‘Quasi-Tricritical’ and Glassy Dielectric Properties of a Nematic Liquid Crystalline Material
Abstract
1. Introduction
2. Materials and Methods
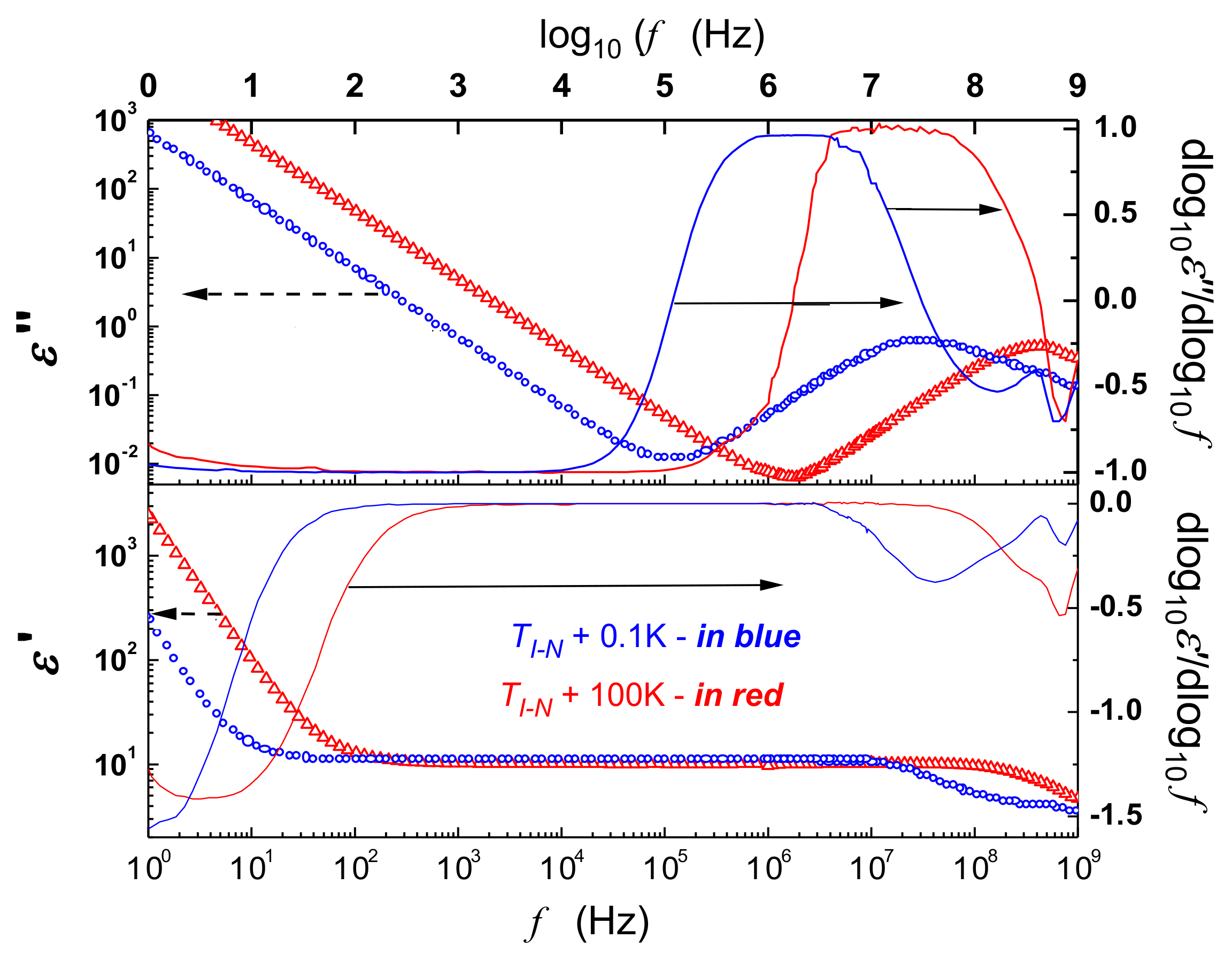
3. Results and Discussion
4. Discussion
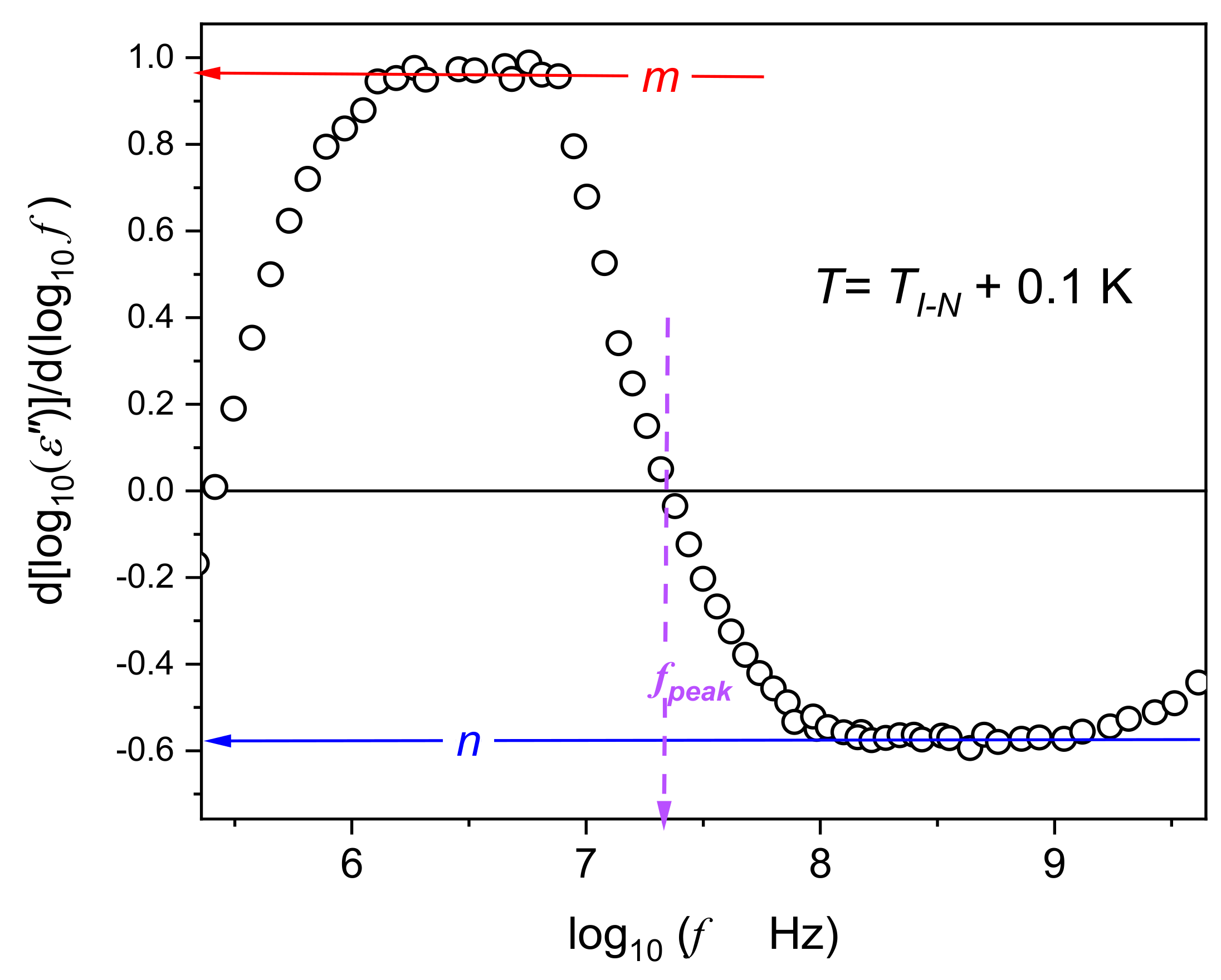
- (i)
- (ii)
- The longest collective relaxations time associated with prenematic fluctuations in the isotropic liquid is equal and for the single-molecule related relaxation time primary relaxation time . This is associated with frequencies (‘relaxations rates’) ~ 1 MHz and ~20 MHz, respectively [38,61]. Values of relaxation rates associated with frequencies <10 kHz for which ‘special molecular processes’ in the immediate vicinity of the clearing temperature was suggested in refs. [57,58] can be expected for relaxation times occurying only in the nematic phase, for [62].
- (iii)
- Notable is the lack of the additional relaxation process emerging in the immediate vicinity of the clearing temperature in the isotropic phase, heuristically indicated in refs. [57,58,59]. This issue is discussed extensively in the Appendix A.
- (iv)
Author Contributions
Funding
Conflicts of Interest
Appendix A



References
- de Gennes, P.G. The Physics of Liquid Crystals; Oxford University Press: Oxford, UK, 1974. [Google Scholar]
- Chandrasekhar, S. Liquid Crystals; Cambridge: New York, NY, USA, 1992. [Google Scholar]
- Demus, D.; Goodby, J.; Gray, G.W.; Spiess, H.-W.; Vill, V. Handbook of Liquid Crystals; Wiley-VCH: Weinheim, Germany, 1998. [Google Scholar]
- Collings, P.J.; Goodby, J.W. Introduction to Liquid Crystal. Chemistry and Physics; CRC Press: Boca Raton, FL, USA, 2020. [Google Scholar]
- Selinger, J.V. Introduction to the Theory of Soft Matter. From Ideal Gases to Liquid Crystals; Springer: Berlin, Germany, 2015. [Google Scholar]
- Castellano, J.A. Liquid Gold. The Story of Liquid Crystals Displays and the Creation of an Industry; World Sci. Pub.: Singapore, 2005. [Google Scholar]
- Hirst, L.S.; Chiras, G. Liquid crystals in living tissue. Nature 2017, 544, 164–165. [Google Scholar] [CrossRef] [PubMed]
- Chen, R.H. Liquid Crystal Displays. Fundamental Physics and Technology; Wiley: Hoboken, NJ, USA, 2011. [Google Scholar]
- Guo, D.-Y.; Chen, C.-W.; Li, C.-C.; Jau, H.-C.; Lin, K.-H.; Feng, T.-M.; Wang, C.-T.; Bunning, T.J.; Khoo, I.C.; Lin, T.-H. Reconfiguration of three-dimensional liquid-crystalline photonic crystals by electrostriction. Nat. Mat. 2020, 19, 94–101. [Google Scholar] [CrossRef] [PubMed]
- de Gennes, P.G. Phenomenology of short range order effect in the isotropic phase in nematic materials. Phys. Lett. A 1969, 30, 454–455. [Google Scholar] [CrossRef]
- Vertogen, G.; de Jeu, W.H. Thermotropic Liquid Crystals. Fundamentals; Springer: Berlin, Germany, 2012. [Google Scholar]
- Dunmur, D.A.; Fukuda, A.; Luckhurst, R. Physical Properties of Liquid Crystals: Nematics; INSPEC (Independent and Reliable Product Testing): London, UK, 2000. [Google Scholar]
- Ranjkesh, A.; Moghadam, M.; Choi, J.-C.; Kim, B.; Ko, J.H.; Zakerhamidi, M.S.; Kim, H.-R. Physical model for temperature-dependent dielectric properties of anisotropic nematic liquid crystals. Phys. Chem. Chem. Phys. 2019, 20, 19294–19306. [Google Scholar] [CrossRef]
- Haller, I. Thermodynamic and static properties of liquid crystals. Prog. Solid State Chem. 1975, 10, 103–110. [Google Scholar] [CrossRef]
- Rasna, M.V.; Cmok, L.; Evans, D.R.; Mertelj, A.; Dhara, S. Phase transitions, optical, dielectric and viscoelastic properties of colloidal suspensions of BaTiO3 nanoparticles and cyanobiphenyl liquid crystals. Liq. Cryst. 2015, 42, 1059–1067. [Google Scholar] [CrossRef]
- Dhar, R.; Yadav, N.; Dąbrowski, R. Effect of alumina nanoparticles on dielectric permittivity, electrical conductivity, director relaxation frequency, threshold and switching voltages of a nematic liquid crystalline material. Liq. Cryst. 2014, 41, 1803–1810. [Google Scholar]
- Li, J.; Gauzia, S.; Wu, S.-T. High temperature-gradient refractive index liquid crystals. Opt. Express 2004, 12, 2002–2010. [Google Scholar] [CrossRef]
- Madhavi Latha, D.; Pisipati, V.G.K.M.; Pardhasaradhi, P.; Datta Prasad, P.V.; Venkata, R.D. Estimation of order parameter from different models in symmetric dimeric liquid crystals. Liq. Cryst. Today 2014, 23, 54–60. [Google Scholar] [CrossRef]
- Janik, M.; Rzoska, S.J.; Drozd-Rzoska, A.; Zioło, J. Pretransitional behavior in the isotropic phase of a nematic liquid crystal with the transverse permanent dipole moment. J. Chem. Phys. 2006, 124, 144907. [Google Scholar] [CrossRef]
- Starzonek, S.; Rzoska, S.J.; Drozd-Rzoska, A.; Czupryński, K.; Kralj, S. Impact of ferroelectric/superparaelectric nanoparticles on phase transitions and dynamics in nematic liquid crystal. Phys. Rev. E 2017, 96, 022705. [Google Scholar] [CrossRef] [PubMed]
- Drozd-Rzoska, A.; Starzonek, S.; Rzoska, S.J.; Kralj, S. Nanoparticle-controlled glassy dynamics in nematogen-based nanocolloids. Phys. Rev. E 2019, 99, 052703. [Google Scholar] [CrossRef] [PubMed]
- Anisimov, M.A. Critical Phenomena in Liquids and Liquid Crystals; Gordon and Breach, Reading: Boca Raton, FL, USA, 1992. [Google Scholar]
- Bradshaw, M.J.; Raynes, E.P. Pre-transitional effects in the electric permittivity of cyano-nematics. Mol. Cryst. Liq. Cryst. Lett. 1981, 72, 73–78. [Google Scholar] [CrossRef]
- Thoen, J.; Menu, G. Temperature dependence of the static relative permittivity of octylcyanobiphenyl (8CB). Mol. Cryst. Liq. Cryst. 1983, 97, 163–176. [Google Scholar] [CrossRef]
- Drozd-Rzoska, A.; Rzoska, S.J.; Zioło, J. Critical behaviour of dielectric permittivity in the isotropic phase of nematogens. Phys. Rev. E 1996, 54, 6452–6456. [Google Scholar] [CrossRef]
- Drozd-Rzoska, A.; Rzoska, S.J.; Zioło, J. Critical behavior of dielectric permittivity and nonlinear dielectric effect in the isotropic phase of nematogens. In Proceedings of the Liquid Crystals: Physics, Technology, and Applications, Zakopane, Poland, 3–8 March 1997; Volume 3318, pp. 218–222. [Google Scholar]
- Drozd-Rzoska, A.; Rzoska, S.J. Quasi-critical behaviour of “linear” and “nonlinear” dielectric permittivity in the isotropic phase of nematogens. Mol. Cryst. Liq. Cryst. 1999, 330, 25–29. [Google Scholar] [CrossRef]
- Sridevi, S.; Prasad, S.K.; Rao, D.S.S.; Yelamaggad, C.V. Pretransitional behaviour in the vicinity of the isotropic–nematic transition of strongly polar compounds. J. Phys. Condens. Matt. 2008, 20, 465106. [Google Scholar] [CrossRef]
- Jadżyn, J.; Świergiel, J.; Bauman, D.; Dąbrowski, R.; Czupryński, K.; Sokołowska, U. Pretransitional dielectric properties of nematogenic 4-cyano-phenyl-4’-n-heptylbenzoate. Phase Transit. 2009, 2009. 82, 409–419. [Google Scholar] [CrossRef]
- Sarvamangala, M.; Vijay Kumar, M.; Khene, S.M.; Basavaraj, S.D.; Shankar Rao, S.; Krishna Prasada, S. Anomalous dielectric behavior in the nematic and isotropic phases of a strongly polar–weakly polar binary system. Phase Transit. 2013, 86, 454–462. [Google Scholar] [CrossRef]
- Drozd-Rzoska, A.; Pawlus, S.; Rzoska, S.J. Pretransitional behavior of dielectric permittivity on approaching a clearing point in mixture of nematogens with antagonistic configurations of dipoles. Phys. Rev. E 2001, 64, 051701. [Google Scholar] [CrossRef]
- Drozd-Rzoska, A.; Rzoska, S.J. Derivative-based analysis for temperature and pressure evolution of dielectric relaxation times in vitrifying liquids. Phys. Rev. E 2006, 73, 041502. [Google Scholar] [CrossRef] [PubMed]
- Drozd-Rzoska, A. Heterogeneity-related dynamics in isotropic n-pentylcyanobiphenyl. Phys. Rev. E 2006, 73, 022501. [Google Scholar] [CrossRef] [PubMed]
- Drozd-Rzoska, A.; Rzoska, S.J.; Paluch, M. Universal, critical-like scaling of dynamic properties in symmetry-selected glass formers. J. Chem. Phys. 2009, 129, 184509. [Google Scholar] [CrossRef] [PubMed]
- Rzoska, S.J.; Drozd-Rzoska, A. Dual field nonlinear dielectric spectroscopy in a glass forming EPON 828 epoxy resin. J. Phys. Condens. Matt. 2011, 24, 035101. [Google Scholar] [CrossRef]
- Drozd-Rzoska, A.; Rzoska, S.J.; Martinez-Garcia, J.C. Nonlinear dielectric effect in supercritical diethyl ether. J. Chem. Phys. 2014, 141, 094907. [Google Scholar] [CrossRef]
- Rzoska, S.J.; Drozd-Rzoska, A.; Starzonek, S. Nonlinear Dielectric Effect in Critical Liquids. In Nonlinear Dielectric Spectroscopy; Richert, R., Ed.; Springer: Berlin Germany, 2018. [Google Scholar]
- Drozd-Rzoska, A. Glassy dynamics of liquid crystalline 4′-n-pentyl-4-cyanobiphenyl (5CB) in the isotropic and supercooled nematic phases. J. Chem. Phys. 2009, 130, 234910. [Google Scholar] [CrossRef]
- Drozd-Rzoska, A.; Rzoska, S.J.; Zioło, J.; Jadżyn, J. Quasi-critical behavior of the low-frequency dielectric permittivity in the isotropic phase of n-pentylcyanobiphenyl. Phys. Rev. E 2001, 63, 052701–052704. [Google Scholar] [CrossRef]
- Rzoska, S.J.; Zioło, J.; Sułkowski, W.; Jadżyn, J.; Czechowski, G. Fluidlike behavior of dielectric permittivity in a wide range of temperature above and below the nematic-isotropic transition. Phys. Rev. E 2001, 64, 052701. [Google Scholar] [CrossRef]
- Rzoska, S.J.; Drozd-Rzoska, A.; Mukherjee, P.K.; Lopez, D.O.; Martinez-Garcia, J.C. Distortions-sensitive analysis of pretransional behavior in n-octyloxycyanobiphenyl (8OCB). J. Phys. Cond. Matter 2013, 25, 245105. [Google Scholar] [CrossRef]
- Črešnar, D.; Kyrou, C.; Lelidis, I.; Drozd-Rzoska, A.; Starzonek, S.; Rzoska, S.J.; Kutnjak, Z.; Kralj, S. Impact of Weak Nanoparticle Induced Disorder on Nematic Ordering. Crystals 2019, 9, 171. [Google Scholar] [CrossRef]
- Naoito, H.; Yokoyama, Y.; Murakami, S.; Imai, M.; Okuda, M.; Sugimura, S.A. Dielectric Properties of Nematic Liquid Crystals in Low Frequency Regime. Mol. Cryst. Liq. Cryst. A 1995, 262, 249–255. [Google Scholar] [CrossRef]
- Chandel, V.S.; Manohar, S.; Shukla, J.P.; Manohar, R.; Prajapati, A.K. Low frequency dielectric relaxation and optical behaviour of a nematic liquid crystal 4-methyl n-(2′-hydroxy, 4′-n-hexadecyloxy)-azobenzene. Mater. Sci. Pol. 2012, 30, 290–296. [Google Scholar] [CrossRef]
- George, A.K.; Al Raii, T.A. Low Frequency Dielectric Relaxation Studies in the Nematic Phase of a Cyanobiphenyl Liquid Crystal. Int. J. Innov. Engn. Technol. 2019, 13, 1–5. [Google Scholar]
- Kremer, F.; Schoenhals, A. Broadband Dielectric Spectroscopy; Springer: Berlin, Germany, 2010. [Google Scholar]
- Götze, W.; Sjögren, L. The mode coupling theory of structural relaxations. J. Comp. Theor. Trans. 1995, 24, 801. [Google Scholar] [CrossRef]
- Donth, E.J. The Glass Transition: Relaxation Dynamics in Liquids and Disordered Materials; Springer: Berlin, Germany, 2001. [Google Scholar]
- Colby, R.H. Dynamic scaling approach to glass formation. Phys. Rev. E 2000, 61, 1783–1792. [Google Scholar] [CrossRef]
- Drozd-Rzoska, A.; Rzoska, S.J.; Pawlus, S.; Martinez-Garcia, J.C.; Tamarit, J.-L. Evidence for critical-like behavior in ultraslowing glass-forming systems. Phys. Rev. E 2010, 82, 03150. [Google Scholar] [CrossRef]
- Martinez-Garcia, J.C.; Rzoska, S.J.; Drozd-Rzoska, A.; Martinez-Garcia, J.A. Universal description of ultraslow glass dynamics. Nat. Comm. 2013, 4, 1823–1832. [Google Scholar] [CrossRef]
- Martinez-Garcia, J.C.; Rzoska, S.J.; Drozd-Rzoska, A.; Martinez-Garcia, J.; Mauro, J.C. Divergent dynamics and the Kauzmann temperature in glass forming systems. Sci. Rep. 2014, 4, 5160. [Google Scholar] [CrossRef]
- Richert, R. Scaling vs. Vogel–Fulcher-type structural relaxation in deeply supercooled materials. Physica A 2000, 287, 26–36. [Google Scholar] [CrossRef]
- Rzoska, S.J. Kerr effect and nonlinear dielectric effect on approaching the critical consolute point. Phys. Rev. E 1993, 48, 1136–1143. [Google Scholar] [CrossRef]
- Drozd-Rzoska, A.; Rzoska, S.J.; Czupryński, K. Phase transitions from the isotropic liquid to liquid crystalline mesophases studied by linear and nonlinear” static dielectric permittivity. Phys. Rev. E 2000, 61, 5355–5360. [Google Scholar] [CrossRef] [PubMed]
- de La Fuente, M.R.; Dunmurr, D. Dielectric properties of liquid crystals. In Liquid Crystals pp Fundamentals; Goodby, J.W., Collings, P.J., Kato, T., Tschierske, C.H., Gleeson, F., Raynes, P., Eds.; VCH-Wiley: Weinhem, Germany, 2014. [Google Scholar]
- Wolarz, E.; Bauman, D.; Jadżyn, J.; Dąbrowski, R. Prenematic self-assembling of mesogenic molecules in isotropic liquid and orientational order in nematic phase. Acta Phys. Polon. A 2011, 120, 447–452. [Google Scholar] [CrossRef]
- Jadżyn, J.; Sokołowska, U.; Déjardin, J.L. Temperature behavior of the electric field-induced entropy increment within a homologous series of nematogenic compounds. J. Phys. Chem. B 2008, 112, 9050. [Google Scholar]
- Ginovska, M.; Czechowski, G.; Dejardin, J.-L.; Jadżyn, J.; Hellemans, L. Static and dynamic dielectric effects of the isotropic to nematic transition in 7CB. Liq. Cryst. 2005, 32, 625–631. [Google Scholar] [CrossRef]
- Bauman, D.; Jadżyn, J.; Wolarz, E.; Modlińska, A.; Dąbrowski, R. Dielectric and orientational properties of nematogenic 4-n-octyl(4’-cyanophenyl)benzoate. Opto-Electron. Rev. 2010, 78, 68–70. [Google Scholar] [CrossRef]
- Drozd-Rzoska, A.; Rzoska, S.J.; Paluch, M.; Pawlus, S.; Ziolo, J.; Santangelo, P.G.; Roland, C.M.; Czupryński, K.; Dąbrowski, R. Mode coupling behavior in glass-forming liquid crystalline isopentylcyanobiphenyl. Phys. Rev. E 2005, 71, 011508. [Google Scholar] [CrossRef]
- Brückert, T.; Urban, S.; Würflinger, A. Dielectric studies of octyloxy-cyanobiphenyl (8OCB) under high pressure. Ber. Bunsenges. Phys. Chem. 1996, 100, 1133–1137. [Google Scholar]
- Nicastro, A.J.; Keyes, P.H. Electric-field-induced critical phenomena at the nematic-isotropic transition and the nematic-isotropic critical point. Phys. Rev. A 1984, 30, 3156–3160. [Google Scholar] [CrossRef]
- Rzoska, S.J.; Zioło, J. The nonlinear dielectric effect applied to study the pretransitional effects in the isotropic phase of the MBBA-benzene solutions. Acta Phys. Polon. A 1990, 78, 915–919. [Google Scholar]
- Rzoska, S.J.; Zioło, J. Critical properties in the vicinity of the critical consolute point for the 4-methoxybenzylidene-4′butylaniline-isooctane solution. Liq. Cryst. 1992, 11, 9–14. [Google Scholar] [CrossRef]
- Drozd-Rzoska, A.; Rzoska, S.J.; Zioło, J. The quasi-critical behavior of dielectric permittivity in the isotropic phase of smectogenic n-cyanobiphenyls. Phys. Rev. E 2000, 61, 5349–5354. [Google Scholar] [CrossRef] [PubMed]
- Drozd-Rzoska, A.; Rzoska, S.J.; Zioło, J. High pressure studies of the low-frequency nonlinear dielectric effect in the isotropic phase of octyl- and dodecyl-cyanobiphenyls. Phys. Rev. E 1997, 55, 2888–2891. [Google Scholar] [CrossRef]
- Drozd-Rzoska, A.; Rzoska, S.J.; Zioło, J. The fluidlike and critical behavior of the isotropic–nematic transition appearing in linear and nonlinear dielectric studies. Acta. Phys. Polon. 2000, 98, 431–437. [Google Scholar]
- Drozd-Rzoska, A.; Rzoska, S.J.; Zioło, J.; Czupryński, K. Temperature and pressure studies of the isotropic–mesophase transitions discontinuity by static nonlinear dielectric effect. Mol. Cryst. Liq. Cryst. 2001, 366, 2173–2177. [Google Scholar] [CrossRef]
- Rzoska, S.J.; Mukherjee, P.K. The influence of pressure on isotropic–smectic A transition. Phys. Rev. E 2002, 65, 051705. [Google Scholar]
- Jonsher, A.K. The universal dielectric response. Nature 1977, 267, 673–675. [Google Scholar]





© 2020 by the author. Licensee MDPI, Basel, Switzerland. This article is an open access article distributed under the terms and conditions of the Creative Commons Attribution (CC BY) license (http://creativecommons.org/licenses/by/4.0/).
Share and Cite
Drozd-Rzoska, A. ‘Quasi-Tricritical’ and Glassy Dielectric Properties of a Nematic Liquid Crystalline Material. Crystals 2020, 10, 297. https://doi.org/10.3390/cryst10040297
Drozd-Rzoska A. ‘Quasi-Tricritical’ and Glassy Dielectric Properties of a Nematic Liquid Crystalline Material. Crystals. 2020; 10(4):297. https://doi.org/10.3390/cryst10040297
Chicago/Turabian StyleDrozd-Rzoska, Aleksandra. 2020. "‘Quasi-Tricritical’ and Glassy Dielectric Properties of a Nematic Liquid Crystalline Material" Crystals 10, no. 4: 297. https://doi.org/10.3390/cryst10040297
APA StyleDrozd-Rzoska, A. (2020). ‘Quasi-Tricritical’ and Glassy Dielectric Properties of a Nematic Liquid Crystalline Material. Crystals, 10(4), 297. https://doi.org/10.3390/cryst10040297

