Effect of Slab Reheating Temperature on Cold Rolling Texture Evolution of Nb-Containing Grain-Oriented Silicon Steel
Abstract
:1. Introduction
2. Materials and Methods
3. Results and Discussion
3.1. Texture Evolution of Single-Stage Cold Rolling
3.2. Texture Evolution of Two-Stage Cold Rolling
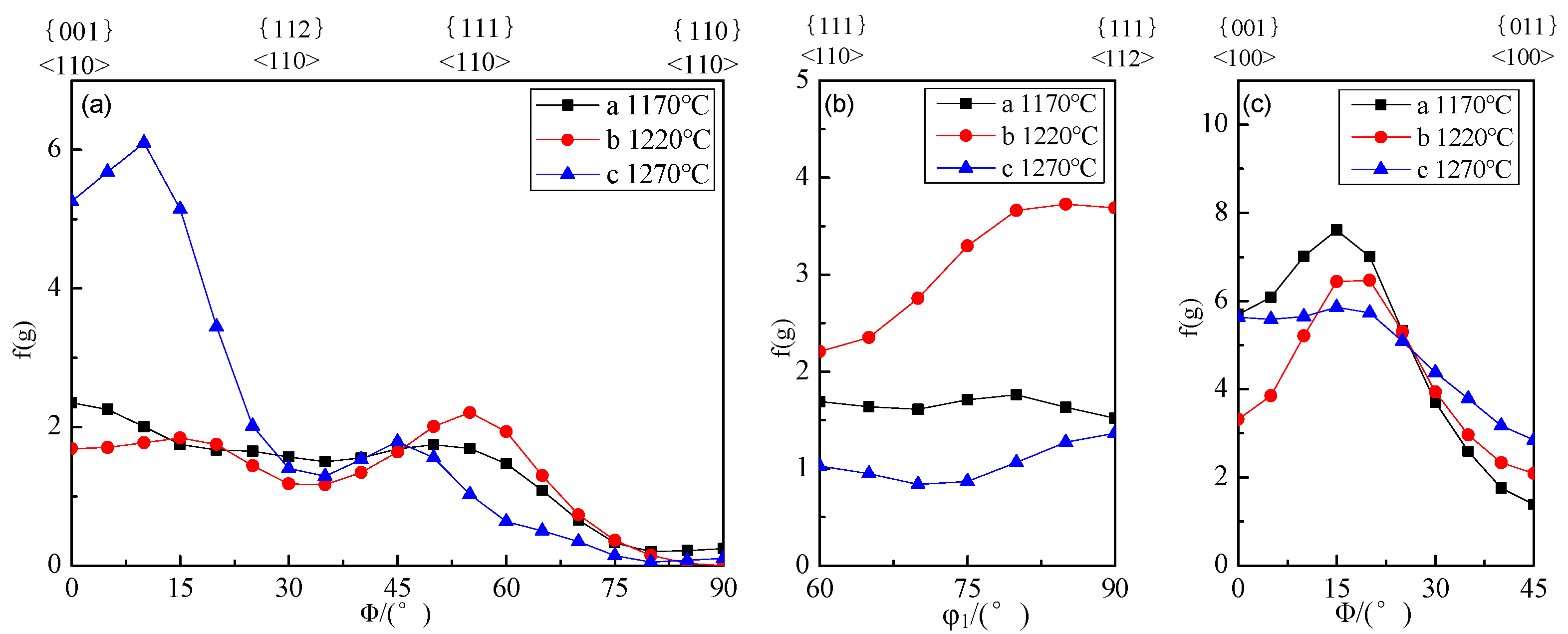
3.3. Analysis on the Texture of Single-Stage Cold Rolling with Different Slab Reheating Temperatures
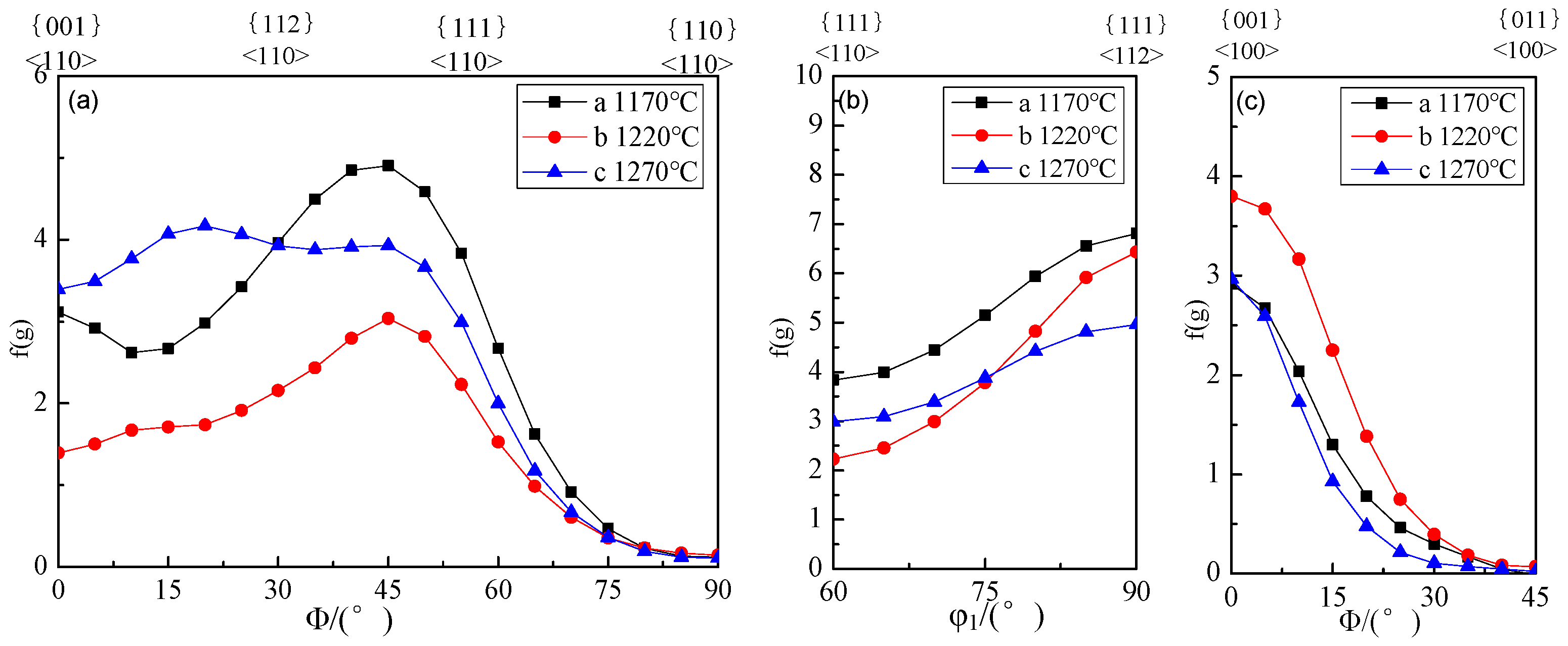
3.4. Analysis on the Texture of Two-Stage Cold Rolling with Different Slab Reheating Temperatures
3.5. Analysis of Texture and Magnetic Properties of the Final Product
4. Conclusions
- (1)
- During the single-stage cold-rolling process, as the slab reheating temperature reduces from 1270 °C to 1170 °C, the intensity of the rotating cube texture {100}<011> is reduced from 27.015 to 13.836, and that of the Goss texture reduces from 0.927 to 0.170. Conversely, the intensity of {111}<112> increases from 1.283 to 3.045.
- (2)
- During the two-stage cold rolling process, when the slab reheating temperature is 1220 °C, the rotating cube texture {100}<011> is the lowest. As the slab reheating temperature is reduced from 1270 °C to 1170 °C, the intensity of the {111}<112> texture increases, and the intensity values are 4.958, 6.444, and 6.809, respectively. Meanwhile, there is no obvious difference between the intensities of the Goss texture.
- (3)
- Two-stage cold rolling with a slab reheating temperature of 1220 °C is more beneficial for the formation of a sharp Goss texture during the second recrystallization. The magnetic induction intensity B800 of the final product is 1.87 T, and the iron loss P1.7/50 is 1.36 W/kg.
Author Contributions
Funding
Acknowledgments
Conflicts of Interest
References
- Hayakawa, Y.; Kurosawa, M. Orientation relationship between primary and secondary recrystallized texture in electrical steel. Acta Mater. 2002, 50, 4527–4534. [Google Scholar] [CrossRef]
- Hayakawa, Y.; Szpunar, J.A. The role of grain boundary character distribution in secondary recrystallization of electrical steels. Acta Mater. 1997, 45, 1285–1295. [Google Scholar] [CrossRef]
- Hayakawa, Y.; Szpunar, J.A. A new model of Goss texture development during secondary recrystallization of electrical steel. Acta Mater. 1997, 45, 4713–4720. [Google Scholar] [CrossRef]
- Heo, N.H. Effects of heating rate and hydrogen flow rate on magnetic induction and final grain texture of 3 pct silicon steel. Mater. Trans. A 2005, 36, 3251–3254. [Google Scholar] [CrossRef]
- Atake, M.; Barnett, M.; Hutchinson, B.; Ushioda, K. Warm deformation and annealing behavior of iron–silicon–(carbon) steel sheets. Acta Mater. 2015, 96, 410–419. [Google Scholar] [CrossRef]
- Imamura, T.; Shingaki, Y.; Hayakawa, Y. Effect of Cold Rolling Reduction Rate on Secondary Recrystallized Texture in 3 Pct Si-Fe Steel. Metall. Mater. Trans. A 2012, 44, 1785–1792. [Google Scholar] [CrossRef]
- Kubota, T.; Fujikura, M.; Ushigami, Y. Recent progress and future trend on grain-oriented silicon steel. J. Magn. Magn. Mater. 2000, 215, 69–73. [Google Scholar] [CrossRef]
- Matsuo, M. Texture Control in the Production of Grain Oriented Silicon Steels. ISIJ Int. 1989, 29, 809–827. [Google Scholar] [CrossRef] [Green Version]
- Sha, Y.H.; Sun, C.; Zhang, F.; Patel, D.; Chen, X.; Kalidindi, S.R.; Zuo, L. Strong cube recrystallization texture in silicon steel by twin-roll casting process. Acta Mater. 2014, 76, 106–117. [Google Scholar] [CrossRef]
- Kustas, A.B.; Sagapuram, D.; Trumble, K.P.; Chandrasekar, S. Texture Development in High-Silicon Iron Sheet Produced by Simple Shear Deformation. Metall. Mater. Trans. A 2016, 47, 3095–3108. [Google Scholar] [CrossRef]
- Pan, H.; Zhang, Z.; Xie, J. Preparation of High Silicon Electrical Steel Sheets with Strong {100} Recrystallization Texture by the Texture Inheritance of Initial Columnar Grains. Metall. Mater. Trans. A 2016, 47, 2277–2285. [Google Scholar] [CrossRef]
- Salih, M.Z.; Weidenfeller, B.; Al-Hamdany, N.; Brokmeier, H.G.; Gan, W.M. Magnetic properties and crystallographic textures of Fe 2.6% Si after 90% cold rolling plus different annealing. J. Magn. Magn. Mater. 2014, 354, 105–111. [Google Scholar] [CrossRef]
- Song, H.-Y.; Liu, H.-T.; Lu, H.-H.; An, L.-Z.; Zhang, B.-G.; Liu, W.-Q.; Cao, G.-M.; Cheng-Gang, L.; Liu, Z.-Y.; Wang, G.-D. Fabrication of grain-oriented silicon steel by a novel way: Strip casting process. Mater. Lett. 2014, 137, 475–478. [Google Scholar] [CrossRef]
- Guo, W.; Mao, W.-M.; Li, Y.; An, Z.G. Influence of intermediate annealing on final Goss texture formation in low temperature reheated Fe-3%Si steel. Mater. Sci. Eng. A 2011, 528, 931–934. [Google Scholar] [CrossRef]
- Liu, H.-T.; Yao, S.-J.; Sun, Y.; Gao, F.; Song, H.-Y.; Liu, G.-H.; Li, L.; Geng, D.-Q.; Liu, Z.-Y.; Wang, G.-D. Evolution of microstructure, texture and inhibitor along the processing route for grain-oriented electrical steels using strip casting. Mater. Charact. 2015, 106, 273–282. [Google Scholar] [CrossRef]
- Fang, F.; Lu, X.; Lan, M.; Zhang, Y.; Wang, Y.; Yuan, G.; Cao, G.; Xu, Y.; Misra, R.D.K.; Wang, G. Effect of rolling temperature on the microstructure, texture, and magnetic properties of strip-cast grain-oriented 3% Si steel. J. Mater. Sci. 2018, 53, 9217–9231. [Google Scholar] [CrossRef]
- Fang, F.; Xu, Y.-B.; Zhang, Y.-X.; Wang, Y.; Lu, X.; Misra, R.D.K.; Wang, G.-D. Evolution of recrystallization microstructure and texture during rapid annealing in strip-cast non-oriented electrical steels. J. Magn. Magn. Mater. 2015, 381, 433–439. [Google Scholar] [CrossRef]
- Fang, F.; Zhang, Y.; Lu, X.; Wang, Y.; Cao, G.; Yuan, G.; Xu, Y.; Wang, G.; Misra, R.D.K. Inhibitor induced secondary recrystallization in thin-gauge grain-oriented silicon steel with high permeability. Mater. Des. 2016, 105, 398–403. [Google Scholar] [CrossRef]
- Song, H.-Y.; Lu, H.-H.; Liu, H.-T.; Li, H.-Z.; Geng, D.-Q.; Misra, R.D.K.; Liu, Z.-Y.; Wang, G.-D. Microstructure and Texture of Strip Cast Grain-Oriented Silicon Steel after Symmetrical and Asymmetrical Hot Rolling. Steel Res. Int. 2014, 85, 1477–1482. [Google Scholar] [CrossRef]
- Kumano, T.; Ohata, Y.; Fujii, N.; Ushigami, Y.; Takeshita, T. Effect of nitriding on grain-oriented silicon steel bearing aluminum (the second study). J. Magn. Magn. Mater. 2006, 304, e602–e607. [Google Scholar] [CrossRef]
- Xia, Z.; Kang, Y.; Wang, Q. Developments in the production of grain-oriented electrical steel. J. Magn. Magn. Mater. 2008, 320, 3229–3233. [Google Scholar] [CrossRef]
- Feng, Y.; Guo, J.; Li, J.; Ning, J. Effect of Nb on solution and precipitation of inhibitors in grain-oriented silicon steel. J. Magn. Magn. Mater. 2017, 426, 89–94. [Google Scholar] [CrossRef]
- Inagaki, H. Fundamental Aspect of Texture Formation in Low Carbon Steel. ISIJ Int. 1994, 34, 313–321. [Google Scholar] [CrossRef] [Green Version]
- Kim, J.K.; Lee, D.N.; Koo, Y.M. The evolution of the Goss and Cube textures in electrical steel. Mater. Lett. 2014, 122, 110–113. [Google Scholar] [CrossRef]
- Yan, M.; Qian, H.; Yang, P.; Song, H.; Shao, Y.; Mao, W. Behaviors of Brass Texture and Its Influence on Goss Texture in Grain Oriented Electrical Steels. Acta Metall. Sin. 2012, 48, 16–22. [Google Scholar] [CrossRef]
- Yoshitomi, Y.; Ushigami, Y.; Harase, J.; Nakayama, T.; Masui, H.; Takahashi, N. Coincidence grain boundary and role of primary recrystallized grain growth on secondary recrystallization texture evolution in Fe 3% Si alloy. Acta Metall. Mater. 1994, 42, 2593–2602. [Google Scholar] [CrossRef]
- Shimizu, R.; Harase, J. Coincidence grain boundary and texture evolution in Fe-3% Si. Acta Metall. 1989, 37, 1241–1249. [Google Scholar] [CrossRef]
- Chang, S.K. Texture change from primary to secondary recrystallization by hot-band normalizing in grain-oriented silicon steels. Mater. Sci. Eng. A 2007, 452, 93–98. [Google Scholar] [CrossRef]










| Magnetic Properties | Secondary Cold Rolled Plate |
|---|---|
| B800/T | 1.87 |
| P1.7/50/W/kg | 1.36 |
Publisher’s Note: MDPI stays neutral with regard to jurisdictional claims in published maps and institutional affiliations. |
© 2021 by the authors. Licensee MDPI, Basel, Switzerland. This article is an open access article distributed under the terms and conditions of the Creative Commons Attribution (CC BY) license (https://creativecommons.org/licenses/by/4.0/).
Share and Cite
Wang, L.; Wang, S.; Li, J.; Liang, J.; Feng, Y. Effect of Slab Reheating Temperature on Cold Rolling Texture Evolution of Nb-Containing Grain-Oriented Silicon Steel. Crystals 2021, 11, 1478. https://doi.org/10.3390/cryst11121478
Wang L, Wang S, Li J, Liang J, Feng Y. Effect of Slab Reheating Temperature on Cold Rolling Texture Evolution of Nb-Containing Grain-Oriented Silicon Steel. Crystals. 2021; 11(12):1478. https://doi.org/10.3390/cryst11121478
Chicago/Turabian StyleWang, Liguang, Shuhuan Wang, Jie Li, Jinyu Liang, and Yunli Feng. 2021. "Effect of Slab Reheating Temperature on Cold Rolling Texture Evolution of Nb-Containing Grain-Oriented Silicon Steel" Crystals 11, no. 12: 1478. https://doi.org/10.3390/cryst11121478
APA StyleWang, L., Wang, S., Li, J., Liang, J., & Feng, Y. (2021). Effect of Slab Reheating Temperature on Cold Rolling Texture Evolution of Nb-Containing Grain-Oriented Silicon Steel. Crystals, 11(12), 1478. https://doi.org/10.3390/cryst11121478

