Grating Coupler Design for Vertical Light Coupling in Silicon Thin Films on Lithium Niobate
Abstract
1. Introduction
2. Device Design and Methods
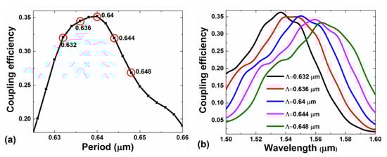
3. Results and Discussion
4. Conclusions
Author Contributions
Funding
Conflicts of Interest
References
- Witzens, J.; Baehr-Jones, T.; Hochberg, M. Silicon photonics: On-chip OPOs. Nat. Photonics 2010, 4, 10–12. [Google Scholar] [CrossRef]
- Weis, R.S.; Gaylord, T.K. Lithium niobate: Summary of physical properties and crystal structure. Appl. Phys. A 1985, 37, 191–203. [Google Scholar] [CrossRef]
- Lawrence, M. Lithium niobate integrated optics. Rep. Prog. Phys. 1993, 56, 363–429. [Google Scholar] [CrossRef]
- Syms, R.R.A. Advances in channel waveguide lithium niobate integrated optics. Opt. Quant. Electron. 1988, 20, 189–213. [Google Scholar] [CrossRef]
- Rao, A.; Fathpour, S. Compact lithium niobate electrooptic modulators. IEEE J. Sel. Top. Quantum Electron. 2018, 24, 340014. [Google Scholar] [CrossRef]
- Rao, A.; Fathpour, S. Heterogeneous thin-film lithium niobate integrated photonics for electrooptics and nonlinear optics. IEEE J. Sel. Top. Quantum Electron. 2018, 24, 8200912. [Google Scholar] [CrossRef]
- Chiles, J.; Fathpour, S. Mid-infrared integrated waveguide modulators based on silicon-on-lithium-niobate photonics. Optica 2014, 1, 350–355. [Google Scholar] [CrossRef]
- Cao, L.; Aboketaf, A.; Wang, Z.; Preble, S. Hybrid amorphous silicon (a-Si:H)–LiNbO3 electro-optic modulator. Opt. Commun. 2014, 330, 40–44. [Google Scholar] [CrossRef]
- Witmer, J.D.; Hill, J.T.; Safavi-Naeini, A.H. Design of nanobeam photonic crystal resonators for a silicon-on-lithium-niobate platform. Opt. Express 2016, 24, 5876. [Google Scholar] [CrossRef]
- Witmer, J.D.; Valery, J.A.; Arrangoiz-Arriola, P.; Sarabalis, C.J.; Hill, J.T.; Safavi-Naeini, A.H. High-Q photonic resonators and electro-optic coupling using silicon-on-lithium-niobate. Sci. Rep. 2016, 7, 46313. [Google Scholar] [CrossRef]
- Han, H.; Xiang, B. Simulation and analysis of electro-optic tunable microring resonators in silicon thin film on lithium niobate. Sci. Rep. 2019, 9, 6302. [Google Scholar] [CrossRef] [PubMed]
- Schmid, B.; Petrov, A.; Eich, M. Optimized grating coupler with fully etched slots. Opt. Express 2009, 17, 11066–11076. [Google Scholar] [PubMed]
- Laere, F.V.; Roelkens, G.; Ayre, M.; Schrauwen, J.; Taillaert, D.; Thourhout, D.V.; Krauss, T.F.; Baets, R. Compact and highly efficient grating couplers between optical fiber and nanophotonic waveguides. J. Lightw. Technol. 2007, 25, 151–156. [Google Scholar] [CrossRef]
- Roelkens, G.; Vermeulen, D.; Thourhout, D.V.; Baets, R.; Brision, S.; Lyan, P.; Gautier, P.; Fédéli, J.M. High efficiency diffractive grating couplers for interfacing a single mode optical fiber with a nanophotonic silicon-on-insulator waveguide circuit. Appl. Phys. Lett. 2008, 92, 131101. [Google Scholar] [CrossRef]
- Chen, Z.; Wang, Y.; Jiang, Y.; Kong, R.; Hu, H. Grating coupler on single-crystal lithium niobate thin film. Opt. Mater. 2017, 72, 136–139. [Google Scholar] [CrossRef]
- Cai, L.; Piazza, G. Low-loss chirped grating for vertical light coupling in lithium niobate on insulator. J. Opt. 2019, 21, 065801. [Google Scholar] [CrossRef]
- Nisar, M.S.; Zhao, X.; Pan, A.; Yuan, S.; Xia, J. Grating coupler for an on-chip lithium niobate ridge waveguide. IEEE Photonics J. 2017, 9, 1–8. [Google Scholar] [CrossRef]
- Tavlove, A.; Hagness, S.C. Computational Electrodynamics: The Finite-Difference Time-Domain Method, 3rd ed.; Artech House: Norwood, MA, USA, 2005. [Google Scholar]
- Matthew, S.; Shi, R.; Novack, A.; Cher, R.T.P.; Lim, A.E.-J.; Lo, P.G.-Q.; Baehr-Jones, T.; Hochberg, M. A compact bi-wavelength polarization splitting grating coupler fabricated in a 220 nm SOI platform. Opt. Express 2013, 21, 31019–31028. [Google Scholar]
- Wang, Y.; Gao, S.; Wang, K.; Li, H.; Skafidas, E. Ultra-broadband, compact, and high-reflectivity circular Bragg grating mirror based on 220 nm silicon-on-insulator platform. Opt. Express 2017, 25, 6653–6663. [Google Scholar] [CrossRef]
- Vivien, L.; Pascal, D.; Lardenois, S.; Marris-Morini, D.; Cassan, E.; Grillot, F.; Laval, S.; Fédéli, J.-M.; Melhaoui, L.M. Light injection in SOI microwaveguides using high-efficiency grating couplers. J. Lightw. Technol. 2006, 24, 3810–3814. [Google Scholar] [CrossRef]
- Berenger, J.P. A perfectly matched layer for absorption of electromagnetic wave. J. Comput. Phys. 1994, 114, 185–200. [Google Scholar] [CrossRef]
- Suhara, T.; Nishihara, H. Integrated optics components and devices using periodic structures. IEEE J. Quantum Electron. 1986, 22, 845–867. [Google Scholar] [CrossRef]
- Emmons, R.M.; Hall, D.G. Buried-oxide silicon-on-insulator structures. II. Waveguide grating couplers. IEEE J. Quantum Electron. 1992, 28, 164–175. [Google Scholar] [CrossRef]








| T (μm) | Lx (μm) | Ly (μm) | θ (°) | Λ (μm) | DC |
|---|---|---|---|---|---|
| 2.1 | 3.5 | 0 | 8 | 0.64 | 0.829 |
© 2020 by the authors. Licensee MDPI, Basel, Switzerland. This article is an open access article distributed under the terms and conditions of the Creative Commons Attribution (CC BY) license (http://creativecommons.org/licenses/by/4.0/).
Share and Cite
Han, H.; Xiang, B. Grating Coupler Design for Vertical Light Coupling in Silicon Thin Films on Lithium Niobate. Crystals 2020, 10, 850. https://doi.org/10.3390/cryst10090850
Han H, Xiang B. Grating Coupler Design for Vertical Light Coupling in Silicon Thin Films on Lithium Niobate. Crystals. 2020; 10(9):850. https://doi.org/10.3390/cryst10090850
Chicago/Turabian StyleHan, Huangpu, and Bingxi Xiang. 2020. "Grating Coupler Design for Vertical Light Coupling in Silicon Thin Films on Lithium Niobate" Crystals 10, no. 9: 850. https://doi.org/10.3390/cryst10090850
APA StyleHan, H., & Xiang, B. (2020). Grating Coupler Design for Vertical Light Coupling in Silicon Thin Films on Lithium Niobate. Crystals, 10(9), 850. https://doi.org/10.3390/cryst10090850

