Ion Charge Influence on the Molecular Structure of Polyethylene Terephthalate Films after Irradiation with Swift Heavy Ions
Abstract
1. Introduction
2. Experimental Part
2.1. Material
2.2. Irradiation Conditions
2.3. Study of the PET Structure
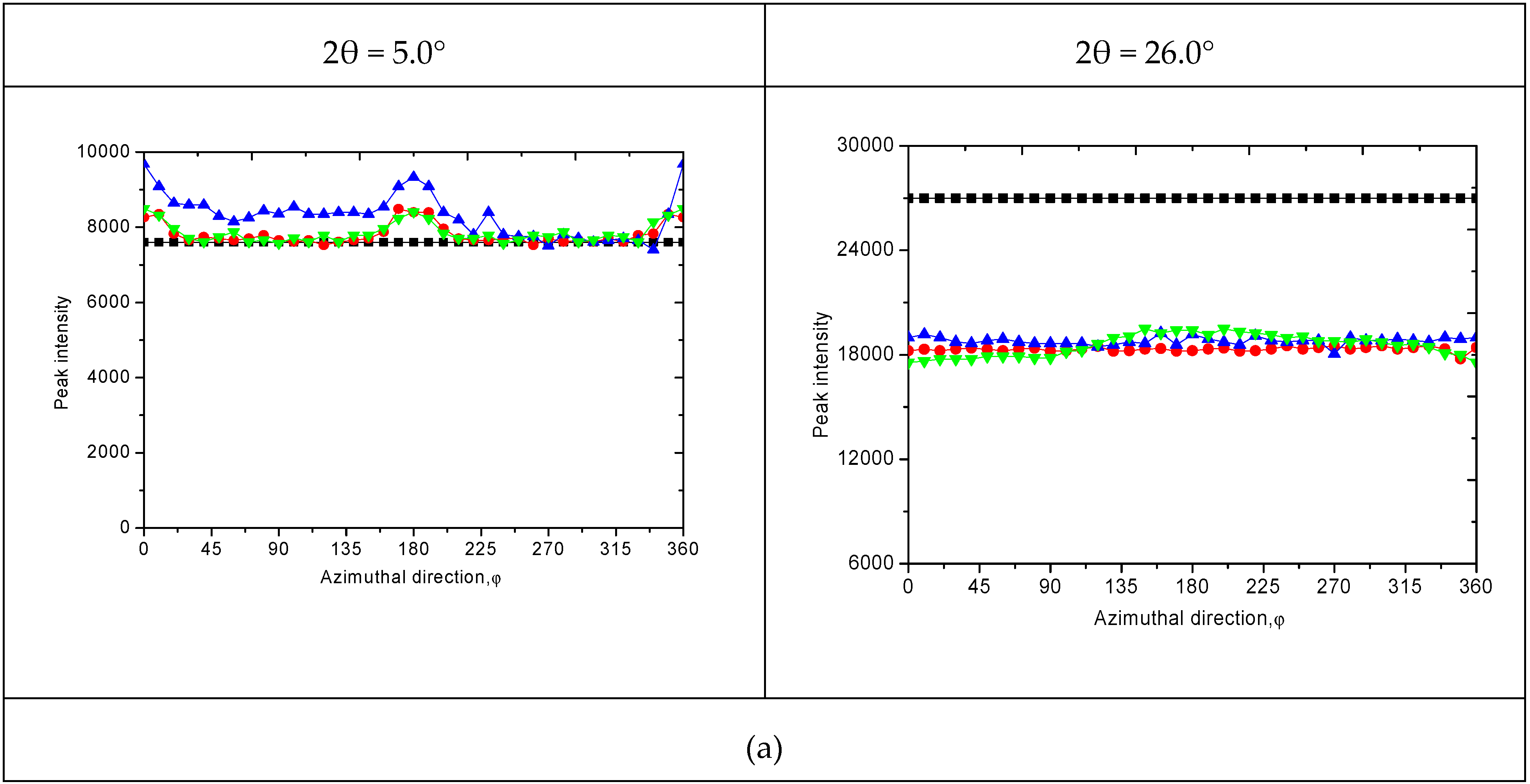
3. Results and Discussion
4. Conclusions
Author Contributions
Funding
Acknowledgments
Conflicts of Interest
References
- Bush, S.N.; Volta, T.T.; Martin, C.R. Chemical Sensing and Chemoresponsive Pumping with Conical-Pore Polymeric Membranes. Nanomaterials 2020, 10, 571. [Google Scholar] [CrossRef]
- Syrtsova, D.A.; Teplyakov, V.V. High-Energy Ion Treatment of Lavsan Films Followed by Controlled Track Etching to Obtain Asymmetric Gas-Separation Membranes. Russ. J. Appl. Chem. 2019, 92, 150–158. [Google Scholar] [CrossRef]
- Vacik, J.; Hnatowicz, V.; Havranek, V.; Fink, D.; Apel, P.; Horak, P.; Ceccio, G.; Cannavo, A.; Torrisi, A. Ion track etching in polyethylene-terephthalate studied by charge particle transmission technique. Radiat. Eff. Defects Solids 2019, 174, 148–157. [Google Scholar] [CrossRef]
- Ceccio, G.; Cannavò, A.; Horak, P.; Torrisi, A.; Hnatowicz, V.; Apel, P.Y.; Vacik, J. Lithium encapsulation in etched nuclear pores in polyethylene terephthalate. Nucl. Instrum. Methods Phys. Res. Sect. B Beam Interact. Mater. Atoms 2020, 469, 19–23. [Google Scholar] [CrossRef]
- Apel, P.Y. Fabrication of functional micro- and nanoporous materials from polymers modified by swift heavy ions. Radiat. Phys. Chem. 2019, 159, 25–34. [Google Scholar] [CrossRef]
- Apel, P.Y.; Bobreshova, O.V.; Volkov, A.V.; Nikonenko, V.V.; Stenina, I.A.; Filippov, A.N.; Yampolskii, Y.P.; Yaroslavtsev, A.B.; Volkov, V.V. Prospects of Membrane Science Development. Membr. Membr. Technol. 2019, 1, 45–63. [Google Scholar] [CrossRef]
- Kaya, D.; Keçeci, K. Review—Track-Etched Nanoporous Polymer Membranes as Sensors: A Review. J. Electrochem. Soc. 2020, 167, 037543. [Google Scholar] [CrossRef]
- Fiodorov, V.A.; Vasiliev, A.B.; Nazmov, V.P.; Goldenberg, B.G.; Bedin, S.A.; Berezkin, V.V. Optical Properties of Regular Track-Etched Poly(ethylene terephthalate) Membranes. Membr. Membr. Technol. 2019, 1, 27–30. [Google Scholar] [CrossRef]
- Li, G.; Wang, J.; Hou, D.; Bai, Y.; Liu, H. Fabrication and performance of PET mesh enhanced cellulose acetate membranes for forward osmosis. J. Environ. Sci. 2016, 45, 7–17. [Google Scholar] [CrossRef]
- Apel, P.Y. Track etching technique in membrane technology. Radiat. Meas. 2001, 34, 559–566. [Google Scholar] [CrossRef]
- Takahashi, S.; Yoshida, M.; Asano, M.; Notomi, M.; Nakagawa, T. Characterizations of heavy ion irradiated PET membranes. Nucl. Instrum. Methods Phys. Res. Sect. B Beam Interact. Mater. Atoms 2004, 217, 435–441. [Google Scholar] [CrossRef]
- Miyazaki, T.; Takenaka, M. Precise small-angle X-ray scattering evaluation of the pore structures in track-etched membranes: Comparison with other convenient evaluation methods. Nucl. Instrum. Methods Phys. Res. Sect. B Beam Interact. Mater. Atoms 2017, 394, 121–125. [Google Scholar] [CrossRef]
- Bomko, V.; Burban, A.; Kobets, A.; Kryshtal, A.P.; Vorobyova, I.; Zajtsev, B. Initial stage of etching through pores in PET films irradiated by Ar ions. Nucl. Instrum. Methods Phys. Res. Sect. B Beam Interact. Mater. Atoms 2008, 266, 256–261. [Google Scholar] [CrossRef]
- Steckenreiter, T.; Balanzat, E.; Fuess, H.; Trautmann, C. Chemical modifications of PET induced by swift heavy ions. Nucl. Instrum. Methods Phys. Res. Sect. B Beam Interact. Mater. Atoms 1997, 131, 159–166. [Google Scholar] [CrossRef]
- Apel, P.Y.; Blonskaya, I.; Oganessian, V.; Orelovitch, O.; Trautmann, C. Morphology of latent and etched heavy ion tracks in radiation resistant polymers polyimide and poly(ethylene naphthalate). Nucl. Instrum. Methods Phys. Res. Sect. B Beam Interact. Mater. Atoms 2001, 185, 216–221. [Google Scholar] [CrossRef]
- Maletić, S.; Cerovic, D.D.; Dojcilovic, J.R. A study of structural and spectral properties of ion-beam modified polyethylene terephthalate membrane. Nucl. Instrum. Methods Phys. Res. Sect. B Beam Interact. Mater. Atoms 2019, 441, 1–7. [Google Scholar] [CrossRef]
- Siwy, Z.; Apel, P.Y.; Dobrev, D.; Neumann, R.; Spohr, R.; Trautmann, C.; Voss, K. Ion transport through asymmetric nanopores prepared by ion track etching. Nucl. Instrum. Methods Phys. Res. Sect. B Beam Interact. Mater. Atoms 2003, 208, 143–148. [Google Scholar] [CrossRef]
- Wen, Q.; Yan, D.; Liu, F.; Wang, M.; Ling, Y.; Wang, P.; Kluth, P.; Schauries, D.; Trautmann, C.; Apel, P.; et al. Highly Selective Ionic Transport through Subnanometer Pores in Polymer Films. Adv. Funct. Mater. 2016, 26, 5796–5803. [Google Scholar] [CrossRef]
- Wang, P.; Wang, M.; Liu, F.; Ding, S.; Wang, X.; Du, G.; Liu, J.; Apel, P.; Kluth, P.; Trautmann, C.; et al. Ultrafast ion sieving using nanoporous polymeric membranes. Nat. Commun. 2018, 9, 569. [Google Scholar] [CrossRef]
- Berezkin, V.V.; Nechaev, A.N.; Fomichev, S.V.; Mchedlishvili, B.V. Nuclear filters with ion-selective properties. Colloid J. USSR 1991, 53, 292–295. [Google Scholar]
- Siwy, Z.; Kosińska, I.D.; Fuliński, A.; Martin, C.R. Asymmetric diffusion through synthetic nanopores. Phys. Rev. Lett. 2005, 94, 048102. [Google Scholar] [CrossRef] [PubMed]
- Apel, P.Y.; Blonskaya, I.V.; Ivanov, O.M.; Kristavchuk, O.V.; Lizunov, N.E.; Nechaev, A.N.; Orelovich, O.L.; Polezhaeva, O.A.; Dmitriev, S.N. Creation of Ion-Selective Membranes from Polyethylene Terephthalate Films Irradiated with Heavy Ions: Critical Parameters of the Process. Membr. Membr. Technol. 2020, 2, 98–108. [Google Scholar] [CrossRef]
- Zdorovets, M.; Kozlovskiy, A.; Harrison, F.; Tuleushev, A. Induced ordering in polyethylene terephthalate films irradiated with Ar ions with an energy of 70 MeV. Surf. Coat. Technol. 2020, 386, 125490. [Google Scholar] [CrossRef]
- Liu, F.; Wang, M.; Wang, X.; Wang, P.; Shen, W.; Ding, S.; Wang, Y. Fabrication and application of nanoporous polymer ion-track membranes. Nanotechnology 2018, 30, 052001. [Google Scholar] [CrossRef]
- Trautmann, C.; Schwartz, K.; Costantini, J.; Steckenreiter, T.; Toulemonde, M. Radiation defects in lithium fluoride induced by heavy ions. Nucl. Instrum. Methods Phys. Res. Sect. B Beam Interact. Mater. Atoms 1998, 146, 367–378. [Google Scholar] [CrossRef][Green Version]
- Bowman, M.K.; Becker, D.; Sevilla, M.D.; Zimbrick, J.D. Track structure in DNA irradiated with heavy ions. Radiat. Res. 2005, 163, 447–454. [Google Scholar] [CrossRef]
- Zhu, Z.; Sun, Y.; Liu, C.; Liu, J.; Jin, Y. Chemical modifications of polymer films induced by high energy heavy ions. Nucl. Instrum. Methods Phys. Res. Sect. B Beam Interact. Mater. Atoms 2002, 193, 271–277. [Google Scholar] [CrossRef]
- Apel, P.Y.; Schulz, A.; Spohr, R.; Trautmann, C.; Vutsadakis, V. Tracks of very heavy ions in polymers. Nucl. Instrum. Methods Phys. Res. Sect. B Beam Interact. Mater. Atoms 1997, 131, 55–63. [Google Scholar] [CrossRef]
- Sessler, G.M. Physical Principles of Electrets; Springer: Berlin/Heidelberg, Germany, 1980; pp. 13–80. [Google Scholar]
- Tuleushev, A.; Zdorovets, M.V.; Kozlovskiy, A.L.; Harrison, F. Induced Spirals in Polyethylene Terephthalate Films Irradiated with Ar Ions with an Energy of 70 MeV. Crystals 2020, 10, 427. [Google Scholar] [CrossRef]
- Crompton, T.R. Chemical Analysis of Additives in Plastics; Elsevier: Amsterdam, The Netherlands, 2016; Volume 46. [Google Scholar]
- Daubeny, R.d.P.; Bunn, C.W.; Brown, C.J. The crystal structure of polyethylene terephthalate. In Proceedings of the Royal Society of London. Series A. Mathematical and Physical Sciences; The Royal Society: London, UK, 1954; pp. 531–542. [Google Scholar]
- Weinstein, B.K. X-ray Diffraction by Chain Molecules; Nauka (Publishing House of the USSR Academy of Sciences): Moscow, Russia, 1963. [Google Scholar]
- Durell, M.; Macdonald, J.; Trolley, D.; Wehrum, A.; Jukes, P.C.; Jones, R.; Walker, C.J.; Brown, S. The role of surface-induced ordering in the crystallisation of PET films. EPL Europhys. Lett. 2002, 58, 844–850. [Google Scholar] [CrossRef]
- Loew, L.M.; Sacher, E. Use of molecular orbital theory potential energy surfaces in determining polymer conformations. I. Poly (ethylene terephthalate). J. Macromol. Sci. Part B 1978, 15, 619–634. [Google Scholar] [CrossRef]
- Ouchi, I. Anisotropic Absorption and Reflection Spectra of Poly (ethylene terephthalate) Films in Ultraviolet Region. Polym. J. 1983, 15, 225–243. [Google Scholar] [CrossRef][Green Version]
- Arnott, S.; Wonacott, A.J. The refinement of the crystal and molecular structures of polymers using X-ray data and stereochemical constraints. Polymer 1966, 7, 157. [Google Scholar] [CrossRef]
- Bailey, M.; Brown, C.J. The crystal structure of terephthalic acid. Acta Cryst. 1967, 22, 387. [Google Scholar] [CrossRef]
- Lunazzi, L.; Ticca, A.; Macciantelli, D.; Spunta, G. Solvent influence on the rotational isomerism in terephthalaldehyde. J. Chem. Soc. Perkin II 1976, 1121. [Google Scholar]
- Sacher, E. The possibility of quantum mechanical effects in polymeric systems. J. Macromol. Sci. Part B Phys. 1976, 12, 603–608. [Google Scholar] [CrossRef]
- Hofsäss, H.; Zhang, K.; Mutzke, A. Simulation of ion beam sputtering with SDTrimSP, TRIDYN and SRIM. Appl. Surf. Sci. 2014, 310, 134–141. [Google Scholar]
- Hill, R.J.; Howard, C.J. Quantitative phase analysis from neutron powder diffraction data using the Rietveld method. J. Appl. Crystallogr. 1987, 20, 467–474. [Google Scholar] [CrossRef]
- Knupp, C.; Squire, J.M. HELIX: A Helical Diffraction Simulation Program by Carlo Knupp & John M. Squire. J. Appl. Crystallogr. 2004, 37, 832–835. [Google Scholar]
- Abu Saleh, S.; Eyal, Y. Porous tracks along wakes of swift uranium ions in polyimide. Appl. Phys. Lett. 2004, 85, 2529. [Google Scholar] [CrossRef]
- Ciesla, K.; Starosta, W. Heavy ions track structure in a PETP. Nucl. Instrum. Methods Phys. Res. Sect. B Beam Interact. Mater. Atoms 1995, 105, 115–119. [Google Scholar] [CrossRef]
- Apel, P.Y.; Schulz, A.; Spohr, R.; Trautmann, C.; Vutsadakis, V. Track size and track structure in polymer irradiated by heavy ions. Nucl. Instrum. Methods Phys. Res. Sect. B Beam Interact. Mater. Atoms 1998, 146, 468–474. [Google Scholar] [CrossRef]
- Moss, G.P. Basic terminology of stereochemistry (IUPAC Recommendations 1996). Pure Appl. Chem. 1996, 68, 2193–2222. [Google Scholar] [CrossRef]
- Wang, Y.; He, Y.; Yu, Z.; Gao, J.; Brinck, S.T.; Slebodnick, C.; Fahs, G.B.; Zanelotti, C.J.; Hegde, M.; Moore, R.B.; et al. Double helical conformation and extreme rigidity in a rodlike polyelectrolyte. Nat. Commun. 2019, 10, 801. [Google Scholar] [CrossRef] [PubMed]
- Zhou, X.; Liu, G.; Yamato, K.; Shen, Y.; Cheng, R.; Wei, X.; Bai, W.; Gao, Y.; Li, H.; Liu, Y.; et al. Self-assembling subnanometer pores with unusual mass-transport properties. Nat. Commun. 2012, 3, 949. [Google Scholar] [CrossRef] [PubMed]
- Kravets, L.I.; Apel, P.Y. Heavy Ion Track Sensitization in Polypropylene; No. JINR-R--18-95-315; Joint Institute for Nuclear Research: Dubna, Russia, 1995. [Google Scholar]
- Apel, P.Y.; Spohr, R.; Trautmann, C.; Vutsadakis, V. Track structure in polyethylene terephthalate irradiated by heavy ions: Let dependence of track diameter. Radiat. Meas. 1999, 31, 51–56. [Google Scholar] [CrossRef]












| Ion | Charge | Energy, MeV/A | Energy, MeV | Field, T | HF, MHz | |
|---|---|---|---|---|---|---|
| 1 | 84Kr | 15+ | 1.1905 | 100 | 1.25015 | 13.712 |
| 2 | 84Kr | 14+ | 1.1905 | 100 | 1.33943 | 13.712 |
| 3 | 84Kr | 13+ | 1.1905 | 100 | 1.4425 | 13.713 |
© 2020 by the authors. Licensee MDPI, Basel, Switzerland. This article is an open access article distributed under the terms and conditions of the Creative Commons Attribution (CC BY) license (http://creativecommons.org/licenses/by/4.0/).
Share and Cite
Tuleushev, A.Z.; Zdorovets, M.V.; Kozlovskiy, A.L.; Harrison, F.E. Ion Charge Influence on the Molecular Structure of Polyethylene Terephthalate Films after Irradiation with Swift Heavy Ions. Crystals 2020, 10, 479. https://doi.org/10.3390/cryst10060479
Tuleushev AZ, Zdorovets MV, Kozlovskiy AL, Harrison FE. Ion Charge Influence on the Molecular Structure of Polyethylene Terephthalate Films after Irradiation with Swift Heavy Ions. Crystals. 2020; 10(6):479. https://doi.org/10.3390/cryst10060479
Chicago/Turabian StyleTuleushev, Adil Z., Maxim V. Zdorovets, Artem L. Kozlovskiy, and Fiona E. Harrison. 2020. "Ion Charge Influence on the Molecular Structure of Polyethylene Terephthalate Films after Irradiation with Swift Heavy Ions" Crystals 10, no. 6: 479. https://doi.org/10.3390/cryst10060479
APA StyleTuleushev, A. Z., Zdorovets, M. V., Kozlovskiy, A. L., & Harrison, F. E. (2020). Ion Charge Influence on the Molecular Structure of Polyethylene Terephthalate Films after Irradiation with Swift Heavy Ions. Crystals, 10(6), 479. https://doi.org/10.3390/cryst10060479

