Simulation of Extended Wavelength Avalanche Photodiode with the Type-II Superlattice Absorption Layer
Abstract
:1. Introduction
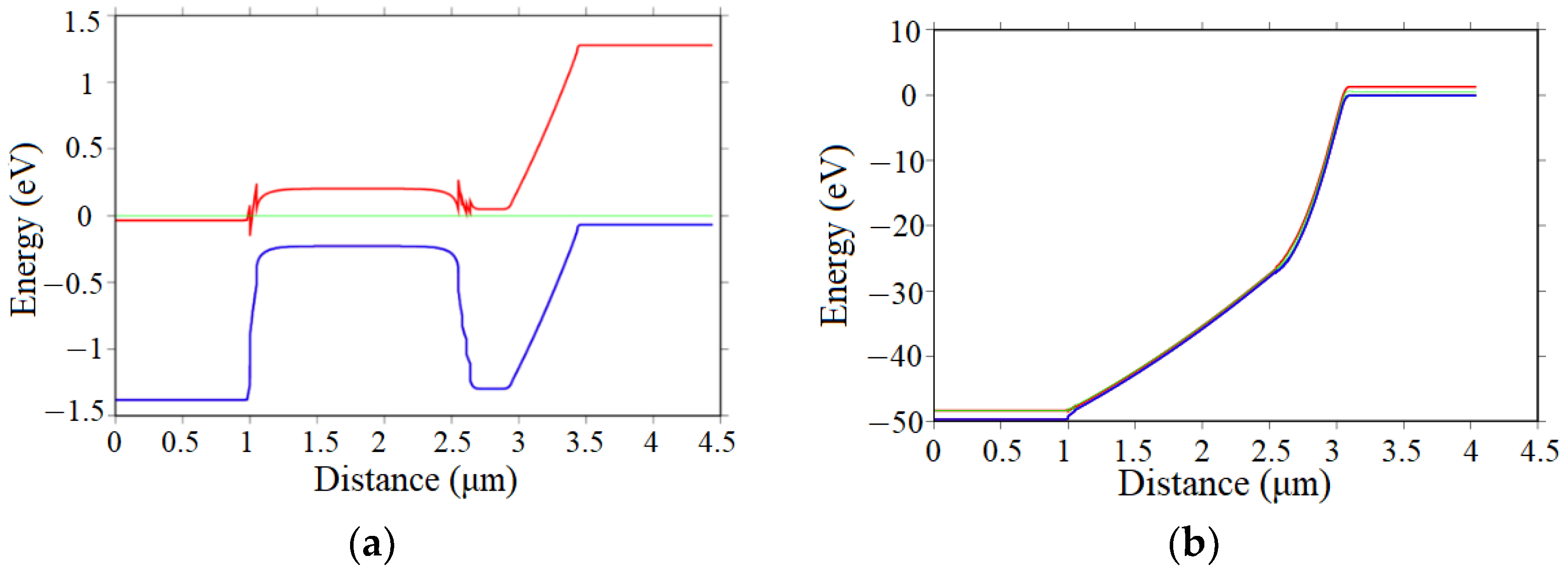
2. Layer Structure Design
3. Discussion
4. Temperature Dependence
5. Conclusions
Author Contributions
Funding
Acknowledgments
Conflicts of Interest
References
- Scholle, K.; Lamrini, S.; Koopmann, P.; Fuhrberg, P. 2 μm laser sources and their possible applications. In Frontiers in Guided Wave Optics and Optoelectronics; Pal, B., Ed.; IntechOpen: London, UK, 2010. [Google Scholar]
- Dries, J.C.; Gokhale, M.R.; Thomson, K.J.; Hull, S.R. Strain compensated In1−xGaxAs(x < 0.47) quantum well photodiodes for extended wavelength operation. Appl. Phys. Lett. 1998, 73, 2263–2265. [Google Scholar]
- Wada, M.; Hosomatsu, H. Wide wavelength and low dark current lattice-mismatched InGaAs/InAsP photodiodes grown by metalorganic vapor-phase epitaxy. Appl. Phys. Lett. 1994, 64, 1265–1267. [Google Scholar] [CrossRef]
- Miao, G.; Zhang, T.; Zhang, Z.; Jin, Y. Extended spectral response in In0.82Ga0.18As/InP photodetector using InP as a window layer grown by MOCVD. CrystEngComm 2013, 15, 8461–8464. [Google Scholar] [CrossRef]
- Easley, J.; Martin, C.R.; Ettenberg, M.H.; Phillips, J. InGaAs/GaAsSb type-II superlattices for short-wavelength infrared detection. J. Electron. Mater. 2019, 48, 6025–6029. [Google Scholar] [CrossRef]
- Olver, I. Defect Characterization of Molecular Beam Modular Epitaxially Grown HgCdTe Samples; Army Research Lab: Adelphi, MD, USA, 2009. [Google Scholar]
- Jones, A.H.; March, S.D.; Bank, S.R.; Campbell, J.C. Low-noise high-temperature AlInAsSb/GaSb avalanche photodiodes for 2-μm applications. Nat. Photonics 2020, 14, 559–563. [Google Scholar] [CrossRef]
- Sai-Halasz, G.A.; Tsu, R.; Esaki, L. A new semiconductor superlattice. Appl. Phys. Lett. 1977, 30, 651–653. [Google Scholar] [CrossRef]
- Razeghi, M. Focal Plane Arrays in Type II-Superlattices. U.S. Patent 6864552B2, 3 August 2005. [Google Scholar]
- Nguyen, B.M.; Chen, G.; Hoang, M.A.; Razeghi, M. Growth and characterization of long-wavelength infrared type-II superlattice photodiodes on a 3-in GaSb wafer. IEEE J. Quantum Electron. 2011, 47, 686–690. [Google Scholar] [CrossRef]
- Hoang, A.M.; Dehzangi, A.; Adhikary, S.; Razeghi, M. High performance bias-selectable three-color Short-wave/Mid-wave/Long-wave Infrared Photodetectors based on Type-II InAs/GaSb/AlSb superlattices. Sci. Rep. 2016, 6, 24144. [Google Scholar] [CrossRef] [PubMed] [Green Version]
- Haddadi, A.; Chen, G.; Chevallier, R.; Hoang, A.M.; Razeghi, M. InAs/ InAs1 − xSbx type-II superlattices for high performance long wavelength infrared detection. Appl. Phys. Lett. 2014, 105, 121104. [Google Scholar] [CrossRef]
- Goh, Y.L.; Ong, D.S.G.; Zhang, S.; Ng, G.S.; Tan, C.H.; David, J.P.R. Type-II photodiode and APD for detection in the 2–2.5 μm wavelength range. In Proceedings of the 22nd Annually Meeting of the IEEE Lasers and Electro-Optics Society Meeting Conference, Belek-Antalya, Turkey, 4–8 October 2009. [Google Scholar]
- Ong, D.S.G.; Ng, J.S.; Goh, Y.L.; Tan, C.H.; Zhang, S.Z.; David, J.P.R. InAlAs Avalanche Photodiode With Type-II Superlattice Absorption for Detection Beyond 2 μm. Electron Devices. IEEE Trans. Electron Devices 2011, 58, 486–489. [Google Scholar] [CrossRef]
- Haddadi, A.; Suo, X.V.; Adhikary, S.; Dianat, P.; Chevallier, R.; Hoang, A.M.; Razeghi, M. High-performance short-wavelength infrared photodetectors based on type-II InAs/InAs1−xSbx/AlAs1−xSbx superlattices. Appl. Phys. Lett. 2015, 107, 141104. [Google Scholar] [CrossRef]
- Wei, Y.; Bae, J.; Gin, A.; Hood, A.; Razeghi, M. High quality type II InAs/GaSb superlattices with cutoff wavelength ∼3.7 μm using interface engineering. J. Appl. Phys. 2003, 94, 4720–4722. [Google Scholar] [CrossRef]
- Wei, Y.; Gin, A.; Razeghi, M. Type II InAs/GaSb superlattice photovoltaic detectors with cutoff wavelength approaching 32 μm. Appl. Phys. Lett. 2002, 81, 3675–3677. [Google Scholar] [CrossRef]
- Hoang, A.M.; Chen, G.; Haddadi, A.; Abdollahi Pour, S.; Razeghi, M. Demonstration of shortwavelength infrared photodiodes based on type-II InAs/GaSb/AlSb superlattices. Appl. Phys. Lett. 2012, 100, 211101. [Google Scholar] [CrossRef]
- Liu, C.; Zhu, H.; Yang, X.; Zeng, H.; Wang, J.; Shi, Y. Dark current simulation of InAs/GaSb ii type super-lattice nBn detectors with equivalent material method. In AOPC 2019: Optical Sensing and Imaging Technology; SPIE: Beijing, China, 2019. [Google Scholar]
- Wang, J.; Zhu, H.X.; Zeng, H.; Yang, X.Y.; Liu, C.; Shi, Y.-L. The study of the electric field in nBn InAsSb/AlAsSb medium wavelength infared detectors. In AOPC 2019: Optical Sensing and Imaging Technology; SPIE: Beijing, China, 2019. [Google Scholar]
- Wang, K. Band Anti-Cross Effects of Gallium/Indium Semiconductor Alloy. Master’s Thesis, Beijing University of Posts and Telecommunications, Beijing, China, June 2019. [Google Scholar]
- Ma, J. Design of Single Photon Avalanche Diodes. Ph.D. Thesis, University of Science and Technology of China, Hefei, China, June 2014. [Google Scholar]
- Ma, C.F.; Deen, M.J.; Tarof, L.E.; Yu, J.C. Temperature dependence of breakdown voltages in separate absorption, grading, charge, and multiplication InP/InGaAs avalanche photodiodes. IEEE Trans. Electron Devices 1995, 42, 810–818. [Google Scholar] [CrossRef]
- He, J. Analyses on Dark Current Components of Infrared Avalanche Photodiode and Mechanism Research. Master’s Thesis, University of Chinese Academy of Sciences, Beijing, China, April 2017. [Google Scholar]
- Jones, A.H.; March, S.D.; Bank, S.R.; Campbell, J. CAlxIn1−xAsySb1−y separate absorption, charge, and multiplication avalanche photodiodes for 2-μm detection. In IEEE Photonics Conference (IPC); IEEE: San Antonio, TX, USA, 2019. [Google Scholar]
- Dumas, A.; Rothman, J.; Gibert, F.; Lasfargues, G.; Zanatta, J.P.; Edouart, D. Performances of a HGCDTE APD based detector with electric cooling for 2-μm DIAL/IPDA applications. In Proceedings of the 27th International Laser Radar Conference, New York, NY, USA, 7 June 2016. [Google Scholar]












| Parameters | Value | Units |
|---|---|---|
| Absorption layer thickness | 1.5, 2, 2.5, 3 | μm |
| Multiplication layer thickness | 0.1, 0.2, 0.3, 0.4, 0.5, 0.6 | μm |
| Doping concentration of grading layer | 7 × 1022, 8 × 1022, 9 × 1022, 1 × 1023 | m−3 |
| Temperature | 240, 270, 300 | K |
Publisher’s Note: MDPI stays neutral with regard to jurisdictional claims in published maps and institutional affiliations. |
© 2021 by the authors. Licensee MDPI, Basel, Switzerland. This article is an open access article distributed under the terms and conditions of the Creative Commons Attribution (CC BY) license (https://creativecommons.org/licenses/by/4.0/).
Share and Cite
Zhao, W.-L.; Wang, W.; Liu, C.; Hou, Z.-P.; Ye, H.-F.; Huang, R.-Y.; Li, Z.-B.; Zhang, J.-X.; Yang, X.-Y.; Zhu, H.-X.; et al. Simulation of Extended Wavelength Avalanche Photodiode with the Type-II Superlattice Absorption Layer. Crystals 2021, 11, 1210. https://doi.org/10.3390/cryst11101210
Zhao W-L, Wang W, Liu C, Hou Z-P, Ye H-F, Huang R-Y, Li Z-B, Zhang J-X, Yang X-Y, Zhu H-X, et al. Simulation of Extended Wavelength Avalanche Photodiode with the Type-II Superlattice Absorption Layer. Crystals. 2021; 11(10):1210. https://doi.org/10.3390/cryst11101210
Chicago/Turabian StyleZhao, Wei-Lin, Wei Wang, Chen Liu, Ze-Peng Hou, Hai-Feng Ye, Run-Yu Huang, Zai-Bo Li, Jia-Xin Zhang, Xue-Yan Yang, Hong-Xia Zhu, and et al. 2021. "Simulation of Extended Wavelength Avalanche Photodiode with the Type-II Superlattice Absorption Layer" Crystals 11, no. 10: 1210. https://doi.org/10.3390/cryst11101210
APA StyleZhao, W.-L., Wang, W., Liu, C., Hou, Z.-P., Ye, H.-F., Huang, R.-Y., Li, Z.-B., Zhang, J.-X., Yang, X.-Y., Zhu, H.-X., & Shi, Y.-L. (2021). Simulation of Extended Wavelength Avalanche Photodiode with the Type-II Superlattice Absorption Layer. Crystals, 11(10), 1210. https://doi.org/10.3390/cryst11101210

