Engineering Aspheric Liquid Crystal Lenses by Using the Transmission Electrode Technique
Abstract
1. Introduction
2. Analytical Study of the Transmission Electrode Technique
2.1. Voltage Distribution
2.2. Rectangular Electrode
2.3. Pyramid-Shaped Electrode
2.4. Parabola-Shaped Electrode
3. Results
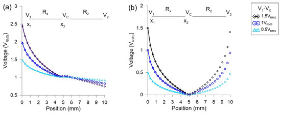
3.1. Rectangular Electrode
3.2. Pyramid-Shaped Electrode
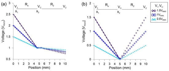
3.3. Parabola-Shaped Electrode
3.4. Parametric Optimization to Different Aspheric Phase Profiles
3.5. Tunability of the Optimized Designs
4. Conclusions
Author Contributions
Funding
Conflicts of Interest
References
- Zhou, G.; Yu, H.; Chau, F.S. Microelectromechanically-driven miniature adaptive Alvarez lens. Opt. Express 2013, 21, 1226. [Google Scholar] [CrossRef]
- Bawart, M.; Jesacher, A.; Zelger, P.; Bernet, S.; Ritsch-Marte, M. Modified Alvarez lens for high-speed focusing. Opt. Express 2017, 25, 29847. [Google Scholar] [CrossRef]
- Zhang, D.Y.; Lien, V.; Berdichevsky, Y.; Choi, J.; Lo, Y.H. Fluidic adaptive lens with high focal length tunability. Appl. Phys. Lett. 2003, 82, 3171–3172. [Google Scholar] [CrossRef]
- Ren, H.; Fox, D.; Anderson, P.A.; Wu, B.; Wu, S.T. Tunable-focus liquid lens controlled using a servo motor. Opt. Express 2006, 14, 8031. [Google Scholar] [CrossRef]
- Sugiura, N.; Morita, S. Variable-focus liquid-filled optical lens. Appl. Opt. 1993, 32, 4181. [Google Scholar] [CrossRef]
- Ren, H.; Wu, S.T. Variable-focus liquid lens by changing aperture. Appl. Phys. Lett. 2005, 86, 211107. [Google Scholar] [CrossRef]
- Xiao, W.; Hardt, S. An adaptive liquid microlens driven by a ferrofluidic transducer. J. Micromech. Microeng. 2010, 20, 055032. [Google Scholar] [CrossRef]
- Cheng, H.C.; Xu, S.; Liu, Y.; Levi, S.; Wu, S.T. Adaptive mechanical-wetting lens actuated by ferrofluids. Opt. Commun. 2011, 284, 2118–2121. [Google Scholar] [CrossRef]
- Malouin, B.A., Jr.; Vogel, M.J.; Olles, J.D.; Cheng, L.; Hirsa, A.H. Electromagnetic liquid pistons for capillarity-based pumping. Lab Chip 2011, 11, 393–397. [Google Scholar] [CrossRef]
- Ren, H.; Wu, S.T. Adaptive Lenses Based on Soft Electroactive Materials. Appl. Sci. 2018, 8, 1085. [Google Scholar] [CrossRef]
- Cheng, C.C.; Yeh, J.A. Dielectrically actuated liquid lens. Opt. Express 2007, 15, 7140. [Google Scholar] [CrossRef]
- Kim, Y.; Francl, J.; Taheri, B.; West, J.L. A method for the formation of polymer walls in liquid crystal/polymer mixtures. Appl. Phys. Lett. 1998, 72, 2253–2255. [Google Scholar] [CrossRef]
- Sato, S. Liquid-Crystal Lens-Cells with Variable Focal Length. Jpn. J. Appl. Phys. 1979, 18, 1679–1684. [Google Scholar] [CrossRef]
- Berreman, D.W. Variable-Focus Liquid Crystal Lens System. U.S. Patent 4,190,330, 26 February 1980. [Google Scholar]
- Hasan, N.; Banerjee, A.; Kim, H.; Mastrangelo, C.H. Tunable-focus lens for adaptive eyeglasses. Opt. Express 2017, 25, 1221–1233. [Google Scholar] [CrossRef]
- Milton, H.E.; Morgan, P.B.; Clamp, J.H.; Gleeson, H.F. Electronic liquid crystal contact lenses for the correction of presbyopia. Opt. Express 2014, 22, 8035–8040. [Google Scholar] [CrossRef]
- Algorri, J.F.; Bennis, N.; Urruchi, V.; Morawiak, P.; Sánchez-Pena, J.M.; Jaroszewicz, L.R. Tunable liquid crystal multifocal microlens array. Sci. Rep. 2017, 7, 17318. [Google Scholar] [CrossRef]
- Chen, M.; He, W.; Wei, D.; Hu, C.; Shi, J.; Zhang, X.; Wang, H.; Xie, C. Depth-of-Field-Extended Plenoptic Camera Based on Tunable Multi-Focus Liquid-Crystal Microlens Array. Sensors 2020, 20, 4142. [Google Scholar] [CrossRef]
- Algorri, J.F.; Urruchi, V.; Bennis, N.; Morawiak, P.; Sánchez-Pena, J.M.; Otón, J.M. Liquid crystal spherical microlens array with high fill factor and optical power. Opt. Express 2017, 25, 605–614. [Google Scholar] [CrossRef]
- Algorri, J.F.; Bennis, N.; Herman, J.; Kula, P.; Urruchi, V.; Sánchez-Pena, J.M. Low aberration and fast switching microlenses based on a novel liquid crystal mixture. Opt. Express 2017, 25, 14795–14808. [Google Scholar] [CrossRef]
- Valley, P.; Dodge, M.R.; Schwiegerling, J.; Peyman, G.; Peyghambarian, N. Nonmechanical bifocal zoom telescope. Opt. Lett. 2010, 35, 2582–2584. [Google Scholar] [CrossRef]
- Oton, E.; Carrasco, A.; Vergaz, R.; Oton, J.M.; Sanchez-Pena, J.M.; Quintana, X.; Geday, M. 2D tunable beam steering - lens device based on high birefringence liquid crystals. In Proceedings of the 2011 International Conference on Space Optical Systems and Applications (ICSOS), Santa Monica, CA, USA, 11–13 May 2011. [Google Scholar] [CrossRef]
- Oton, E.; Morawiak, P.; Mazur, R.; Quintana, X.; Geday, M.A.; Oton, J.M.; Piecek, W. Diffractive and Refractive Liquid Crystal Devices Based on Multilayer Matrices. J. Light. Technol. 2019, 37, 2086–2093. [Google Scholar] [CrossRef]
- Zografopoulos, D.C.; Kriezis, E.E. Switchable beam steering with zenithal bistable liquid-crystal blazed gratings. Opt. Lett. 2014, 39, 5842–5845. [Google Scholar] [CrossRef]
- Zola, R.S.; Bisoyi, H.K.; Wang, H.; Urbas, A.M.; Bunning, T.J.; Li, Q. Dynamic Control of Light Direction Enabled by Stimuli-Responsive Liquid Crystal Gratings. Adv. Mater. 2018, 31, 1806172. [Google Scholar] [CrossRef]
- Algorri, J.F.; Urruchi, V.; Bennis, N.; Sánchez-Pena, J.M.; Otón, J.M. Tunable liquid crystal cylindrical micro-optical array for aberration compensation. Opt. Express 2015, 23, 13899. [Google Scholar] [CrossRef]
- Kotova, S.P.; Patlan, V.V.; Samagin, S.A.; Zayakin, O.A. Wavefront formation using modal liquid-crystal correctors. Phys. Wave Phenom. 2010, 18, 96–104. [Google Scholar] [CrossRef]
- Davies, R.; Kasper, M. Adaptive Optics for Astronomy. Ann. Rev. Astron. Astr. 2012, 50, 305–351. [Google Scholar] [CrossRef]
- Kao, Y.Y.; Huang, Y.P.; Yang, K.X.; Chao, P.C.P.; Tsai, C.C.; Mo, C.N. 11.1: An Auto-Stereoscopic 3D Display Using Tunable Liquid Crystal Lens Array That Mimics Effects of GRIN Lenticular Lens Array. SID Symp. Dig. Tech. Pap. 2009, 40, 111–115. [Google Scholar] [CrossRef]
- Algorri, J.F.; del Pozo, V.U.; Sanchez-Pena, J.M.; Oton, J.M. An Autostereoscopic Device for Mobile Applications Based on a Liquid Crystal Microlens Array and an OLED Display. J. Disp. Technol. 2014, 10, 713–720. [Google Scholar] [CrossRef]
- Algorri, J.F.; Urruchi, V.; Bennis, N.; Sanchez-Pena, J.M.; Oton, J.M. Cylindrical Liquid Crystal Microlens Array with Rotary Optical Power and Tunable Focal Length. IEEE Electron Device Lett. 2015, 36, 582–584. [Google Scholar] [CrossRef]
- Algorri, J.F.; Urruchi, V.; Bennis, N.; Morawiak, P.; Sanchez-Pena, J.M.; Oton, J.M. Integral Imaging Capture System with Tunable Field of View Based on Liquid Crystal Microlenses. IEEE Photonics Technol. Lett. 2016, 28, 1854–1857. [Google Scholar] [CrossRef]
- Pinzon, P.J.; Vazquez, C.; Perez, I.; Sanchez-Pena, J.M. Synthesis of Asymmetric Flat-Top Birefringent Interleaver Based on Digital Filter Design and Genetic Algorithm. IEEE Photonics J. 2013, 5, 7100113. [Google Scholar] [CrossRef]
- Kato, A.; Nakatsuhara, K.; Hayama, Y. Switching Operation in Tunable Add-Drop Multiplexer with Si-Grating Waveguides Featuring Ferroelectric Liquid Crystal Cladding. J. Lightwave Technol. 2014, 32, 4464–4470. [Google Scholar] [CrossRef]
- Algorri, J.F.; Urruchi, V.; Bennis, N.; Sánchez-Pena, J.M. Modal liquid crystal microaxicon array. Opt. Lett. 2014, 39, 3476–3479. [Google Scholar] [CrossRef]
- Algorri, J.F.; Love, G.D.; Urruchi, V. Modal liquid crystal array of optical elements. Opt. Express 2013, 21, 24809–24818. [Google Scholar] [CrossRef]
- Algorri, J.; Urruchi, V.; García-Cámara, B.; Sánchez-Pena, J. Liquid Crystal Lensacons, Logarithmic and Linear Axicons. Materials 2014, 7, 2593–2604. [Google Scholar] [CrossRef]
- Albero, J.; Garcia-Martinez, P.; Bennis, N.; Oton, E.; Cerrolaza, B.; Moreno, I.; Davis, J.A. Liquid Crystal Devices for the Reconfigurable Generation of Optical Vortices. J. Lightwave Technol. 2012, 30, 3055–3060. [Google Scholar] [CrossRef]
- Algorri, J.F.; Urruchi, V.; Garcia-Camara, B.; Sanchez-Pena, J.M. Generation of Optical Vortices by an Ideal Liquid Crystal Spiral Phase Plate. IEEE Electron Device Lett. 2014, 35, 856–858. [Google Scholar] [CrossRef]
- Caño-García, M.; Quintana, X.; Otón, J.M.; Geday, M.A. Dynamic multilevel spiral phase plate generator. Sci. Rep. 2018, 8, 15804. [Google Scholar] [CrossRef]
- Kotova, S.P.; Mayorova, A.M.; Samagin, S.A. Formation of ring-shaped light fields with orbital angular momentum using a modal type liquid crystal spatial modulator. J. Opt. 2018, 20, 055604. [Google Scholar] [CrossRef]
- Xu, Q.; Schmidt, B.; Pradhan, S.; Lipson, M. Micrometre-scale silicon electro-optic modulator. Nature 2005, 435, 325–327. [Google Scholar] [CrossRef]
- Algorri, J.; Urruchi, V.; García-Cámara, B.; Sánchez-Pena, J. Liquid Crystal Microlenses for Autostereoscopic Displays. Materials 2016, 9, 36. [Google Scholar] [CrossRef]
- Kim, S.U.; Na, J.H.; Kim, C.; Lee, S.D. Design and fabrication of liquid crystal-based lenses. Liq. Cryst. 2017, 1–12. [Google Scholar] [CrossRef]
- Bailey, J.; Morgan, P.; Gleeson, H.; Jones, J. Switchable Liquid Crystal Contact Lenses for the Correction of Presbyopia. Crystals 2018, 8, 29. [Google Scholar] [CrossRef]
- Algorri, J.F.; Zografopoulos, D.C.; Urruchi, V.; Sánchez-Pena, J.M. Recent Advances in Adaptive Liquid Crystal Lenses. Crystals 2019, 9, 272. [Google Scholar] [CrossRef]
- Lin, Y.H.; Wang, Y.J.; Reshetnyak, V. Liquid crystal lenses with tunable focal length. Liq. Cryst. Rev. 2017, 5, 111–143. [Google Scholar] [CrossRef]
- Li, L.; Bryant, D.; Bos, P.J. Liquid crystal lens with concentric electrodes and inter-electrode resistors. Liq. Cryst. Rev. 2014, 2, 130–154. [Google Scholar] [CrossRef]
- Peyghambarian, N.; Li, G.; Mathine, D.; Valley, P.; Schwiegerling, J.; Honkanen, S.; Äyräs, P.; Haddock, J.N.; Malalahalli, G.; Kippelen, B. Electro-Optic Adaptive Lens as a New Eyewear. Mol. Cryst. Liq. Cryst. 2006, 454, 157–166. [Google Scholar] [CrossRef]
- Abramochkin, E.G.; Vasiliev, A.A.; Vashurin, P.V.; Zhmurova, L.I.; Ignatov, V.A.; Naumov, A.F. Controlled liquid crystal lens. Prepr. PN Lebedev Phys. Inst. 1988, 194, 18. [Google Scholar]
- Naumov, A.F.; Loktev, M.Y.; Guralnik, I.R.; Vdovin, G. Liquid-crystal adaptive lenses with modal control. Opt. Lett. 1998, 23, 992–994. [Google Scholar] [CrossRef]
- Algorri, J.F.; Morawiak, P.; Bennis, N.; Zografopoulos, D.C.; Urruchi, V.; Rodríguez-Cobo, L.; Jaroszewicz, L.R.; Sánchez-Pena, J.M.; López-Higuera, J.M. Positive-negative tunable liquid crystal lenses based on a microstructured transmission line. Sci. Rep. 2020, 10, 10153. [Google Scholar] [CrossRef]
- Algorri, J.F.; Morawiak, P.; Zografopoulos, D.C.; Bennis, N.; Spadlo, A.; Rodriguez-Cobo, L.; Jaroszewicz, L.R.; Sanchez-Pena, J.M.; Lopez-Higuera, J.M. Cylindrical and Powell liquid crystal lenses with positive-negative optical power. IEEE Photonics Technol. Lett. 2020, 32, 1057–1060. [Google Scholar] [CrossRef]
- Algorri, J.F.; Morawiak, P.; Zografopoulos, D.C.; Bennis, N.; Spadlo, A.; Rodríguez-Cobo, L.; Jaroszewicz, L.R.; Sánchez-Pena, J.M.; López-Higuera, J.M. Multifunctional light beam control device by stimuli-responsive liquid crystal micro-grating structures. Sci. Rep. 2020, 10, 13806. [Google Scholar] [CrossRef]
- Urruchi, V.; Algorri, J.F.; Marcos, C.; Sánchez-Pena, J.M. Note: Electrical modeling and characterization of voltage gradient in liquid crystal microlenses. Rev. Sci. Instrum. 2013, 84, 116105. [Google Scholar] [CrossRef]
- Algorri, J.F.; Urruchi, V.; Bennis, N.; Sanchez-Pena, J.M. Using an Analytical Model to Design Liquid Crystal Microlenses. IEEE Photonics Technol. Lett. 2014, 26, 793–796. [Google Scholar] [CrossRef]
- Algorri, J. Modeling electro-optical response of nematic liquid crystals by numerical methods. Opt. Pura Y Apl. 2013, 46, 327–336. [Google Scholar] [CrossRef]










| Elastic Constants | Birefringence | Permittivity |
|---|---|---|
| pN | ||
| pN | ||
| pN |
© 2020 by the authors. Licensee MDPI, Basel, Switzerland. This article is an open access article distributed under the terms and conditions of the Creative Commons Attribution (CC BY) license (http://creativecommons.org/licenses/by/4.0/).
Share and Cite
Algorri, J.F.; Zografopoulos, D.C.; Rodríguez-Cobo, L.; Sánchez-Pena, J.M.; López-Higuera, J.M. Engineering Aspheric Liquid Crystal Lenses by Using the Transmission Electrode Technique. Crystals 2020, 10, 835. https://doi.org/10.3390/cryst10090835
Algorri JF, Zografopoulos DC, Rodríguez-Cobo L, Sánchez-Pena JM, López-Higuera JM. Engineering Aspheric Liquid Crystal Lenses by Using the Transmission Electrode Technique. Crystals. 2020; 10(9):835. https://doi.org/10.3390/cryst10090835
Chicago/Turabian StyleAlgorri, José Francisco, Dimitrios C. Zografopoulos, Luis Rodríguez-Cobo, José Manuel Sánchez-Pena, and José Miguel López-Higuera. 2020. "Engineering Aspheric Liquid Crystal Lenses by Using the Transmission Electrode Technique" Crystals 10, no. 9: 835. https://doi.org/10.3390/cryst10090835
APA StyleAlgorri, J. F., Zografopoulos, D. C., Rodríguez-Cobo, L., Sánchez-Pena, J. M., & López-Higuera, J. M. (2020). Engineering Aspheric Liquid Crystal Lenses by Using the Transmission Electrode Technique. Crystals, 10(9), 835. https://doi.org/10.3390/cryst10090835

