstitials in 4H–SiC. Crystals, 11(2), 167. https://doi.org/10.3390/cryst11020167
