Effect of the Fluorine Substitution for –OH Group on the Luminescence Property of Eu3+ Doped Hydroxyapatite
Abstract
1. Introduction
2. Materials and Methods
2.1. Preparation of Eu:FxH1−xAp Nanoparticles
2.2. Characterization of Eu:FxH1-xAp Nanoparticles
3. Results
3.1. Phase Composition and Chemical Structure
3.2. Morphology Observation
3.3. XPS
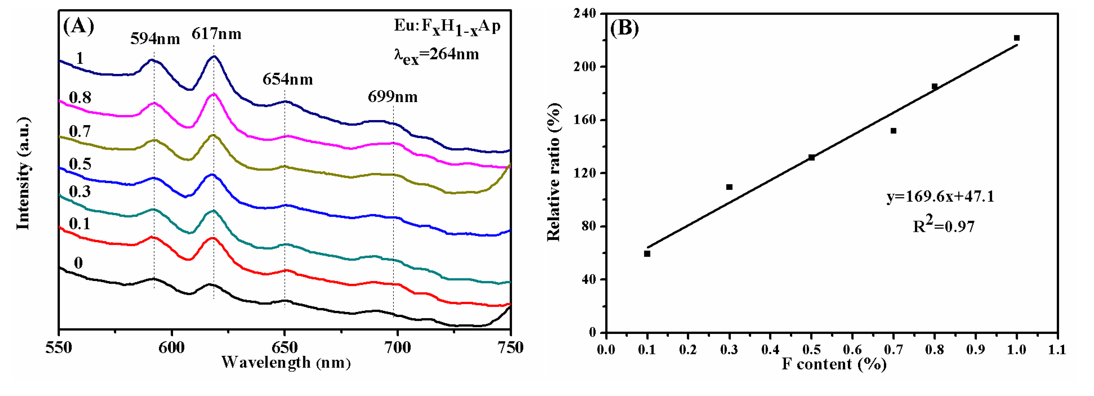
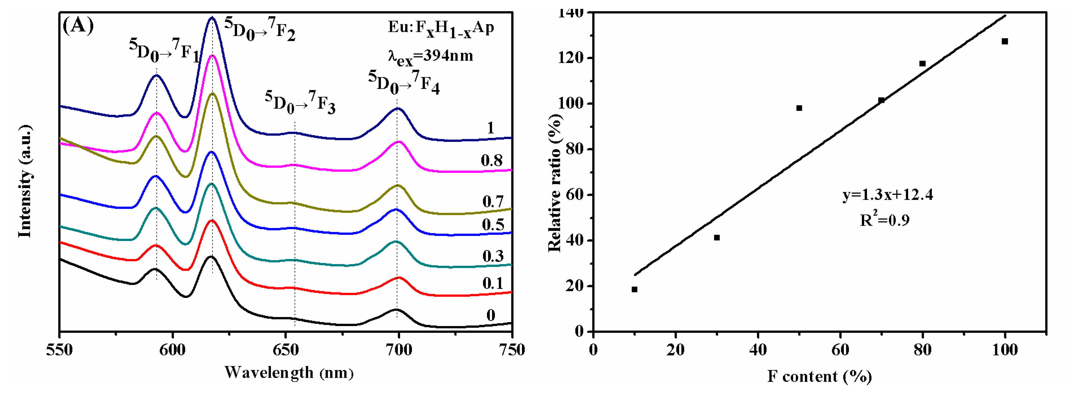
3.4. Luminescence Spectrum
4. Conclusions
Author Contributions
Funding
Conflicts of Interest
Appendix A
| Samples (Eu:FxH1−xAp, x) | D(002) (nm) | V × 103 (nm3) | Xc (%) |
|---|---|---|---|
| 0 | 39.4 | 529.0 | 38.73% |
| 0.1 | 39.8 | 528.6 | 35.46% |
| 0.3 | 40.6 | 528.0 | 28.87% |
| 0.5 | 35.7 | 527.9 | 20.87% |
| 0.7 | 36.5 | 523.7 | 21.49% |
| 0.8 | 32.8 | 522.2 | 43.11% |
| 1 | 33.7 | 522.5 | 55.56% |


| Molar Ratio | Calculated Value | Observed Value |
|---|---|---|
| Eu/(Ca + Eu) | 0.02 | 0.02 ± 0.01 |
| (Ca + Eu)/P | 1.67 | 1.69 ± 0.05 |
| F/(Ca + Eu) | 0.2 | 0.24 ± 0.04 |
| Samples (Eu:FxH1−xAp, x) | Length (nm) | Diameter (nm) | Aspect Ratio (%) |
|---|---|---|---|
| 0 | 77.70 ± 2.88 | 15.43 ± 0.26 | 5.04 |
| 0.3 | 54.37 ± 1.78 | 14.09 ± 0.30 | 3.86 |
| 0.5 | 47.19 ± 2.55 | 14.31 ± 0.15 | 3.30 |
| 1 | 43.36 ± 2.02 | 14.07 ± 0.49 | 3.08 |
References
- Tesch, A.; Wenisch, C.; Herrmann, K.H.; Reichenbach, J.R.; Warncke, P.; Fischer, D.; Müller, F.A. Luminomagnetic Eu3+- and Dy3+-doped hydroxyapatite for multimodal imaging. Mater. Sci. Eng. C 2017, 81, 422–431. [Google Scholar] [CrossRef] [PubMed]
- Niu, N.; Wang, D.; Huang, S.; Li, C.; He, F.; Gai, S.; Li, X.; Yang, P. Controlled synthesis of luminescent F-substituted strontium hydroxyapatite with hierarchical structures for drug delivery. CrystEngComm 2012, 14, 1744–1752. [Google Scholar] [CrossRef]
- Han, Y.; Wang, X.; Dai, H.; Li, S. Synthesis and luminescence of Eu3+ doped hydroxyapatite nanocrystallines: Effects of calcinations and Eu3+ content. J. Lumin. 2013, 135, 281–287. [Google Scholar] [CrossRef]
- Escudero, A.; Calvo, M.E.; Rivera Fernández, S.; de la Fuente, J.M.; Ocaña, M. Microwave Assisted Synthesis of Biocompatible Europium Doped Calcium Hydroxyapatite and Fluoroapatite Luminescent Nanospindles Functionalized with Poly(acrylic acid). Langmuir 2013, 29, 1985–1994. [Google Scholar] [CrossRef]
- Hui, J.; Zhang, X.; Zhang, Z.; Wang, S.; Tao, L.; Wei, Y.; Wang, X. Fluoridated HAp:Ln3+ (Ln = Eu or Tb) nanoparticles for cell imaging. Nanoscale 2012, 4, 6967–6970. [Google Scholar] [CrossRef]
- Ma, B.; Zhang, S.; Qiu, J.; Li, J.; Sang, Y.; Xia, H.; Jiang, H.; Claverie, J.; Liu, H. Eu/Tb codoped spindle-shaped fluorinated hydroxyapatite nanoparticles for dual-color cell imaging. Nanoscale 2016, 8, 11580–11587. [Google Scholar] [CrossRef]
- Li, J.; Wang, X.; Yi, X.; Zhang, L.; Zhou, Z.; Zhao, H.; Gao, F. Towards pH-sensitive imaging of small animals with photon-counting difference diffuse fluorescence tomography. J. Biomed. Opt. 2012, 17, 096011. [Google Scholar]
- Rao, J.; Dragulescu Andrasi, A.; Yao, H. Fluorescence imaging in vivo: Recent advances. Curr. Opin. Biotechnol. 2007, 18, 17–25. [Google Scholar]
- Sobierajska, P.; Wiglusz, R.J. Influence of the grain sizes on Stokes and anti-Stokes fluorescence in the Yb3+ and Tb3+ ions co-doped nanocrystalline fluorapatite. J. Alloys Compd. 2019, 785, 808–818. [Google Scholar] [CrossRef]
- Feng, Z.; Li, Y.; Huang, Y.; Seo, H.J. Luminescence properties of Eu2+ and Eu3+ doped calcium deficient hydroxyapatite prepared in air. J. Alloys Compd. 2011, 509, 7087–7092. [Google Scholar] [CrossRef]
- Graeve, O.A.; Kanakala, R.; Madadi, A.; Williams, B.C.; Glass, K.C. Luminescence variations in hydroxyapatites doped with Eu and Eu ions. Biomaterials 2010, 31, 4259–4267. [Google Scholar] [CrossRef]
- Xie, Y.; He, W.; Li, F.; Perera, T.S.; Gan, L.; Han, Y.; Wang, X.; Li, S.; Dai, H. Luminescence Enhanced Eu3+/Gd3+ Co-Doped Hydroxyapatite Nanocrystals as Imaging Agents In Vitro and In Vivo. ACS Appl. Mater. Interfaces 2016, 8, 10212–10219. [Google Scholar] [CrossRef] [PubMed]
- Chen, F.; Huang, P.; Zhu, Y.J.; Wu, J.; Zhang, C.L.; Cui, D.X. The photoluminescence, drug delivery and imaging properties of multifunctional Eu3+/Gd3+ dual-doped hydroxyapatite nanorods. Biomaterials 2011, 32, 9031–9039. [Google Scholar] [CrossRef] [PubMed]
- Zheng, X.; Liu, M.; Hui, J.; Fan, D.; Ma, H.; Zhang, X.; Wang, Y.; Wei, Y. Ln3+ doped hydroxyapatite nanocrystals: Controllable synthesis and cell imaging. Phys. Chem. Chem. Phys. 2015, 17, 20301–20307. [Google Scholar] [CrossRef] [PubMed]
- Karthi, S.; Kumar, G.A.; Sardar, D.K.; Dannangoda, G.C.; Martirosyan, K.S.; Girija, E.K. Fluorapatite coated iron oxide nanostructure for biomedical applications. Mater. Chem. Phys. 2017, 193, 356–363. [Google Scholar] [CrossRef]
- Stouwdam, J.W.; Veggel, F.C.J.M.V. Near-Infrared Emission of Redispersible Er3+, Nd3+, and Ho3+Doped LaF3 Nanoparticles. Nano Lett. 2002, 2, 733–737. [Google Scholar] [CrossRef]
- Landi, E.; Tampieri, A.; Celotti, G.; Sprio, S. Densification behaviour and mechanisms of synthetic hydroxyapatites. J. Eur. Ceram. Soc. 2000, 20, 2377–2387. [Google Scholar] [CrossRef]
- Viorel Marin, R.; Chuen How, N.; Max, W.; Brigitte, T.; Peter, F.; Peter, M.G. Size-controlled hydroxyapatite nanoparticles as self-organized organic-inorganic composite materials. Adv. Sci. Technol. 2005, 53, 32–37. [Google Scholar]
- Binnemans, K. Interpretation of europium(III) spectra. Coord. Chem. Rev. 2015, 295, 1–45. [Google Scholar] [CrossRef]
- Qin, J.; Zhong, Z.; Ma, J. Biomimetic synthesis of hybrid hydroxyapatite nanoparticles using nanogel template for controlled release of bovine serum albumin. Mater. Sci. Eng. C Mater. Biol. Appl. 2016, 62, 377–383. [Google Scholar] [CrossRef]
- Doat, A.; Fanjul, M.; Pellé, F.; Hollande, E.; Lebugle, A. Europium doped bioapatite: A new photostable biological probe, internalizable by human cells. Biomaterials 2003, 24, 3365–3371. [Google Scholar] [CrossRef]
- Hidouri, M.; Albeladi, N. Lanthanum Neodymium Co-Substituted Calcium Fluorobritholites. J. Mater. Sci. Chem. Eng. 2018, 6, 151–162. [Google Scholar] [CrossRef][Green Version]
- Biazar, E.; Jahandideh, R.; Majdi, A. Synthesis of fluorapatite– hydroxyapatite nanoparticles and toxicity investigations. Int. J. Nanomed. 2011. [Google Scholar] [CrossRef] [PubMed][Green Version]
- Misra, D.N. Adsorption on hydroxyapatite: Role of hydrogen bonding and interphase coupling. Langmuir 1988, 4, 953–958. [Google Scholar] [CrossRef]
- Misra, D.N. Adsorption from solutions on synthetic hydroxyapatite: Nonaqueous vs. aqueous solvents. J. Biomed. Mater. Res. 1999, 48, 848–855. [Google Scholar] [CrossRef]
- Santos, C.; Clarke, R.L.; Braden, M.; Guitian, F.; Davy, K.W.M. Water absorption characteristics of dental composites incorporating hydroxyapatite filler. Biomaterials 2002, 23, 1897–1904. [Google Scholar] [CrossRef]
- Rivas, M.; del Valle, L.J.; Turon, P.; Puiggalí, J.; Alemán, C. Influence of the atmosphere conditions in the structure, properties and solubility of fluorine-substituted hydroxyapatites. Mater. Chem. Phys. 2019, 226, 279–289. [Google Scholar] [CrossRef]
- Xing, Q.; Zhang, X.; Wu, D.; Han, Y.; Nirmali Wickramaratne, M.; Dai, H.; Wang, X. Ultrasound-Assisted Synthesis and Characterization of Heparin-Coated Eu3+ Doped Hydroxyapatite Luminescent Nanoparticles. Colloid Interface Sci. Commun. 2019, 29, 17–25. [Google Scholar] [CrossRef]
- Gaft, M.; Reisfeld, R.; Panczer, G.; Shoval, S.; Champagnon, B.; Boulon, G. Eu3+ luminescence in high-symmetry sites of natural apatite. J. Lumin. 1997, 72–74, 572–574. [Google Scholar] [CrossRef]
- Ternane, R.; Panczer, G.; Cohen Adad, M.T.; Goutaudier, C.; Boulon, G.; Kbir Ariguib, N.; Trabelsi Ayedi, M. Relationships between structural and luminescence properties in Eu3+-doped new calcium borohydroxyapatite. Opt. Mater. 2001, 16, 291–300. [Google Scholar] [CrossRef]
- Mcgahan, W.A. 6—Materials Characterization. In Handbook of Magento-Optical Data Recording; Elsevier: Amsterdam, The Netherlands, 1995; pp. 362–424. [Google Scholar]
- KlixbüllJørgensen, C.; Judd, B.R. Hypersensitive pseudoquadrupole transitions in lanthanides. Mol. Phys. 1964, 8, 281–290. [Google Scholar]
- Zhang, X.; Tan, Q.; Hu, S.; Yang, J. Hydrothermal synthesis of ScVO 4: Ln 3+ (Ln = Eu, Dy, Eu/Dy) microcrystals with controllable morphology, energy transfer and multicolor luminescence. Mater. Chem. Phys. 2018, 215, 259–268. [Google Scholar] [CrossRef]









© 2020 by the authors. Licensee MDPI, Basel, Switzerland. This article is an open access article distributed under the terms and conditions of the Creative Commons Attribution (CC BY) license (http://creativecommons.org/licenses/by/4.0/).
Share and Cite
Zhang, X.; Xing, Q.; Liao, L.; Han, Y. Effect of the Fluorine Substitution for –OH Group on the Luminescence Property of Eu3+ Doped Hydroxyapatite. Crystals 2020, 10, 191. https://doi.org/10.3390/cryst10030191
Zhang X, Xing Q, Liao L, Han Y. Effect of the Fluorine Substitution for –OH Group on the Luminescence Property of Eu3+ Doped Hydroxyapatite. Crystals. 2020; 10(3):191. https://doi.org/10.3390/cryst10030191
Chicago/Turabian StyleZhang, Xiaojun, Qingguo Xing, Lixuan Liao, and Yingchao Han. 2020. "Effect of the Fluorine Substitution for –OH Group on the Luminescence Property of Eu3+ Doped Hydroxyapatite" Crystals 10, no. 3: 191. https://doi.org/10.3390/cryst10030191
APA StyleZhang, X., Xing, Q., Liao, L., & Han, Y. (2020). Effect of the Fluorine Substitution for –OH Group on the Luminescence Property of Eu3+ Doped Hydroxyapatite. Crystals, 10(3), 191. https://doi.org/10.3390/cryst10030191
