Tailoring of Hydrotalcite-Derived Cu-Based Catalysts for CO2 Hydrogenation to Methanol
Abstract
1. Introduction
2. Results and Discussion
2.1. Physico-Chemical Properties
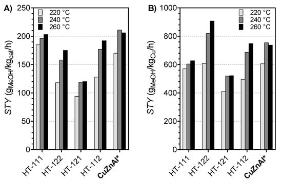
2.2. Catalytic Activity
2.3. Structure–Activity Relationships
3. Materials and Methods
3.1. Catalyst Preparation
3.2. Catalytic Testing
3.3. Catalyst Characterization
3.3.1. X-Ray Fluorescence Analysis (XRF)
3.3.2. XRD Characterization
3.3.3. N2 Physisorption
3.3.4. Temperature-Programmed Reduction (TPR)
3.3.5. N2O Chemisorption Measurements
3.3.6. CO2 Temperature-Programmed Desorption (CO2-TPD)
3.3.7. Scanning Electron Microscopy (SEM)
3.3.8. Transmission Electron Microscopy (TEM)
4. Conclusions
Author Contributions
Funding
Conflicts of Interest
References
- Natesakhawat, S.; Lekse, J.W.; Baltrus, J.P.; Ohodnicki, P.R.; Howard, B.H.; Deng, X.Y.; Matranga, C. Active Sites and Structure–Activity Relationships of Copper-Based Catalysts for Carbon Dioxide Hydrogenation to Methanol. ACS Catal. 2012, 2, 1667–1676. [Google Scholar] [CrossRef]
- Kunkes, E.L.; Studt, F.; Abild-Pedersen, F.; Schlögl, R.; Behrens, M. Hydrogenation of CO2 to methanol and CO on Cu/ZnO/Al2O3: Is there a common intermediate or not? J. Catal. 2015, 328, 43–48. [Google Scholar] [CrossRef]
- Behrens, M. Heterogeneous Catalysis of CO2 Conversion to Methanol on Copper Surfaces. Angew. Chem. Int. Ed. 2014, 53, 12022–12024. [Google Scholar] [CrossRef]
- Lunkenbein, T.; Schumann, J.; Behrens, M.; Schlögl, R.; Willinger, M.G. Formation of a ZnO overlayer in industrial Cu/ZnO/Al2O3 catalysts induced by strong metal–support interactions. Angew. Chem. Int. Ed. 2015, 54, 4544–4548. [Google Scholar] [CrossRef] [PubMed]
- Martin, O.; Perez-Ramirez, J. New and revisited insights into the promotion of methanol synthesis catalysts by CO2. Catal. Sci. Technol. 2013, 3, 3343–3352. [Google Scholar] [CrossRef]
- Arena, F.; Mezzatesta, G.; Zafarana, G.; Trunfio, G.; Frusteri, F.; Spadaro, L. Effects of oxide carriers on surface functionality and process performance of the Cu–ZnO system in the synthesis of methanol via CO2 hydrogenation. J. Catal. 2013, 300, 141–151. [Google Scholar] [CrossRef]
- Schumann, J.; Eichelbaum, M.; Lunkenbein, T.; Thomas, N.; Galvan, M.C.A.; Schlögl, R.; Behrens, M. Promoting strong metal support interaction: Doping ZnO for enhanced activity of Cu/ZnO:M (M = Al, Ga, Mg) catalysts. ACS Catal. 2015, 5, 3260–3270. [Google Scholar] [CrossRef]
- Baltes, C.; Vukojevic, S.; Schuth, F. Correlations between synthesis, precursor, and catalyst structure and activity of a large set of CuO/ZnO/Al2O3 catalysts for methanol synthesis. J. Catal. 2008, 258, 334–344. [Google Scholar] [CrossRef]
- Muhamad, E.N.; Irmawati, R.; Tautiq-Yap, Y.H.; Abdullah, A.H.; Kniep, B.L.; Girgsdies, F.; Ressler, T. Comparative study of Cu/ZnO catalysts derived from different precursors as a function of aging. Catal. Today 2008, 131, 118–124. [Google Scholar] [CrossRef]
- Kniep, B.L.; Girgsdies, F.; Ressler, T. Effect of precipitate aging on the microstructural characteristics of Cu/ZnO catalysts for methanol steam reforming. J. Catal. 2005, 236, 34–44. [Google Scholar] [CrossRef]
- Behrens, M.; Kissner, S.; Girsgdies, F.; Kasatkin, I.; Hermerschmidt, F.; Mette, K.; Ruland, H.; Muhler, M.; Schlögl, R. Knowledge-based development of a nitrate-free synthesis route for Cu/ZnO methanol synthesis catalysts via formate precursors. Chem. Commun. 2011, 47, 1701–1703. [Google Scholar] [CrossRef] [PubMed]
- Behrens, M. Meso- and nano-structuring of industrial Cu/ZnO/(Al2O3) catalysts. J. Catal. 2009, 267, 24–29. [Google Scholar] [CrossRef]
- Gao, P.; Li, F.; Zhan, H.J.; Zhao, N.; Xiao, F.K.; Wei, W.; Zhong, L.S.; Wang, H.; Sun, Y.H. Influence of Zr on the performance of Cu/Zn/Al/Zr catalysts via hydrotalcite-like precursors for CO2 hydrogenation to methanol. J. Catal. 2013, 298, 51–60. [Google Scholar] [CrossRef]
- Li, C.; Yuan, X.; Fujimoto, K. Development of highly stable catalyst for methanol synthesis from carbon dioxide. Appl. Catal. A 2014, 469, 306–311. [Google Scholar] [CrossRef]
- Catizzone, E.; Bonura, G.; Migliori, M.; Frusteri, F.; Giordano, G. CO2 Recycling to Dimethyl Ether: State-of-the-Art and Perspectives. Molecules 2018, 23, 31. [Google Scholar] [CrossRef]
- Tisseraud, C.; Comminges, C.; Belin, T.; Ahouari, H.; Soualah, A.; Pouilloux, Y.; Le Valant, A. The Cu–ZnO synergy in methanol synthesis from CO2, Part 2: Origin of the methanol and CO selectivities explained by experimental studies and a sphere contact quantification model in randomly packed binary mixtures on Cu–ZnO coprecipitate catalysts. J. Catal. 2015, 330, 533–544. [Google Scholar] [CrossRef]
- Bonura, G.; Cordaro, M.; Cannilla, C.; Arena, F.; Frusteri, F. The changing nature of the active site of Cu-Zn-Zr catalysts for the CO2 hydrogenation reaction to methanol. Appl. Catal. B 2014, 152–153, 152–161. [Google Scholar] [CrossRef]
- Kühl, S.; Schumann, J.; Kasatkin, I.; Havecker, M.; Schlögl, R.; Behrens, M. Ternary and quaternary Cr or Ga-containing ex-LDH catalysts—Influence of the additional oxides onto the microstructure and activity of Cu/ZnAl2O4 catalysts. Catal. Today 2015, 246, 92–100. [Google Scholar] [CrossRef]
- Kühl, S.; Tarasov, A.; Zander, S.; Kasatkin, I.; Behrens, M. Cu-Based Catalyst Resulting from a Cu, Zn, Al Hydrotalcite-Like Compound: A Microstructural, Thermoanalytical, and In Situ XAS Study. Chem. Eur. J. 2014, 20, 3782–3792. [Google Scholar] [CrossRef]
- Bonura, G.; Khassin, A.A.; Yurieva, T.M.; Cannilla, C.; Frusteri, F.; Frusteri, L. Structure control on kinetics of copper reduction in Zr–containing mixed oxides during catalytic hydrogenation of carbon oxides to methanol. Catal. Today 2018, in press. [Google Scholar] [CrossRef]
- Ahouari, H.; Soualah, A.; Le Valant, A.; Pinard, L.; Magnoux, P.; Pouilloux, Y. Methanol synthesis from CO2 hydrogenation over copper based catalysts. React.Kinet. Mech. Catal. 2013, 110, 131–145. [Google Scholar] [CrossRef]
- Ren, S.; Shoemaker, W.R.; Wang, X.; Shang, Z.; Klinghoffer, N.; Li, S.; Yu, M.; He, X.; White, T.A.; Liang, X. Highly active and selective Cu-ZnO based catalyst for methanol and dimethyl ether synthesis via CO2 hydrogenation. Fuel 2019, 230, 1125–1133. [Google Scholar] [CrossRef]
- Bao, J.; Yang, G.; Yoneyama, Y.; Tsubaki, N. Significant Advances in C1 Catalysis: Highly Efficient Catalysts and Catalytic Reactions. ACS Catal. 2019, 9, 3026–3053. [Google Scholar] [CrossRef]
- Jung-Il Yang, J.-I.; Kim, J.-N. Hydrotalcites for adsorption of CO2 at high temperature. Korean J. Chem. Eng. 2006, 23, 77–80. [Google Scholar] [CrossRef]
- Tang, Y.; Liu, Y.; Zhu, P.; Xue, Q.; Chen, L.; Lu, Y. High-Performance HTLcs-Derived CuZnAl Catalysts for Hydrogen Production via Methanol Steam Reforming. AIChE J. 2009, 55, 1217–1228. [Google Scholar] [CrossRef]
- Sikander, U.; Sufian, S.; Salam, M.A. A review of hydrotalcite based catalysts for hydrogen production systems. Int. J. Hydrog. Energy 2017, 42, 19851–19868. [Google Scholar] [CrossRef]
- Debecker, D.P.; Gaigneaux, E.M.; Busca, G. Exploring, Tuning, and Exploiting the Basicity of Hydrotalcites for Applications in Heterogeneous Catalysis. Chem. Eur. J. 2009, 15, 3920–3935. [Google Scholar] [CrossRef]
- Tichit, D.; Coq, B. Catalysis by Hydrotalcites and Related Materials. Cattech 2003, 7, 206–217. [Google Scholar] [CrossRef]
- Daza, Y.A.; Kuhn, J.N. CO2 conversion by reverse water gas shift catalysis: Comparison of catalysts, mechanisms and their consequences for CO2 conversion to liquid fuels. RSC Adv. 2016, 6, 49675–49691. [Google Scholar] [CrossRef]
- Pastor-Pérez, L.; Shah, M.; le Saché, E.; Ramirez Reina, T. Improving Fe/Al2O3 Catalysts for the Reverse Water-Gas Shift Reaction: On the Effect of Cs as Activity/Selectivity Promoter. Catalysts 2018, 8, 608. [Google Scholar] [CrossRef]









| Catalyst Sample | Analytical Comp. (wt.%) (a) | Zn/(Cu + Zn + Al) | SABET(b) | PV(b) | APD(c) | ||
|---|---|---|---|---|---|---|---|
| CuO | ZnO | Al2O3 | (at/at) | (m2/g) | (cm3/g) | (Å) | |
| HT-111 | 37.5 | 38.4 | 24.1 | 0.33 | 74.7 ± 0.2 | 0.586 | 314 |
| HT-122 | 23.1 | 47.3 | 29.6 | 0.40 | 62.3 ± 0.3 | 0.503 | 323 |
| HT-121 | 27.1 | 55.5 | 17.4 | 0.50 | 28.6 ± 0.3 | 0.275 | 383 |
| HT-112 | 30.2 | 31.0 | 38.8 | 0.25 | 136.0 ± 0.6 | 0.350 | 103 |
| CuZnAl * | 35.0 | 34.3 | 30.7 | 0.29 | 105 ± 1.1 | 0.231 | 88 |
| Catalyst Sample | H2-TPR | |||
|---|---|---|---|---|
| mmol H2/gcat | To,red (°C) | Tmax (°C) | H2/Cu (a) | |
| HT-111 | 4.9 | 202 | 286 | 0.97 |
| HT-122 | 3.9 | 170 | 278 | 0.86 |
| HT-121 | 4.2 | 174 | 283 | 0.75 |
| HT-112 | 4.3 | 206 | 296 | 1.09 |
| CuZnAl * | 5.2 | 137 | 237 | 0.94 |
| Catalyst Sample | N2O Titration Pulse | CO2 Uptake | N2O/CO2 | ||||
|---|---|---|---|---|---|---|---|
| MSA (m2/g) | DCu (%) | dCu (nm) | mmol/gcat | n1 (a) | n2 (b) | ||
| HT-111 | 24.6 | 11.7 | 8.9 | 0.837 | 0.28 | 0.72 | 0.356 |
| HT-122 | 20.9 | 16.7 | 6.2 | 0.648 | 0.10 | 0.90 | 0.390 |
| HT-121 | 17.2 | 11.6 | 9.0 | 0.257 | 0.16 | 0.84 | 0.808 |
| HT-112 | 22.7 | 13.6 | 7.6 | 0.925 | 0.18 | 0.82 | 0.297 |
| CuZnAl * | 32.4 | 17.8 | 5.8 | 0.695 | 0.29 | 0.71 | 0.565 |
| Catalyst Sample | TR, 220 °C | TR, 240 °C | TR, 260 °C | |||
|---|---|---|---|---|---|---|
| XCO2–SMeOH (%) | YMeOH (%) | XCO2–SMeOH (%) | YMeOH (%) | XCO2–SMeOH (%) | YMeOH (%) | |
| HT-111 | 9.1–70.7 | 6.4 | 13.1–51.7 | 6.8 | 18.7–37.6 | 7.0 |
| HT-122 | 6.5–62.8 | 4.1 | 13.2–41.6 | 5.5 | 19.8–30.7 | 6.1 |
| HT-121 | 6.2–52.6 | 3.3 | 12.6–32.7 | 4.1 | 18.5–22.4 | 4.1 |
| HT-112 | 6.6–66.6 | 4.4 | 12.9–47.3 | 6.1 | 19.2–34.6 | 6.7 |
| CuZnAl * | 10.1–57.9 | 5.9 | 16.9–43.4 | 7.3 | 20.8–34.3 | 7.1 |
© 2019 by the authors. Licensee MDPI, Basel, Switzerland. This article is an open access article distributed under the terms and conditions of the Creative Commons Attribution (CC BY) license (http://creativecommons.org/licenses/by/4.0/).
Share and Cite
Frusteri, L.; Cannilla, C.; Todaro, S.; Frusteri, F.; Bonura, G. Tailoring of Hydrotalcite-Derived Cu-Based Catalysts for CO2 Hydrogenation to Methanol. Catalysts 2019, 9, 1058. https://doi.org/10.3390/catal9121058
Frusteri L, Cannilla C, Todaro S, Frusteri F, Bonura G. Tailoring of Hydrotalcite-Derived Cu-Based Catalysts for CO2 Hydrogenation to Methanol. Catalysts. 2019; 9(12):1058. https://doi.org/10.3390/catal9121058
Chicago/Turabian StyleFrusteri, Leone, Catia Cannilla, Serena Todaro, Francesco Frusteri, and Giuseppe Bonura. 2019. "Tailoring of Hydrotalcite-Derived Cu-Based Catalysts for CO2 Hydrogenation to Methanol" Catalysts 9, no. 12: 1058. https://doi.org/10.3390/catal9121058
APA StyleFrusteri, L., Cannilla, C., Todaro, S., Frusteri, F., & Bonura, G. (2019). Tailoring of Hydrotalcite-Derived Cu-Based Catalysts for CO2 Hydrogenation to Methanol. Catalysts, 9(12), 1058. https://doi.org/10.3390/catal9121058

