Enantioselective Catalytic Transformations of Barbituric Acid Derivatives
Abstract
1. Introduction
1.1. Context
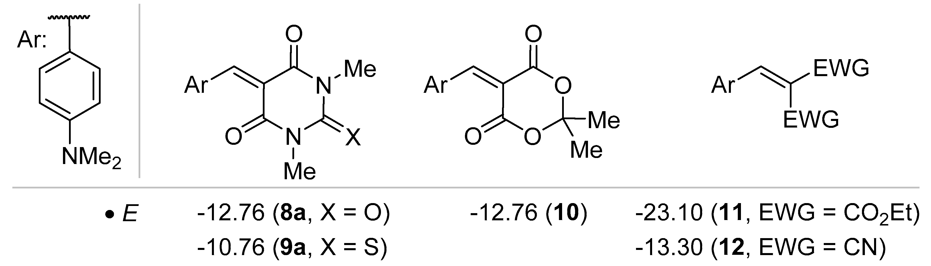
1.2. Properties of Barbituric Acid Derivatives
2. Enantioselective Transformations of Barbituric Acid Derivatives
2.1. Addition Reactions with Stereocenters Created Inside the Ring
2.2. Addition Reactions with Stereocenters Created Outside the Ring
2.3. Annulation Reactions
3. Enantioselective Transformations from Alkylidene Barbituric Acid
3.1. (3+2) Cycloaddition Reactions
3.2. (4+2) Cycloaddition Reactions
3.3. Other Cycloaddition Reactions
4. Conclusions
Author Contributions
Acknowledgements
Conflicts of Interest
Abbreviations
| BINOL | 1,1′-Bi-2-naphthol |
| DMSO | dimethyl sulfoxide |
| HPLC | High Performance Liquid Chromatography |
| THF | tetrahydrofuran |
| TS | Transition state |
References
- Baeyer, A. Mittheilungen aus dem organischen Laboratorium des Gewerbeinstitutes in Berlin: Untersuchungen über die Harnsäuregruppe. Justus Liebigs Ann. Chem. 1864, 130, 129–175. [Google Scholar] [CrossRef]
- Fischer, E.; von, M. New class of narcotics. Ther. Ggw. 1903, 44, 97–101. [Google Scholar]
- Moussier, N.; Bruche, L.; Viani, F.; Zanda, M. Fluorinated Barbituric Acid Derivatives: Synthesis and Bio-activity. Curr. Org. Chem. 2003, 7, 1071–1080. [Google Scholar] [CrossRef]
- Bojarski, J.T.; Mokrosz, J.L.; Barton, H.J.; Paluchowska, M.H. Recent progress in barbituric acid chemistry. Adv. Heterocycl. Chem. 1985, 38, 229–297. [Google Scholar] [CrossRef]
- Sans, R.G.; Chozas, M.G. Historical aspects and applications of barbituric acid derivatives. A review. Pharmazie 1988, 43, 827–829. [Google Scholar]
- Nikoofar, K.; Khademi, Z. Barbituric Acids in Organic Transformations, An Outlook to the Reaction Media. Mini-Rev. Org. Chem. 2017, 14, 143–173. [Google Scholar] [CrossRef]
- Bialer, M. How did phenobarbital’s chemical structure affect the development of subsequent antiepileptic drugs (AEDs)? Epilepsia 2012, 53, 3–11. [Google Scholar] [CrossRef]
- Renard, A.; Lhomme, J.; Kotera, M. Synthesis and Properties of Spiro Nucleosides Containing the Barbituric Acid Moiety. J. Org. Chem. 2002, 67, 1302–1307. [Google Scholar] [CrossRef] [PubMed]
- Kim, S.-H.; Pudzianowski, A.T.; Leavitt, K.J.; Barbosa, J.; McDonnell, P.A.; Metzler, W.J.; Rankin, B.M.; Liu, R.; Vaccaro, W.; Pitts, W. Structure-based design of potent and selective inhibitors of collagenase-3 (MMP-13). Bioorg. Med. Chem. Lett. 2005, 15, 1101–1106. [Google Scholar] [CrossRef]
- Fessenden, R.J.; Larsen, J.G.; Coon, M.D.; Fessenden, J.S. Silicon Heterocyclic Compounds. III. Silicon-Substituted Spirobarbiturates. J. Med. Chem. 1964, 7, 695–698. [Google Scholar] [CrossRef]
- Duan, J.J.W.; Chen, L.; Lu, Z.; Jiang, B.; Asakawa, N.; Sheppeck, J.E.; Liu, R.-Q.; Covington, M.B.; Pitts, W.; Kim, S.-H.; et al. Discovery of low nanomolar non-hydroxamate inhibitors of tumor necrosis factor-α converting enzyme (TACE). Bioorg. Med. Chem. Lett. 2007, 17, 266–271. [Google Scholar] [CrossRef] [PubMed]
- Ingle, V.N.; Gaidhane, P.K.; Dutta, S.S.; Naha, P.P.; Sengupta, M.S. Synthesis of Novel Galactopyranosyl-Derived Spiro Barbiturates. J. Carbohydr. Chem. 2006, 25, 661–671. [Google Scholar] [CrossRef]
- Hese, S.V.; Meshram, R.J.; Kamble, R.D.; Mogle, P.P.; Patil, K.K.; Kamble, S.S. Antidiabetic and allied biochemical roles of new chromeno-pyrano pyrimidine compounds: Synthesis, in vitro and in silico analysis. Med. Chem. Res. 2017, 26, 805–818. [Google Scholar] [CrossRef]
- Kalaria, P.N.; Satasia, S.P.; Raval, D.K. Synthesis, characterization and biological screening of novel 5-imidazopyrazole incorporated fused pyran motifs under microwave irradiation. New J. Chem. 2014, 38, 1512–1521. [Google Scholar] [CrossRef]
- Gomes, R.F.A.; Coelho, J.A.S.; Afonso, C.A.M. Synthesis and Applications of Stenhouse Salts and Derivatives. Chem. Eur. J. 2018, 24, 9170–9186. [Google Scholar] [CrossRef] [PubMed]
- Mohammadi Ziarani, G.; Aleali, F.; Lashgari, N. Recent applications of barbituric acid in multicomponent reactions. RSC Adv. 2016, 6, 50895–50922. [Google Scholar] [CrossRef]
- Schade, A.; Schreiter, K.; Rüffer, T.; Lang, H.; Spange, S. Interactions of Enolizable Barbiturate Dyes. Chem. Eur. J. 2016, 22, 5734–5748. [Google Scholar] [CrossRef] [PubMed]
- Shaker, R.M.; Ishak, E.A. Barbituric acid utility in multicomponent reactions. Z. Naturforsch. B J. Chem. Sci. 2011, 66, 1189–1201. [Google Scholar] [CrossRef]
- Bojarski, J. Chiral barbiturates: Synthesis, chromatographic resolutions, and biological activity. Chem. Anal. (New York) 1997, 142, 201–234. [Google Scholar]
- Brunner, H.; Deml, I.; Dirnberger, W.; Nuber, B.; Reißer, W. Enantioselective Palladium-Catalysed Allylation of 1,5-Dimethylbarbituric Acid. Eur. J. Inorg. Chem. 1998. [Google Scholar] [CrossRef]
- Brunner, H.; Fürst, J. Enantioselective allylation of 1,5-dimethylbarbituric acid with Pd catalysts and new optically active PN ligands. Inorg. Chim. Acta 1994, 220, 63–66. [Google Scholar] [CrossRef]
- Brunner, H.; Deml, I.; Dirnberger, W.; Ittner, K.-P.; Reißer, W.; Zimmermann, M. Synthesis of the Stereoisomers of Methohexital by Palladium-Catalyzed Allylation. Eur. J. Inorg. Chem. 1999. [Google Scholar] [CrossRef]
- Brunner, H.; Rückert, T. Enantioselektive Katalyse, 121. Mitt. [1]: Chirale Phosphanliganden mit zusätzlichen Sauerstoffunktionalitäten. Monatshefte Chem./Chem. Mon. 1998, 129, 339–354. [Google Scholar] [CrossRef]
- Bordwell, F.G. Equilibrium acidities in dimethyl sulfoxide solution. Acc. Chem. Res. 1988, 21, 456–463. [Google Scholar] [CrossRef]
- Pair, E.; Cadart, T.; Levacher, V.; Brière, J.-F. Meldrum’s Acid: A Useful Platform in Asymmetric Organocatalysis. ChemCatChem 2016, 8, 1882–1890. [Google Scholar] [CrossRef]
- Dumas, A.M.; Fillion, E. Meldrum’s Acids and 5-Alkylidene Meldrum’s Acids in Catalytic Carbon−Carbon Bond-Forming Processes. Acc. Chem. Res. 2009, 43, 440–454. [Google Scholar] [CrossRef]
- Bug, T.; Mayr, H. Nucleophilic Reactivities of Carbanions in Water: The Unique Behavior of the Malodinitrile Anion. J. Am. Chem. Soc. 2003, 125, 12980–12986. [Google Scholar] [CrossRef]
- Schade, A.; Tchernook, I.; Bauer, M.; Oehlke, A.; Breugst, M.; Friedrich, J.; Spange, S. Kinetics of Electrophilic Alkylations of Barbiturate and Thiobarbiturate Anions. J. Org. Chem. 2017, 82, 8476–8488. [Google Scholar] [CrossRef]
- Seeliger, F.; Berger, S.T.A.; Remennikov, G.Y.; Polborn, K.; Mayr, H. Electrophilicity of 5-Benzylidene-1,3-dimethylbarbituric and -thiobarbituric Acids. J. Org. Chem. 2007, 72, 9170–9180. [Google Scholar] [CrossRef]
- Trost, B.M.; Schroeder, G.M. Palladium-Catalyzed Asymmetric Allylic Alkylation of Barbituric Acid Derivatives: Enantioselective Syntheses of Cyclopentobarbital and Pentobarbital. J. Org. Chem. 2000, 65, 1569–1573. [Google Scholar] [CrossRef]
- del Pozo, S.; Vera, S.; Oiarbide, M.; Palomo, C. Catalytic Asymmetric Synthesis of Quaternary Barbituric Acids. J. Am. Chem. Soc. 2017, 139, 15308–15311. [Google Scholar] [CrossRef]
- Trost, B.M.; Van Vranken, D.L. Asymmetric Transition Metal-Catalyzed Allylic Alkylations. Chem. Rev. 1996, 96, 395–422. [Google Scholar] [CrossRef]
- Rombola, M.; Sumaria, C.S.; Montgomery, T.D.; Rawal, V.H. Development of Chiral, Bifunctional Thiosquaramides: Enantioselective Michael Additions of Barbituric Acids to Nitroalkenes. J. Am. Chem. Soc. 2017, 139, 5297–5300. [Google Scholar] [CrossRef]
- Liu, Y.; Zhang, Y.; Duan, H.-X.; Wanyan, D.-Y.; Wang, Y.-Q. Enantioselective organocatalytic Michael additions of N,N′-dialkylbarbituric acids to enones. Org. Biomol. Chem. 2017, 15, 8669–8679. [Google Scholar] [CrossRef]
- Zhang, J.; Yin, G.; Du, Y.; Yang, Z.; Li, Y.; Chen, L. Michael–Michael Addition Reactions Promoted by Secondary Amine-Thiourea: Stereocontrolled Construction of Barbiturate-Fused Tetrahydropyrano Scaffolds and Pyranocoumarins. J. Org. Chem. 2017, 82, 13594–13601. [Google Scholar] [CrossRef]
- Zhu, Y.; Wang, Z.; Zhang, J.; Yu, J.; Yan, L.; Li, Y.; Chen, L.; Yan, X. An Organocatalytic Synthesis of Chiral Pyrano[2,3-d]pyrimidines through [3 + 3] Annulation of 1,3-Dimethyl-barbituric Acid with 2-(1-Alkynyl)-2-alken-1-ones. Eur. J. Org. Chem. 2018, 2018, 347–354. [Google Scholar] [CrossRef]
- Reddy|Chidipudi, S.; Burns, D.J.; Khan, I.; Lam, H.W. Enantioselective Synthesis of Spiroindenes by Enol-Directed Rhodium(III)-Catalyzed C-H Functionalization and Spiroannulation. Angew. Chem. Int. Ed. 2015, 54, 13975–13979. [Google Scholar] [CrossRef]
- Zhao, H.-W.; Tian, T.; Li, B.; Yang, Z.; Pang, H.-L.; Meng, W.; Song, X.-Q.; Chen, X.-Q. Diastereoselective Synthesis of Dispirobarbiturates through Et3N-Catalyzed [3 + 2] Cycloaddition of Barbiturate-Based Olefins with 3-Isothiocyanato Oxindoles. J. Org. Chem. 2015, 80, 10380–10385. [Google Scholar] [CrossRef]
- Zhao, H.-W.; Tian, T.; Pang, H.-L.; Li, B.; Chen, X.-Q.; Yang, Z.; Meng, W.; Song, X.-Q.; Zhao, Y.-D.; Liu, Y.-Y. Organocatalytic [3 + 2] Cycloadditions of Barbiturate-Based Olefins with 3-Isothiocyanato Oxindoles: Highly Diastereoselective and Enantioselective Synthesis of Dispirobarbiturates. Adv. Synth. Catal. 2016, 358, 2619–2630. [Google Scholar] [CrossRef]
- Frankowski, S.; Gajda, T.; Albrecht, Ł. Isothiocyanate Strategy for the Synthesis of Quaternary α-Amino Acids Bearing a Spirocyclic Ring System. Adv. Synth. Catal. 2018, 360, 1822–1832. [Google Scholar] [CrossRef]
- Liu, Y.; Yang, W.; Wu, Y.; Mao, B.; Gao, X.; Liu, H.; Sun, Z.; Xiao, Y.; Guo, H. Asymmetric Construction of Highly Functionalized Spirobarbiturate-Cyclopentenes through Chiral Phosphine-Catalyzed [3 + 2] Annulation of Morita–Baylis–Hillman Carbonates with Barbiturate-Derived Alkenes. Adv. Synth. Catal. 2016, 358, 2867–2872. [Google Scholar] [CrossRef]
- Gao, X.; Li, Z.; Yang, W.; Liu, Y.; Chen, W.; Zhang, C.; Zheng, L.; Guo, H. Phosphine-catalyzed [3 + 2] and [4 + 2] annulation reactions of ynones with barbiturate-derived alkenes. Org. Biomol. Chem. 2017, 15, 5298–5307. [Google Scholar] [CrossRef]
- Shul’ts, E.E.; Andreev, G.N.; Shakirov, M.M.; Komarova, N.I.; Bagryanskaya, I.Y.; Gatilov, Y.V.; Tolstikov, G.A. Diels-Alder reactions with cyclic sulfones: VIII. Organic catalysis in the synthesis of spiro[1-benzothiophene-4,5’-pyrimidine]-2’,4’,6’-trione 1,1-dioxides and 2’-thioxospiro[1-benzothiophene-4,5’-pyrimidine]-4’,6’-dione 1,1-dioxides. Russ. J. Org. Chem. 2009, 45, 87–101. [Google Scholar] [CrossRef]
- Liu, H.; Liu, Y.; Yuan, C.; Wang, G.-P.; Zhu, S.-F.; Wu, Y.; Wang, B.; Sun, Z.; Xiao, Y.; Zhou, Q.-L.; et al. Enantioselective Synthesis of Spirobarbiturate-Cyclohexenes through Phosphine-Catalyzed Asymmetric [4 + 2] Annulation of Barbiturate-Derived Alkenes with Allenoates. Org. Lett. 2016, 18, 1302–1305. [Google Scholar] [CrossRef]
- Zhao, H.-W.; Feng, N.-N.; Guo, J.-M.; Du, J.; Ding, W.-Q.; Wang, L.-R.; Song, X.-Q. Diastereoselective and Enantioselective Synthesis of Barbiturate-Fused Spirotetrahydroquinolines via Chiral Palladium(0)/Ligand Complex Catalyzed [4 + 2] Cycloaddition of Vinyl Benzoxazinanones with Barbiturate-Based Olefins. J. Org. Chem. 2018, 83, 9291–9299. [Google Scholar] [CrossRef]
- Bhattacharjee, D.; Sutradhar, D.; Chandra, A.K.; Myrboh, B. l-proline as an efficient asymmetric induction catalyst in the synthesis of chromeno[2,3-d]pyrimidine-triones, xanthenes in water. Tetrahedron 2017, 73, 3497–3504. [Google Scholar] [CrossRef]
- Gao, Z.; Wang, C.; Zhou, L.; Yuan, C.; Xiao, Y.; Guo, H. Phosphine-Catalyzed [8 + 2]-Annulation of Heptafulvenes with Allenoates and Its Asymmetric Variant: Construction of Bicyclo[5.3.0]decane Scaffold. Org. Lett. 2018, 20, 4302–4305. [Google Scholar] [CrossRef]






























© 2019 by the authors. Licensee MDPI, Basel, Switzerland. This article is an open access article distributed under the terms and conditions of the Creative Commons Attribution (CC BY) license (http://creativecommons.org/licenses/by/4.0/).
Share and Cite
Segovia, C.; Lebrêne, A.; Levacher, V.; Oudeyer, S.; Brière, J.-F. Enantioselective Catalytic Transformations of Barbituric Acid Derivatives. Catalysts 2019, 9, 131. https://doi.org/10.3390/catal9020131
Segovia C, Lebrêne A, Levacher V, Oudeyer S, Brière J-F. Enantioselective Catalytic Transformations of Barbituric Acid Derivatives. Catalysts. 2019; 9(2):131. https://doi.org/10.3390/catal9020131
Chicago/Turabian StyleSegovia, Claire, Arthur Lebrêne, Vincent Levacher, Sylvain Oudeyer, and Jean-François Brière. 2019. "Enantioselective Catalytic Transformations of Barbituric Acid Derivatives" Catalysts 9, no. 2: 131. https://doi.org/10.3390/catal9020131
APA StyleSegovia, C., Lebrêne, A., Levacher, V., Oudeyer, S., & Brière, J.-F. (2019). Enantioselective Catalytic Transformations of Barbituric Acid Derivatives. Catalysts, 9(2), 131. https://doi.org/10.3390/catal9020131

