Dielectric Response of KTaO3 Single Crystals Weakly Co-Doped with Li and Mn
Abstract
:1. Introduction
2. Materials and Methods
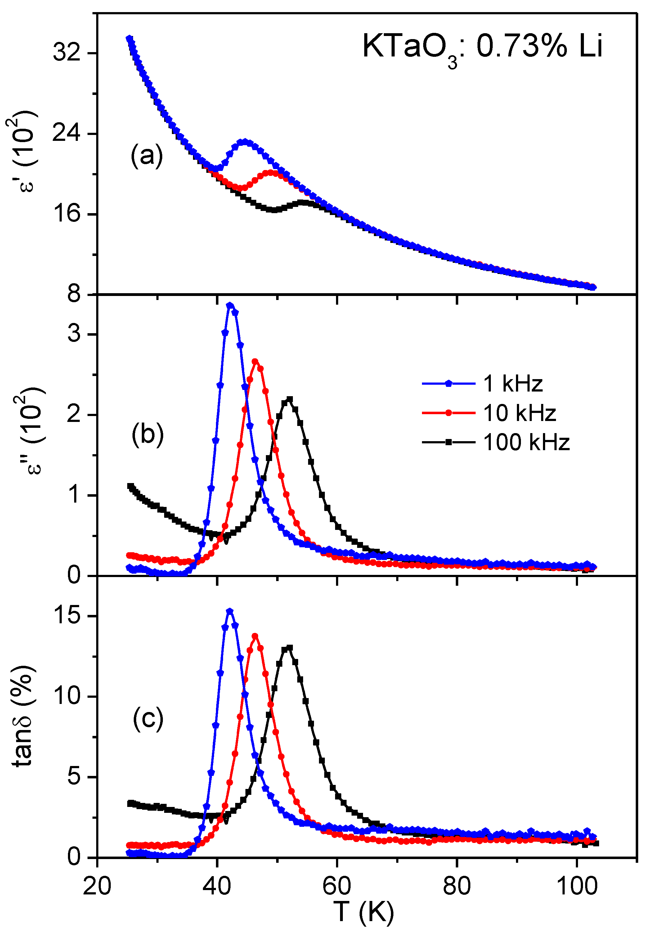
3. Results and Discussion
4. Conclusions
Author Contributions
Funding
Data Availability Statement
Conflicts of Interest
Appendix A

References
- Zlotnik, S.; Tkach, A.; Vilarinho, P.M. Functional tantalum based oxides: From the structure to the applications. In Advanced Ceramic Materials; Tiwari, A., Gerhardt, R.A., Szutkowska, M., Eds.; WILEY-Scrivener Publishing LLC: USA, 2016; pp. 337–383. [Google Scholar]
- Samara, G.A. The relaxational properties of compositionally disordered ABO3 perovskites. J. Phys. Condens. Matter 2003, 15, R367–R411. [Google Scholar] [CrossRef]
- Vugmeister, B.E.; Glinchuk, M.D. Dipole glass and ferroelectricity in random-site electric dipole systems. Rev. Mod. Phys. 1990, 62, 993–1026. [Google Scholar] [CrossRef]
- Geifman, I.N. Phase transitions in K1-xLixTaO3. Ferroelectrics 1992, 131, 207–212. [Google Scholar] [CrossRef]
- Trepakov, V.; Vikhnin, V.; Savinov, M.; Syrnikov, P.; Kapphan, S.; Lemanov, V.; Hesse, H.; Jastrabik, L. Dielectric permittivity and Fe-and Cu-doping effect in KTaO3 and K1-xLixTaO3. Ferroelectrics 1999, 235, 59–75. [Google Scholar] [CrossRef]
- Prosandeev, S.A.; Trepakov, V.A.; Savinov, M.E.; Kapphan, S.E. Coupling of Li+ relaxators to the soft mode in KTaO3:Li. J. Phys. Condens. Matter 2001, 13, 719–725. [Google Scholar] [CrossRef]
- Dec, J.; Miga, S.; Trybula, Z.; Kaszynska, K.; Kleemann, W. Dynamics of Li+ dipoles at very low concentration in quantum paraelectric potassium tantalite. J. Appl. Phys. 2010, 107, 094102. [Google Scholar] [CrossRef]
- Tkach, A.; Almeida, A.; Agostinho Moreira, J.; Espinha, A.; Chaves, M.R.; Perez de la Cruz, J.; Vilarinho, P.M. Lithium-induced dielectric relaxations in potassium tantalate ceramics. J. Phys. D Appl. Phys. 2011, 44, 315406. [Google Scholar] [CrossRef]
- Tkach, A.; Almeida, A.; Agostinho Moreira, J.; Chaves, M.R.; Espinha, A.; Vilarinho, P.M. Polar behaviour induced by lithium in potassium tantalate ceramics. J. Phys. Condens. Matter 2012, 24, 045906. [Google Scholar] [CrossRef]
- Trybula, Z.; Los, S.; Trybula, M.; Kaszynska, K.; Dec, J.; Miga, S.; Laguta, V.V. K0.9982Li0.0018TaO3 crystal under external DC electric field. Ferroelectrics 2012, 428, 36–42. [Google Scholar] [CrossRef]
- Nowick, A.S.; Fu, S.Q.; Lee, W.-K.; Lim, B.S.; Scherban, T. Dielectric relaxation of paired defects in perovskite-type oxides. Mater. Sci. Eng. B 1994, 23, 19–24. [Google Scholar] [CrossRef]
- Laguta, V.V.; Glinchuk, M.D.; Bykov, I.P.; Rosa, J.; Jastrabik, L.; Savinov, M.; Trybuła, Z. Paramagnetic dipole centers in KTaO3: Electron-spin-resonance and dielectric spectroscopy study. Phys. Rev. B 2000, 61, 3897–3904. [Google Scholar] [CrossRef]
- Venturini, E.L.; Samara, G.A.; Laguta, V.V.; Glinchuk, M.D.; Kondova, I.V. Dipolar centers in incipient ferroelectrics: Mn and Fe in KTaO3. Phys. Rev. B 2005, 71, 094111. [Google Scholar] [CrossRef]
- Shvartsman, V.V.; Bedanta, S.; Borisov, P.; Kleemann, W.; Tkach, A.; Vilarinho, P.M. Spin cluster glass and magnetoelectricity in Mn-doped KTaO3. J. Appl. Phys. 2010, 107, 103926. [Google Scholar] [CrossRef]
- Axelsson, A.-K.; Pan, Y.; Valant, M.; Vilarinho, P.M.; Alford, N.M. Polar fluctuations in Mn substituted KTaO3 ceramics. J. Appl. Phys. 2010, 108, 064109. [Google Scholar] [CrossRef]
- Tkach, A.; Almeida, A.; Levin, I.; Woicik, J.C.; Vilarinho, P.M. Dielectric relaxation, local structure and lattice dynamics in Mn-doped potassium tantalate ceramics. Materials 2021, 14, 4632. [Google Scholar] [CrossRef]
- Wakimoto, S.; Samara, G.A.; Grubbs, R.K.; Venturini, E.L.; Boatner, L.; Xu, A.G.; Shirane, G.; Lee, S.-H. Dielectric properties and lattice dynamics of Ca-doped K0.95Li0.05TaO3. Phys. Rev. B 2006, 74, 054101. [Google Scholar] [CrossRef] [Green Version]
- Trepakov, V.A.; Savinov, M.E.; Kapphan, S.E.; Giulotto, E.; Galinetto, P.; Camagni, P.; Samoggia, G.; Boatner, L.A. Dipole ordering effects and reentrant dipolar glass state in KTaO3:Li,Nb. Phys. Rev. B 2001, 63, 172203. [Google Scholar] [CrossRef]
- Zlotnik, S.; Vilarinho, P.M.; Costa, M.E.V.; Moreira, J.A.; Almeida, A. Growth of incipient ferroelectric KTaO3 single crystals by a modified self-flux solution method. Cryst. Growth Des. 2010, 10, 3397–3404. [Google Scholar] [CrossRef]
- Van Der Klink, J.J.; Rytz, D. Growth of K1-xLixTaO3 crystals by a slow-cooling method. J. Cryst. Growth 1982, 56, 673–676. [Google Scholar] [CrossRef]
- Fu, S.Q.; Lee, W.-K.; Nowick, A.S.; Boatner, L.A.; Abraham, M.M. Study of protons in acceptor-doped KTaO3 crystals by IR and EPR techniques. J. Solid State Chem. 1989, 83, 221–229. [Google Scholar] [CrossRef]
- Doussineau, P.; Farssi, Y.; Frénois, C.; Levelut, A.; McEnaney, K.; Toulouse, J.; Ziolkiewicz, S. Strophoidal Argand diagram and the distribution of relaxation times in K1-xLixTaO3. Phys. Rev. Lett. 1993, 70, 96–99. [Google Scholar] [CrossRef] [PubMed]
- Borsa, F.; Höchli, U.T.; Van Der Klink, J.J.; Rytz, D. Condensation of random-site electric dipoles: Li in KTaO3. Phys. Rev. Lett. 1980, 45, 1884–1887. [Google Scholar] [CrossRef]



| ICPS Results | Arrhenius Law | ||||
|---|---|---|---|---|---|
| Li content (%) | Mn Content (%) | Relaxation I | Relaxation II | ||
| τ0 (s) | U (meV) | τ0 (s) | U (meV) | ||
| 0.27(3) | 0.15(2) | 1.16(15) × 10−13 | 79.18(55) | 1.41(29) × 10−14 | 108.83(99) |
| 0.27(3) | 0.31(3) | 1.68(26) × 10−13 | 77.18(69) | 2.95(37) × 10−14 | 105.34(68) |
| Composition | Arrhenius Law | Ref. | |
|---|---|---|---|
| τ0 (fs) | U (meV) | ||
| KT: (0.01–0.1%) Mn | 20 | 105–110 | Nowick et al., 1994 [11] |
| KT: (0.01–0.3%) Mn | 5–20 | 104–110 | Laguta et al., 2000 [12] |
| KT: (0.01–0.3%) Mn | 83–200 | 93–98 | Venturini et al., 2005 [13] |
| KT: 1% Li | - | 55–79 | Doussineau et al., 1993 [22] |
| KT: 0.9% Li | 13 | 86 | Borsa et al., 1980 [23] |
| KT: 0.6% Li | 135 | 78 | Prosandeev et al., 2001 [6] |
| KT: 0.18% Li | - | 78 | Trybula et al., 2012 [10] |
| KT: 0.18% Li | 22–57 | 82–84 | Dec et al., 2005 [7] |
| KT: (0.1–1.0)% Li | 60–67 | 82–84 | Trepakov et al., 1999 [5] |
| KT: 0.1% Li + 0.02 wt.% Cu | 33 | 81 | |
| KT: 0.5% Li + 0.1 wt.% Fe | 45 | 84 | |
| KT: 0.6% Li + 0.03 wt.% Cu | 33 | 81 | |
| KT: 0.14% Li + 1.2% Nb | 30 | 89 | Trepakov et al., 2001 [18] |
| KT: 5% Li + 0.0015% Ca | 240 | 79 | Wakimoto et al., 2006 [17] |
Publisher’s Note: MDPI stays neutral with regard to jurisdictional claims in published maps and institutional affiliations. |
© 2021 by the authors. Licensee MDPI, Basel, Switzerland. This article is an open access article distributed under the terms and conditions of the Creative Commons Attribution (CC BY) license (https://creativecommons.org/licenses/by/4.0/).
Share and Cite
Tkach, A.; Zlotnik, S.; Vilarinho, P.M. Dielectric Response of KTaO3 Single Crystals Weakly Co-Doped with Li and Mn. Crystals 2021, 11, 1222. https://doi.org/10.3390/cryst11101222
Tkach A, Zlotnik S, Vilarinho PM. Dielectric Response of KTaO3 Single Crystals Weakly Co-Doped with Li and Mn. Crystals. 2021; 11(10):1222. https://doi.org/10.3390/cryst11101222
Chicago/Turabian StyleTkach, Alexander, Sebastian Zlotnik, and Paula M. Vilarinho. 2021. "Dielectric Response of KTaO3 Single Crystals Weakly Co-Doped with Li and Mn" Crystals 11, no. 10: 1222. https://doi.org/10.3390/cryst11101222
APA StyleTkach, A., Zlotnik, S., & Vilarinho, P. M. (2021). Dielectric Response of KTaO3 Single Crystals Weakly Co-Doped with Li and Mn. Crystals, 11(10), 1222. https://doi.org/10.3390/cryst11101222

