Abstract
Rh(III)-catalyzed C–H activation features mild reaction conditions, good functional group tolerance, high reaction efficiency, and regioselectivity. Recently, it has attracted tremendous attention and has been employed to synthesize various heterocycles, such as indoles, isoquinolines, isoquinolones, pyrroles, pyridines, and polyheterocycles, which are important privileged structures in biological molecules, natural products, and agrochemicals. In this short review, we attempt to present an overview of recent advances in Rh(III)-mediated C–H bond activation to generate diverse heterocyclic scaffolds with sp3 carbon centers.
1. Introduction
The heterocycle is one of the most important molecular scaffolds and is widely distributed in biological active molecules, agrochemicals, functional materials, and natural products [1,2,3]. Consequently, a large number of synthetic strategies are well-established, such as cycloaddition reaction [4], multi-component tandem reactions [5], radical cascade reactions [6], iminium ion cyclization [7], ring closing metathesis [8], and visible-light induced radical tandem reactions [9,10] among others [11,12,13]. However, the high-speed developing of transition-metal catalyzed C–H bond functionalization in recent years seems to offer a more direct and effective pathway to construct the intriguing heterocyclic scaffolds. Compared to classical coupling reactions, such as Suzuki coupling [14], Negishi coupling [15], Kumada coupling [16], Stille coupling [17], and Hiyama coupling [18], the transition-metal catalyzed C–H activation strategy can directly form more complicated compounds from readily accessible starting materials under mild conditions and has no relevant metal salts by-products [19,20,21,22].
Since Davies’s group [23] and Miura’s group [24,25] reported the pioneering aromatic sp2 C–H bond activation by [RhCp*Cl]2, many researches involving aromatic sp2 C–H bond activation and further functionalization were developed to synthetize different structural motifs, especially for heterocycles, with high yields, high selectivity and broad substrate tolerance [26,27,28].
Recently, many excellent reviews have summarized the construction of heterocycles by different transition-metal-catalyzed C–H activation were reported, such as Pd [29], Cu [30], Ru [31], Rh [32], Ag [33], and other metals [34,35,36,37,38]. However, to the best of our knowledge, there is currently no review focus on Rh(III)-catalyzed heterocyclic synthesis with sp3 carbon centers. Therefore, this mini-review will focus on presenting an overview of advances in Rh(III)-catalyzed C–H activation and functionalization to generate diverse heterocycles with sp3 carbon centers in the last five years. In order to discuss conveniently, these synthetic strategies will be sorted according to the size and type of the heterocycle scaffold.
2. Construction of Five-Member Heterocycles
2.1. Benzofuran Derivatives
Among oxygen-containing heterocycles, 2,3-dihydrobenzofurans and their derivatives are the most prevalent structural cores which have been found widely in many natural products and pharmacological molecules [39,40,41,42]. As a result, the development of facial and efficient synthetic routes for the construction of these intriguing heterocycles has become an attractive goal in the synthetic community, especially in an enantioselective version. Recently, the emerging transition-metal-catalyzed C–H bond activation and followed annulation with unsaturated C–C or C–X (X=O, N et al.) bond provide a boulevard to quickly synthesize these intriguing dihydrobenzofuran derivatives [43].
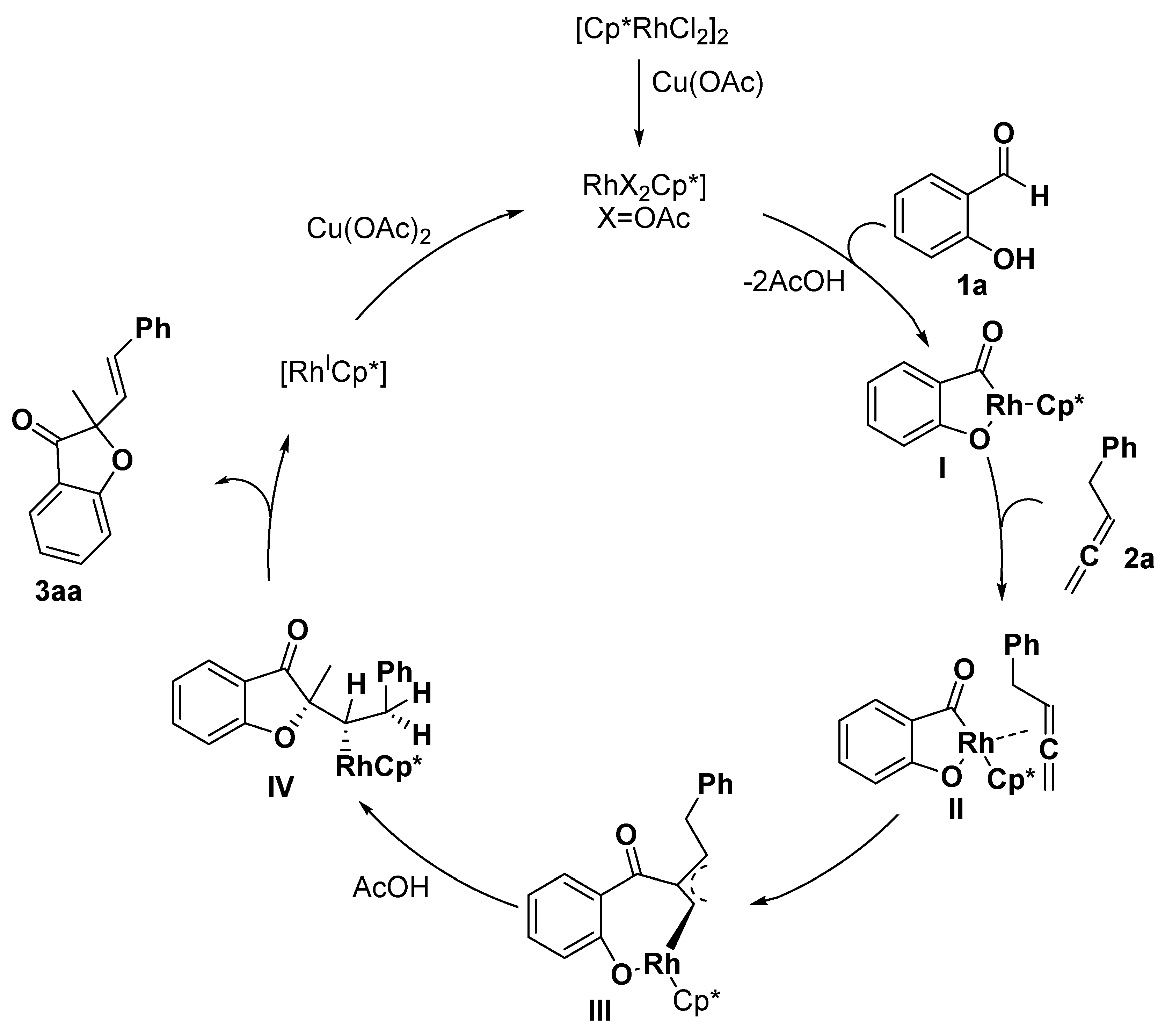
In 2015, Cheng and co-workers reported a convenient and regioselective method for the synthesis of 3-coumaranones from readily available salicylaldehydes and allenes through Rh(III)-catalyzed aldehyde C−H activation and subsequent [4 + 1] annulation reactions (Scheme 1) [44]. Furthermore, this catalytic system offers convenient access to 2-vinnyl-subsititued 3-coumaranones, for which there are currently no available methods of synthesis. Under the optical reaction conditions, the authors examined the reactions of various substituted salicylaldehydes with allenes, and the results revealed that this method has good compatibilities with the electronic effect and steric hindrance. Moreover, the obtained 3-coumaranones can be easily converted into their derivatives, which may be used as a useful building block. A possible mechanism based on an O-hydroxyl-group-assisted aldehyde C(sp2)−H cleavage followed by coupling with allenes was proposed (Scheme 2). The coordination of the –OH group on the salicylaldehydes to the Rh(III) monomer complex which from the precatalyst Rh(III) dimer leads to an aldehyde C(sp2)−H bond cleavage, finally formed the five-membered rhodacycle I. Subsequently, Coordination and followed insertion of allenes formed the thermodynamically more stable intermediate IV. The desired products are delivered by a β-elimination process from the intermediate IV and the obtained Rh(I) complex is oxidized by copper acetate to regenerate an active [Cp*Rh(III)] catalytic species and initiate the next catalytic cycle.
Scheme 1.
Rh(III)-catalyzed the synthesis of 3-coumaranones.
Scheme 2.
Proposed reaction mechanism.
Transition-metal-catalyzed C–H bond directed-functionalization has been well-established as a powerful and straightforward strategy in modern organic synthesis. However, most of these reactions require an external oxidant to regenerate catalytic species to complete the catalytic cycle. In this regard, redox-natural C–H activations utilizing internal oxidizing directing groups are more of interest and importance without the need for a stoichiometric amount of external oxidant [45,46]. In 2018, Xu and co-workers reported an efficient Cp*Rh(III)-catalyzed redox-neutral C−H bond activation/annulation of N-aryloxyacetamides with alkynyloxiranes to afford 2,3-dihydrobenzofurans bearing a useful exocyclic (E)-allylic alcohol and a tetra-substituted quaternary carbon center in good yields and substrate scopes (Scheme 3) [47]. Propargylic derivatives with appropriate leaving groups have been extensively explored towards C–H bond functionalization under various transition-metal-mediated catalytic systems. The researchers adopted a strategy of combining the rich reactivity of propargylic compounds as well as the ring opening potential of oxiranes to obtain these desired compounds. According to the mechanism proposed in this article (Scheme 4), [Cp*RhCl2]2 catalyst undergoes a similar catalytic process [44] to form intermediate C and Rh(I) species, further oxidative addition of species C form a seven-number rhodacycle D which is protonated by acetic acid and followed intramolecular SN reaction to form 2,3-dihydrobenzofurans [44].
Scheme 3.
Rh(III)-catalyzed synthesis of 2,3-dihydrobenzofurans.
Scheme 4.
The proposed reaction mechanism.
In the same year, Zhang’s group also employed N-aryloxyacetamides as a starting substrate and coupled with propiolates to furnish the synthesis of benzofuran-2(3H)-ones with good yields via a Rh(III)-catalyzed cascade [3 + 2] annulation, in which NHAc group was used as an internal oxidizing directing group. The result enaminoate motif can be easily converted into heterocycle with sp3 carbon center by a simple oxidative manipulation (Scheme 5) [48]. Its mechanistic investigations by experimental and density functional theory (DFT) studies suggest that a consecutive process of C−H bond functionalization/isomerization/lactonization is likely to be involved in this transformation.
Scheme 5.
Rh(III)-catalyzed synthesis of benzofuran-2(3H)-ones.
In 2019, Li’s group employed N-methoxybenzamides and 1,3-enynes as the starting materials and fulfilled a class of chemodivergent annulated coupling transformation controlled by different catalytic systems [49]. The N-annulation occurred as the major pathway to give access to lactams when a combined external oxidative system between catalytic amount copper salts and air (oxygen) was used. The chemoselectivity can be easily switched to O-annulation pathway by a simple condition modification with stoichiometric amounts of Cu(II) oxidant and NaOAc (Scheme 6). This chemodivergence, controlled by different catalytic conditions, offers an effective strategy to construct diversified benzofuran or its isomer scaffolds.
Scheme 6.
Rh(III)-catalyzed synthesis of benzofuran or its isomer scaffolds.
2.2. Indole Derivatives
Nitrogen-containing heterocycles, especially indoles, are the most important chemical substances, which play an important role in a variety of biologically active natural and unnatural compounds [50], and also act as a versatile synthon in organic synthetic science, so it is referred as the “privileged structure”. Therefore, the synthesis and further functionalization of indoles have been a long-standing goal of research for over 100 years, and a vast number of well-established methods are available [51], many of them have been incorporated into undergraduate textbooks in the form of named reactions, for example, Bartoli indole synthesis [52], Fischer indole synthesis [53], Gassman oxindole synthesis [54], and Bischler-Moehlau indole synthesis [55]. However, compared to the synthetic strategies for aromatic indole derivatives, the synthesis for indole scaffolds with sp3 carbon centers, such as indolines, 1H-isoindoles, oxindoles, and isoindolin-1-ones, have emerged more recently, and mainly focus on translation-metal-mediated aromatic (sp2) C–H bond cleavage and subsequent intermolecular or intermolecular annulation cascade transformations with various π-component partners. Owing to one or more sp3 carbon centers occurring, the charity has become an inevitable challenge. However, some novel chiral catalysts were developed in recent years and brought new hope for the construction of chiral indole scaffolds.
1-Anminoindoline has been widely utilized as a chemical feedstock to access various skeletal motifs existed in numerous commercial drugs [56]. In 2014, Glorious and co-workers revealed an intermolecular catalytic method that can directly access 1-aminoindoline core [57]. Although C(sp2)–Rh intermediates from the insertion of alkynes into the C–Rh bond could undergo nucleophile addition to C–X double bond-based (X=O,N) directing groups [58,59], the Grignard-type addition C(sp3)–Rh species, generated upon alkene insertion, to polarized double bonds has been a challenging goal presumably due to problematic preferential β-hydride elimination. Glorious et al. wonder whether this process can occur smoothly if the addition step is faster than the elimination one. Further, diazenecarboxylate is introduced as a directing group to trigger a new cyclative capture approach where alkenes undergo insertion followed by intramolecular addition of the C(sp3)– Rh species to the N=N bond to afford diverse 1-aminoindolines without any external oxidants (Scheme 7). This intermolecular annulation proceeds under mild conditions (room temperature), does not require additional oxidants, and displays a broad scope with respect to the substituents. Mechanistic studies support a pathway that proceeds via reversible C–H activation, alkene insertion, and Grignard-type addition.
Scheme 7.
Rh(III)-catalyzed synthesis of diverse 1-aminoindolines.
In 2015, Zhou’s group developed an unprecedented Rh(III)-catalyzed regioselective redox-neutral annulation reaction of 1-naphthylamine N-oxides with diazocompounds to afford various biologically important 1H-benzoindolines(Scheme 8) [60]. This reaction features the dual functionalization of an unactivated primary C(sp3)–H bond and C(sp2)–H bond with diazocarbonyl compounds.
Scheme 8.
Rh (III)-catalyzed synthesis of 1H-benzo- indolines.
Nitrones as redox-neutral directing group are broadly applied in transition-metal-catalyzed C–H activation/coupling with π-system [61,62]. In 2015, Chang and co-workers developed a Rh(III)-catalyzed coupling reaction between arylnitrones and alkynes without the requirement for external oxidant, where Rhodium catalyst not only operates in the C−H bond activation but also evolve O-atom transfer process. The protocol gives rise to indoline products under mild reaction conditions with good yields and high diastereoselectivity (Scheme 9) [63]. It is speculated that steric factors may be the foremost determinants of stereoselectivity. Meanwhile, the same group used diazo compounds instead of alkynes coupling partners to give access to N-hydroxyindolines under a similar catalytic system [64].
Scheme 9.
Rh(III)-catalyzed synthesis of indoline.
In 2018, Gulías group designed and synthesized a series of novel structurally Rh(III) complexes possessing an electron-withdrawing CpE ligand to build two substituted indoline products via the annulation of 2-alkenylnosylanilides and alkynes with moderate to good yields and excellent regioselectivities (Scheme 10) [65]. Formally, the protocol can serve as an allylic amination with accompanied hydrocarbonation of the alkyne component. A detailed mechanistic study was carried out to illustrate that this conversion is related to a singular Rhodium migration with a subsequent 1,5-H shift cascade process.
Scheme 10.
Rh(III)-catalyzed synthesis of 2-substituted indoline.
Isoindolinones, another class of indole derivative, are ubiquitous in pharmaceuticals and natural products [66]. The most basic method for the construction of indolinones may be [4 + 1] annulation of arylamides with olefins or propargyl alcohols via C−H bond activation pathway. For example, Li and co-workers in 2010 demonstrated Rh(III)-mediated C–H bond activation to afford vinylation product and followed by intramolecular Michael addition reaction to give the targeted isoindolinone compounds (Scheme 11) [67]. Compared to the traditional Heck coupling reaction, this protocol can tolerate electron-poor olefins where the formed vinylation products may further undergo in-situ intramolecular Michael addition to afford γ-lactams skeleton. As part of their continuing efforts in the development of efficient and facile Rh(III)-based catalytic methodologies, Li’s group also reported a new protocol to construct various N-substituted isoindolinones [68], in which a C‒H bond cleavage of benzamide and subsequent cycloaddition coupling with propargyl alcohols as one-carbon unit were developed. Furthermore, Li and co-workers extended a chemodivergent annulative coupling to selectively product γ-lactams by Rhodium(III)-mediated C−H bond cleavage and 1,4-Rh atom immigration [49].
Scheme 11.
Rh(III)-catalyzed synthesis of isoindolinone.
In 2013, Rovis and co-workers developed a new approach to access isoindolinones bearing a quaternary carbon center by using diazo compounds as one-carbon synthons (Scheme 12) [69]. A wide range of substrates are tolerated, including 1-aryl-2,2,2-trifluoroethyl diazo compounds. Mechanistic studies demonstrated that C–H activation is turnover-limiting and irreversible, which is similar to the synthesis of some dihydroisoquinolones [70]. After that, other scientists took advantage of ethenesulfonyl fluoride [71], hydrazones from ketones and hydrazins in-situ [72], α-allenols [73], and ketenimines [74] as another coupling partners to synthesize various isoindolinone analogues, respectively.
Scheme 12.
Rh(III)-catalyzed synthesis of isoindolones.
In recent years, our group has been devoted to developing some highly efficient synthetic strategies to extend our heterocyclic compounds library for the screening of biologically active lead compounds [75,76,77,78,79,80,81,82,83,84,85]. In 2017, we built a novel isoindolone scaffold bearing a quaternary carbon via Rh(III)-catalyzed C−H bond cleavage and subsequent [4 + 1] cyclization tandem reactions between benzamides and propargyl alcohols (Scheme 13) [76]. The biggest merit of this transformation is that a novel synthetic utility of propargyl alcohols as a one-carbon synthon has been found, which can give an unusual [4 + 1] transformation. More interestingly, the target isoindolinones can be converted into four-ring scaffold isoindolo [2,1-a] quinoline derivatives. The mild reaction conditions and good substrate tolerances offer a good potential for further practical applications in future.
Scheme 13.
Rh(III)-catalyzed synthesis of isoindolo[2,1-a]quinoline.
In 2017, Loh and co-workers reported a process for the formation of isoindolinone derivatives which involved Rh(III)-mediated [4 + 1] annulation reaction utilizing α,α-difluoromethylene alkynes as a structurally novel one-carbon synthon (Scheme 14) [86]. The 2-fold cleavage of C–F bond of α,α-difluoromethylene alkyne not only affords the targeted molecules without the need for an oxidant, but also enables a net migration of the carbon−carbon triple bond.
Scheme 14.
Rh(III)-catalyzed synthesis of isoindolinones.
Actually, many of the above reports involve the formation of a quaternary carbon or a tertiary carbon in the process of C–H activation and/or further annulation, and indicates that the chirality of these intriguing heterocyclic scaffolds become an inevitable new scientific question. More recently, Wang and co-workers [87] completed a very interesting and important asymmetric synthesis of alkynyl and monofluoroalkenyl isoindolinones via a Cp*Rh(III)-catalyzed C–H activation [86]. The authors employed N-methoxybenzamides and α, α-difluoromethylene alkynes as starting materials to asymmetrically synthesize alkynyl and monofluoroalkenyl isoindolinones through a sequence of C–H activation with a chiral Rh(III) catalyst (Scheme 15). Meaningfully, alkynyl isoindolinones are formed in CH3OH with high yields and excellent ee values, monofluoroalkenyl isoindolinones are afforded in i-PrCN with good yields, regioselectivities, and enantioselectivities.
Scheme 15.
Chiral Cp-Rh(III)-catalyzed synthesis of isoindolinones.
2.3. Others
Other nitrogen-containing nonaromatic heterocycles, such as dihydropyrrole and pyrazoline are also very valuable structural motifs in many functional molecules [88,89]. In 2013, Murakami and co-workers developed a stereoselective method to give access to trans-2,3-disubstituted 2,3-dihydropyrroles from terminal alkynes, N-sulfonyl azides and α,β-unsaturated aldehydes (Scheme 16) [90]. More recently, the same group reported that sulfonylation of 1H-tetrazoles with triflic anhydride resulted in denitrogenation to Rh(III) carbene-like species in the presence of chiral Rh(III) complex dimer. As a new type of donor/acceptor carbenoid, it is easy to react with styrene to provide 3,5-diaryl-2-pyrazolines to induce high enantioselectivity [91].
Scheme 16.
Rh(III)-catalyzed synthesis of trans-2,3-disubstituted 2,3-dihydropyrroles.
3. Construction of Six-Member Heterocycles
3.1. Nitrogen Heterocycles
The synthesis of nitrogen-containing heterocycles has attracted considerable attention in the synthetic community because of the important role in pharmaceutical components. Among them, pyridines represent one of the most prevalent scaffolds encountered in medicinal chemistry. In 2015, the group of Rovis reported that α,β-unsaturated oxime pivalates could undergo reversible C(sp2)−H insertion with cationic Rh(III) complexes to furnish five-member metallacycles, which could further be converted into 2,3-dihydropyridine products in good yields via an irreversible migratory insertion and reductive elimination under the presence of 1,1-disubstituted olefins (Scheme 17) [92]. More importantly, the 2,3-dihydropyridines can be used to convert into piperidines by catalytic hydrogenation which are important structural scaffolds of pharmaceuticals.
Scheme 17.
Rh(III)-catalyzed synthesis of piperidines.
Isoquinolinones, which act as a very common class of heterocyclic skeletons, is widely used in the medicinal chemistry and agrochemical industries. [93,94,95]. They provide a very perfect motivation for organic chemists to develop a large number of synthetic strategies to build them [95]. In 2013, by utilizing different directing groups, Rovis’s group reported three distinct Rh(III)-catalyzed reaction strategies with tethered olefin-containing benzamides (Scheme 18) [96]. Hydroarylation, amidoarylation, and dehydrogenative Heck type products can be obtained based on the type of amide substrate used. A wide range of tethered alkenes can cyclize to equip six-member products in good yields. Furthermore, this reaction showed high diastereoselectivity in the amidoarylation process of a substrate containing a pre-existing stereocenter.
Scheme 18.
Rh(III)-catalyzed intramolecular hydroarylation.
In 2017, Wang and co-workers developed the Rh(III)-catalyzed C–H bond activation/annulations of ketenimines with N-methoxybenzamides to prepare isoquinolinones and isoindolinones (Scheme 19) [97]. The molecular structure of the ketenimine component was found to determine the reaction outcomes. By using the β-alkyl substituted ketenimines, the reaction afforded 3-iminoisoquinolin-1(2H)-ones in a formal [4 + 2] annulation manner, while the β-ester group substituted ketenimines furnished 3-aminoisoindolin-1-ones in a formal [4 + 1] annulation manner. Furthermore, the synthesized [4 + 2] products could be converted to benzo [4,5] imidazo [1, 2-b]isoquinolin-11-ones by an intramolecular Cu-catalyzed C–N bond coupling, which then could be directly converted into heterocyclic products which are important in medicinal chemistry.
Scheme 19.
Rh(III)-catalyzed synthesis of isoquinolinones and isoindolinones.
In addition, Wang’s group constructed four types of fluorine substituted isoquinolinone scaffolds via Rh(III)-catalyzed C–H bond activation of arenes and further coupling with 2,2-difluorovinyl tosylate [98], which is a very interesting and important work because incorporating fluorinated groups and fluorine atoms is a common strategy for drug modification. The unique properties imparted by fluorine atom have rendered it a popular element in functional molecules (Scheme 20).
Scheme 20.
Rh(III)-catalyzed C–H activation of arenes.
Ketenes (R1R2C=C=O) are highly reactive reagents that have been widely used in the synthesis of complex carbonyl compounds in metal-catalyzed addition and cross-coupling reactions [99]. Li’s group in 2018 realized a mild and redox-neutral Rh(III)-catalyzed [4 + 2] annulation of O-pivaloyl oximes with ketenes to isoquinolin-4(3H)-ones which is also an important privileged structure in medicinal chemistry [99], in which the N-OPiv played a key role that not only acts as an oxidizing group but also offers coordination saturation to inhibit protonolysis. The DFT mechanism studies suggest that the C−N bond coupling/N−O bond cleavage occurs via a concerted all-Rh(III) process (Scheme 21).
Scheme 21.
Rh(III)-catalyzed synthesis of isoquinolin-4(3H)-ones.
Assembling a heterocyclic motif with other heterocyles into polycyclic fused-heterocycles is an important tactic to discover novel biological active molecules for medicinal chemistry. In 2014, Lin’s group reported two tunable arylative cyclizations of cyclohexadienone-containing 1,6-enynes with O-substituted N-hydroxybenzamides by using Rh(III)-catalyzed C−H bond activation (Scheme 22) [100]. In this transformation, different directing group, such as O-Piv and O-Me, can selectively build tetracyclic isoquinolones through an N-Michael addition process or hydrobenzofurans through a C-Michael addition process. It is a pioneering example of a Rh(III)-catalyzed arylative cyclization reaction of 1,6-enynes, and the results extend the application realm of Cp*Rh(III)-catalyzed C−H bond activation cascade reactions.
Scheme 22.
Rh(III)-catalyzed arylative cyclization reaction of 1,6-enynes.
After that, Li’s group in 2017 exploited the similar 1,6-enynes as the starting substrate, and realize a C–H activation of indoles by using Rh(III) catalyst to afford intriguing [6,5]-fused heterocycles, in which the alkyne insertion follows 2,1-regioselectivity with a subsequent type-I intramolecular Diels–Alder reaction (IMDA) (Scheme 23) [101].
Scheme 23.
Rh(III)-catalyzed C–H bond activation to afford fused cycles.
In 2015, Saa´ group employed arylguanidines, whose guanidine group can be used as an excellent directing group, and alkynes as the starting materials to fulfil a [5 + 1] oxidative cycloaddition by Rh(III)-catalyst to give C-4 disubstituted 1,4-dihydroquinazolin-2-amines [102], in which quinazoline ring is a classic privileged structural unit that is found in many natural products and pharmaceuticals (Scheme 24). This reaction tolerated a broad range of functional groups in both the guanidine and alkyne partners, and it also gave an easy access to gain relevant functional heterocycles containing the guanidine moiety.
Scheme 24.
Rh(III)-catalyzed C–H activation of [5 + 1] oxidative cycloaddition.
3.2. Oxygen Heterocycles
Chromenes has been characterized as a class of structural cores that is ubiquitously presented in various naturally compounds and it plays an important role in pharmaceutical components with a broad spectrum of applications [103,104]. In 2015, Gulías’s group described a new Rh(III)-catalyzed oxidative annulation formally involving the cleavage of the C–H and O–H bond of 2-alkenylphenols to construct very valuable 2,2-disubstituted 2H-chromenes [105], in which the process is a simple and atom-economical [5 + 1] heteroannulation involving the cleavage of one C–H bond of the alkenyl moiety and the participation of the allene as a one-carbon cycloaddition partner. The mechanism study shows that this transformation proceeds through an intriguing sequential mechanism involving an initial Rh(III)-catalyzed addition followed by a [1,7] sigmatropic hydrogen shift and a 6π-electron electrocyclic ring closure (Scheme 25).
Scheme 25.
Rh(III)-catalyzed oxidative annulation for the synthesis of chromenes.
It is well known that cyclopropenes are often used as vinyl metal carbene precursors because of their highly strained unsaturated properties which are suitable as three-carbon synthons for organic synthesis. In 2014, Wang and co-workers used cyclopropenes as the first reported three-carbon units to synthesize 2H-chromenes through a Rh(III)-catalyzed C–H bond activation strategy (Scheme 26) [106]. The reaction features mild reaction conditions at room temperature and does not need external oxidants with a good substrate tolerance and good to excellent yields.
Scheme 26.
The Synthesis of 2H-chromenes.
Similarly, fused-chromene polycyclic scaffolds are intriguing privileged skeletons in many natural products and pharmaceuticals. The approaches to access them via transition-metal-catalyzed C–H bond activation are particularly impressive, because these products are highly congested scaffolds difficult to access through traditional methods. Zhang’s group in 2018 developed an Rh(III)-catalyzed C−H bond activation strategy to assemble pyrazolones with 1,6-enynes to access fused-chromene scaffolds (Scheme 27) [107]. This cascade reaction ranged a broad substrate scope in high regioselectivity and stereospecificity and furnished three new chemical bonds and four chiral centers in a single operation. More importantly, a variety of functional transformations of the target product were further conducted to give new polycyclic derivatives.
Scheme 27.
The synthesis of fused-chromene scaffolds.
In 2018, our group achieved a synthesis of diversified substituted benzo[de]chromenes by a Rh(III)-catalyzed C–H activation of benzoylacetonitriles in coupling with diazo compounds with a one-pot two cascade formal [4 + 2] cycloaddition with two-fold diazo compound (Scheme 28) [77]. More interestingly, controlling the reaction conditions could selectively prepare the synthesis of fused benzo[de]chromenes and their decarboxylation products. Meanwhile, this transformation has a wide range of substrates, good yields, and high regioselectivity.
Scheme 28.
The synthesis of substituted benzo[de]chromenes.
Similarly, Li’s group also finished a Rh(III)-catalyzed C–H activation of benzoylacetonitriles and further coupled with sulfoxonium ylides, an important carbene source, to give benzo[de]chromenes in 2018 with good yields and tolerances (Scheme 29) [108].
Scheme 29.
The synthesis of benzo[de]chromenes.
4. Construction of Seven-Member Heterocycles
Seven-member heterocyclic scaffolds, especially azepines or their derivatives have attracted considerable attention by virtue of their interesting biological properties. [109,110]. In 2015, Li’s group accomplished the C–H bond activation of 4-aryl-1-tosyl-1,2,3-triazoles to further perform a [3 + 2]/[5 + 2] annulation with internal alkynes to effectively construct indeno[1,7-cd]azepine scaffold by a Rh(III)-catalyst (Scheme 30) [111]. This reaction features a [3 + 2]/[5 + 2] annulation through dual C–H functionalization and is the first straightforward procedure for the synthesis of the indeno[1,7-cd]azepine skeleton with good substrate tolerances and selectivity.
Scheme 30.
Rh(III)-catalyzed synthesis of azepines.
Kim’s group in 2017 reported another interesting Rh(III)-catalyzed cross-coupling reaction between benzylamines and Morita-Baylis-Hillman (MBH) adducts to build a wide range of 2-benzazepine derivatives (Scheme 31) [112]. This transformation has a good chemoselectivity as well as high functional group tolerance.
Scheme 31.
The synthesis of 2-benzazepines.
In 2018, Chabaud and co-workers ingeniously tethered allylic alcohols into benzamide scaffold to further fulfill a Rh(III)-catalyzed aryl C–H activation/intramolecular Heck-type reaction cascade to access tricyclic azepinones through an intramolecular process (Scheme 32) [113].
Scheme 32.
Rh(III)-catalyzed intramolecular process to form azepinone derivatives.
5. Construction of Spiroheterocycles
Spiro compounds also play a vital role in life sciences and materials related fields due to their unique structural properties, which have been found broadly in natural products [114,115], pharmaceuticals [116], optoelectronics [117]. Furthermore, spirocyclic skeletons are also basic backbones for many useful and commercially available catalysts and ligands [118,119]. They could not only present central chirality but also exhibit axial chirality which depends on their substituents. However, the construction of spiro compounds has been a challenging task for synthetic chemists due to poor functional group compatibility and the difficulty to introduce versatile functionality to the parent one for further practical transformation.
The traditional methods for the formation of spirocyclic molecules mainly embody alkylation process, ring-closing of compounds with geminal substituents, tandem annulation involved radical, rearrangement-based methods, ring-opening of bridged ring systems accompanied by bond-cleavage [120,121,122]. Recently, emerging transition-metal mediated C–H bond activation provides another convenient way to give access to spirocyclic compounds, in which several groups have reported a number of highly stereoselective approaches to build sophisticated scaffolds via a tandem sequence with different chiral catalysts [123,124,125].
Cyclopropane, the smallest cycle, with poses larger inherent tension leads to the synthesis of spirocyclic molecules with a three-member ring is a very challenging task. In 2013, Cui and co-workers developed a Rh(III)-catalyzed C–H bond activation/cycloaddition of benzamides and methylene cyclopropanes to selectively synthesize spiro-dihydroisoquinolinones and furan-fused azepinones (Scheme 33) [121], which can be conducted to privileged tetrahydroisoquinoline and azepine molecules. The transformation features simple starting materials, mild conditions, high efficiency and without external oxidant.
Scheme 33.
The synthesis of spiro-2H-isoquinolinones and furan-fused azepinones.
Interestingly, Glorious’s group discovered an unprecedented dearomatized spirocyclopropane in a sequential Rh(III)-catalyzed C–H activation and rearrangement reaction to spirocyclopropanes in 2018 (Scheme 34) [122]. This protocol used N-phenoxyacetamide with a redox-natural directing group as the C–H bond activation substrate to couple with 7-azabenzonorbornadiene, and an unprecedented dearomatized spirocyclopropane intermediate was obtained in a sequential Rh(III)-catalyzed C−H bond activation and Wagner–Meerwein-type rearrangement reaction, in which the N-phenoxyacetamides acted as a one-carbon component in this [1 + 2] annulation.
Scheme 34.
The synthesis of the dearomatized spirocyclopropane.
Recently, the transition-metal mediated dearomatization reactions have drawn great attentions due to the fact that such transformation can convert planar 2D aromatic molecules into very complex and more flexible 3D compounds with various fused and spiro polycyclic motifs [126,127]. Among these achievements, substrates with a phenol framework have received considerable attention because the hydroxyl group can not only serve as a directing group to spur C–H bond cleavage, but also facilitate dearomatization of planar aromatic feedstocks. In 2014, Gulías and coworkers described a novel [3 + 2] cycloaddition between 2-alkenylphenols and alkynes by Rh(III)-catalyzed under oxidative conditions to give a novel spirocarbocycles (Scheme 35) [120]. Further, Lam’s group also developed a catalytic C–H functionalization method for the dearomatizing spiroannulation of 2-alkenylphenols with alkynes and enynes (Scheme 35) [128]. Their results pointed out the potential of using substituents in key strategic positions of substrates to change reaction outcomes.
Scheme 35.
Rh (III)-catalyzed dearomatizing [3 + 2] annulation of 2-alkenylphenols.
You and co-workers are committed to developing synthetic methodologies that involve mainly transition-metal catalyzed stereoselectively C–H bond functionalization and catalytic asymmetric dearomatizaton reactions [127]. In 2015, they developed an Rh(III)-catalyzed enantioselective dearomatization of 1-aryl-2-naphthols with internal alkynes via C−H functionalization reaction [129,130] by utilizing the Rh/chiral cyclopentadienyl (Cp) catalyst developed by the Cramer group which shows preeminent activity in promoting asymmetric C−H activation (Scheme 36) [118,131,132]. This process can afford spirocyclic compounds with high yields and excellent ee value. They also proposed a possible mechanism for the reaction. With the deprotonation of the β-naphthol substrates by the Rh catalyst, the catalytic cycle begins. The obtained intermediate I then undergoes C−H bond activation, which leads to the rhodacycle II. Rhodacycle III involves alkyne coordination and migratory insertion and gives a rather strained eight-membered isomer, which might be in equilibrium with a six-member isomer IV. After reductive elimination, the final dearomatized product is obtained, and the released Rh(I) species is concomitantly oxidized by Cu(OAc)2 and oxygen to the activated Rh(III) catalyst, completing the catalytic cycle.
Scheme 36.
Rh(III)-catalyzed asymmetric dearomatization of naphthols.
Similar to phenol skeletons, pyrazolones also are utilized for the synthesis of novel structurally spirocyclic molecules. In 2017, Yao’s group developed an Rh(III)-catalyzed enol-directed formal sp3 C−H bond activation and annulation of α-arylidene pyrazolones with alkynes to provide spiropentadiene pyrazolones with broadly biological activity [133] in good yields at room temperature (Scheme 37) [134].
Scheme 37.
The synthesis of spiropentadiene pyrazolones.
In the same year, You’s group developed a asymmetric synthesis of five-member-ring spiropyrazolones from readily available pyrazolones and alkynes though a chiral (S)-Cp*Rh(III) catalyzed C–H functionalization/annulation process (Scheme 38) [135]. This reaction tolerated the transformation of a wide range of substrates into highly enantioenriched spiropyrazolones.
Scheme 38.
The enantioselective synthesis of spiroindenes.
The 1,3-dicarbonyl compounds are the excellent precursor for enol, where two carbonyl groups increase the acidity of dual α-H which leads to the fact that 1,3-dicarbonyl compounds can convert into enol easily. In 2015, Lam and co-workers described an Rh(III)-catalyzed annulation of 5-arylbarbituric acids and related compounds with 1,3-enynes containing allylic hydrogens cis to the alkyne (Scheme 39) [136]. This novel mode of oxidative annulation further demonstrates the power of alkenyl-to-allyl 1,4-Rhodium(III) migration in generating electrophilic allylrhodium species in the construction of polycyclic systems.
Scheme 39.
Rh(III)-catalyzed synthesis of polycyclic scaffold.
Also, in 2015, by using chiral cyclopentadienyl Rhodium catalysts, Lam developed an enantioselective synthesis of spiroindenes from the oxidative annulation of an aryl cyclic 1,3-dicarbonyl compounds (or their enol tautomers) with alkynes (Scheme 40) [137]. The process could apply a wide range of substrates to give diverse products with high enantioselectivities. A proposed catalytic cycle for these reactions is shown in Scheme 41. The author proposed a mechanism to explain the source of reaction stereoselectivity. It can be seen from the diagram of reaction mechanism that the unique configuration and steric hindrance of ligand formation play an important role in the control of stereoselectivity.
Scheme 40.
The asymmetric synthesis of five-member-ring spiropyrazolones.
Scheme 41.
A proposed catalytic cycle of the asymmetric synthesis.
In 2014, Li and coworkers employed 1H-pyrroles as a substrate of C–H activation to finish a Rhodium(III)catalyzed [3 + 2] annulation with internal alkynes via aryl C(sp2)-H/alkene functionalization where the N-atom of enamine as a directing group (Scheme 42) [138]. This novel reaction was a general method for the construction of the spiro [indene-1,2’-pyrrolidine] ring system, which offered excellent functional group tolerances and excellent selectivity.
Scheme 42.
The synthesis of the spiro [indene-1,2’-pyrrolidine] ring system.
Functionalized sulfonamides such as sultams and sulfamidates are important intermediates to synthesize diverse biologically active molecules [139]. In 2013, Deng conducted an efficient Rh(III)-catalyzed [3 + 2] annulation of cyclic N-sulfonyl ketimines with internal alkynes proceeded by catalytic amounts of AgSbF6 to form synthetically fused spirocyclic sultams (Scheme 43) [140]. This reaction features high yield and mild conditions. In 2014, Dong developed another novel Rh(III)-catalyzed three-component reaction of imines, alkynes, and aldehydes via C–H activation (Scheme 44) [141]. This reaction afforded a method for the construction of polycyclic skeletons and allowed the formation of four new bonds in a simple-to-perform, single-operation cascade C–H bond activation/C=N insertion, C–H bond activation/C=O insertion, cyclization sequence.
Scheme 43.
Rh(III)-catalyzed [3 + 2] annulation via N-Rh-O species.
Scheme 44.
Rh(III)-catalyzed three-component reaction.
Similarly, olefins can also undergo [3 + 2] cycloaddition with cyclic N-sulfonyl ketimine. In 2017, Li realized Rh(III)-catalyzed [3 + 2] annulation of cyclic N-sulfonyl or N-acyl ketimines with activated alkenes, which led to the synthesis of spirocycles with three continuous stereogenic centers (Scheme 45) [142]. This reaction proceeded as highly efficient under mild and redox-neutral conditions via a C−H bond activation pathway, and the coupling is diastereodivergent, with the diastereoselectivity being tuned by silver additives.
Scheme 45.
Rh(III)-catalyzed [3 + 2] annulation for synthesizing spirocycles.
Moreover, electron-rich aromatic compounds are also suitable coupling partners of this protocol. In 2016, Wei developed a Rh(III)-catalyzed cross dehydrogenative coupling method to obtain various structurally interesting and synthetically useful spirocyclic sultams and heterobiaryls from readily available N-sulfonylketimines and thiophenes or furans (Scheme 46) [143], the N-sulfonylimine functionality was employed as an effective directing group for C−H bond activation.
Scheme 46.
Rh(III)-catalyzed synthesis of spirocyclic sultams.
Although chiral sultams play an important role in organic and medicinal chemistry [144,145], only a few methods for the synthesis of chiral sultams have been reported. Until 2016, Cramer reported a chiral Cpx-Rhodium(III) catalyzed synthesis of spirocyclic indenyl sultams by enantioselective annulation of N-sulfonyl ketimines and alkynes (Scheme 47) [146]. This reaction could obtain spirocyclic sultams in high yields and enantiomeric ratios. Moreover, this study further illustrated the generality of the chiral cyclopentadienyls based on an atropchiral biaryl backbone as a versatile chiral ligand class.
Scheme 47.
Chiral Rh(III)-catalyzed synthesis of spirocyclic indenyl sultams.
Cyclic imines are of prime importance as they could lead to the formation of spirocompounds via a [3 + 2] annulation reaction. In 2016, Kim described The Rh(III)-catalyzed redox-neutral coupling process of N-acyl ketimines generated in situ from 3-hydroxyisoindolinones with a wide range of activated olefins (Scheme 48) [147]. This approach led to the synthesis of bioactive spiroisoindolinone derivatives in good yields. Spiroindanes were obtained by the [3 + 2] annulations reaction in the case of internal olefins such as maleimides, maleates, fumarates, and cinnamates. Notably, acrylates and quinones displayed the β-H elimination followed by Prins-type cyclization furnishing spiroindenes.
Scheme 48.
Rh(III)-catalyzed synthesis of spiroisoindolinone derivatives.
Additionally, in 2016, Liu’s group took advantage of the ring-opening ability of 7-oxabenzonorbornadiene to develop a new cascade reaction of alkynols and 7-oxabenzonorbornadienes by synergistic Rh(III)/Sc(III) catalysis (Scheme 49) [148]. The process involves intramolecular addition of the hydration product of alkynols, hemiketal-directed C−H bond activation, followed by dehydrative naphthylation and Prins-type cyclizationation, which could obtain spirocyclic dihydrobenzo [a]-fluorenefurans with excellent regioselectivity and good yield.
Scheme 49.
Synergistic Rh(III)/Sc(III)-catalytic system.
Last year, Luo’s team developed a [3 + 2] annulation reaction of aromatic imine substrates and maleimides via Rh(III)-catalyzed C−H bond activation strategy (Scheme 50) [149]. This protocol is applicable to a broad scope of imines including cyclic/acyclic ketimines and aldimines, in which an activation moiety such as an acyl or a sulfonyl group was not required.
Scheme 50.
A [3 + 2] annulation reaction for a fused spiroheterocycle.
6. Conclusions
The Rhodium(III)-catalyzed C–H bond activation and subsequent tandem annulation reaction with π-component features atom- and step-economic, bench-stability, mild condition, and minimal by-products and, in recent years, has caused attracted attention from synthetic chemists with its broad applications in the synthesis of heterocycles molecules with sp3 carbon center. However, most of these new reactions are still limited to substrates with specific directed groups which need to be introduced before C–H bond activation and removed after, and thus greatly constrain its industrial application, and will not be the preferred protocol for medicinal chemistry scientists. Especially the construction of chirality is still very difficult and insufficient. Therefore, further developments are expected to be able to address these questions and realize its industrial applications.
Funding
We are grateful to the National Natural Science Foundation of China (No.21672232) and the Strategic Priority Research Program of the Chinese Academy of Sciences (XDA12040217 and XDA12020375) for financial support.
Conflicts of Interest
The author declares no conflict of interest.
References
- Vitaku, E.; Smith, D.T.; Njardarson, J.T. Analysis of the structural diversity, substitution patterns, and frequency of nitrogen heterocycles among U.S. FDA approved pharmaceuticals. J. Med. Chem. 2014, 57, 10257–10274. [Google Scholar] [CrossRef] [PubMed]
- Das, P.; Delost, M.D.; Qureshi, M.H.; Smith, D.T.; Njardarson, J.T. A survey of the structures of US FDA approved combination drugs. J. Med. Chem. 2019, 62, 4265–4311. [Google Scholar] [CrossRef] [PubMed]
- Delost, M.D.; Smith, D.T.; Anderson, B.J.; Njardarson, J.T. From oxiranes to oligomers: Architectures of U.S. FDA approved pharmaceuticals containing oxygen heterocycles. J. Med. Chem. 2018, 61, 10996–11020. [Google Scholar] [CrossRef] [PubMed]
- Foster, R.A.; Willis, M.C. Tandem inverse-electron-demand hetero-/retro-Diels-Alder reactions for aromatic nitrogen heterocycle synthesis. Chem. Soc. Rev. 2013, 42, 63–76. [Google Scholar] [CrossRef] [PubMed]
- Rotstein, B.H.; Zaretsky, S.; Rai, V.; Yudin, A.K. Small heterocycles in multicomponent reactions. Chem. Rev. 2014, 114, 8323–8359. [Google Scholar] [CrossRef] [PubMed]
- Zhang, B.; Studer, A. Recent advances in the synthesis of nitrogen heterocycles via radical cascade reactions using isonitriles as radical acceptors. Chem. Soc. Rev. 2015, 44, 3505–3521. [Google Scholar] [CrossRef] [PubMed]
- Jacques Royer, M.B.; Micouin, L. Chiral heterocycles by iminium ion cyclization. Chem. Rev. 2004, 104, 2311–2352. [Google Scholar] [CrossRef]
- Villar, H.; Frings, M.; Bolm, C. Ring closing enyne metathesis: A powerful tool for the synthesis of heterocycles. Chem. Soc. Rev. 2007, 36, 55–66. [Google Scholar] [CrossRef]
- Chen, J.R.; Hu, X.Q.; Lu, L.Q.; Xiao, W.J. Exploration of visible-light photocatalysis in heterocycle synthesis and functionalization: Reaction design and beyond. Acc. Chem. Res. 2016, 49, 1911–1923. [Google Scholar] [CrossRef]
- Xuan, J.; Lu, L.Q.; Chen, J.R.; Xiao, W.J. Visible-light-driven photoredox catalysis in the construction of carbocyclic and heterocyclic ring systems. Eur. J. Org. Chem. 2013, 2013, 6755–6770. [Google Scholar] [CrossRef]
- Itaru Nakamura, Y.Y. Transition-metal-catalyzed reactions in heterocyclic synthesis. Chem. Rev. 2004, 104, 2127–2198. [Google Scholar] [CrossRef] [PubMed]
- Barluenga, J.; Santamaria, J.; Tomás, M. Synthesis of heterocycles via group VI fischer carbene complexes. Chem. Rev. 2004, 1014, 2259–2283. [Google Scholar] [CrossRef] [PubMed]
- Jagodzin´ski, T.S. Thioamides as useful synthons in the synthesis of heterocycles. Chem. Rev. 2003, 103, 197–227. [Google Scholar] [CrossRef] [PubMed]
- Han, F.S. Transition-metal-catalyzed Suzuki-Miyaura cross-coupling reactions: A remarkable advance from palladium to nickel catalysts. Chem. Soc. Rev. 2013, 42, 5270–5298. [Google Scholar] [CrossRef] [PubMed]
- Phapale, V.B.; Cardenas, D.J. Nickel-catalysed Negishi cross-coupling reactions: Scope and mechanisms. Chem. Soc. Rev. 2009, 38, 1598–1607. [Google Scholar] [CrossRef] [PubMed]
- Heravi, M.M.; Hajiabbasi, P. Recent advances in Kumada-Tamao-Corriu cross-coupling reaction catalyzed by different ligands. Monatshefte Chem. Chem. Mon. 2012, 143, 1575–1592. [Google Scholar] [CrossRef]
- Espinet, P.; Echavarren, A.M. The mechanisms of the Stille reaction. Angew. Chem. Int. Ed. 2004, 43, 4704–4734. [Google Scholar]
- Monfared, A.; Mohammadi, R.; Ahmadi, S.; Nikpassand, M.; Hosseinian, A. Recent advances in the application of nano-catalysts for Hiyama cross-coupling reactions. RSC Adv. 2019, 9, 3185–3202. [Google Scholar] [CrossRef]
- He, J.; Wasa, M.; Chan, K.S.L.; Shao, Q.; Yu, J.Q. Palladium-catalyzed transformations of alkyl C–H bonds. Chem. Rev. 2017, 117, 8754–8786. [Google Scholar] [CrossRef] [PubMed]
- Arockiam, P.B.; Bruneau, C.; Dixneuf, P.H. Ruthenium(II)-catalyzed C–H bond activation and functionalization. Chem. Rev. 2012, 112, 5879–5918. [Google Scholar] [CrossRef]
- Colby, D.A.; Bergman, R.G.; Ellman, J.A. Rhodium-catalyzed C–C bond formation via heteroatom-directed C–H bond activation. Chem. Rev. 2010, 110, 624–655. [Google Scholar] [CrossRef] [PubMed]
- Boorman, T.C.; Larrosa, I. Gold-mediated C–H bond functionalisation. Chem. Soc. Rev. 2011, 40, 1910–1925. [Google Scholar] [CrossRef]
- Davies, D.L.; Al-Duaij, O.; Fawcett, J.; Giardiello, M.; Hilton, S.T.; Russell, D.R. Room-temperature cyclometallation of amines, imines and oxazolines with [MCl2Cp*]2(M = Rh, Ir) and [RuCl2(p-cymene)]2. Dalton Trans. 2003, 4132–4138. [Google Scholar] [CrossRef]
- Ueura, K.; Satoh, T.; Miura, M. An efficient waste-free oxidative coupling via regioselective C−H bond cleavage: Rh/Cu-catalyzed reaction of benzoic acids with alkynes and acrylates under air. Org. Lett. 2007, 9, 1407–1409. [Google Scholar] [CrossRef] [PubMed]
- Satoh, T.; Miura, M. Oxidative coupling of aromatic substrates with alkynes and alkenes under rhodium catalysis. Chem. Eur. J. 2010, 16, 11212–11222. [Google Scholar] [CrossRef] [PubMed]
- Song, G.; Li, X. Substrate activation strategies in Rhodium(III)-catalyzed selective functionalization of arenes. Acc. Chem. Res. 2015, 48, 1007–1020. [Google Scholar] [CrossRef] [PubMed]
- Kuhl, N.; Schröder, N.; Glorius, F. Formal SN-type reactions in Rhodium(III)-catalyzed C–H bond activation. Adv. Synth. Catal. 2014, 356, 1443–1460. [Google Scholar] [CrossRef]
- Colby, D.A.; Tsai, A.S.; Bergman, R.G.; Ellman, J.A. Rhodium catalyzed chelation-assisted C–H bond functionalization reactions. Acc. Chem. Res. 2012, 45, 814–825. [Google Scholar] [CrossRef] [PubMed]
- Wu, X.F.; Neumann, H.; Beller, M. Synthesis of heterocycles via Palladium-catalyzed carbonylations. Chem. Rev. 2013, 113, 1–35. [Google Scholar] [CrossRef]
- Chemler, S.R.; Fuller, P.H. Heterocycle synthesis by copper facilitated addition of heteroatoms to alkenes, alkynes and arenes. Chem. Soc. Rev. 2007, 36, 1153–1160. [Google Scholar] [CrossRef]
- Duarah, G.; Kaishap, P.P.; Begum, T.; Gogoi, S. Recent advances in Ruthenium(II)-catalyzed C−H bond activation and alkyne annulation reactions. Adv. Synth. Catal. 2019, 361, 654–672. [Google Scholar] [CrossRef]
- Neuhaus, J.D.; Willis, M.C. Homogeneous Rhodium(I)-catalysis in de novo heterocycle syntheses. Org. Biomol. Chem. 2016, 14, 4986–5000. [Google Scholar] [CrossRef]
- Alvarez-Corral, M.; Munoz-Dorado, M.; Rodriguez-Garcia, I. Silver-mediated synthesis of heterocycles. Chem. Rev. 2008, 108, 3174–3198. [Google Scholar] [CrossRef]
- Sreedevi, R.; Saranya, S.; Rohit, K.R.; Anilkumar, G. Recent trends in Iron-catalyzed reactions towards the synthesis of nitrogen-containing heterocycles. Adv. Synth. Catal. 2019, 361, 2236–2249. [Google Scholar] [CrossRef]
- Kaur, N. Nickel catalysis: Six membered heterocycle syntheses. Synth. Commun. 2019, 49, 1103–1133. [Google Scholar] [CrossRef]
- Keerthi Krishnan, K.; Ujwaldev, S.M.; Saranya, S.; Anilkumar, G.; Beller, M. Recent advances and perspectives in the synthesis of heterocycles via Zinc catalysis. Adv. Synth. Catal. 2018, 361, 382–404. [Google Scholar] [CrossRef]
- Nitin, T.; Patil, Y.Y. Coinage metal-assisted synthesis of heterocycles. Chem. Rev. 2008, 108, 3395–3442. [Google Scholar]
- Marco, B. Au-Catalyzed Synthesis and Functionalization of Heterocycles, 1st ed.; Springer: Berlin, Germany, 2016; pp. 1–294. [Google Scholar]
- Zhou, Z.B.; Luo, J.G.; Pan, K.; Shan, S.M.; Zhang, W.; Kong, L.Y. Bioactive benzofuran neolignans from Aristolochia fordiana. Planta Med. 2013, 79, 1730–1735. [Google Scholar] [CrossRef] [PubMed]
- Naima, B.; Francois, F. Flavonoids from dalbergia louvelii and their antiplasmodial activity. J. Nat. Prod. 2003, 66, 1447–1450. [Google Scholar]
- Sun, X.X.; Zhang, H.H.; Li, G.H.; Meng, L.; Shi, F. Diastereo-and enantioselective construction of an indole-based 2,3-dihydrobenzofuran scaffold via catalytic asymmetric [3 + 2] cyclizations of quinone monoimides with 3-vinylindoles. Chem. Commun. 2016, 52, 2968–2971. [Google Scholar] [CrossRef]
- Chen, J.; Shao, Y.; Zheng, H.; Cheng, J.; Wan, X. Metal-free coupling of 2-vinylphenols and carboxylic acids: An access to 3-acyloxy-2,3-dihydrobenzofurans. J. Org. Chem. 2015, 80, 10734–10741. [Google Scholar] [CrossRef]
- Wang, D.H.; Yu, J.Q. Highly convergent total synthesis of (+)-lithospermic acid via a late-stage intermolecular C–H olefination. J. Am. Chem. Soc. 2011, 133, 5767–5769. [Google Scholar] [CrossRef]
- Kuppusamy, R.; Gandeepan, P.; Cheng, C.H. Rh(III)-Catalyzed [4 + 1] Annulations of 2-hydroxy-and 2-aminobenzaldehydes with allenes: A simple method toward 3-coumaranones and 3-indolinones. Org. Lett. 2015, 17, 3846–3849. [Google Scholar] [CrossRef] [PubMed]
- Song, G.; Wang, F.; Li, X. C–C, C–O and C–N bond formation via Rhodium(III)-catalyzed oxidative C–H activation. Chem. Soc. Rev. 2012, 41, 3651–3678. [Google Scholar] [CrossRef] [PubMed]
- Wu, Y.; Chen, Z.; Yang, Y.; Zhu, W.; Zhou, B. Rh(III)-catalyzed redox-neutral unsymmetrical C-Halkylation and amidation reactions of N-phenoxyacetamides. J. Am. Chem. Soc. 2018, 140, 42–45. [Google Scholar] [CrossRef] [PubMed]
- Li, Y.; Shi, D.; Tang, Y.; He, X.; Xu, S. Rhodium(III)-catalyzed redox-neutral c-h activation/annulation of n-aryloxyacetamides with alkynyloxiranes: Synthesis of highly functionalized 2,3-dihydrobenzofurans. J. Org. Chem. 2018, 83, 9464–9470. [Google Scholar] [CrossRef] [PubMed]
- Pan, J.L.; Xie, P.; Chen, C.; Hao, Y.; Liu, C.; Bai, H.Y.; Ding, J.; Wang, L.R.; Xia, Y.; Zhang, S.Y. Rhodium(III)-catalyzed redox-neutral cascade [3 + 2] annulation of N-phenoxyacetamides with propiolates via C–H functionalization/isomerization/lactonization. Org. Lett. 2018, 20, 7131–7136. [Google Scholar] [CrossRef]
- Sun, J.; Bai, D.; Wang, P.; Wang, K.; Zheng, G.; Li, X. Chemodivergent oxidative annulation of benzamides and enynes via 1,4-Rhodium migration. Org. Lett. 2019, 21, 1789–1793. [Google Scholar] [CrossRef] [PubMed]
- Bronner, S.M.; Garg, N.K. Heterocycles in Natural Product Synthesis, 1st ed.; Wiley-VCH Verlag GmbH & Co. KGaA: Weinheim, Germany, 2011; pp. 221–265. [Google Scholar]
- Cacchi, S.; Fabrizi, G. Synthesis and functionalization of indoles through Palladium-catalyzed reactions. Chem. Rev. 2005, 105, 2873–2920. [Google Scholar] [CrossRef] [PubMed]
- Bartoli, G.; Dalpozzo, R.; Nardi, M. Applications of Bartoli indole synthesis. Chem. Soc. Rev. 2014, 43, 4728–4750. [Google Scholar] [CrossRef]
- Robinson, B. Studies on the Fischer indole synthesis. Chem. Rev. 1969, 69, 227–250. [Google Scholar] [CrossRef]
- Stephen, W.; Wright, L.D.M.; Hageman, D.L. A Convenient modification of the Gassman oxindole synthesis. Tetrahedron Lett. 1996, 37, 4631–4634. [Google Scholar]
- Menéndez, J.C.; Sridharan, V.; Perumal, S.; Avendaño, C. Microwave-assisted, solvent-free Bischler indole synthesis. Synlett 2006. [Google Scholar] [CrossRef]
- Satoshi Sakami, M.M.; Koji, K.; Takumi, A.; Kuniaki, K.; Hideaki, F.; Ko, H.; Mayumi, N.; Takashi, E.; Shinya, U.; Tsuyoshi, I.; et al. Structure-antitussive activity relationships of naltrindole derivatives. identification of novel and potent antitussive agents. J. Med. Chem. 2008, 51, 4404–4411. [Google Scholar] [CrossRef] [PubMed]
- Zhao, D.; Vasquez-Cespedes, S.; Glorius, F. Rhodium(III)-catalyzed cyclative capture approach to diverse 1-aminoindoline derivatives at room temperature. Angew. Chem. Int. Ed. 2015, 54, 1657–1661. [Google Scholar] [CrossRef]
- Li, B.J.; Wang, H.Y.; Zhu, Q.L.; Shi, Z.J. Rhodium/copper-catalyzed annulation of benzimides with internal alkynes: Indenone synthesis through sequential C–H and C–N cleavage. Angew. Chem. Int. Ed. 2012, 51, 3948–3952. [Google Scholar] [CrossRef] [PubMed]
- Muralirajan, K.; Parthasarathy, K.; Cheng, C.H. Regioselective synthesis of indenols by rhodium-catalyzed C–H activation and carbocyclization of aryl ketones and alkynes. Angew. Chem. Int. Ed. 2011, 50, 4169–4172. [Google Scholar] [CrossRef] [PubMed]
- Zhou, B.; Chen, Z.; Yang, Y.; Ai, W.; Tang, H.; Wu, Y.; Zhu, W.; Li, Y. Redox-neutral Rhodium-catalyzed C–H functionalization of arylamine N-oxides with diazo compounds: Primary C(sp3)-H/C(sp2)-H activation and oxygen-atom transfer. Angew. Chem. Int. Ed. 2015, 54, 12121–12126. [Google Scholar] [CrossRef] [PubMed]
- Wang, C.; Wang, D.; Yan, H.; Wang, H.; Pan, B.; Xin, X.; Li, X.; Wu, F.; Wan, B. Rhodium-catalyzed cyclization of diynes with nitrones: A formal [2 + 2 + 5] approach to bridged eight-membered heterocycles. Angew. Chem. Int. Ed. 2014, 53, 11940–11943. [Google Scholar] [CrossRef]
- Zhang, X.; Qi, Z.; Li, X. Rhodium(III)-catalyzed C–C and C–O coupling of quinoline N-oxides with alkynes: Combination of C–H activation with O-atom transfer. Angew. Chem. Int. Ed. 2014, 53, 10794–10798. [Google Scholar] [CrossRef]
- Dateer, R.B.; Chang, S. Selective cyclization of arylnitrones to indolines under external oxidant-free conditions: Dual role of Rh(III) catalyst in the C–H activation and oxygen atom transfer. J. Am. Chem. Soc. 2015, 137, 4908–4911. [Google Scholar] [CrossRef] [PubMed]
- Dateer, R.B.; Chang, S. Rh(III)-catalyzed C–H cyclization of arylnitrones with diazo compounds: Access to N-hydroxyindolines. Org. Lett. 2016, 18, 68–71. [Google Scholar] [CrossRef]
- Font, M.; Cendon, B.; Seoane, A.; Mascarenas, J.L.; Gulias, M. Rhodium(III)-catalyzed annulation of 2-alkenyl anilides with alkynes through C–H activation: Direct access to 2-substituted indolines. Angew. Chem. Int. Ed. 2018, 57, 8255–8259. [Google Scholar] [CrossRef] [PubMed]
- Lawson, E.C.; Luci, D.K.; Ghosh, S.; Kinney, W.A.; Reynolds, C.H.; Qi, J.; Smith, C.E.; Wang, Y.; Minor, L.K.; Haertlein, B.J.; et al. Nonpeptide urotensin-II receptor antagonists: A new ligand class based on piperazino-phthalimide and piperazino-isoindolinone subunits. J. Med. Chem. 2009, 52, 7432–7445. [Google Scholar] [CrossRef] [PubMed]
- Song, G.; Chen, D.; Pan, C.L.; Crabtree, R.H.; Li, X. Rh-catalyzed oxidative coupling between primary and secondary benzamides and alkynes: Synthesis of polycyclic amides. J. Org. Chem. 2010, 75, 7487–7490. [Google Scholar] [CrossRef] [PubMed]
- Xu, Y.; Wang, F.; Yu, S.; Li, X. Rhodium(III)-catalyzed selective access to isoindolinones via formal [4 + 1] annulation of arylamides and propargyl alcohols. Chin. J. Catal. 2017, 38, 1390–1398. [Google Scholar] [CrossRef]
- Hyster, T.K.; Ruhl, K.E.; Rovis, T. A coupling of benzamides and donor/acceptor diazo compounds to form gamma-lactams via Rh(III)-catalyzed C–H activation. J. Am. Chem. Soc. 2013, 135, 5364–5367. [Google Scholar] [CrossRef] [PubMed]
- Guimond, N.; Gorelsky, S.I.; Fagnou, K. Rhodium(III)-catalyzed heterocycle synthesis using an internal oxidant: Improved reactivity and mechanistic studies. J. Am. Chem. Soc. 2011, 133, 6449–6457. [Google Scholar] [CrossRef] [PubMed]
- Wang, Q.; Li, Y.; Qi, Z.; Xie, F.; Lan, Y.; Li, X. Rhodium(III)-Catalyzed annulation between n-sulfinyl ketoimines and activated olefins: C–H activation assisted by an oxidizing N–S bond. ACS Catal. 2016, 6, 1971–1980. [Google Scholar] [CrossRef]
- Zhang, Y.; Wang, D.; Cui, S. Facile synthesis of isoindolinones via Rh(III)-catalyzed one-pot reaction of benzamides, ketones, and hydrazines. Org. Lett. 2015, 17, 2494–2497. [Google Scholar] [CrossRef] [PubMed]
- Zhou, Z.; Liu, G.; Lu, X. Regiocontrolled coupling of aromatic and vinylic amides with alpha-allenols to form gamma-lactams via Rhodium(III)-catalyzed C–H activation. Org. Lett. 2016, 18, 5668–5671. [Google Scholar] [CrossRef]
- Zhou, X.; Peng, Z.; Zhao, H.; Zhang, Z.; Lu, P.; Wang, Y. Rh-Catalyzed annulations of N-methoxybenzamides with ketenimines: Synthesis of 3-aminoisoindolinones and 3-diarylmethyleneisoindolinones with strong aggregation induced emission properties. Chem. Commun. 2016, 52, 10676–10679. [Google Scholar] [CrossRef] [PubMed]
- Peng, P.; Wang, J.; Jiang, H.; Liu, H. Rhodium(III)-catalyzed site-selective C–H alkylation and arylation of pyridones using organoboron reagents. Org. Lett. 2016, 18, 5376–5379. [Google Scholar] [CrossRef] [PubMed]
- Wu, X.; Wang, B.; Zhou, Y.; Liu, H. Propargyl alcohols as one-carbon synthons: Redox-neutral Rhodium(III)-catalyzed C–H bond activation for the synthesis of isoindolinones bearing a quaternary carbon. Org. Lett. 2017, 19, 1294–1297. [Google Scholar] [CrossRef] [PubMed]
- Fang, F.; Zhang, C.; Zhou, C.; Li, Y.; Zhou, Y.; Liu, H. Rh(III)-catalyzed C–H activation of benzoylacetonitriles and tandem cyclization with diazo compounds to substituted benzo[de]chromenes. Org. Lett. 2018, 20, 1720–1724. [Google Scholar] [CrossRef] [PubMed]
- Zhou, C.; Fang, F.; Cheng, Y.; Li, Y.; Liu, H.; Zhou, Y. Rhodium(III)-catalyzed C–H activation of benzoylacetonitriles and cyclization with sulfoxonium ylides to naphthols. Adv. Synth. Catal. 2018, 360, 2546–2551. [Google Scholar] [CrossRef]
- Zhou, J.; Li, J.; Li, Y.; Wu, C.; He, G.; Yang, Q.; Zhou, Y.; Liu, H. direct synthesis of 3-acylindoles through Rhodium(III)-catalyzed annulation ofN-phenylamidines with alpha-Cl ketones. Org. Lett. 2018, 20, 7645–7649. [Google Scholar] [CrossRef] [PubMed]
- Dong, G.; Li, C.; Liu, H. Rh(III)-catalyzed annulation of Boc-protected benzamides with diazo compounds: Approach to isocoumarins. Molecules 2019, 24, 739. [Google Scholar] [CrossRef] [PubMed]
- Fei, X.; Li, C.; Yu, X.; Liu, H. Rh(III)-catalyzed hydroarylation of alkyne MIDA boronates via C–H activation of indole derivatives. J. Org. Chem. 2019, 84, 6840–6850. [Google Scholar] [CrossRef] [PubMed]
- Song, X.; Han, X.; Zhang, R.; Liu, H.; Wang, J. Rhodium(III)-catalyzed [4+2] annulation via C–H activation: Synthesis of multi-substituted naphthalenone sulfoxonium ylides. Molecules 2019, 24, 1884. [Google Scholar] [CrossRef]
- Yang, L.; Li, C.; Wang, D.; Liu, H. Cp*Rh(III)-catalyzed C–H bond difluorovinylation of indoles with alpha,alpha-difluorovinyl tosylate. J. Org. Chem. 2019, 84, 7320–7330. [Google Scholar] [CrossRef] [PubMed]
- Yang, Q.; Wu, C.; Zhou, J.; He, G.; Liu, H.; Zhou, Y. Highly selective C–H bond activation of N-arylbenzimidamide and divergent couplings with diazophosphonate compounds: A catalyst-controlled selective synthetic strategy for 3-phosphorylindoles and 4-phosphorylisoquinolines. Org. Chem. Front. 2019, 6, 393–398. [Google Scholar] [CrossRef]
- Wang, B.; Li, C.; Liu, H. Cp*Rh(III)-catalyzed directed C−H methylation and arylation of quinoline n-oxides at the C-8 position. Adv. Synth. Catal. 2017, 359, 3029–3034. [Google Scholar] [CrossRef]
- Wang, C.Q.; Ye, L.; Feng, C.; Loh, T.P. C–F bond cleavage enabled redox-neutral [4 + 1] annulation via C–H bond activation. J. Am. Chem. Soc. 2017, 139, 1762–1765. [Google Scholar] [CrossRef] [PubMed]
- Li, T.; Zhou, C.; Yan, X.; Wang, J. Solvent-dependent asymmetric synthesis of alkynyl and monofluoroalkenyl isoindolinones by Cp*Rh(III) -catalyzed C–H activation. Angew. Chem. Int. Ed. 2018, 57, 4048–4052. [Google Scholar] [CrossRef] [PubMed]
- Li, W.; Khullar, A.; Chou, S.; Sacramo, A.; Gerratana, B. Biosynthesis of sibiromycin, a potent antitumor antibiotic. Appl. Environ. Microbiol. 2009, 75, 2869–2878. [Google Scholar] [CrossRef] [PubMed]
- Magedov, I.V.; Luchetti, G.; Evdokimov, N.M.; Manpadi, M.; Steelant, W.F.; Van Slambrouck, S.; Tongwa, P.; Antipin, M.Y.; Kornienko, A. Novel three-component synthesis and antiproliferative properties of diversely functionalized pyrrolines. Bioorgan. Med. Chem. Lett. 2008, 18, 1392–1396. [Google Scholar] [CrossRef]
- Miura, T.; Tanaka, T.; Hiraga, K.; Stewart, S.G.; Murakami, M. Stereoselective synthesis of 2,3-dihydropyrroles from terminal alkynes, azides, and alpha,beta-unsaturated aldehydes via N-sulfonyl-1,2,3-triazoles. J. Am. Chem. Soc. 2013, 135, 13652–13655. [Google Scholar] [CrossRef] [PubMed]
- Nakamuro, T.; Hagiwara, K.; Miura, T.; Murakami, M. Enantioselective denitrogenative annulation of 1H-tetrazoles with styrenes catalyzed by Rhodium. Angew. Chem. Int. Ed. 2018, 57, 5497–5500. [Google Scholar] [CrossRef]
- Romanov-Michailidis, F.; Sedillo, K.F.; Neely, J.M.; Rovis, T. Expedient access to 2,3-dihydropyridines from unsaturated oximes by Rh(III)-catalyzed C–H activation. J. Am. Chem. Soc. 2015, 137, 8892–8895. [Google Scholar] [CrossRef]
- Shu Wen Li, M.G.N.; Donna, M.; Edwards, R.L.; Kisliuk, Y.; Gaumont, I.K.; Dev, D.S.; Duch, J.; Humphreys, G.K.; Smith, R.F. Folate analogues 35: Synthesis and biological evaluation of 1-deaza, 3-deaza, and bridge-elongated analogues of JV10-propargyl-5,8-dideazafolic acid. J. Med. Chem. 1990, 34, 2746–2754. [Google Scholar]
- Toshiaki Matsui, T.S.; Hisao, N.; Sadahiko, I.; Satoshi, S.; Hideo, T.; Yoshihiko, O.; Yuhki, N.; Yasuyuki, U.; Kazuyuki, O.; Hiroyuki, I.; et al. Novel 5-HT3 antagonists. isoquinolinones and 3-aryl-2-pyridones. J. Med. Chem. 1992, 35, 3319. [Google Scholar]
- Asano, Y.; Kitamura, S.; Ohra, T.; Itoh, F.; Kajino, M.; Tamura, T.; Kaneko, M.; Ikeda, S.; Igata, H.; Kawamoto, T.; et al. Discovery, synthesis and biological evaluation of isoquinolones as novel and highly selective JNK inhibitors (2). Bioorgan. Med. Chem. 2008, 16, 4699–4714. [Google Scholar] [CrossRef] [PubMed]
- Davis, T.A.; Hyster, T.K.; Rovis, T. Rhodium(III)-catalyzed intramolecular hydroarylation, amidoarylation, and Heck-type reaction: Three distinct pathways determined by an amide directing group. Angew. Chem. Int. Ed. 2013, 52, 14181–14185. [Google Scholar] [CrossRef] [PubMed]
- Zhou, X.; Zhang, Z.; Zhao, H.; Lu, P.; Wang, Y. Rh-catalyzed annulations of n-methoxybenzamides and ketenimines: Sterically and electronically controlled synthesis of isoquinolinones and isoindolinones. J. Org. Chem. 2017, 82, 3787–3797. [Google Scholar] [CrossRef]
- Wu, J.Q.; Zhang, S.S.; Gao, H.; Qi, Z.; Zhou, C.J.; Ji, W.W.; Liu, Y.; Chen, Y.; Li, Q.; Li, X. Experimental and theoretical studies on rhodium-catalyzed coupling of benzamides with 2,2-difluorovinyl tosylate: Diverse synthesis of fluorinated heterocycles. J. Am. Chem. Soc. 2017, 139, 3537–3545. [Google Scholar] [CrossRef]
- Yang, X.; Liu, S.; Yu, S.; Kong, L.; Lan, Y.; Li, X. Redox-neutral access to isoquinolinones via Rhodium(III)-catalyzed annulations of O-pivaloyl oximes with ketenes. Org. Lett. 2018, 20, 2698–2701. [Google Scholar] [CrossRef]
- Fukui, Y.; Liu, P.; Liu, Q.; He, Z.T.; Wu, N.Y.; Tian, P.; Lin, G.Q. Tunable arylative cyclization of 1,6-enynes triggered by Rhodium(III)-catalyzed C–H activation. J. Am. Chem. Soc. 2014, 136, 15607–15614. [Google Scholar] [CrossRef] [PubMed]
- Zhou, X.; Pan, Y.; Li, X. Catalyst-controlled regiodivergent alkyne insertion in the context of C-H activation and Diels-Alder reactions: Synthesis of fused and bridged cycles. Angew. Chem. Int. Ed. 2017, 56, 8163–8167. [Google Scholar] [CrossRef]
- Cajaraville, A.; Suarez, J.; Lopez, S.; Varela, J.A.; Saa, C. Rh(III)-catalyzed [5+1] oxidative cycloaddition of arylguanidines with alkynes: A novel access to C4-disubstituted 1,4-dihydroquinazolin-2-amines. Chem. Commun. 2015, 51, 15157–15160. [Google Scholar] [CrossRef] [PubMed]
- Liu, Y.; Zhao, Z.; Lam, J.W.Y.; Zhao, Y.; Chen, Y.; Liu, Y.; Tang, B.Z. Cascade polyannulation of diyne and benzoylacetonitrile: A new strategy for synthesizing functional substituted poly(naphthopyran)s. Macromolecules 2015, 48, 4241–4249. [Google Scholar] [CrossRef]
- Basak, T.; Grudzień, K.; Barbasiewicz, M. Remarkable ability of the benzylidene ligand to control initiation of Hoveyda-Grubbs metathesis catalysts. Eur. J. Inorg. Chem. 2016, 2016, 3513–3523. [Google Scholar] [CrossRef]
- Casanova, N.; Seoane, A.; Mascarenas, J.L.; Gulias, M. Rhodium-catalyzed (5 + 1) annulations between 2-alkenylphenols and allenes: A practical entry to 2,2-disubstituted 2H-chromenes. Angew. Chem. Int. Ed. 2015, 54, 2374–2377. [Google Scholar] [CrossRef] [PubMed]
- Zhang, H.; Wang, K.; Wang, B.; Yi, H.; Hu, F.; Li, C.; Zhang, Y.; Wang, J. Rhodium(III)-catalyzed transannulation of cyclopropenes with N-phenoxyacetamides through C–H activation. Angew. Chem. Int. Ed. 2014, 53, 13234–13238. [Google Scholar] [CrossRef] [PubMed]
- Lu, H.; Fan, Z.; Xiong, C.; Zhang, A. Highly stereoselective assembly of polycyclic molecules from 1,6-enynes triggered byRhodium(III)-catalyzed C–H activation. Org. Lett. 2018, 20, 3065–3069. [Google Scholar] [CrossRef]
- Hu, P.; Zhang, Y.; Xu, Y.; Yang, S.; Liu, B.; Li, X. Construction of (dihydro)naphtha [1,8-bc] pyrans via Rh(III)-Catalyzed two-fold C–H activation of benzoylacetonitriles. Org. Lett. 2018, 20, 2160–2163. [Google Scholar] [CrossRef] [PubMed]
- Fliss, G.; Staab, A.; Tillmann, C.; Trommeshauser, D.; Schaefer, H.G.; Kloft, C. Population pharmacokinetic data analysis of cilobradine, an IF channel blocker. Pharm. Res. 2008, 25, 359–368. [Google Scholar] [CrossRef] [PubMed]
- Fleming, J.W.; McClendon, K.S.; Riche, D.M. New obesity agents: Lorcaserin and phentermine/topiramate. Ann. Pharmacother. 2013, 47, 1007–1016. [Google Scholar] [CrossRef]
- Yang, Y.; Zhou, M.B.; Ouyang, X.H.; Pi, R.; Song, R.J.; Li, J.H. Rhodium(III)-catalyzed [3 + 2]/[5 + 2] annulation of 4-aryl 1,2,3-triazoles with internal alkynes through dual C(sp2)-H functionalization. Angew. Chem. Int. Ed. 2015, 54, 6595–6599. [Google Scholar] [CrossRef]
- Pandey, A.K.; Han, S.H.; Mishra, N.K.; Kang, D.; Lee, S.H.; Chun, R.; Hong, S.; Park, J.S.; Kim, I.S. Synthesis of 2-benzazepines from benzylamines and MBH adducts under Rhodium(III) catalysis via C(sp2)–H functionalization. ACS Catal. 2017, 8, 742–746. [Google Scholar] [CrossRef]
- Peneau, A.; Tricart, Q.; Guillou, C.; Chabaud, L. Mild Rhodium(III)-catalyzed intramolecular annulation of benzamides with allylic alcohols to access azepinone derivatives. Chem. Commun. 2018, 54, 5891–5894. [Google Scholar] [CrossRef]
- Yusuke Hirasawa, H.M.; Jun’ichi, K. Nankakurine A, a novel C16N2-type alkaloid from lycopodium hamiltonii. Org. Lett. 2004, 6, 3389–3391. [Google Scholar] [CrossRef]
- Fusao Kido, T.A.; Michiharu, K. Spiroannulation by the [2,3] sigmatropic rearrangement via the cyclic allylsulfonium ylide. a stereoselective synthesis of (+)-Acorenone, B. J. Chem. Soc. Perkin Trans. 1992, 33, 229–233. [Google Scholar] [CrossRef]
- Taylor, R.D.; MacCoss, M.; Lawson, A.D. Rings in drugs. J. Med. Chem. 2014, 57, 5845–5859. [Google Scholar] [CrossRef] [PubMed]
- Tobat, P.I.; Saragi, T.S.; Achim, S.; Thomas, F.L.; Josef, S. Spiro compounds for organic optoelectronics. Chem. Rev. 2007, 107, 1011–1065. [Google Scholar]
- Baihua Ye, N.C. Chiral Cyclopentadienyl Ligands as Stereocontrolling element in asymmetric C–H functionalization. Science 2012, 338, 504–508. [Google Scholar]
- Ding, K.; Han, Z.; Wang, Z. Spiro skeletons: A class of privileged structure for chiral ligand design. Chemistry 2009, 4, 32–41. [Google Scholar] [CrossRef] [PubMed]
- Seoane, A.; Casanova, N.; Quinones, N.; Mascarenas, J.L.; Gulias, M. Rhodium(III)-catalyzed dearomatizing [3 + 2] annulation of 2-alkenylphenols and alkynes. J. Am. Chem. Soc. 2014, 136, 7607–7610. [Google Scholar] [CrossRef] [PubMed]
- Cui, S.; Zhang, Y.; Wu, Q. Rh(III)-catalyzed C–H activation/cycloaddition of benzamides and methylenecyclopropanes: Divergence in ring formation. Chem. Sci. 2013, 4, 3421–3426. [Google Scholar] [CrossRef]
- Wang, X.; Li, Y.; Knecht, T.; Daniliuc, C.G.; Houk, K.N.; Glorius, F. Unprecedented dearomatized spirocyclopropane in a sequential Rhodium(III)-catalyzed C–H activation and rearrangement reaction. Angew. Chem. Int. Ed. 2018, 57, 5520–5524. [Google Scholar] [CrossRef]
- Rios, R. Enantioselective methodologies for the synthesis of spiro compounds. Chem. Soc. Rev. 2012, 41, 1060–1074. [Google Scholar] [CrossRef]
- Ding, A.; Meazza, M.; Guo, H.; Yang, J.W.; Rios, R. New development in the enantioselective synthesis of spiro compounds. Chem. Soc. Rev. 2018, 47, 5946–5996. [Google Scholar] [CrossRef]
- Moyano, A.; Rios, R. Asymmetric organocatalytic cyclization and cycloaddition reactions. Chem. Rev. 2011, 111, 4703–4832. [Google Scholar] [CrossRef]
- Pape, A.R.; Kaliappan, K.P.; Ku¨ndig, E.P. Transition-metal-mediated dearomatization reactions. Chem. Rev. 2000, 100, 2917–2940. [Google Scholar]
- Zhuo, C.X.; Zheng, C.; You, S.L. Transition-metal-catalyzed asymmetric allylic dearomatization reactions. Acc. Chem. Res. 2014, 47, 2558–2573. [Google Scholar] [CrossRef] [PubMed]
- Kujawa, S.; Best, D.; Burns, D.J.; Lam, H.W. Synthesis of spirocyclic enones by Rhodium-catalyzed dearomatizing oxidative annulation of 2-alkenylphenols with alkynes and enynes. Chem. Eru. J. 2014, 20, 8599–8602. [Google Scholar] [CrossRef] [PubMed]
- Zheng, J.; Wang, S.B.; Zheng, C.; You, S.L. Asymmetric dearomatization of naphthols via a Rh-catalyzed C(sp2)-H functionalization/annulation reaction. J. Am. Chem. Soc. 2015, 137, 4880–4883. [Google Scholar] [CrossRef]
- Zheng, C.; Zheng, J.; You, S.L. A DFT study on Rh-catalyzed asymmetric dearomatization of 2-naphthols initiated with C–H activation: A refined reaction mechanism and origins of multiple selectivity. ACS Catal. 2015, 6, 262–271. [Google Scholar] [CrossRef]
- Ye, B.; Donets, P.A.; Cramer, N. Chiral Cp-Rhodium(III)-catalyzed asymmetric hydroarylations of 1,1-disubstituted alkenes. Angew. Chem. Int. Ed. 2014, 53, 507–511. [Google Scholar] [CrossRef] [PubMed]
- Ye, B.; Cramer, N. A tunable class of chiral Cp ligands for enantioselective Rhodium(III)-catalyzed C–H allylations of benzamides. J. Am. Chem. Soc. 2013, 135, 636–639. [Google Scholar] [CrossRef]
- Madhukar, S.C.; Vijay, S. Synthesis and antimicrobial activity of novel spirocompounds with pyrazolone and pyrazolthione moiety. J. Heterocycl. Chem. 2007, 44, 49–53. [Google Scholar]
- Zheng, J.; Li, P.; Gu, M.; Lin, A.; Yao, H. Synthesis of spiropentadiene pyrazolones by Rh(III)-catalyzed formal sp3 C–H activation/annulation. Org. Lett. 2017, 19, 2829–2832. [Google Scholar] [CrossRef]
- Zheng, J.; Wang, S.B.; Zheng, C.; You, S.L. Asymmetric synthesis of spiropyrazolones by Rhodium-catalyzed C(sp2)-H functionalization/annulation reactions. Angew. Chem. Int. Ed. 2017, 56, 4540–4544. [Google Scholar] [CrossRef] [PubMed]
- Burns, D.J.; Best, D.; Wieczysty, M.D.; Lam, H.W. All-carbon [3 + 3] oxidative annulations of 1,3-enynes by Rhodium(III)-catalyzed C–H functionalization and 1,4-migration. Angew. Chem. Int. Ed. 2015, 54, 9958–9962. [Google Scholar] [CrossRef] [PubMed]
- Reddy Chidipudi, S.; Burns, D.J.; Khan, I.; Lam, H.W. Enantioselective synthesis of spiroindenes by enol-directed Rhodium(III)-catalyzed C–H functionalization and spiroannulation. Angew. Chem. Int. Ed. 2015, 54, 13975–13979. [Google Scholar] [CrossRef] [PubMed]
- Zhou, M.B.; Pi, R.; Hu, M.; Yang, Y.; Song, R.J.; Xia, Y.; Li, J.H. Rhodium(III)-catalyzed [3+2] annulation of 5-aryl-2,3-dihydro-1H-pyrroles with internal alkynes through C(sp2)-H/alkene functionalization. Angew. Chem. Int. Ed. 2014, 53, 11338–11341. [Google Scholar] [CrossRef]
- Singh, S.K.; Reddy, P.G.; Rao, K.S.; Lohray, B.B.; Misra, P.; Rajjak, S.A.; Rao, Y.K.; Venkateswarlu, A. Polar substitutions in the benzenesulfonamide ring of celecoxib afford a potent 1,5-diarylpyrazole class of COX-2 inhibitors. Bioorgan. Med. Chem. Lett. 2004, 14, 499–504. [Google Scholar] [CrossRef] [PubMed]
- Dong, L.; Qu, C.H.; Huang, J.R.; Zhang, W.; Zhang, Q.R.; Deng, J.G. Rhodium-catalyzed spirocyclic sultam synthesis by [3+2] annulation with cyclic N-sulfonyl ketimines and alkynes. Chem. Eur. J. 2013, 19, 16537–16540. [Google Scholar] [CrossRef] [PubMed]
- Huang, J.R.; Song, Q.; Zhu, Y.Q.; Qin, L.; Qian, Z.Y.; Dong, L. Rhodium(III)-catalyzed three-component reaction of imines, alkynes, and aldehydes through C–H activation. Chem. Eur. J. 2014, 20, 16882–16886. [Google Scholar] [CrossRef]
- Liu, B.; Hu, P.; Zhang, Y.; Li, Y.; Bai, D.; Li, X. Rh(III)-catalyzed diastereodivergent spiroannulation of cyclic imines with activated alkenes. Org. Lett. 2017, 19, 5402–5405. [Google Scholar] [CrossRef]
- Mei, S.T.; Liang, H.W.; Teng, B.; Wang, N.J.; Shuai, L.; Yuan, Y.; Chen, Y.C.; Wei, Y. Spirocyclic sultam and heterobiaryl synthesis through Rh-catalyzed cross-dehydrogenative coupling of N-sulfonyl ketimines and thiophenes or furans. Org. Lett. 2016, 18, 1088–1091. [Google Scholar] [CrossRef]
- Franklin, A.; Davis, B.-C.C. Asymmetric hydroxylation of enolates with N-sulfonyloxaziridines. Chem. Rev. 1992, 92, 919–934. [Google Scholar]
- Kim, B.H.; Curran, D.P. Asymmetric thermal reactions with Oppolzer’s camphor sultam. Tetrahedron 1993, 49, 293–318. [Google Scholar]
- Pham, M.V.; Cramer, N. Enantioselective access to spirocyclic sultams by chiral Cp(x) -Rhodium(III)-catalyzed annulations. Chem. Eur. J. 2016, 22, 2270–2273. [Google Scholar] [CrossRef] [PubMed]
- Sharma, S.; Oh, Y.; Mishra, N.K.; De, U.; Jo, H.; Sachan, R.; Kim, H.S.; Jung, Y.H.; Kim, I.S. Rhodium-catalyzed [3 + 2] Annulation of cyclic n-acyl ketimines with activated olefins: Anticancer activity of spiroisoindolinones. J. Org. Chem. 2017, 82, 3359–3367. [Google Scholar] [CrossRef] [PubMed]
- Li, D.Y.; Jiang, L.L.; Chen, S.; Huang, Z.L.; Dang, L.; Wu, X.Y.; Liu, P.N. Cascade reaction of alkynols and 7-oxabenzonorbornadienes involving transient hemiketal group directed C-H activation and synergistic Rh(III)/Sc(III) catalysis. Org. Lett. 2016, 18, 5134–5137. [Google Scholar] [CrossRef] [PubMed]
- Zhu, C.; Luan, J.; Fang, J.; Zhao, X.; Wu, X.; Li, Y.; Luo, Y. A Rhodium-catalyzed [3 + 2] annulation of general aromatic aldimines/ketimines and N-Substituted maleimides. Org. Lett. 2018, 20, 5960–5963. [Google Scholar] [CrossRef] [PubMed]
© 2019 by the authors. Licensee MDPI, Basel, Switzerland. This article is an open access article distributed under the terms and conditions of the Creative Commons Attribution (CC BY) license (http://creativecommons.org/licenses/by/4.0/).

















































