Influence of Ruthenium Doping on the Crystal Structure and Magnetic Properties of Pr0.67Ba0.33Mn1–xRuxO3 Manganites
Abstract
1. Introduction
2. Materials and Methods
3. Results
3.1. Structural Analysis
3.2. FTIR Spectra
3.3. Morphology
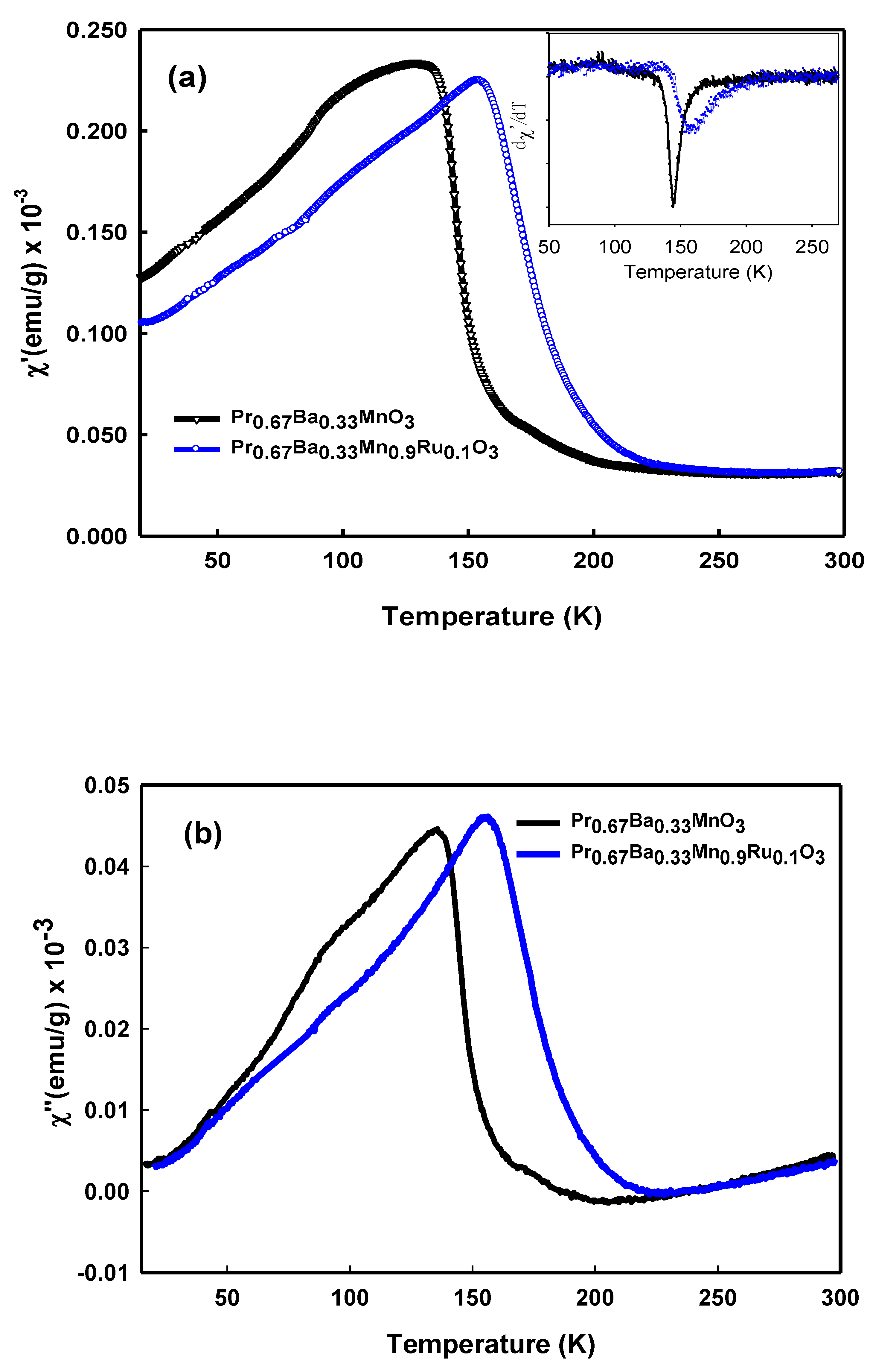
3.4. AC Susceptibility Measurement
4. Conclusions
Author Contributions
Funding
Conflicts of Interest
References
- Jemaa, F.B.; Mahmood, S.; Ellouze, M.; Hlil, E.K.; Halouani, F.; Bsoul, I.; Awawdeh, M. Structural, magnetic and magnetocaloric properties of La0.67Ba0.22Sr0.11Mn1 − xFexO3 nanopowders. Solid State Sci. 2014, 37, 121–130. [Google Scholar]
- Czajkowski, J.; Kinnunen, P.; Haapanen, K.; Niinimäki, J.; Fabritius, T. Simultaneous magnetic actuation and observation with ferromagnetic sensors. Meas. Sci Technol. 2016, 27, 025301. [Google Scholar] [CrossRef]
- Jin, S.; Tiefel, T.H.; McComack, M.; Fastnacht, R.A.; Ramesh, R.; Chen, L.H. Thousand-fold change in resistivity in magnetoresistive La-Ca-Mn-O films. Science 1994, 264, 413. [Google Scholar] [CrossRef]
- Ying, Y.; Eom, T.W.; Dai, N.V.; Lee, Y.P. Magnetic properties and Griffiths singularity in La0.45Sr0.55 Mn1−xCoxO3. J. Magn. Magn. Mater. 2011, 323, 100–194. [Google Scholar] [CrossRef]
- Mahjoub, S.; Baazaoui, M.; M’nassri, R.; Rahmouni, H.; Boudjada, N.C.; Oumezzine, M. Effect of iron substitution on the structural, magnetic and magnetocaloric properties of Pr0.6Ca0.1Sr0.3Mn1−xFexO3 (0 ≤ x ≤ 0.075) manganites. J. Alloy. Comp. 2014, 608, 191–196. [Google Scholar] [CrossRef]
- Xiao, X.; Yuan, S.; Mia, J.; Ren, G.; Yu, G.; Wang, Y.; Yin, S. Tuning colossal magnetoresistance response at roomtemperature by La2/3+ySr1/3−yMn1−yCryO3. Mater. Lett. 2007, 61, 2315–2318. [Google Scholar] [CrossRef]
- Mohamed, Z.; Ibrahim, N.; Ghani, M.A.; Safian, S.D.; Mohamed, S.N. Structural and electrical transport properties of (La0.7-xYx)Ca0.3MnO3 manganites. Results Phys. 2019, 12, 861–866. [Google Scholar] [CrossRef]
- Shannon, R.D. Revised effective ionic radii and systematic studies of interatomic distances in halides and chalcogenides. Acta Cryst. 1976, 32, 751. [Google Scholar] [CrossRef]
- Vanitha, P.V.; Rao, C.N.R. An investigation of the re-entrant ferromagnetic transition in rare earth manganates in the regime of competing charge-ordering and ferromagnetic interactions. J. Phys. Condens. Matter. 2001, 13, 11707. [Google Scholar] [CrossRef]
- Rørmark, L.; Wiik, K.; Stølen, S.; Grande, T. Oxygen Stoichiometry and Structural Properties of La1−xAxMnO3±δ (A = Ca or Sr and 0 ≤ x ≤ 1). J. Mater. Chem. 2002, 12, 1058–1067. [Google Scholar] [CrossRef]
- Elyana, E.; Mohamed, Z.; Kamil, S.A.; Supardan, S.N.; Chen, S.K.; Yahya, A.K. Revival of ferromagnetic behavior in charge-ordered Pr0.75Na0.25MnO3 manganite by ruthenium doping at Mn site and its MR effect. J. Solid State Chem. 2018, 258, 191–200. [Google Scholar]
- Fertman, E.; Syrkin, E.; Lykah, V.; Beznosov, V.D.A.; Pal-Val, P.; Pal-Val, L.; Fedorchenko, A.; Khalyavin, D.; Feher, A. Structural phase transition in La2/3Ba1/3MnO3 perovskite: Elastic, magnetic, and lattice anomalies and microscopic mechanism. AIP Adv. 2015, 5, 077189. [Google Scholar] [CrossRef]
- Larson, C.; Dreele, R.B.V. General Structure Analysis System (GSAS) (Report LAUR 86-748); Los Alamos National Laboratory: Los Alamos, NM, USA, 1994; pp. 86–748. [Google Scholar]
- Toby, H. EXPGUI, a graphical user interface for GSAS. J. Appl. Crystallogr. 2001, 34, 210. [Google Scholar] [CrossRef]
- Momma, K.; Izumi, F. VESTA 3 for three-dimensional visualization of crystal, volumetric and morphology data. J. Appl. Cryst. 2011, 44, 1272. [Google Scholar] [CrossRef]
- Rozilah, R.; Yaakob, M.K.; Mohamed, Z.; Yahya, A.K. Effects of on-site Coulomb interaction (U) on the structural and electronic properties of half-metallic ferromagnetic orthorhombic Pr0.75Na0.25MnO3 manganite: A LDA + U calculation and experimental study. Mater. Res. Express 2017, 4, 066103. [Google Scholar] [CrossRef]
- M’Nassri, R.; Khelifi, M.; Rahmouni, H.; Selmi, A.; Khirouni, K.; Chniba-Boudjada, N.; Cheikhrouhou, A. Study of physical properties of cobalt substituted Pr0.7Ca0.3MnO3. Ceram. Int. 2016, 42, 6145–6153. [Google Scholar] [CrossRef]
- Maignan, A.; Martin, C.; Hervieu, M.; Raveau, B. Ferromagnetism and metallicity in the CaMn1−xRuxO3 perovskites: A highly inhomogeneous system. Solid State Commun. 2001, 117, 377–382. [Google Scholar] [CrossRef]
- Rozilah, R.; Ibrahim, N.; Mohamed, Z.; Yahya, A.K.; Khan, N.A.; Khan, M.N. Inducement of ferromagnetic-metallic phase in intermediate-doped charge-ordered Pr0.75Na0.25MnO3 manganite by K+ substitution. Physical B 2017, 521, 281–294. [Google Scholar] [CrossRef]
- Sahu, R.K.; Manoharan, S.S. A Zener pair effect in lanthanum rutheno manganite. J. Appl. Phys. 2002, 91, 7517. [Google Scholar] [CrossRef]
- Jethva, S.; Katba, S.; Udeshi, M.; Kuberkar, D.G. Structural, transport and magnetotransport properties of Ru-doped La0.5Sr0.5Mn1−xRuxO3 (x = 0.0 & 0.05) manganite. Phys. B Condens. Matter. 2017, 520, 13–20. [Google Scholar]
- Sagdeo, P.; Anwar, S.; Lalla, N. Powder X-ray diffraction and Rietveld analysis of La1−xCaxMnO3 (0 < X < 1). Powder Diffr. 2006, 21, 40. [Google Scholar]
- Ganguly, R.; Martin, C.; Maignan, A.; Hervieu, M.; Raveau, B. Ruthenium doping of the layered charge ordered manganites, La0.5Sr1.5MnO4 and LaSr2Mn2O7. Solid State Commun. 2001, 120, 9–10, 363–368. [Google Scholar] [CrossRef]
- Maneesha, G.; Wasi, K.; Poonam, Y.; Kotnala, R.K.; Azam, A.; Naqvi, A.H. Synthesis and evolution of magnetic properties of Ni doped La2/3Sr1/3Mn1−xNixO3 nanoparticles. J. Appl. Phys. 2012, 111, 093706. [Google Scholar]
- Habib, I.; Sajawal, A.; Murtaza, G.; Ishfaq, M.; Muhammad, N.; Farid, G.; Sharif, S.; Akhtar, M.N.; Salim, S. Effect of co-doping of Fe and Gd on the structural, morphological and dielectric properties of LaMnO3 nanocrystallites using Sol-Gel technique. Mater. Res. Express 2018, 5, 075018. [Google Scholar] [CrossRef]
- Balagurov, A.M.; Bushmeleva, S.N.; Pomjakushin, V.Y.; Sheptyakov, D.V.; Amelichev, V.A.; Gorbenko, O.Y.; Kaul, A.R.; Gan’shina, E.A.; Perkins, N.B. Magnetic structure of NdMnO3 consistently doped with Sr and Ru. Phys. Rev. B 2004, 70, 014427. [Google Scholar] [CrossRef]
- Biswas, S.; Khan, M.; Pal, S. Magnetization reversal and ferrimagnetism in Pr1−xNdxMnO3. Mater. Sci. 2014, 37, 809–813. [Google Scholar] [CrossRef]
- Kumar, V.S.; Mahendiran, R. Effect of impurity doping at the Mn-site on magnetocaloric effect in Pr0.6Ca0.4Mn0.96B0.04O3 (B = Al, Fe, Cr, Ni, Co and Ru). J. Appl. Phys. 2011, 109, 023903. [Google Scholar] [CrossRef]
- Ulyanov, A.N.; Quang, H.D.; Lee, K.W.; Yu, S.C.; Sinh, N.H.; Kang, Y.M.; Yoo, S.I. Magnetic Relaxation Behavior in Nd0.5Sr0.5MnO3: Observation of negative imaginary component of ac magnetic suceptibility. IEEE Trans. Magn. 2008, 44, 11. [Google Scholar] [CrossRef]







| Atom | x | y | z | g | biso (å2) | Site |
|---|---|---|---|---|---|---|
| Mn | 0.000000 | 0.000000 | 0.500000 | 0.9000 | 0.651 | 4b |
| Pr | 0.022580 | 0.250000 | 0.995214 | 0.6700 | 0.270 | 4c |
| Ba | −0.011257 | 0.250000 | 1.006197 | 0.3300 | 0.214 | 4c |
| O1 | 0.490000 | 0.250000 | 0.060800 | 1.0000 | 0.531 | 4c |
| O2 | 0.275900 | 0.034400 | 0.723900 | 1.0000 | 0.540 | 8d |
| Ru | 0.000000 | 0.000000 | 0.500000 | 0.1000 | 0.260 | 4b |
| Parameters | Pr0.67Ba0.33MnO3 | Pr0.67Ba0.33Mn0.9Ru0.1O3 |
|---|---|---|
| Symmetry | Orthorhombic | Orthorhombic |
| Space Group | Pnma | Pnma |
| a (Å) | 5.5216 | 5.5040 |
| b (Å) | 7.7720 | 7.7812 |
| c (Å) | 5.4971 | 5.5288 |
| A = β = γ | 90 | 90 |
| Unit cell volume (V) | 235.91 | 236.78 |
| χ2 | 1.017 | 1.030 |
| RF (%) | 8.58 | 11.96 |
| RP (%) | 10.45 | 11.74 |
| RWP (%) | 14.22 | 15.07 |
| Distances | Pr0.67Ba0.33MnO3 | Pr0.67Ba0.33Mn0.9Ru0.1O3 |
|---|---|---|
| 2 × Mn-O1 (Å) | 1.9723 | 1.9749 |
| 2 × Mn-O2 (Å) | 1.9767 | 1.9774 |
| 2 × Mn-O2 (Å) | 1.9764 | 1.9807 |
| <Mn-O>(Å) | 1.9751 | 1.9777 |
| Mn-O1-Mn (˚) | 158.6 | 158.5 |
| Mn-O2-Mn (˚) | 157.5 | 159.2 |
| <Mn-O-Mn> (˚) | 158.1 | 158.8 |
| (Ba/Pr1)-O1 (Å) | 2.9124 | 2.8976 |
| (Ba/Pr1)-O1 (Å) | 2.6037 | 2.6496 |
| (Ba/Pr1)-O1 (Å) | 3.0416 | 3.0944 |
| (Ba/Pr1)-O1 (Å) | 2.4523 | 2.4401 |
| 2× (Ba/Pr1)-O2 (Å) | 2.6925 | 2.6864 |
| 2× (Ba/Pr1)-O2 (Å) | 2.4499 | 2.4544 |
| 2× (Ba/Pr1)-O2 (Å) | 3.1145 | 3.1269 |
| 2× (Ba/Pr1)-O2 (Å) | 2.7912 | 2.7937 |
| <(Ba/Pr1)-O> (Å) | 2.7634 | 2.7671 |
© 2020 by the authors. Licensee MDPI, Basel, Switzerland. This article is an open access article distributed under the terms and conditions of the Creative Commons Attribution (CC BY) license (http://creativecommons.org/licenses/by/4.0/).
Share and Cite
Mohamed, Z.; Shahron, I.S.; Ibrahim, N.; Maulud, M.F. Influence of Ruthenium Doping on the Crystal Structure and Magnetic Properties of Pr0.67Ba0.33Mn1–xRuxO3 Manganites. Crystals 2020, 10, 295. https://doi.org/10.3390/cryst10040295
Mohamed Z, Shahron IS, Ibrahim N, Maulud MF. Influence of Ruthenium Doping on the Crystal Structure and Magnetic Properties of Pr0.67Ba0.33Mn1–xRuxO3 Manganites. Crystals. 2020; 10(4):295. https://doi.org/10.3390/cryst10040295
Chicago/Turabian StyleMohamed, Zakiah, Intan Syazwani Shahron, Norazila Ibrahim, and Mohd Fauzi Maulud. 2020. "Influence of Ruthenium Doping on the Crystal Structure and Magnetic Properties of Pr0.67Ba0.33Mn1–xRuxO3 Manganites" Crystals 10, no. 4: 295. https://doi.org/10.3390/cryst10040295
APA StyleMohamed, Z., Shahron, I. S., Ibrahim, N., & Maulud, M. F. (2020). Influence of Ruthenium Doping on the Crystal Structure and Magnetic Properties of Pr0.67Ba0.33Mn1–xRuxO3 Manganites. Crystals, 10(4), 295. https://doi.org/10.3390/cryst10040295
