New 1,8-Naphthalimide Derivatives as Photoinitiators for Free-Radical Polymerization Upon Visible Light
Abstract
:1. Introduction
2. Results and Discussion
2.1. Light Absorption Properties of the Naphthalimide Derivatives.
2.2. Initiation Efficiency of the Free-Radical Polymerization of Methacrylates
2.2.1. Photopolymerization Using the New 1,8-Naphthalimide Derivatives
2.2.2. Blank Measurements
2.3. Chemical Mechanisms Associated with the Proposed Three-Component System
2.3.1. Steady-State Photolysis
2.3.2. ESR-ST Experiments
2.3.3. Redox Experiments
3. Materials and Methods
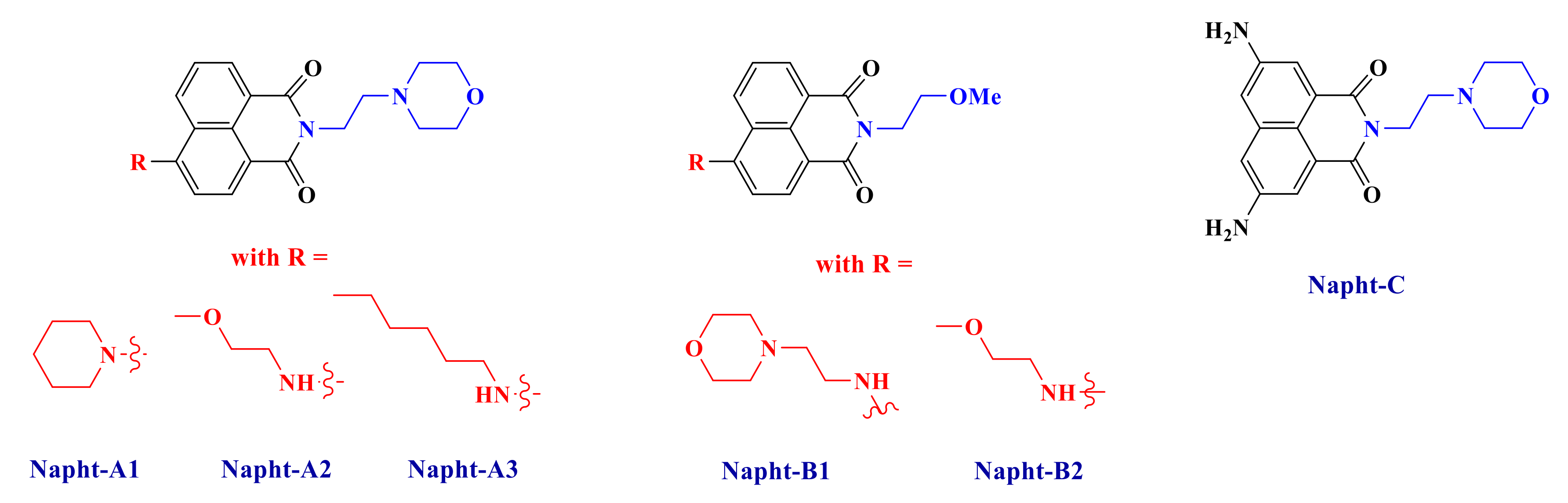
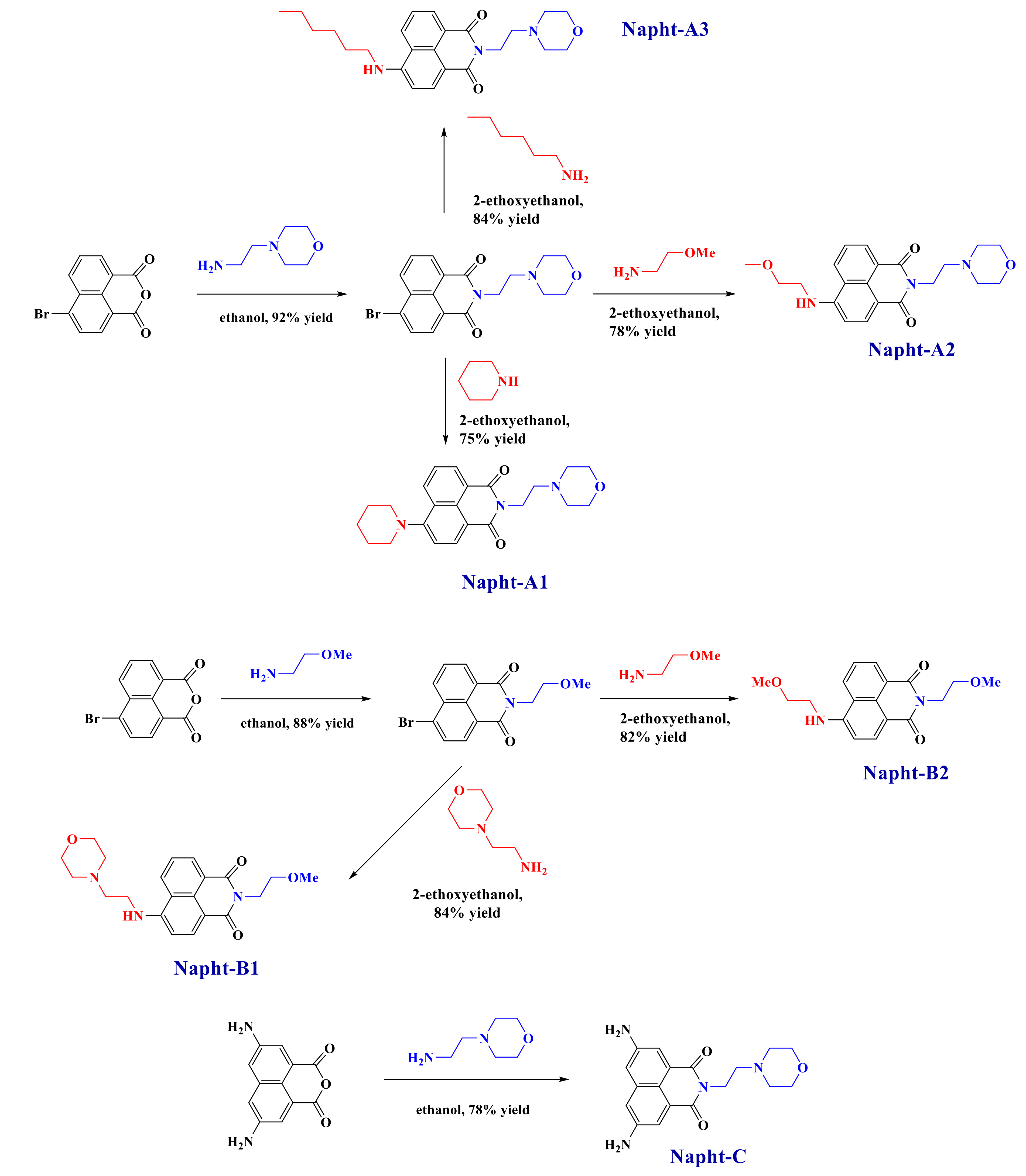
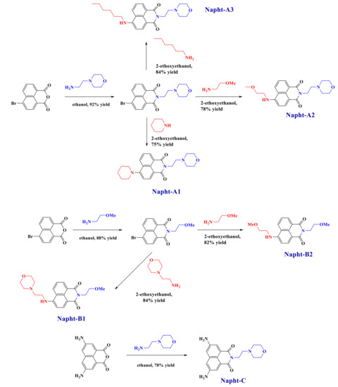
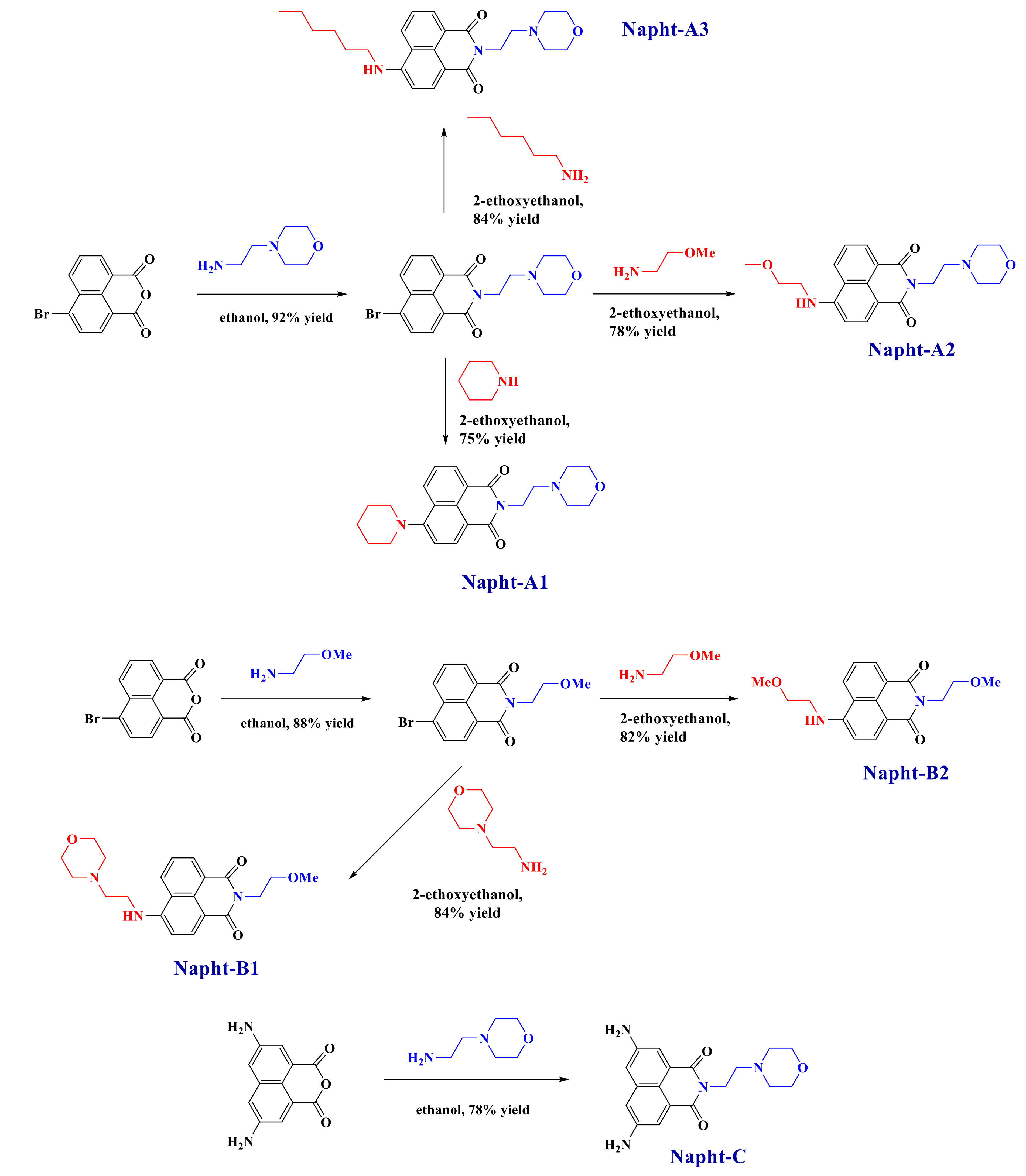
3.1. Chemical Compounds
3.1.1. Synthesis of 6-bromo-2-(2-morpholinoethyl)-1H-benzo[de]isoquinoline-1,3(2H)-dione
3.1.2. Synthesis of 6-bromo-2-(2-methoxyethyl)-1H-benzo[de]isoquinoline-1,3(2H)-dione
3.1.3. Synthesis of 2-(2-morpholinoethyl)-6-(piperidin-1-yl)-1H-benzo[de]isoquinoline-1,3(2H)-dione (Napht-A1)
3.1.4. Synthesis of 6-((2-methoxyethyl)amino)-2-(2-morpholinoethyl)-1H-benzo[de]isoquinoline-1,3(2H)-dione (Napht-A2)
3.1.5. Synthesis of 6-(hexylamino)-2-(2-morpholinoethyl)-1H-benzo[de]isoquinoline-1,3(2H)-dione (Napht-A3)
3.1.6. Synthesis of 2-(2-methoxyethyl)-6-((2-morpholinoethyl)amino)-1H-benzo[de]isoquinoline-1,3(2H)-dione (Napht-B1)
3.1.7. Synthesis of 2-(2-methoxyethyl)-6-((2-methoxyethyl)amino)-1H-benzo[de]isoquinoline-1,3(2H)-dione (Napht-B2)
3.1.8. Synthesis of 5,8-diamino-2-(2-morpholinoethyl)-1H-benzo[de]isoquinoline-1,3(2H)-dione (Napht-C)
3.2. Irradiation Sources
3.3. Free-Radical Photopolymerization (FRP)
3.4. Redox Potentials
3.5. ESR Spin Trapping (ESR-ST) Experiments
3.6. Absorption Spectra
3.7. Emission Spectra
3.8. Molecular Orbital Calculation
4. Conclusions
Supplementary Materials
Author Contributions
Funding
Acknowledgments
Conflicts of Interest
References
- Iwata, T. Biodegradable and Bio-Based Polymers: Future Prospects of Eco-Friendly Plastics. Angew. Chem. Int. Ed. 2015, 54, 3210–3215. [Google Scholar] [CrossRef] [PubMed]
- Khare, A.; Deshmukh, S. Studies toward Producing Eco-Friendly Plastics. J. Plast. Film Sheet. 2006, 22, 193–211. [Google Scholar] [CrossRef]
- Jambeck, J.R.; Geyer, R.; Wilcox, C.; Siegler, T.R.; Perryman, M.; Andrady, A.; Narayan, R.; Law, K.L. Plastic Waste Inputs from Land into the Ocean. Science 2015, 347, 768–771. [Google Scholar] [CrossRef] [PubMed]
- Fouassier, J.P.; Lalevée, J. Photoinitiators for Polymer Synthesis; Wiley Online Library: Weinheim, Germany, 2012. [Google Scholar]
- Moseley, H. Ultraviolet and Laser Radiation Safety. Phys. Med. Biol. 1994, 39, 1765. [Google Scholar] [CrossRef] [PubMed]
- Ganster, B.; Fischer, U.K.; Moszner, N.; Liska, R. New Photocleavable Structures, 4. Macromol. Rapid Commun. 2008, 29, 57–62. [Google Scholar] [CrossRef]
- Lalevée, J.; Allonas, X.; Fouassier, J.P. Acylgermanes: Excited State Processes and Reactivity. Chem. Phys. Lett. 2009, 469, 298–303. [Google Scholar] [CrossRef]
- Mitterbauer, M.; Knaack, P.; Naumov, S.; Markovic, M.; Ovsianikov, A.; Moszner, N.; Liska, R. Acylstannanes: Cleavable and Highly Reactive Photoinitiators for Radical Photopolymerization at Wavelengths above 500 Nm with Excellent Photobleaching Behavior. Angew. Chem. Int. Ed. 2018, 57, 12146–12150. [Google Scholar] [CrossRef]
- Radebner, J.; Eibel, A.; Leypold, M.; Jungwirth, N.; Pickl, T.; Torvisco, A.; Fischer, R.; Fischer, U.K.; Moszner, N.; Gescheidt, G.; et al. Tetraacylstannanes as Long-Wavelength Visible-Light Photoinitiators with Intriguing Low Toxicity. Chem. Eur. J. 2018, 24, 8281–8285. [Google Scholar] [CrossRef]
- Bouzrati-Zerelli, M.; Kirschner, J.; Fik, C.P.; Maier, M.; Dietlin, C.; Morlet-Savary, F.; Fouassier, J.P.; Becht, J.-M.; Klee, J.E.; Lalevée, J. Silyl Glyoxylates as a New Class of High Performance Photoinitiators: Blue LED Induced Polymerization of Methacrylates in Thin and Thick Films. Macromolecules 2017, 50, 6911–6923. [Google Scholar] [CrossRef]
- Xiao, P.; Zhang, J.; Dumur, F.; Tehfe, M.A.; Morlet-Savary, F.; Graff, B.; Gigmes, D.; Fouassier, J.P.; Lalevée, J. Visible Light Sensitive Photoinitiating Systems: Recent Progress in Cationic and Radical Photopolymerization Reactions under Soft Conditions. Prog. Polym. Sci. 2015, 41, 32–66. [Google Scholar] [CrossRef]
- Lalevée, J.; Fouassier, J.-P. Dyes and Chromophores in Polymer Science; John Wiley & Sons: Hoboken, NJ, USA, 2015. [Google Scholar]
- Fouassier, J.; Allonas, X.; Burget, D. Photopolymerization Reactions under Visible Lights: Principle, Mechanisms and Examples of Applications. Prog. Org. Coat. 2003, 47, 16–36. [Google Scholar] [CrossRef]
- Jin, R.; Tang, S. Theoretical Investigation into Optical and Electronic Properties of 1, 8-Naphthalimide Derivatives. J. Mol. Model. 2013, 19, 1685–1693. [Google Scholar] [CrossRef]
- Bureš, F. Fundamental Aspects of Property Tuning in Push–Pull Molecules. RSC Adv. 2014, 4, 58826–58851. [Google Scholar] [CrossRef]
- Banerjee, S.; Veale, E.B.; Phelan, C.M.; Murphy, S.A.; Tocci, G.M.; Gillespie, L.J.; Frimannsson, D.O.; Kelly, J.M.; Gunnlaugsson, T. Recent Advances in the Development of 1, 8-Naphthalimide Based DNA Targeting Binders, Anticancer and Fluorescent Cellular Imaging Agents. Chem. Soc. Rev. 2013, 42, 1601–1618. [Google Scholar] [CrossRef]
- Bojinov, V.B.; Simeonov, D.B. Synthesis of Highly Photostable Blue-Emitting 1, 8-Naphthalimides and Their Acrylonitrile Copolymers. Polym. Degrad. Stab. 2010, 95, 43–52. [Google Scholar] [CrossRef]
- Grabchev, I. Photophysical Characteristics of Polymerizable 1, 8-Naphthalimide Dyes and Their Copolymers with Styrene or Methylmethacrylate. Dyes Pig. 1998, 38, 219–226. [Google Scholar] [CrossRef]
- Xiao, P.; Dumur, F.; Frigoli, M.; Tehfe, M.-A.; Graff, B.; Fouassier, J.P.; Gigmes, D.; Lalevée, J. Naphthalimide Based Methacrylated Photoinitiators in Radical and Cationic Photopolymerization under Visible Light. Polym. Chem. 2013, 4, 5440–5448. [Google Scholar] [CrossRef]
- Xiao, P.; Dumur, F.; Graff, B.; Gigmes, D.; Fouassier, J.P.; Lalevée, J. Blue Light Sensitive Dyes for Various Photopolymerization Reactions: Naphthalimide and Naphthalic Anhydride Derivatives. Macromolecules 2014, 47, 601–608. [Google Scholar] [CrossRef]
- Zhang, J.; Zivic, N.; Dumur, F.; Xiao, P.; Graff, B.; Fouassier, J.P.; Gigmes, D.; Lalevee, J. UV-Violet-Blue LED Induced Polymerizations: Specific Photoinitiating Systems at 365, 385, 395 and 405 Nm. Polymer 2014, 55, 6641–6648. [Google Scholar] [CrossRef]
- Zhang, J.; Dumur, F.; Xiao, P.; Graff, B.; Bardelang, D.; Gigmes, D.; Fouassier, J.P.; Lalevée, J. Structure Design of Naphthalimide Derivatives: Toward Versatile Photoinitiators for near-UV/Visible LEDs, 3D Printing, and Water-Soluble Photoinitiating Systems. Macromolecules 2015, 48, 2054–2063. [Google Scholar] [CrossRef]
- Xiao, P.; Dumur, F.; Zhang, J.; Graff, B.; Gigmes, D.; Fouassier, J.P.; Lalevée, J. Amino and Nitro Substituted 2-Amino-1H-Benzo[de]Isoquinoline-1,3(2H)-Diones: As Versatile Photoinitiators of Polymerization from Violet-Blue LED Absorption to a Panchromatic Behavior. Polym. Chem. 2015, 6, 1171–1179. [Google Scholar] [CrossRef]
- Xiao, P.; Dumur, F.; Zhang, J.; Graff, B.; Gigmes, D.; Fouassier, J.P.; Lalevée, J. Naphthalimide-Phthalimide Derivative Based Photoinitiating Systems for Polymerization Reactions under Blue Lights. J. Polym. Sci. A Polym. Chem. 2015, 53, 665–674. [Google Scholar] [CrossRef]
- Garra, P.; Graff, B.; Morlet-Savary, F.; Dietlin, C.; Becht, J.-M.; Fouassier, J.-P.; Lalevée, J. Charge Transfer Complexes as Pan-Scaled Photoinitiating Systems: From 50 Μm 3D Printed Polymers at 405 Nm to Extremely Deep Photopolymerization (31 Cm). Macromolecules 2017, 51, 57–70. [Google Scholar] [CrossRef]
- Morlet-Savary, F.; Klee, J.E.; Pfefferkorn, F.; Fouassier, J.P.; Lalevée, J. The Camphorquinone/Amine and Camphorquinone/Amine/Phosphine Oxide Derivative Photoinitiating Systems: Overview, Mechanistic Approach, and Role of the Excitation Light Source. Macromol. Chem. Phys. 2015, 216, 2161–2170. [Google Scholar] [CrossRef]
- Duling, D.R. Simulation of Multiple Isotropic Spin-Trap EPR Spectra. J. Magn. Reson. Ser. B 1994, 104, 105–110. [Google Scholar] [CrossRef]
- Bouzrati-Zerelli, M.; Maier, M.; Fik, C.P.; Dietlin, C.; Morlet-Savary, F.; Fouassier, J.P.; Klee, J.E.; Lalevée, J. A Low Migration Phosphine to Overcome the Oxygen Inhibition in New High-Performance Photoinitiating Systems for Photocurable Dental Type Resins. Polym. Int. 2017, 66, 504–511. [Google Scholar] [CrossRef]
- Cook, W.D. Photopolymerization Kinetics of Dimethacrylates Using the Camphorquinone/Amine Initiator System. Polymer 1992, 33, 600–609. [Google Scholar] [CrossRef]
- Xiao, P.; Dumur, F.; Zhang, J.; Graff, B.; Gigmes, D.; Fouassier, J.P.; Lalevée, J. New Role of Aminothiazonaphthalimide Derivatives: Outstanding Photoinitiators for Cationic and Radical Photopolymerizations under Visible LEDs. RSC Adv. 2016, 6, 48684–48693. [Google Scholar] [CrossRef]
- Lalevée, J.; Blanchard, N.; Tehfe, M.-A.; Peter, M.; Morlet-Savary, F.; Fouassier, J.P. A Novel Photopolymerization Initiating System Based on an Iridium Complex Photocatalyst. Macromol. Rapid Commun. 2011, 32, 917–920. [Google Scholar] [CrossRef]
- Rehm, D.; Weller, A. Kinetics of Fluorescence Quenching by Electron and H-Atom Transfer. Isr. J. Chem. 1970, 8, 259–271. [Google Scholar] [CrossRef]
- Tehfe, M.-A.; Lalevee, J.; Gigmes, D.; Fouassier, J.P. Green Chemistry: Sunlight-Induced Cationic Polymerization of Renewable Epoxy Monomers under Air. Macromolecules 2010, 43, 1364–1370. [Google Scholar] [CrossRef]
- Atkins, P.; De Paula, J. Elements of Physical Chemistry; Oxford University Press: Oxford, MS, USA, 2013. [Google Scholar]
- Foresman, J.; Frish, E. Exploring Chemistry; Gaussian Inc.: Pittsburg, CA, USA, 1996. [Google Scholar]





















| Derivatives | λmax (nm) | ε (λmax) (L·mol−1·cm−1) | ε (395 nm) (L·mol−1·cm−1) | ε (405 nm) (L·mol−1·cm−1) | ε (470 nm) (L·mol−1·cm−1) |
|---|---|---|---|---|---|
| Napht-A1 | 391 | 4070 | 3970 | 3680 | 730 |
| Napht-A2 | 429 | 9310 | 5170 | 6860 | 2470 |
| Napht-A3 | 432 | 12000 | 5550 | 7760 | 4550 |
| Napht-B1 | 430 | 9100 | 4470 | 6150 | 3080 |
| Napht-B2 | 429 | 10770 | 5830 | 7760 | 2900 |
| Napht-C | 427 | 13070 | 8500 | 10310 | 3140 |
| CQ | 470 | 28 | 2 | 3 | 28 |
© 2019 by the authors. Licensee MDPI, Basel, Switzerland. This article is an open access article distributed under the terms and conditions of the Creative Commons Attribution (CC BY) license (http://creativecommons.org/licenses/by/4.0/).
Share and Cite
Bonardi, A.-H.; Zahouily, S.; Dietlin, C.; Graff, B.; Morlet-Savary, F.; Ibrahim-Ouali, M.; Gigmes, D.; Hoffmann, N.; Dumur, F.; Lalevée, J. New 1,8-Naphthalimide Derivatives as Photoinitiators for Free-Radical Polymerization Upon Visible Light. Catalysts 2019, 9, 637. https://doi.org/10.3390/catal9080637
Bonardi A-H, Zahouily S, Dietlin C, Graff B, Morlet-Savary F, Ibrahim-Ouali M, Gigmes D, Hoffmann N, Dumur F, Lalevée J. New 1,8-Naphthalimide Derivatives as Photoinitiators for Free-Radical Polymerization Upon Visible Light. Catalysts. 2019; 9(8):637. https://doi.org/10.3390/catal9080637
Chicago/Turabian StyleBonardi, Aude-Héloïse, Soraya Zahouily, Céline Dietlin, Bernadette Graff, Fabrice Morlet-Savary, Malika Ibrahim-Ouali, Didier Gigmes, Norbert Hoffmann, Frédéric Dumur, and Jacques Lalevée. 2019. "New 1,8-Naphthalimide Derivatives as Photoinitiators for Free-Radical Polymerization Upon Visible Light" Catalysts 9, no. 8: 637. https://doi.org/10.3390/catal9080637
APA StyleBonardi, A.-H., Zahouily, S., Dietlin, C., Graff, B., Morlet-Savary, F., Ibrahim-Ouali, M., Gigmes, D., Hoffmann, N., Dumur, F., & Lalevée, J. (2019). New 1,8-Naphthalimide Derivatives as Photoinitiators for Free-Radical Polymerization Upon Visible Light. Catalysts, 9(8), 637. https://doi.org/10.3390/catal9080637

