Intramolecular Hydrogen Bonds in Selected Aromatic Compounds: Recent Developments
Abstract
1. Introduction
2. Impact of Resonance Assistance and Charge Assistance on the Hydrogen Bond Properties
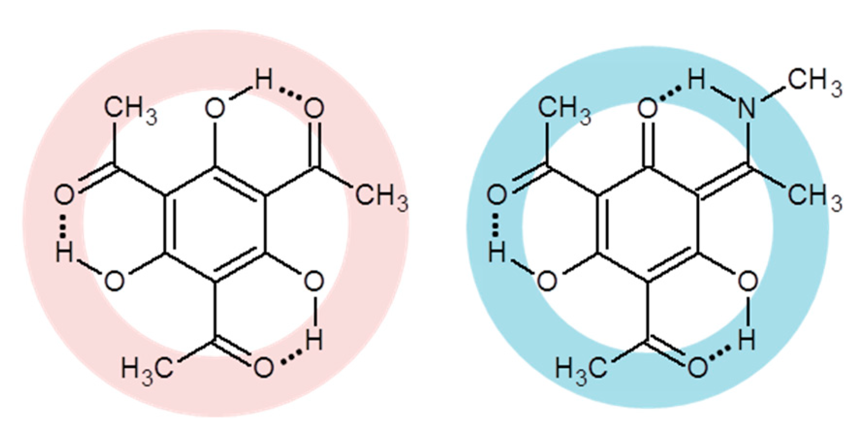
3. Quasi-Aromatic Cyclically Arranged Hydrogen Bonds
4. Equilibrium between Intramolecular and Intermolecular Hydrogen Bonds
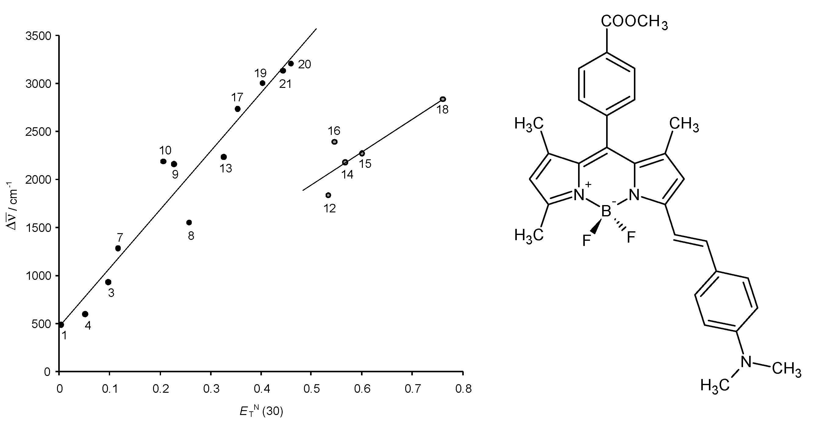
5. Effect of Substituents and Solvatochromism of the Fluorescent 4-Bora-3a,4a-diaza-s-indacene Chromophore (BODIPY)
6. Conclusions
Author Contributions
Funding
Acknowledgments
Conflicts of Interest
References
- Voloshin, Y.Z.; Kostromina, N.A.; Krämer, R. Clathrochelates: Synthesis, Structure and Properties; Elsevier Science: Amsterdam, The Netherlands, 2002. [Google Scholar]
- Schwarzenbach, G. Der Chelateffekt. Helv. Chim. Acta 1952, 35, 2344–2359. [Google Scholar] [CrossRef]
- Fersht, A.R.; Shi, J.-P.; Knill-Jones, J.; Lowe, D.M.; Wilkinson, A.J.; Blow, D.M.; Brick, P.; Carter, P.; Waye, M.M.Y.; Winter, G. Hydrogen bonding and biological specificity analysed by protein engineering. Nature 1985, 314, 235–238. [Google Scholar] [CrossRef] [PubMed]
- Buvailo, H.I.; Makhankova, V.G.; Kokozay, V.N.; Omelchenko, I.V.; Shishkin, O.V.; Matoga, D.; Jezierska, J. Direct synthesis of heterometallic Cu/Mo complexes with aromatic chelating N,N-donating ligands. Inorg. Chim. Acta 2016, 443, 36–44. [Google Scholar] [CrossRef]
- McPherson, J.N.; Das, B.; Colbran, S.B. Tridentate pyridine–pyrrolide chelate ligands: An under-appreciated ligand set with an immensely promising coordination chemistry. Coord. Chem. Rev. 2018, 375, 285–332. [Google Scholar] [CrossRef]
- Ghosh, S.K.; Ehnbom, A.; Lewis, K.A.; Gladysz, J.A. Hydrogen bonding motifs in structurally characterized salts of the tris(ethylenediamine) cobalt trication, [Co(en)3]3+; An interpretive review, including implications for catalysis. Coord. Chem. Rev. 2017, 350, 30–48. [Google Scholar] [CrossRef]
- Sadimenko, A. Organometallic Complexes of Pyridyl Schiff Bases. Adv. Heterocycl. Chem. 2012, 107, 133–218. [Google Scholar]
- Fuoco, T.; Pappalardo, D. Aluminum Alkyl Complexes Bearing Salicylaldiminato Ligands: Versatile Initiators in the Ring-Opening Polymerization of Cyclic Esters. Catalysts 2017, 7, 64. [Google Scholar] [CrossRef]
- Li, T.; Jenter, J.; Roesky, P.W. Rare-Earth Metal Postmetallocene Catalysts with Chelating Amido Ligands. In Molecular Catalysis of Rare-Earth Elements. Structure and Bonding; Roesky, P., Ed.; Springer: Berlin/Heidelberg, Germany, 2010; Volume 137. [Google Scholar]
- Garnovskii, A.D.; Vasilchenko, I.S.; Garnovskii, D.A.; Kharisov, B.I. Molecular design of mononuclear complexes of acyclic Schiff-base ligands. J. Coord. Chem. 2009, 62, 151–204. [Google Scholar] [CrossRef]
- Pihko, P.M. Hydrogen Bonding in Organic Synthesis; WILEY-VCH Verlag GmbH & Co. KGaA: Weinheim, Germany, 2009. [Google Scholar]
- Akiyama, T. Hydrogen-Bond Catalysis or Brønsted-Acid Catalysis? General Considerations. In Hydrogen Bonding in Organic Synthesis; Pihko, P.M., Ed.; WILEY-VCH Verlag GmbH & Co. KGaA: Weinheim, Germany, 2009. [Google Scholar]
- Yamamoto, H.; Payette, J.N. Brønsted Acids, H-Bond Donors, and Combined Acid Systems in Asymmetric Catalysis. In Hydrogen Bonding in Organic Synthesis; Pihko, P.M., Ed.; WILEY-VCH Verlag GmbH & Co. KGaA: Weinheim, Germany, 2009. [Google Scholar]
- Patai, S.; Rappoport, Z. The Chemistry of Amidines and Imidates; Wiley & Sons: New York, NY, USA, 1991. [Google Scholar]
- Polander, B.C.; Barry, B.A. A hydrogen-bonding network plays a catalytic role in photosynthetic oxygen evolution. Proc. Natl. Acad. Sci. USA 2012, 109, 6112–6117. [Google Scholar] [CrossRef]
- Lutskii, A.E.; Marchenko, T.N. Vodorodnaya Svyaz’ (Hydrogen Bond); Sokolov, N.D., Ed.; “Nauka”: Moscow, Russia, 1981; pp. 50–62. [Google Scholar]
- Shigorin, D.N. Vodorodnaya Svyaz’ (Hydrogen Bond); Sokolov, N.D., Chulanovsky, A.D., Eds.; “Nauka”: Moscow, Russia, 1964; pp. 195–219. [Google Scholar]
- Sobczyk, L.; Grabowski, S.; Krygowski, T.M. Interrelation between H-Bond and Pi-Electron Delocalization. Chem. Rev. 2005, 105, 3513–3545. [Google Scholar] [CrossRef]
- Gilli, G.; Gilli, P. The Nature of the Hydrogen Bond. In Outline of a Comprehensive Hydrogen Bond Theory; Oxford University Press: Oxford, UK, 2009. [Google Scholar]
- Gilli, G.; Gilli, P. Towards an unified hydrogen-bond theory. J. Mol. Struct. 2000, 552, 1–15. [Google Scholar] [CrossRef]
- Boer, S.A.; Wang, P.-X.; MacLachlan, M.J.; White, N.G. Open Pentiptycene Networks Assembled through Charge-Assisted Hydrogen Bonds. Cryst. Growth Des. 2019, 19, 4829–4835. [Google Scholar] [CrossRef]
- Meot-Ner (Mautner), M. The Ionic Hydrogen Bond. Chem. Rev. 2005, 105, 213–284. [Google Scholar] [CrossRef] [PubMed]
- Cleland, W.W.; Kreevoy, M.M. Low-barrier hydrogen-bonds and enzymatic catalysis. Science 1994, 264, 1887–1890. [Google Scholar] [CrossRef]
- Cleland, W.W.; Frey, P.A.; Gerlt, J.A. The low barrier hydrogen bond in enzymatic catalysis. J. Biol. Chem. 1998, 273, 25529–25532. [Google Scholar] [CrossRef]
- Przybylski, P.; Huczynski, A.; Pyta, K.; Brzeziński, B.; Bartl, F. Biological properties of Schiff bases and azo derivatives of phenols. Curr. Org. Chem. 2009, 13, 124–148. [Google Scholar] [CrossRef]
- Ritter, E.; Przybylski, P.; Brzeziński, B.; Bartl, F. Schiff bases in biological systems. Curr. Org. Chem. 2009, 13, 241–249. [Google Scholar] [CrossRef]
- MacLachlan, M. Hydrogen-Bonded Liquid Crystals in Confined Spaces—Toward Photonic Hybrid Materials. Adv. Funct. Mater. 2018, 28, 1800207. [Google Scholar]
- Filarowski, A.; Koll, A.; Hansen, P.E.; Kluba, M. Density functional theory study of intramolecular hydrogen bonding and proton transfer in o-hydroxyaryl ketimines. J. Phys. Chem. 2008, 112, 3478–3485. [Google Scholar] [CrossRef]
- Martyniak, A.; Majerz, I.; Filarowski, A. Peculiarities of quasi-aromatic hydrogen bonding. RSC Adv. 2012, 2, 8135–8144. [Google Scholar] [CrossRef]
- Bader, R.F.W. Atoms in Molecules. A Quantum Theory; Oxford University Press: New York, NY, USA, 1990. [Google Scholar]
- Zubatyuk, R.I.; Volovenko, Y.M.; Shishkin, O.V.; Gorb, L.; Leszczyński, J. Aromaticity-Controlled Tautomerism and Resonance-Assisted Hydrogen Bonding in Heterocyclic Enaminone−Iminoenol Systems. J. Org. Chem. 2007, 72, 725–735. [Google Scholar] [CrossRef] [PubMed]
- Jezierska-Mazzarello, A.; Vuilleumier, R.; Panek, J.J.; Ciccotti, G. Molecular Property Investigations of an ortho-Hydroxy Schiff Base Type Compound with the First-Principle Molecular Dynamics Approach. J. Phys. Chem. B 2010, 114, 242–253. [Google Scholar] [CrossRef] [PubMed]
- Gilli, G.; Bellucci, F.; Ferretti, V.; Bertolasi, V. Evidence for resonance-assisted hydrogen bonding from crystal-structure correlations on the enol form of the β-diketone fragment. J. Am. Chem. Soc. 1989, 111, 1023–1128. [Google Scholar] [CrossRef]
- Bertolasi, V.; Gilli, P.; Ferretti, V.; Gilli, G. Evidence for Intramolecular N−H···O Resonance-Assisted Hydrogen Bonding in β-Enaminones and Related Heterodienes. A Combined Crystal-Structural, IR and NMR Spectroscopic, and Quantum-Mechanical Investigation. J. Am. Chem. Soc. 2000, 122, 10405–10417. [Google Scholar]
- Rybarczyk-Pirek, A.J.; Grabowski, S.J.; Małecka, M.; Nawrot-Mordanka, J. Crystal and molecular structures of new chromone derivatives as empirical evidence of intramolecular proton transfer reaction; Ab initio studies on intramolecular H-bonds in enaminones. J. Phys. Chem. A 2002, 106, 11956–11962. [Google Scholar] [CrossRef]
- Houjou, H.; Motoyama, T.; Banno, S.; Yoshikawa, I.; Araki, K. Experimental and Theoretical Studies on Constitutional Isomers of 2,6-Dihydroxynaphthalene Carbaldehydes. Effects of Resonance-Assisted Hydrogen Bonding on the Electronic Absorption Spectra. J. Org. Chem. 2009, 74, 520–529. [Google Scholar] [CrossRef]
- Trujillo, C.; Sánchez-Sanz, G.; Alkorta, I.; Elguero, J.; Mó, O.; Yáñez, M. Resonance assisted hydrogen bonds in open-chain and cyclic structures of malonaldehyde enol: A theoretical study. J. Mol. Struct. 2013, 1048, 138–151. [Google Scholar] [CrossRef]
- Albayrak, C.; Sevincek, R.; Petek, H.; Aygun, M. Aromaticity balance, π-electron cooperativity and H-bonding properties in tautomerism of salicylideneaniline: The quantum theory of atoms in molecules (QTAIM) approach. J. Mol. Model. 2011, 17, 1295–1309. [Google Scholar]
- Krygowski, T.M.; Zachara-Horeglad, J.E. Resonance-assisted hydrogen bonding in terms of substituent effect. Tetrahedron 2009, 65, 2010–2014. [Google Scholar] [CrossRef]
- Krygowski, T.M.; Wozniak, K.; Anulewicz, R.; Pawlak, D.; Kolodziejski, W.; Grech, E.; Szady, A. Through-resonance assisted ionic hydrogen bonding in 5-nitro-N-salicylideneethylamine. J. Phys. Chem. 1997, 101, 9399–9404. [Google Scholar] [CrossRef]
- Palusiak, M.; Simon, S.; Sola, M. Interplay between Intramolecular Resonance-Assisted Hydrogen Bonding and Aromaticity in o-Hydroxyaryl Aldehydes. J. Org. Chem. 2006, 110, 5241–5248. [Google Scholar] [CrossRef] [PubMed]
- Karabıyık, H.; Sevinçek, R.; Karabıyık, H. Supramolecular aromaticity. J. Mol. Struct. 2014, 1064, 135–149. [Google Scholar] [CrossRef]
- Krygowski, T.M.; Cyranski, M.K. Structural Aspects of Aromaticity. Chem. Rev. 2001, 101, 1385–1420. [Google Scholar] [CrossRef] [PubMed]
- Panek, J.J.; Jezierska-Mazzarello, A.; Lipkowski, P.; Martyniak, A.; Filarowski, A. Comparison of resonance assisted and charge assisted effects in strengthening of hydrogen bonds in dipyrrins. J. Chem. Inf. Model. 2014, 54, 86–95. [Google Scholar] [CrossRef] [PubMed]
- Musin, R.N.; Mariam, Y.H. An integrated approach to the study of intramolecular hydrogen bonds in malonaldehyde enol derivatives and naphthazarin: Trend in energetic versus geometrical consequences. J. Phys. Org. Chem. 2006, 19, 425–444. [Google Scholar] [CrossRef]
- Kwocz, A.; Panek, J.J.; Jezierska, A.; Hetmańczyk, Ł.; Pawlukojć, A.; Kochel, A.; Lipkowski, P.; Filarowski, A. A molecular roundabout: Triple cycle-arranged hydrogen bonds in light of experiment and theory. New J. Chem. 2018, 42, 19467–19477. [Google Scholar] [CrossRef]
- Martyniak, A.; Panek, J.J.; Jezierska-Mazzarello, A.; Filarowski, A. Triple hydrogen bonding in a circular arrangement: Ab initio, DFT and first-principles MD studies of tris-hydroxyaryl enamines. J. Comp-Aid. Mol. Des. 2012, 9, 1045–1053. [Google Scholar] [CrossRef]
- Frischmann, P.D.S.; Mehr, H.M.; Patrick, B.O.; Lelj, F.; MacLachlan, M.J. Role of entropy and autosolvation in dimerization and complexation of C60 by Zn7 metallocavitands. Inorg. Chem. 2012, 51, 3443–3453. [Google Scholar] [CrossRef]
- Chong, J.H.; Sauer, M.; Patrick, B.O.; MacLachlan, M.J. Highly Stable Keto-Enamine Salicylideneanilines. Org. Lett. 2003, 5, 3823–3826. [Google Scholar] [CrossRef]
- Sauer, M.; Yeung, C.; Chong, J.H.; Patrick, B.O.; MacLachlan, M.J. N-salicylideneanilines: Tautomers for formation of hydrogen-bonded capsules, clefts, and chains. J. Org. Chem. 2006, 71, 775–788. [Google Scholar] [CrossRef]
- Mehr, S.H.M.; Oshima, H.; Carta, V.; Patrick, B.O.; White, N.G.; MacLachlan, M.J. Tuning the tautomeric behavior of tris(salicylaldimines). Org. Biomol. Chem. 2017, 38, 8418–8424. [Google Scholar] [CrossRef] [PubMed]
- Howard, J.; Tomkinson, J.; Eckert, J.; Goldstone, J.A.; Taylor, A.D. Inelastic neutron scattering studies of some intramolecular hydrogen bonded complexes: A new correlation of γ(OHO) vs. R(OO). J. Chem. Phys. 1983, 78, 3150–3155. [Google Scholar] [CrossRef]
- Mitchell, P.C.H.; Parker, S.F.; Ramirez-Cuesta, A.J.; Tomkinson, J. Series on Neutron Techniques and Applications—Volume 3: Vibrational Spectroscopy with Neutrons; World Scientific Publishing Co. Pte. Ltd.: Singapore, 2005. [Google Scholar]
- Hetmańczyk, Ł.; Szklarz, P.; Kwocz, A.; Wierzejewska, M.; Pagacz-Kostrzewa, M.; Melnikov, M.Y.; Tolstoy, P.M.; Filarowski, A. Polymorphism and Conformational Equilibrium for Nitro-Acetophenone in the Solid State and Under the Matrix Condition. J. Phys. Chem. A 2019, submitted. [Google Scholar]
- Konopacka, A.; Filarowski, A.; Pawełka, Z. Solvent influence on the transformation of intramolecular hydrogen bonds in 2-hydroxy-5-methyl-3-nitroacetophenone. J. Solut. Chem. 2005, 34, 929–945. [Google Scholar] [CrossRef]
- Pająk, J.; Maes, G.; De Borggraeve, W.M.; Boens, N.; Filarowski, A. Matrix-isolation FT-IR and theoretical investigation of the competitive intramolecular hydrogen bonding in 5-methyl-3-nitro-2-hydroxyacetophenone. J. Mol. Struct. 2008, 880, 86–96. [Google Scholar] [CrossRef]
- Mishra, S.K.; Suryaprakash, N. Intramolecular Hydrogen Bonding Involving Organic Fluorine: NMR Investigations Corroborated by DFT-Based Theoretical Calculations. Molecules 2017, 22, 423. [Google Scholar] [CrossRef]
- Johnstone, R.D.L.; Lennie, A.R.; Parker, S.F.; Parsons, S.; Pidcock, E.; Richardson, P.R.; Warren, J.E.; Wood, P.A. High-pressure polymorphism in salicylamide. CrystEngComm 2010, 12, 1065–1078. [Google Scholar] [CrossRef]
- Faber, K. Biotransformations in Organic Chemistry, 6th ed.; Springer: Berlin/Heidelberg, Germany, 2011. [Google Scholar]
- Szostak, M. (Ed.) Amide Bond Activation Molecules; MDPI: Basel, Switzerland; Beijing, China; Wuhan, China; Barcelona, Spain; Belgrade, Serbia, 2019. [Google Scholar]
- Ferretti, V.; Bertolasi, V.; Gilli, P.; Gilli, G. Out-of-plane deformation pathways of the R(X=)C-NR2 fragment present in amides, thioamides, amidines, enamines, and anilines. A concerted study making use of structural data, molecular mechanics, and ab initio calculations. J. Phys. Chem. 1993, 97, 13568–13574. [Google Scholar] [CrossRef]
- Buchanan, E.G.; James, W.H., III; Choi, S.H.; Guo, L.; Gellman, S.H.; Müller, C.W.; Zwier, T.S. Single-conformation infrared spectra of model peptides in the amide I and amide II regions: Experiment-based determination of local mode frequencies and inter-mode coupling. J. Chem. Phys. 2012, 137, 094301. [Google Scholar] [CrossRef]
- Genshaft, A.; Moser, J.-A.S.; D’Antonio, E.L.; Bowman, C.M.; Christianson, D.W. Energetically unfavorable amide conformations for N6-acetyllysine side chains in refined protein structures. Proteins 2013, 81, 1051–1057. [Google Scholar] [CrossRef]
- Combrink, K.; Gulgeze, H.B.; Yu, K.L.; Pearce, B.; Trehan, A.; Wei, J.; Deshpande, M.; Krystal, M.; Torii, A.; Luo, G.; et al. Salicylamide inhibitors of influenza virus fusion Bioorganic. Med. Chem. Lett. 2000, 10, 1649–1652. [Google Scholar] [CrossRef]
- Majewska, P. Biotransformations of 2-hydroxy-2-(ethoxyphenylphosphinyl)acetic acid and the determination of the absolute configuration of all isomeramide living organisms. Bioorganic Chem. 2015, 61, 28–35. [Google Scholar] [CrossRef] [PubMed]
- Gryff-Keller, A.; Szczecinski, P. Lithium salt of N,N-dimethylsalicylamide in pyridine and pyridine-water solutions. NMR study on the internal rotation about the C-N bond. Pol. J. Chem. 1981, 55, 607–614. [Google Scholar]
- Kawski, P.; Kochel, A.; Perevozkina, M.G.; Filarowski, A. The intramolecular hydrogen bond in 2-hydroxy-benzamides. J. Mol. Struct. 2006, 790, 65–73. [Google Scholar] [CrossRef]
- Kozlecki, T.; Tolstoy, P.M.; Kwocz, A.; Vovk, M.A.; Kochel, A.; Polowczyk, I.; Tretyakov, P.Y.; Filarowski, A. Conformational state of β-hydroxynaphthylamides: Barriers for the rotation of the amide group around CN bond and dynamics of the morpholine ring. Spectrochim. Acta A 2015, 149, 254–262. [Google Scholar] [CrossRef] [PubMed]
- Majewska, P.; Pająk, J.; Rospenk, M.; Filarowski, A. Intra- versus intermolecular hydrogen bonding equilibrium in 2-hydroxy-N,N-diethylbenzamide. J. Phys. Org. Chem. 2009, 22, 130–137. [Google Scholar] [CrossRef]
- Boens, N.; Leen, V.; Dehaen, W. Fluorescent indicators based on BODIPY. Chem. Soc. Rev. 2012, 41, 1130–1172. [Google Scholar] [CrossRef]
- Kobayashi, H.; Ogawa, M.; Alford, R.; Choyke, P.L.; Urano, Y. New strategies for fluorescent probe design in medical diagnostic imaging. Chem. Rev. 2010, 110, 2610–2640. [Google Scholar] [CrossRef]
- Ulrich, G.; Ziessel, R.; Harriman, A. The chemistry of fluorescent bodipy dyes: Versatility unsurpassed. Angew. Chem. Int. Ed. 2008, 47, 1184–1201. [Google Scholar] [CrossRef]
- Benstead, M.; Mehl, G.H.; Boyle, R.W. 4,4′-Difluoro-4-bora-3a,4a-diaza-s-indacenes (BODIPYs) as Components of Novel Light Active Materials. Tetrahedron 2011, 67, 3573–3601. [Google Scholar] [CrossRef]
- Agazzi, M.L.; Ballatorea, M.B.; Durantini, A.M.; Durantini, E.N.; Tomé, A.C. BODIPYs in antitumoral and antimicrobial photodynamic therapy: An integrating review. J. Photochem. Photobiol. C 2019, 40, 21–48. [Google Scholar] [CrossRef]
- Durantini, A.M.; Heredia, D.A.; Durantini, J.E.; Durantini, E.N. BODIPYs to the rescue: Potential applications in photodynamic inactivation. Eur. J. Med. Chem. 2018, 144, 651–661. [Google Scholar] [CrossRef] [PubMed]
- Boodts, S.; Fron, E.; Hofkens, J.; Dehaen, W. The BOPHY fluorophore with double boron chelation: Synthesis and spectroscopy. Coord. Chem. Rev. 2018, 371, 1–10. [Google Scholar] [CrossRef]
- He, Y.; Feng, R.; Yi, Y.; Liu, Z. Recent progress in the research of borondipyrromethene-based fluorescent ion chemosensor. Chin. J. Org. Chem. 2014, 34, 2236–2248. [Google Scholar] [CrossRef]
- Lu, H.; Mack, J.; Yang, Y.; Shen, Z. Structural modification strategies for the rational design of red/NIR region BODIPYs. Chem. Soc. Rev. 2014, 43, 4778–4823. [Google Scholar] [CrossRef]
- Bessette, A.; Hanan, G.S. Design, synthesis and photophysical studies of dipyrromethene-based materials: Insights into their applications in organic photovoltaic devices. Chem. Soc. Rev. 2014, 43, 3342–3405. [Google Scholar] [CrossRef]
- Miao, F.; Phan, H.; Wu, J. A BODIPY-Bridged Bisphenoxyl Diradicaloid: Solvent-Dependent Diradical Character and Physical Properties. Molecules 2019, 24, 1446. [Google Scholar] [CrossRef]
- Matarranz, B.; Sampedro, A.; Daniliuc, C.G.; Fernández, G. Self-Assembly of a Carboxyl-Functionalized BODIPY Dye via Hydrogen Bonding. Crystals 2018, 8, 436. [Google Scholar] [CrossRef]
- Ziems, K.M.; Gräfe, S.; Kupfer, S. Photo-Induced Charge Separation vs. Degradation of a BODIPY-Based Photosensitizer Assessed by TDDFT and RASPT2. Catalysts 2018, 8, 520. [Google Scholar] [CrossRef]
- Bednarska, J.; Zaleśny, R.; Bartkowiak, W.; Ośmiałowski, B.; Medved’, M.; Jacquemin, D. Quantifying the Performances of DFT for Predicting Vibrationally Resolved Optical Spectra: Asymmetric Fluoroborate Dyes as Working Examples. J. Chem. Theory Comput. 2017, 13, 4347–4356. [Google Scholar] [CrossRef]
- Filarowski, A.; Kluba, M.; Cieślik-Boczula, K.; Koll, A.; Kochel, A.; Pandey, L.; De Borggraeve, W.M.; Van der Auweraer, M.; Catalán, J.; Boens, N. Generalized solvent scales as a tool for investigating solvent dependence of spectroscopic and kinetic parameters. Application to fluorescent BODIPY dyes. Photochem. Photobiol. Sci. 2010, 9, 996–1008. [Google Scholar] [CrossRef] [PubMed]
- Laine, M.; Barbosa, N.A.; Wieczorek, R.; Melnikov, M.Y.; Filarowski, A. Calculations of BODIPY dyes in the ground and excited states by M06-2X and PBE0 functionals. J. Mol. Model. 2016, 22, 260. [Google Scholar] [CrossRef] [PubMed]
- Boens, N.; Qin, W.; Baruah, M.; De Borggraeve, W.M.; Filarowski, A.; Smisdom, N.; Ameloot, M.; Crovetto, L.; Talavera, E.M.; Alvarez-Pez, J.M. Rational design, synthesis and spectroscopic and photophysical properties of a visible-light-excitable, ratiometric, fluorescent near-neutral pH indicator based on BODIPY. Chem. Eur. Chem. 2011, 17, 10924–10934. [Google Scholar] [CrossRef] [PubMed]
- Filarowski, A.; Lopatkova, M.; Lipkowski, P.; Van der Auweraer, M.; Leen, V.; Dehaen, W. Solvatochromism of BODIPY-Schiff base Dye. J. Phys. Chem. B 2015, 119, 2576–2584. [Google Scholar] [CrossRef] [PubMed]
- Leen, V.; Laine, M.; Ngongo, J.M.; Lipkowski, P.; Verbelen, B.; Kochel, A.; Dehaen, W.; Van der Auweraer, M.; Nadtochenko, V.; Filarowski, A. Impact of the Keto−Enol Tautomeric Equilibrium on the BODIPY Chromophore. J. Phys. Chem. A 2018, 122, 5955–5961. [Google Scholar] [CrossRef]





















| Cmpd. | Method\Equation | 1 | 2 | 3 | 4 | 5 | 6 | 7 | 8 | 9 | 10 |
|---|---|---|---|---|---|---|---|---|---|---|---|
| III | MP2/6-311++G(2df,2pd) | 3.30 | 4.20 | 7.35 | 5.37 | 7.96 | 5.77 | 6.25 | 6.29 | 4.63 | 7.45 |
| III(TS) | MP2/6-311++G(2df,2pd) | 28.19 | 27.55 | 23.17 | 43.61 | 41.47 | 18.19 | 18.14 | 49.59 | 40.93 | 65.81 |
| IV | MP2/6-311++G(2df,2pd) | 5.53 | 6.59 | 9.43 | 9.47 | 11.56 | 7.99 | 8.37 | 9.95 | 7.70 | 12.39 |
© 2019 by the authors. Licensee MDPI, Basel, Switzerland. This article is an open access article distributed under the terms and conditions of the Creative Commons Attribution (CC BY) license (http://creativecommons.org/licenses/by/4.0/).
Share and Cite
Jezierska, A.; Tolstoy, P.M.; Panek, J.J.; Filarowski, A. Intramolecular Hydrogen Bonds in Selected Aromatic Compounds: Recent Developments. Catalysts 2019, 9, 909. https://doi.org/10.3390/catal9110909
Jezierska A, Tolstoy PM, Panek JJ, Filarowski A. Intramolecular Hydrogen Bonds in Selected Aromatic Compounds: Recent Developments. Catalysts. 2019; 9(11):909. https://doi.org/10.3390/catal9110909
Chicago/Turabian StyleJezierska, Aneta, Peter M. Tolstoy, Jarosław J. Panek, and Aleksander Filarowski. 2019. "Intramolecular Hydrogen Bonds in Selected Aromatic Compounds: Recent Developments" Catalysts 9, no. 11: 909. https://doi.org/10.3390/catal9110909
APA StyleJezierska, A., Tolstoy, P. M., Panek, J. J., & Filarowski, A. (2019). Intramolecular Hydrogen Bonds in Selected Aromatic Compounds: Recent Developments. Catalysts, 9(11), 909. https://doi.org/10.3390/catal9110909

