Next Article in Journal
Reducible Inverse CeOx-Based Catalyst as a Potential Candidate for Electroreduction
Previous Article in Journal
Recent Development of Photocatalysts Containing Carbon Species: A Review
 
 
Due to scheduled maintenance work on our servers, there may be short service disruptions on this website between 11:00 and 12:00 CEST on March 28th.
Font Type:
Arial Georgia Verdana
Font Size:
Aa Aa Aa
Line Spacing:
Column Width:
Background:
Article

Ammonium-Salt Formation and Catalyst Deactivation in the SCR System for a Marine Diesel Engine

College of Power and Energy Engineering, Harbin Engineering University, Harbin 150001, China
*
Author to whom correspondence should be addressed.
Catalysts 2019, 9(1), 21; https://doi.org/10.3390/catal9010021
Submission received: 2 December 2018 / Revised: 19 December 2018 / Accepted: 21 December 2018 / Published: 28 December 2018

Abstract

:
Due to the low temperature and complex composition of the exhaust gas of the marine diesel engine, the working requirements of the selective catalytic reduction (SCR) catalyst cannot be met directly. Moreover, ammonium sulfate, ammonium nitrate, and other ammonium deposits are formed at low temperatures, which block the surface or the pore channels of the SCR catalyst, thereby resulting in its reduction or even its loss of activity. Considering the difficulty of the marine diesel engine bench test and the limitation of the catalyst sample test, a one-dimensional simulation model of the SCR system was built in this paper. In addition, the deactivation reaction process of the ammonium salt in the SCR system and its influencing factors were studied. Based on the gas phase and the surface reaction kinetics, the models of the urea decomposition, the surface denitrification, the nitrate deactivation, and the sulfate deactivation were both constructed and verified in terms of accuracy. Moreover, the formation/decomposition reaction pathway and the catalytic deactivation of ammonium nitrate and ammonium bisulfate, as well as the composition concentration and the exhaust gas temperature range were correspondingly clarified. The results showed that within a certain range, the increase of the NO2/NOx ratio was conducive to the fast SCR reaction and the NH4NO3 formation’s reaction. Increasing the exhaust gas temperature also raised the NO2/NOx ratio, which was beneficial to both the fast SCR reaction and the NH4NO3 decomposition reaction, respectively. Furthermore, the influence of the SO2 concentration on the denitrification efficiency decreased with the increase of the exhaust gas temperature because of increasing SCR reaction rate and reversibility of ammonia sulfate formation, and when the temperature of the exhaust gas was higher than 350 °C, the activity of the catalyst was almost unaffected by ammonia sulfate.

1. Introduction

Since marine diesel engines use low-quality fuel, their exhaust gases contain a lot of nitrogen oxides (NOx), sulfur oxide (SOx), particulate matter (PM), and other pollutants [1,2], which cause serious problems to both the marine environment and the atmosphere, respectively. In order to reduce the pollution of ship exhaust emissions in the atmosphere, the International Maritime Organization (IMO), the European Union, and the United States of America have formulated strict regulations [3], which concern the relevant ports and routes of Europe and North America. China also plans to extend the existing Emission Control Area to all sea areas within 12 nautical miles of the coasts and ports [4] that will surely have an impact on the related sea routes.
Currently, selective catalytic reduction (SCR) is the only technology recognized by the International Maritime Organization (IMO) that is used to reduce NOx emissions in all kinds of marine engines [5], which theoretically meets the IMO Tier III regulation and the other stricter emission standards.
The low temperature and complex composition of the exhaust gas of the marine diesel engine do not allow the meeting with the working requirements of the SCR system directly, which later strongly limits the denitration efficiency. The SCR system of the two-stroke low-speed diesel engine must use different host modulation technologies to heat up the exhaust gas and obtain a higher denitration efficiency. Nevertheless, due to the different emission regulations in different sea areas, the SCR system adopts a discontinuous operation mode. Under this mode, the cold wall surface and the upwind surface of the catalyst will easily be blocked, resulting in more consumption and in waste of the reducing agent.
A SCR reaction is a kind of gas-solid multiphase reaction, which occurs on the surface of the catalyst and mainly includes the standard SCR reaction, the fast SCR reaction, the slow SCR reaction, and the side reaction, respectively [6,7]. Due to the oxygen-enriched combustion of the diesel engines, the exhaust gas contains a large amount of NO. Therefore, the denitration efficiency of the SCR system is concluded to be mainly limited by the standard SCR reaction and the fast SCR reaction. At low-temperature conditions, SOx and NOx (which are acidic gases) easily react with NH3 to form sulfate nitrates. Under the same conditions, ammonium sulfate and ammonium nitrate can be generated when there is a large number of SOx and H2O in the exhaust gas that blocks the surface and the pore channel of the catalyst [8,9], thereby reducing its activity. These ammonium salts mainly include ammonium sulfate ((NH4)2SO4), ammonium bisulfate (NH4HSO4), ammonium sulfite ((NH4)2SO3), ammonium bisulfite (NH4HSO3), ammonium nitrate (NH4NO3), etc., which are relatively unstable and easy to decompose at high temperatures. In other words, after the formation of those ammonium salts, the activity of the catalyst can be recovered by high-temperature treatment. Therefore, the ammonium salt reactions can be termed as the catalytic deactivation of ammonium salt. Mathias Magnusson [8] believes that the formation of ammonium sulfate in the marine vanadium oxide catalysts can be relieved or avoided when the temperature is high enough (over 300 °C) and also while the space velocity (below 12,200 h−1) and the SOx concentration are low enough. Currently, there are few studies on the catalysts under the conditions of marine diesel engine exhaust gas [6,7,9,10,11]. Nevertheless, studies on the sulfur poisoning of the catalyst samples have been carried out under laboratory conditions [12,13,14,15,16,17,18]. Sulfur poisoning of the SCR system can be divided into two types: first, SOx is in the gas phase and can react with the heavy metals on the catalyst surface generating stable substances [13,14]. Secondly, both SOx and NH3 are presented in the exhaust gas, which can cause the formation of ammonium salt [15,16,17,18]. The difference between them is that the former is irreversible (catalyst inactivation) and the latter is reversible (activity inactivation).
The dew point of ammonium bisulfate salt is between 280~320 °C and the formation of this salt inside the SCR system limit the catalyst minimum operating temperature [15]. When the temperature is below the dew point, ammonia gas and sulfuric acid steam condense into ammonium bisulfate, which block the surface structure of the catalyst [16,17]. Though the process is reversible, ammonium bisulfate will evaporate when the temperature is raised above the dew point along with the catalyst activity being restored. Nonetheless, the catalyst operating temperature will be lower than the dew point for a long time leading its activity to change permanently—causing the catalyst to deactivate [17]. At the same time, V2O5 in the catalyst will promote the oxidation of the SO2 in the exhaust gas to SO3, which will intensify the formation of ammonium sulfate salt [18].
Different from ammonium sulfate, the role of ammonium nitrate is mainly reflected in two points: first, the reaction of NH4NO2, the intermediate product of the fast SCR reaction pathway, is inhibited [19,20,21,22]; second, the surface structure of the catalyst is blocked. Despite this, nitrate is easier to decompose as compared to sulfate—it can decompose at only 170 °C [22].
Since the marine diesel engines burn sulfur-containing fuels (sulfur content more than 3.5% m/m), the temperature of the exhaust gas remains low (below 200 °C) and the SOx concentration of the exhaust gas goes higher (more than 700 ppm) [1,2]. In addition, the SCR system working temperature will certainly be in the range of the ammonium hydrochloric acid’s dew point. Therefore, the influence of sulfate and nitrate on the denitration efficiency must be considered when the engine matches the SCR system. However, the marine diesel engine has high power (MW grade) and large fuel consumption, which makes it difficult to carry out a larger number of reliability endurance tests. Hence, it is necessary to build a simulation model of the marine diesel engine SCR system to study the influence of the ammonium salt passivation reaction on the SCR system.

2. Results and Discussions

2.1. The Simulation Analysis of the Catalyst Activity

According to the working characteristics of the low-speed diesel engine SCR system, the exhaust gas temperature range was from 150 to 500 °C and the speed velocity was 10,000 h−1. And the main parameters of the catalyst used in the SCR system are shown in the Table 1. In addition, the concentration of NO, NO2, NH3, O2, and H2O were 900 ppm, 100 ppm, 1000 ppm, 15%, and 3%, respectively. Based on the SCR system model, this section simulated the change of the denitration efficiency of vanadium-based catalysts at different temperatures. The simulation results are shown in Figure 1.
As shown in Figure 1, at steady state conditions, the denitrification efficiency tends to increase and then decrease slightly with the increase of the exhaust gas temperature, while the ammonia slip rate declines. At 350 °C, the denitration efficiency reaches the maximum value 95%, while the ammonia slip rate is 44 ppm. Conversely, the denitration efficiency is only 8.4% and the ammonia slip rate is 875 ppm at an exhaust gas temperature of 150 °C. Moreover, the overall ammonia slip rate simulation value is high because the constructed SCR system model ignores part of the NH3 oxidation pathway and the minimum ammonia slip rate is 26 ppm at 500 °C. According to the IMO Tier I and Tier III emission standards, the NOx-weighted emission level of the marine low-speed diesel engines is reduced by 80%. Therefore, the activation temperature of the vanadium-based catalyst may be selected from 300 to 500 °C.
NOx, SO2 and NH3 in the exhaust gas will form deposits such as ammonium nitrate, ammonium sulfate, and ammonium bisulfate under the action of the catalyst, which will block the catalyst pores, cover the active centers of its surface, and lower its activity. In addition, the thermal decomposition temperatures of ammonium sulfate and ammonium bisulfate are in the range of 213 to 308 °C and 308 to 419 °C, respectively, which also cover the low-speed diesel engine exhaust gas temperatures range. However, it is still difficult to decompose the sulfate on the catalyst surface at a lower temperature. Therefore, increasing the operating temperature of the SCR system is the main method to avoid sulfate formation.

2.2. Analysis of the Factors Affecting the Passivation of Ammonium Nitrate

The influence of the reaction temperature and the NO2/NOx ratio on the NH4NO3 production and denitration efficiency were simulated in this section. According to the constructed chemical reaction model, NH4NO3 is easily formed at low temperatures. In addition, NO2 is the main reactant of NH4NO3 formation reaction and plays a great role in its formation. Therefore, considering the characteristics of NH4NO3 formation reaction, a speed velocity of 10,000 h−1 and a temperature range from 150 to 350 °C for the exhaust gas were adopted during the simulation. Moreover, the concentration of NH3, O2, H2O, and NOx were 1000 ppm, 15%, 3%, and 1000 ppm, respectively. Furthermore, the NO2/NOx ratio was 0, 0.05, 0.10, 0.15, 0.20, and 0.25, respectively and N2 was the equilibrium gas. The simulation results are shown in Figure 2 and Figure 3, respectively.
From Figure 2, as the reaction temperature increases, the amount of the formed NH4NO3 rapidly decreases and after 250 °C, substantially no formation of NH4NO3 is observed. This is because NH4NO3 is easily decomposed at higher temperatures and its decomposition reaction is strongly dependent on the reaction temperature. In addition, the amount of NH4NO3 increases with the increase of the NO2/NOx ratio and it has a linear relationship. When the reaction temperature is higher than 250 °C, the amount of NH4NO3 is less than 1 ppm. Conversely, at 150 °C and 0.25 NO2/NOx ratio, the amount of NH4NO3 reaches a maximum value of 47 ppm.
The generated NH4NO3 can clog the catalyst’s pores and surface, and it can also decompose into N2O, which reduce the denitrification efficiency to a certain extent. As shown in Figure 3, N2O concentration is increased and then decreases with the increase of reaction temperature, but the rise of NO2/NOx ratio is conducive to the formation of N2O. Conversely, at 200 °C and 0.25 NO2/NOx ratio, the amount of N2O reaches a maximum value of 15 ppm.
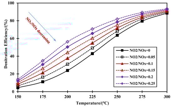
As shown in Figure 4, the denitration efficiency increases with an increase in the NO2/NOx ratio and in the temperature ranging between 175 °C and 250 °C—the former has the greatest influence on the denitration efficiency. Although increasing the NO2/NOx ratio can promote the progress of the denitration reaction, it is also necessary to consider the formation of a small amount of NH4NO3 and N2O at the low-temperature range.

2.3. Analysis of the Ammonium Nitrate Passivation Reaction Process

In order to analyze the ammonium nitrate passivation reaction process in detail, the simulation time was set at 7000 s. Only NH3 was introduced at the beginning and stopped at t = 5000 s, while NOx was introduced at t = 1000 s. According to the above section, the formation of NH4NO3 reaches its maximum value at 150 °C and 0.25 NO2/NOx ratio. Hence, a speed velocity of 10,000 h1 and a NO2/NOx ratio of 0.25 were used during the simulation. In addition, the concentration of NH3, O2, H2O, and NOx were 1000 ppm, 15%, 3%, and 1000 ppm, respectively. Moreover, N2 was used as the equilibrium gas. The simulation results are shown in Figure 5.
Figure 5 shows the relationship between the concentration of each component at the outlet of the SCR system and the time at T = 150 °C and NO2/NOx ratio = 0.25. Since ammonia gas was introduced at the beginning, only the adsorption and desorption reaction of ammonia gas occurred in the reactor. After the introduction of NO2 at t = 1000 s, the concentration of each component began changing and when the reaction was stable, the concentration of NH4NO3 and HNO3 reached 46 ppm. Furthermore, no formation of N2O was seen.
In order to further analyze the NH4NO3 formation process, five data points (25 mm, 375 mm, 725 mm, 1075 mm, and 1425 mm, respectively) before the reactor inlet were chosen in order to obtain the variation of NH4NO3 formation and decomposition reaction rate of each point with the charge of time. Simulation results are shown in Figure 6 and Figure 7, respectively.
It can be seen from Figure 6 and Figure 7 that the formation and decomposition reaction of NH4NO3 starts after the introduction of NOx in the SCR reactor (at t = 1000 s). After the NH3 is stopped at t = 5000 s, the reaction continues to occur because there is still a small amount of adsorbed NH3 on the catalyst. As time passes, the NH3, which is adsorbed on the catalyst gradually decreases and the reaction stops. In addition, farther away from the reactor inlet, the NH4NO3 formation and decomposition reactions stop. This is because after the NH3 stops flowing into the reactor (t = 5000 s), the adsorbed NH3 near the inlet is gradually consumed and the NOx concentration in the reactor increases. Moreover, by moving away from the reactor inlet, the NH4NO3 formation and decomposition reaction rate is increased and the adsorbed NH3 is consumed rapidly. However, the reaction stops after completion.
Figure 8 shows the relationship between the amounts of NH4NO3 produced before the reactor inlet and the distance (at 150 °C and 0.25 NO2/NOx ratio). It can be seen from Figure 8 that by moving away from the reactor inlet, the amount of NH4NO3 is increased after reaching a maximum value of 49 ppm at 1025 mm and then decreases slightly. In addition, the amount of NH4NO3 produced at the outlet of the SCR reactor is 47 ppm.
Figure 9 shows the relationship between the NH4NO3 formation and decomposition reaction rate before the reactor inlet and the distance. It can be seen from Figure 9 that the NH4NO3 formation and decomposition reaction rate is decreased by moving away from the reactor inlet. In addition, the NH4NO3 formation reaction rate is higher than the decomposition reaction rate at distance of 1025 mm before the SCR reactor inlet and the amount of NH4NO3 is continuously generated.
Moreover, after 1025 mm, the rate of decomposition reaction becomes greater than the rate of the formation reaction and the amount of NH4NO3 is slightly decreased.

2.4. Analysis of the Factors Affecting the Sulfate Passivation

According to the model of the sulfate passivation reaction, the sulfate was mainly formed by the reaction of SO3, H2O, and the adsorbed NH3. In addition, SO3 was formed by the oxidation of SO2. Therefore, this section studies the effect of SO2, O2, and H2O concentrations on the sulfate formation. The exhaust gas components concentrations that were used during the simulation are shown in Table 2.
In addition, the exhaust speed velocity was 10,000 h−1 and the exhaust gas temperature increased from 50 to 500 °C at a rate of 10 °C/min. The simulation results are shown in Figure 10, Figure 11, Figure 12 and Figure 13, respectively.
Figure 10 shows the relationship between the denitration efficiency and the SO2 concentration at different temperatures. It can be seen from Figure 10 that the denitration efficiency decreases with the increase of the SO2 concentration. Moreover, at 250 °C, a significant decline in the SCR denitration efficiency of 38% is observed as the SO2 concentration changes from 100 to 1000 ppm. However, the difference between the SCR denitration efficiencies decrease as the temperature increases, irrespective of the SO2 concentrations—both at the starting temperatures and the final temperatures. Likewise, when the temperature reaches 325 °C, the denitration efficiency is only 6% under the conditions of 100 ppm and 1000 ppm of SO2 concentration.
Since part of the SO2 entering the SCR catalyst channel is adsorbed on the catalyst surface or reacted with the adsorbed NH3 to form sulfate, the sulfur content of the exhaust gases at the inlet and the outlet of the reactor is not balanced. Therefore, the equilibrium concentration of sulfur in the passivation reaction is the total amount of the sulfur at the inlet minus the total amount of the sulfur at the outlet, as shown below:
C S-bal = C SO 2 in C SO 2 out C SO 3 out
According to the sulfur equilibrium concentration formula, the sulfur equilibrium concentration represents the total amount of residual sulfur in the SCR reactor, which equals the total amount of the adsorbed SO2 and the sulfate produced.
Figure 11 shows the relationship between the sulfur equilibrium concentration and the temperature at different SO2 concentrations. It can be seen from Figure 11 that the larger the SO2 concentration at the inlet of the reactor, the more the change in the sulfur equilibrium concentration. In addition, before 270 °C, the sulfur equilibrium concentration is positive and rises with the increase of the temperature, which can be seen at the different SO2 concentrations. Moreover, the peaks appear around 250 °C and their values increase with the increase of the SO2 concentration. Furthermore, when the temperature is between 270 and 350 °C, the sulfur equilibrium concentration is negative and the peak-peak is at around 290 °C with its value decreasing by an increase of the SO2 concentration. However, when the temperature reaches 350 °C, the sulfur equilibrium concentration is reduced to about zero, which means that the sulfur element is balanced at the inlet and the outlet of the reactor.
Therefore, at exhaust gas temperature lower than 270 °C, there is sulfate formation in the reactor and a small amount of the adsorbed SO2 exists. When the exhaust gas temperature is lower than 350 °C, the deposited sulfate in the reactor is decomposed to generate SO2 and the sulfur is exported. Thus, the total amount of elements is greater than the total amount of sulfur in the inlet and the equilibrium concentration of sulfur is negative. Furthermore, when the temperature of the exhaust gas is greater than 350 °C, no more sulfate is formed but a small amount of the adsorbed SO2 is still present and the equilibrium concentration of sulfur is slightly greater than zero.
Figure 12 shows the relationship between the equilibrium concentration of sulfur and the temperature at different O2 concentrations. From Figure 12, the equilibrium concentration of sulfur increases with an increase in the concentration of O2. In addition, the maximum and minimum values appear at 15% O2 and these values are 62 ppm and −154 ppm, respectively.
Figure 13 shows the relationship between the equilibrium concentration of sulfur and the temperature at different H2O concentrations. It can be seen from Figure 13 that the peak value of the sulfur equilibrium concentration is 65 ppm and 59 ppm at 10% and 1% of the H2O concentrations, respectively, that differs by 6 ppm. This indicates that the change in H2O concentration has less effect on the equilibrium concentration of sulfur. Thus, the change in H2O concentration has minimal impact on the formation of sulfate.

2.5. Analysis of the Passivation Reaction Process of Ammonium Sulfate

This section analyzes the passivation reaction process of ammonium sulfate. During the simulation, the concentration of NH3, NO, O2, H2O, and SO2 were 1000 ppm, 1000 ppm, 15%, 3%, and 500 ppm, respectively. In addition, an exhaust speed velocity of 10,000 h1 and exhaust gas temperature range from 150 to 500 °C were used. Moreover, the nitrogen (N2) was used as the balance gas. Among them, from t = 0 to t = 2 h, the SO2 reaction in the exhaust gas did not reach equilibrium and during the time from t = 2 to t = 30 h, SO2 was introduced. The simulation results are shown in Figure 14 and Figure 15, respectively.
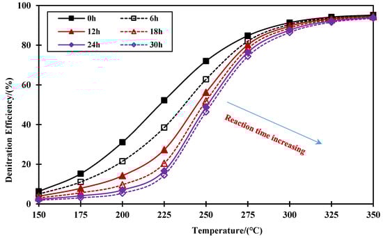
Figure 14 shows the relationship between the denitration efficiency and the temperature at different reaction times. As shown in Figure 14, after 30 hours of operation, the denitration efficiency at each temperature is reduced. In addition, a maximum decline in the denitration efficiency occurs at 225 °C, as the reaction times change from 0 to 30 hours, and decrease gradually with the increase of the temperature. Moreover, for exhaust gas temperatures higher than 300 °C, the effect of the SO2 concentration on the denitration efficiency is small and the denitration efficiency is above 85%. This indicates that the catalyst has a stronger sulfur resistance when the exhaust gas temperature is higher than 325 °C.
Figure 15 shows the variation of denitration efficiency with time at sulfur-containing exhaust gas conditions. From Figure 15, after the introduction of SO2 into the reactor, the denitration efficiency decreases with time when the exhaust gas temperature is lower than 300 °C. Contrariwise, when the exhaust gas temperature is higher than 350 °C, the denitration efficiency does not change substantially. Furthermore, when the exhaust gas temperature is 200 °C and 250 °C, the introduction of SO2 greatly influences the catalyst activity and the denitration efficiency, which decreases by 26% and 25%, respectively, after t = 30 h. This indicates that the catalyst sulfate passivation is more serious at lower exhaust gas temperatures and SO2 has a little impact on the catalyst activity when the exhaust gas temperature is higher than 300 °C.

3. Classification of the Marine Selective Catalytic Reduction (SCR) System

Compared with vehicle diesel engines, the marine diesel engine’s SCR system is divided into a high-pressure SCR system (HP-SCR) located in front of the turbine and a low-pressure SCR system (LP-SCR) placed at the back [3], which are shown in the Figure 16. Since the exhaust gas in the exhaust pipe drives the turbine to work, the temperature of the exhaust gas before and after the turbine differs by 50~175 °C—so the high-pressure SCR system in front of the turbine can make full use of the higher exhaust gas temperature and also improve its activity. At the same time, the high-pressure SCR system has a high working pressure, and its absolute pressure is several times higher than the low-pressure SCR system, which is equivalent to reducing the volume flow rate or linear velocity of the treated exhaust gases and increasing the SCR reaction time. Therefore, under the same design requirements, the high-pressure SCR system has a more compact structure and higher efficiency making it more suitable for the high-power low-speed diesel engines.
Similar to vehicle SCR systems, honeycomb or plate V2O5/TiO2 type catalysts are often used in marine SCR systems. These kinds of catalysts have a porous structure with extremely large internal surface area and a large number of active centers on the surface, which are necessary for catalytic reactions [23]. When the diesel engine is working normally, urea solution is sprayed upstream of the SCR reactor or the catalyst and because of the high temperature of the exhaust gas, urea solution can be both vaporized and atomized. Moreover, urea pyrolysis reaction and isocyanic acid hydrolysis reaction will result in the formation of NH3 and CO2.
Urea pyrolysis reaction:
CO (NH2)2(l)→HNCO(g) + NH3(g)
Hydrolytic reaction of isocyanic acid:
HNCO(g) + H2O(g)→NH3(g) + CO2(g)
The reducing agent NH3 will then mix with NO and NO2 in the exhaust gas causing the following reactions to occur in the catalyst [6,7,8].
Standard SCR reaction:
4NH3(g) + 4NO(g) + O2(g)→4N2(g) + 6H2O(g)
Fast SCR reaction:
4NH3(g) + 2NO(g) + 2NO2(g)→4N2(g) + 6H2O(g)
Slow SCR reaction:
8NH3(g) + 6NO2(g)→7N2(g) + 12H2O(g)
As the exhaust gas temperature of the marine diesel engine is low and contains a lot of SOx, the catalyst will have some side reactions that will mainly include the formation reaction of ammonium salts such as sulfate and nitrate, respectively [12,13,14,15,16,17,18].
2NH3(g) + 2NO2(g)→N2(g) + NH4NO3(s) + H2O(g)
SO3(g) + H2O(g) + NH3(g)→NH4HSO4(s)
According to the chemical formulas, the product of ammonium salt will consume a certain amount of reducing agent resulting in a waste of the reducing agent. In addition, hygroscopicity of the ammonium salt can cause corrosion of the exhaust pipe. Furthermore, the deposition on the surface and the pore channels of the catalyst will further reduce its activity. However, these reactions are reversible under certain conditions.

4. Marine SCR System Simulation Model

The high-pressure SCR system of a low-speed marine diesel engine was adopted as the research object in this paper and a one-dimensional steady-state simulation model of this system was constructed using the GT-power software, as shown in Figure 17. When the diesel engine works in a stable manner, the pressure in the intake and the exhaust pipes is small, which is considered a constant. In addition, to calculate the steady state of the exhaust system, the volumetric method can be used under the following assumptions [24]:
  • Ignoring the propagation, reflection, and superposition of the pressure waves along the exhaust gas pipe.
  • Simplifying the unsteady flow in the exhaust gas pipe to a quasi-stable flow, which can be justified by the fact that for a sufficiently small step length, the state parameters of the intake pipe will change only with time.
The volume of the exhaust system consists the volume of the exhaust pipe, the mixer pipe, and the SCR reactor, respectively. The exhaust gas enters the exhaust pipe and flows through the mixer to the SCR reactor. Since the process of urea spray atomization and denitrification is involved in the SCR system, the quality and composition of the flow changes, and the source term has to be introduced into both its mass and energy equations. Meanwhile, the radial diffusion of components was ignored in the SCR reactor and the catalyst was assumed to be a porous medium. In addition, the mass and momentum conservation equation, the gas and solid energy conservation equation, and the component transport equation were constructed [24].
The reversible and irreversible reactions in the SCR system can be divided into two types: the gas-phase reaction and the surface reaction. During the calculation, the forward reaction rate constant is solved according to the Arrhenius law, which is determined by the pre-exponential factor, the temperature coefficient, and the activation energy. For reversible reactions, the reverse reaction rate is determined by the forward reaction rate constant and the chemical equilibrium constant [24]. Regarding surface reactions, it is assumed that the reactants are adsorbed on the surface of the solid catalyst and then formed on an activated intermediate compound with another reactant in the gas phase to obtain the final product. Since the surface reaction is a chemical reaction control step, the overall reaction rate is proportional to the coverage of the adsorbent material on the surface of the catalyst and the partial pressure of the gas phase.
Under the condition of the marine diesel engine exhaust gas, the formation reaction of ammonium salts such as nitrate and sulfate are inevitable in the SCR reaction process. They are deposited on both the surface and the pore channels of the catalyst, which reduces its activity. This is the reason why those reactions are be classified as the ammonium salt passivation reactions. In the SCR denitration reaction model, the nitrate and the sulfate passivation reaction models were embedded in this paper to simulate the formation process and the influence factors of the sulfate and the nitrate.

4.1. Urea Decomposition and Denitrification Reaction Model

The process of urea decomposition mainly includes water evaporation, urea decomposition by heat, isocyanic acid hydrolysis, and other polymerization reactions. When the exhaust gas temperature is low (less than 190 °C), the urea droplets that are stuck to the inner wall of the tube wall polymerize the biuret, the cyanuric acid, and the other polymers as well [25]. These polymers accumulate to form other sediments, and even block the nozzles and the channels of the catalyst.
Since the marine diesel engine exhaust gas temperature is required to be higher than 170 °C (acid dew point), the side reactions such as the polymerization in the urea decomposition process can be ignored. Therefore, the process of urea decomposition is simplified to the urea pyrolysis reaction and the HNCO hydrolysis reaction. In addition, the final products are NH3 and CO2 and the reaction pathway can be simplified to a 2-step gas reaction [26,27], as shown in Table 3.
The NH3 adsorption/desorption reactions were introduced into the denitration reaction model and the NH3 surface coverage was used to characterize the number of NH3 overlying the active center of the catalyst. Meanwhile, the denitration reactions such as the standard SCR reaction, the fast SCR reaction, the slow SCR reaction, and the oxidation reaction of the NH3 were all carried out based on the adsorbed NH3 rather than the gas phase NH3—so the reaction pathway can be simplified to a 6-step surface reaction [26,27], as shown in Table 4.

4.2. Nitrate Passivation Reaction Model

Considering the SCR reaction occurs primarily between NH3 and NOx and that the diesel exhaust contains a large amount of moisture, the formation of deposits such as ammonium nitrate is one of the unavoidable side reactions. Deposits such as nitrate block the surface or the pores of the catalyst, preventing the adsorption of the gas phase ammonia. Therefore, the nitrate passivation reaction is assumed to occur between the gas phase NO2 and the adsorbed NH3 to form the surface phase (solid) nitrate. Taking into consideration that the decomposition products of nitrate at high temperature are HNO3 and N2O, the nitrate passivation reaction pathway can be simplified into four surface reactions [19,20,21,22], as presented in Table 5.

4.3. Sulfate Passivation Reaction Model

In this paper, it was assumed that SO2 reacts directly with metal ions on the active center, causing it to lose activity. In addition, ammonium sulfate is formed by the reaction of SO3 with ammonia gas and decomposed to form ammonium bisulfate, etc.—finally it is decomposed into SO2 and ammonia. Both reaction processes consume the active site of the catalyst, in turn reducing its activity.
Based on this, nitrate passivation reaction occurs between the gas phase SO3 and the adsorbed NH3 to form a surface phase (solid) sulfate, which is a reversible reaction. Simultaneously, the poisoning reaction of sulfate is assumed to occur between the gas phase SO2 and the active material, which is an irreversible reaction. Thus, nitrate passivation reaction can be simplified to a 6-step chemical reaction [12,13,14,15,16,17,18], as shown in Table 6.

5. Simulation Model Verification

The SCR reaction model constructed in this paper consists of the NH3 adsorption/desorption reaction, the SCR denitrification reaction, the nitrate formation/decomposition reaction, and the sulfate formation/decomposition reaction. In order to verify the accuracy of the construction model, the four reaction processes were simulated separately and were compared with the relevant experimental data.

5.1. Confirmation of the Adsorption/Desorption Reaction Pathway

Referring to the adsorption/desorption reaction of vanadium-based catalysts by Luca Lietti et al. [28,29], this section carried out the simulation verification of the NH3 adsorption/desorption reaction process. Amongst them, the test time was set at 3000 s and the inlet NH3 concentration was 700 ppm. In addition, N2 was the equilibrium gas and the initial exhaust gas temperature was 220 °C. After t = 750 s the supply of NH3 was stopped and after t = 1500 s the temperature raised to 595 °C at 0.25 °C/s. Test and simulation results are shown in Figure 18.
As shown in Figure 18, the simulation and experimental values for the NH3 adsorption/desorption reaction are basically the same. In addition, the NH3 adsorption process occurs during the period from t = 0–500 s while the temperature-programmed desorption process during the period from t = 150–2500 s, respectively. The NH3 adsorption/desorption reaction is mainly affected by factors such as the reaction temperature, the surface property of the catalyst, and the internal surface area of the catalyst. Therefore, the physical property of the catalyst surface is defined as the same in the simulation model, which means that the effect of surface property (internal and external diffusion characteristics) on the adsorption/desorption process is ignored. Hence, the simulated values of the NH3 adsorption rate and desorption rate are faster than the experimental values during the NH3 adsorption phase and the temperature-programmed desorption phase. Moreover, the actual peak maximum error is within 10%.

5.2. SCR Denitration Reaction Pathway Validation

This section explores the simulation verification of the SCR denitration reaction process, which was carried out by taking into consideration the denitration reaction test of the vanadium-based catalysts by Luca Lietti et al. [28,29]. Among them, the test time was set at 3000 s and the NH3 concentration was 1000 ppm at the reactor inlet. In addition, NO and O2 concentration were 700 ppm and 1%, respectively. Moreover, Helium (He) was the equilibrium gas, the initial exhaust gas temperature was 220 °C, and the supply of NH3 was stopped after t = 1000 s. The test and the simulation results are shown in Figure 19.
As shown in Figure 19, the simulation values of NH3 and NO outlet concentration are consistent with the variation trend of their test values and both values are in good agreement after the reaction is stabilized. However, there is a certain error when the reaction is not stable (from 300 to 800 s and from 1400 to 2400 s). Since the NH3 adsorption/desorption reaction and the denitration reaction occur simultaneously during the SCR reaction process, the NH3 adsorption reaction tends to be stable (from 300 to 800 s) after the SCR denitration reaction reaches quasi-equilibrium. In addition, during the period from 1400 until 2400 s the NH3 desorption reaction tends to be stable before the SCR denitration reaction reaches quasi-equilibrium. Because the simulation model ignored the effect of the catalyst’s surface physical properties (internal and external diffusion characteristics) on the adsorption/desorption process, the influence of the NH3 adsorption rate and the desorption rate of the simulation values were faster than the test values. Moreover, the simulation values of NH3 outlet concentration were higher than the experimental values during the period from 300 until 800 s. Furthermore, the NO outlet concentration simulation values were higher than the experimental values during the period from 1400 until 2400 s. However, the simulation values agreed well with the test values after the two reactions reached quasi-equilibrium.

5.3. Verification of the Passivation Reaction Pathway of Ammonium Nitrate

Based on the denitration reaction of the vanadium-based catalysts and the reaction of ammonium nitrate formation by Cristian Ciardelli et al. [22], the simulation verification of the ammonium nitrate formation/decomposition reaction process was carried out in this section. The test time was 6000 s and the reaction temperature was 175 °C. In addition, the equilibrium gas was N2 and the concentrations of NH3, NO, NO2, O2, and H2O were 1000 ppm, 750 ppm, 250 ppm, 2%, and 1%, respectively. Moreover, NH3 was introduced into the exhaust gas in the beginning and stopped at t = 6500 s while NOx was introduced at t = 3000 s. The test and simulation results are shown in Figure 20.
As shown in Figure 20, the simulated values for the outlet concentrations of NH3, NO2 and N2O are consistent with the experimental values during the SCR denitration reaction process. Since the simulation model ignored the effect of the catalyst surface physical property (internal and external diffusion characteristics) on the adsorption/desorption process, the simulation values of NH3’s adsorption and desorption rates were faster than the experimental values, leading to higher simulation values for the outlet concentrations of NO2 and N2O before and after the reaction stability. However, the simulated values agreed well with the experimental values after the reaction reached quasi-equilibrium.

5.4. Verification of Sulfate Passivation Reaction Pathway

In this section, the simulation verification of the sulfate formation/decomposition reaction process was carried out depending on the SO2 oxidation reaction test and the sulfur poisoning test of Tengfei Xu et al. [18]. During the SO2 oxidation reaction test, the space velocity was 120,000 h−1 and the equilibrium gas was Nitrogen (N2). In addition, the concentration of SO2 and O2 were 1000 ppm and 5%, respectively. The test and simulation results of the SO2 conversion efficiency at different temperatures are shown in Figure 21.
As shown in Figure 21, the experimental values of SO2 conversion efficiency at different temperatures are consistent and agree well with the trend of the simulated values. When the temperature is between 250 and 450 °C, the experimental value of SO2 conversion efficiency is slightly larger than the simulated value because during the experiment, a small amount of adsorbed SO2 reacts with O2 gas molecules.
The speed velocity was 5000 h−1 and the equilibrium gas was N2 during the test of anti-sulfur poisoning. Furthermore, the concentrations of NH3, NO, SO2, O2, and H2O were 1000 ppm, 1000 ppm, 1000 ppm, 5%, and 10%, respectively. The experimental values of denitration efficiency at different temperatures are consistent with the simulation values and the data is in good agreement as shown in Figure 22.

6. Conclusions

(1) Using the one-dimensional simulation software, the ammonium salt passivation reaction model was embedded in the surface denitration reaction model and the SCR system simulation model was constructed. The nitrate passivation reaction process, the sulfate passivation reaction process and their influencing factors were simulated, respectively. The model accuracy of the adsorption/desorption reaction, the denitrification reaction, the nitrate passivation reaction, and the sulfate passivation reaction were correspondingly verified.
(2) Based on the SCR system simulation model, the catalytic temperature and the requirements of the vanadium-based catalysts were analyzed. In addition, the nitrate passivation reaction process and its influencing factors were studied. Moreover, the NO2/NOx ratio and the exhaust gas temperature range formed by the ammonium nitrate were determined, and the ammonium nitrate passivation reaction characteristics were obtained. Furthermore, the study found that NO2 was the main reactant of the NH4NO3 formation reaction. The SCR denitration efficiency and NH4NO3 production increased with the increase of the NO2/NOx ratio from 0 to 0.25 in a temperatures range of 175 to 250 °C—with the NO2/NOx ratio having a major influence on the denitration efficiency. But the NH4NO3 generated can also decompose into a small amount of N2O at the same time. Therefore, within a certain range, the increased of the NO2/NOx ratio was beneficial to the rapid SCR reaction and the NH4NO3 formation reaction, while the increased of the exhaust gas temperature was beneficial to the rapid SCR reaction and the NH4NO3 decomposition reaction, respectively.
(3) Based on the SCR system simulation model, the sulfate passivation process and its influencing factors were studied. In addition, the composition concentration of the ammonium sulfate and the temperature range of the exhaust gas were determined and the passivation reaction characteristics of ammonium sulfate were obtained. It was found that the influence of the SO2 concentration on the denitration efficiency decreased with the increased exhaust gas temperature because of the increasing of SCR reaction rate and the reversibility of ammonia sulfate formation. Moreover, at 325 °C, the denitration efficiency was only 6% under the condition of 100 ppm and 1000-ppm SO2 concentration. Moreover, SO3 was an important reactant for the formation of sulfate, but the rate of sulfate decomposition increased with the increased reaction temperature. However, when the exhaust gas temperature was lower than 300 °C, the SCR denitration efficiency decreased with time under high sulfur conditions, and almost had no change when the exhaust gas temperature was higher than 350 °C. Thus, ammonia bisulfate had almost no impact on the catalyst activity.

Author Contributions

Conceptualization, Y.Z., S.Z. and Y.F.; Funding acquisition, Y.Z.; Project administration, Y.Z.; Software, L.Y. and C.X.; Writing—original draft, Y.Z. and Q.H.; Writing—review & editing, Y.Z. and M.S.

Funding

We gratefully acknowledge the financial support of the National Key Research and Development Program of China (No. 2016YFC0205400), and the Provincial Funding for National Projects of Heilongjiang Province in China (No. GX17A020).

Conflicts of Interest

The authors declare no conflict of interest. And the funders had no role in the design of the study; in the collection, analyses, or interpretation of data; in the writing of the manuscript, or in the decision to publish the results

References

  1. A CIMAC Working Group—Exhaust Emissions Control. Guide to Diesel Exhaust Emissions Control of NOx, SOx, Particulates, Smoke and CO2-SEAGOING Ships and Large Stationary Diesel Power Plants; The International Council on Combustion Engines: Frankfurt Germany, 2008. [Google Scholar]
  2. Fung, F.; Zhu, Z.; Becque, R.; Finamore, B. Prevention and Control of Shipping and Port Air Emissions in China; Natural Resources Defense Council: New York, NY, USA, 2014. [Google Scholar]
  3. MAN Energy Solutions. MAN B&W Two-Stroke Marine Engines Emission Project Guide for Marpol Annex VI Regulations, 9th ed.; MAN Energy Solutions: Augsburg, Germany, 2018. [Google Scholar]
  4. Ministry of Transport of the People’s Republic of China. Adjustment Plan for Marine Emission Control Areas—Draft for Soliciting Opinions; Ministry of Transport of the People’s Republic of China: Beijing, China, 2018.
  5. International Maritime Organization (IMO). Final Report of the Correspondence Group on Assessment of Technological Developments to Implement the Tier III NOx Emission Standards under MARPOL Annex VI; MEPC 65/4/7; International Maritime Organization: London, UK, 2013. [Google Scholar]
  6. Zhu, Y.; Zhou, S.; Feng, Y.; Wang, Z. Influence of NH4NO3 formation on the NOx reduction pathways over vanadium-based catalyst under diesel exhaust conditions. Russ. J. Phys. Chem. A 2018, 92, 1473–1480. [Google Scholar]
  7. Zhu, Y.; Zhang, R.; Zhou, S.; Huang, C.; Feng, Y.; Shreka, M.; Zhang, C. Performance Optimization of High-pressure SCR System in a Marine Diesel. Part II: Catalytic Reduction and Process. Top. Catal. 2018. [Google Scholar] [CrossRef]
  8. Bendrich, M.; Scheuer, A.; Hayes, R.E.; Votsmeier, M. Unified mechanistic model for Standard SCR, Fast SCR, and NO2 SCR over a copper chabazite catalyst. Appl. Catal. B Environ. 2018, 222, 76–87. [Google Scholar] [CrossRef]
  9. Magnussona, M.; Fridell, E.; Ingelstenc, H.H. The influence of sulfur dioxide and water on the performance of a marine SCR catalyst. Appl. Catal. B Environ. 2012, 111–112, 20–26. [Google Scholar] [CrossRef]
  10. Han, B.; Shen, Y.; Zhu, S.; Liu, Y.; Shen, S. Promotional effect of phosphorylation on CeSn0.8W0.6Ox/TiAl0.2Si0.1Oy for NH3-SCR of NO from marine diesel exhaust. J. Rare Earths 2016, 34, 1010–1016. [Google Scholar] [CrossRef]
  11. Cimino, S.; Lisi, L.; Tortorelli, M. Low temperature SCR on supported MnOx catalysts for marine exhaust gas cleaning: Effect of KCl poisoning. Chem. Eng. J. 2016, 283, 223–230. [Google Scholar] [CrossRef]
  12. Wang, Y.; Ge, D.; Che, M.; Gao, S.; Wu, Z. A dual-functional way for regenerating NH3-SCR catalysts while enhancing their poisoning resistance. Catal. Commun. 2018, 117, 69–73. [Google Scholar] [CrossRef]
  13. Li, X.; Liu, C.; Li, X.; Peng, Y.; Li, J. A neutral and coordination regeneration method of Ca-poisoned V2O5-WO3/TiO2 SCR catalyst. Catal. Commun. 2017, 100, 112–116. [Google Scholar] [CrossRef]
  14. Li, X.; Li, X.; Yang, R.T.; Mo, J.; Li, J.; Hao, J. The poisoning effects of calcium on V2O5-WO3/TiO2 catalyst for the SCR reaction: Comparison of different forms of calcium. Mol. Catal. 2017, 434, 16–24. [Google Scholar] [CrossRef]
  15. Thogersen, J.R.; Slabiak, T.; White, N. Ammonium Bisulphate Inhibition of SCR Catalysts; Haldor Topsoe Inc.: Frederikssund, Denmark, 2010. [Google Scholar]
  16. Ma, S.; Jin, X.; Sun, Y.; Cui, J. The formation mechanism of ammonium bisulfate in SCR Flue gas denitrification process and control. Therm. Power Gener. 2010, 39, 12–17. [Google Scholar]
  17. Chen, C.; Cao, Y.; Liu, S.; Chen, J.; Jia, W. Review on the latest developments in modified vanadium-titanium-based SCR catalysts. Chin. J. Catal. 2018, 39, 1347–1365. [Google Scholar] [CrossRef]
  18. Xu, T.; Wu, X.; Gao, Y.; Lin, Q.; Hu, J.; Weng, D. Comparative study on sulfur poisoning of V2O5-Sb2O3/TiO2 and V2O5-WO3/TiO2 monolithic catalysts for low-temperature NH3-SCR. Catal. Commun. 2017, 93, 33–36. [Google Scholar] [CrossRef]
  19. Nova, I.; Ciardelli, C.; Tronconi, E.; Chatterjee, D.; Bandl-Konrad, B. NH3–NO/NO2 chemistry over V-based catalysts and its role in the mechanism of the Fast SCR reaction. Catal. Today 2006, 114, 3–12. [Google Scholar] [CrossRef]
  20. Ciardelli, C.; Nova, I.; Tronconi, E.; Chatterjee, D.; Burkhardt, T.; Weibel, M. NH3 SCR of NOx for diesel exhausts aftertreatment: Role of NO2 in catalytic mechanism, unsteady kinetics and monolith converter modelling. Chem. Eng. Sci. 2007, 62, 5001–5006. [Google Scholar] [CrossRef]
  21. Nova, I.; Ciardelli, C.; Tronconi, E.; Chatterjee, D.; Weibel, M. NH3-NO/NO2 SCR for diesel exhausts after treatment: Mechanism and modelling of a catalytic converter. Top. Catal. 2007, 42, 43–46. [Google Scholar] [CrossRef]
  22. Ciardelli, C.; Nova, I.; Tronconi, E.; Chatterjee, D.; Bandl-Konrad, B.; Weibel, M.; Krutzsch, B. Reactivity of NO/NO2-NH3 SCR system for diesel exhaust aftertreatment: Identification of the reaction network as a function of temperature and NO2 feed content. Appl. Catal. B Environ. 2007, 70, 80–90. [Google Scholar] [CrossRef]
  23. Ertl, G.; Knözinger, H.; Weitkamp, J. (Eds.) Handbook of Heterogeneous Catalysis; Wiley-VCH Verlag GmbH & Co.: Weinheim, Germany, 2008. [Google Scholar]
  24. GT-SUITE. Exhaust Aftertreatment—Application Manual, Ver. 7.5; Gamma Technology: Pune, India, 2016. [Google Scholar]
  25. Ebrahimian, V.; Nicolle, A.; Habchi, C. Detailed modeling of the evaporation and thermal decomposition of urea-water solution in SCR systems. AIChE J. 2012, 58, 1998–2009. [Google Scholar] [CrossRef]
  26. Topsoe, N.Y.; Topsoe, H.; Dumesic, J.A. Vanadia/Titania catalysts for selective catalytic reduction (SCR) of nitric oxide by ammonia: I. Combined temperature programmed in situ FTIR and on-line mass spectroscopy studies. J. Catal. 1995, 151, 226–240. [Google Scholar] [CrossRef]
  27. Topsoe, N.Y.; Dumesic, J.A.; Topsoe, H. Vanadia/Titania catalysts for selective catalytic reduction (SCR) of nitric oxide by ammonia: II. Studies of active sites and formulation of catalytic cycle. J. Catal. 1998, 151, 241–252. [Google Scholar] [CrossRef]
  28. Lietti, L.; Nova, I.; Camurri, S.; Tronconi, E.; Forzatti, P. Dynamics of the SCR-DeNOx reaction by the transient-response method. AIChE J. 1997, 43, 2559–2570. [Google Scholar] [CrossRef]
  29. Lietti, L.; Nova, I.; Tronconi, E.; Forzatti, P. Transient kinetic study of the SCR-DeNOx reaction. Catal. Today 1998, 45, 85–92. [Google Scholar] [CrossRef]
Figure 1. Effect of exhaust gas temperature on the denitration efficiency and the ammonia slip.
Figure 1. Effect of exhaust gas temperature on the denitration efficiency and the ammonia slip.
Catalysts 09 00021 g001
Figure 2. The influence of the reaction temperature and the NO2/NOx ratio on the formation of NH4NO3.
Figure 2. The influence of the reaction temperature and the NO2/NOx ratio on the formation of NH4NO3.
Catalysts 09 00021 g002
Figure 3. The influence of the reaction temperature and the NO2/NOx ratio on the formation of N2O.
Figure 3. The influence of the reaction temperature and the NO2/NOx ratio on the formation of N2O.
Catalysts 09 00021 g003
Figure 4. The influence of the reaction temperature and the NO2/NOx ratio on the denitration efficiency.
Figure 4. The influence of the reaction temperature and the NO2/NOx ratio on the denitration efficiency.
Catalysts 09 00021 g004
Figure 5. The relationship between the concentration of each component at the outlet of the SCR system and the change of time (T = 150 °C, NO2/NOx = 0.25).
Figure 5. The relationship between the concentration of each component at the outlet of the SCR system and the change of time (T = 150 °C, NO2/NOx = 0.25).
Catalysts 09 00021 g005
Figure 6. The relationship between the NH4NO3 formation reaction rate and the change of time. (T = 150 °C, NO2/NOx = 0.25).
Figure 6. The relationship between the NH4NO3 formation reaction rate and the change of time. (T = 150 °C, NO2/NOx = 0.25).
Catalysts 09 00021 g006
Figure 7. The relationship between the NH4NO3 decomposition reaction rate and the change of time. (T = 150 °C, NO2/NOx = 0.25).
Figure 7. The relationship between the NH4NO3 decomposition reaction rate and the change of time. (T = 150 °C, NO2/NOx = 0.25).
Catalysts 09 00021 g007
Figure 8. The relationship between the amounts of NH4NO3 produced before the reactor inlet and the distance (T = 150 °C, NO2/NOx = 0.25).
Figure 8. The relationship between the amounts of NH4NO3 produced before the reactor inlet and the distance (T = 150 °C, NO2/NOx = 0.25).
Catalysts 09 00021 g008
Figure 9. The relationship between the NH4NO3 formation and decomposition reaction rate before the reactor inlet and the distance (T = 150 °C, NO2 / NOx = 0.25).
Figure 9. The relationship between the NH4NO3 formation and decomposition reaction rate before the reactor inlet and the distance (T = 150 °C, NO2 / NOx = 0.25).
Catalysts 09 00021 g009
Figure 10. The relationship between the denitration efficiency and the SO2 concentration at different temperatures (O2: 16%, H2O: 3%).
Figure 10. The relationship between the denitration efficiency and the SO2 concentration at different temperatures (O2: 16%, H2O: 3%).
Catalysts 09 00021 g010
Figure 11. The relationship between the sulfur equilibrium concentration and the temperature at different SO2 concentrations (O2:16%, H2O: 3%).
Figure 11. The relationship between the sulfur equilibrium concentration and the temperature at different SO2 concentrations (O2:16%, H2O: 3%).
Catalysts 09 00021 g011
Figure 12. The relationship between the equilibrium concentration of sulfur and the temperature at different O2 concentrations (SO2:500 ppm, H2O: 3%).
Figure 12. The relationship between the equilibrium concentration of sulfur and the temperature at different O2 concentrations (SO2:500 ppm, H2O: 3%).
Catalysts 09 00021 g012
Figure 13. The relationship between the equilibrium concentration of sulfur and the temperature at different H2O concentrations (SO2:500 ppm, O2:15%).
Figure 13. The relationship between the equilibrium concentration of sulfur and the temperature at different H2O concentrations (SO2:500 ppm, O2:15%).
Catalysts 09 00021 g013
Figure 14. The relationship between the denitration efficiency and the exhaust gas temperature with different reaction times.
Figure 14. The relationship between the denitration efficiency and the exhaust gas temperature with different reaction times.
Catalysts 09 00021 g014
Figure 15. The variation law of the denitration efficiency with time under the condition of sulfur-containing exhaust gas.
Figure 15. The variation law of the denitration efficiency with time under the condition of sulfur-containing exhaust gas.
Catalysts 09 00021 g015
Figure 16. Schematic diagram of the marine diesel engine high-pressure SCR system and low-pressure SCR system.
Figure 16. Schematic diagram of the marine diesel engine high-pressure SCR system and low-pressure SCR system.
Catalysts 09 00021 g016
Figure 17. SCR system simulation model.
Figure 17. SCR system simulation model.
Catalysts 09 00021 g017
Figure 18. Simulation verification of the NH3 adsorption and desorption reaction.
Figure 18. Simulation verification of the NH3 adsorption and desorption reaction.
Catalysts 09 00021 g018
Figure 19. Simulation verification of the SCR denitration reaction process.
Figure 19. Simulation verification of the SCR denitration reaction process.
Catalysts 09 00021 g019
Figure 20. The change of outlet concentration of each component in the SCR system over time.
Figure 20. The change of outlet concentration of each component in the SCR system over time.
Catalysts 09 00021 g020
Figure 21. Experimental and simulation results of SO2 conversion efficiency at different temperatures.
Figure 21. Experimental and simulation results of SO2 conversion efficiency at different temperatures.
Catalysts 09 00021 g021
Figure 22. Experimental and simulation results of denitration efficiency at different temperatures.
Figure 22. Experimental and simulation results of denitration efficiency at different temperatures.
Catalysts 09 00021 g022
Table 1. Main parameters of the catalyst used in the selective catalytic reduction (SCR) system.
Table 1. Main parameters of the catalyst used in the selective catalytic reduction (SCR) system.
ParametersData
Catalyst typeV2O5-WO3/TiO2
Cross-sectional area of catalyst/m22
Catalyst height/m1.45
Pore density of catalyst/(1/in2)19
Dispersion length of catalyst/mm50
Table 2. The exhaust gas components concentrations.
Table 2. The exhaust gas components concentrations.
Exhaust GasConcentration
SO2 (ppm)100, 300, 500, 700, 1000
O2 (%)5, 10, 15, 16
H2O (%)1, 3, 5, 10
NH3 (ppm)1000
NO (ppm)1000
Table 3. SCR reaction pathway and reaction rate.
Table 3. SCR reaction pathway and reaction rate.
No.Reaction FormulaPre-Exponential FactorActivation Energy Ea (J/kmol)
R1CO(NH2)2(l)→HNCO(g) + NH3(g)4.9 × 1032.3 × 107
R2HNCO(g) + H2O(g)→NH3(g) + CO2(g)2.3 × 1056.2 × 107
Table 4. SCR reaction pathway and reaction rate.
Table 4. SCR reaction pathway and reaction rate.
NO.Reaction FormulaPre-Exponential FactorActivation Energy Ea (J/kmol)
R1NH3(g) + V(s)→NH3∙V(g)6.7 × 1080
R2NH3∙V(s)→NH3(g) + V(s)1.0 × 10138.4 × 104
R34NH3∙V(s) + 4NO(g) + O2(g)→4N2 + 6H2O + 4V(s)5.0 × 10127.5 × 104
R44NH3∙V(s) + 2NO(g) + 2NO2(g)→4N2(g) + 6H2O(g) + 4V(s)8.0 × 1036.5 × 104
R58 NH3∙V(s) + 6NO2(g)→7N2(g) + 12H2O(g) + 8V(s)3.0 × 1037.1 × 104
R64NH3∙V(s) + 3O2(g)→2N2(g) + 6H2O(g) + 4V(s)1.7 × 10132.0 × 105
Table 5. Nitrate passivation reaction pathway.
Table 5. Nitrate passivation reaction pathway.
No.Reaction FormulaPre-Exponential FactorActivation Energy Ea (J/kmol)
R12NH3∙V(s) + 2NO2(g)→N2(g) + NH4NO3∙V(s) + H2O + V(s)3.4 × 1020.0
R2NH4NO3∙V(s)→NH3(g) + HNO3(g) + V(s)10.026.0
R3NH3∙V(s) + HNO3(g)→NH4NO3∙V(s)1.1 × 1060.0
R4NH4NO3∙V(s)→N2O(g) + 2H2O(g) + V(s)7.5 × 1091.1 × 103
Table 6. Sulfate passivation reaction pathway.
Table 6. Sulfate passivation reaction pathway.
No.Reaction FormulaPre-Exponential FactorActivation Energy Ea (J/kmol)
R1V(s) + SO2(g)→SO2∙V(s)1.3 × 1040.0
R2SO2(g) + 0.5O2(g)→SO3(g)1.240.0
R3SO3(g) + H2O(g) + 2NH3∙V(s)→(NH4)2SO4∙V(s) + V(s)0.50.0
R4(NH4)2SO4∙V(s)→NH4HSO4∙V(s) + NH3(g)2.3 × 10101.1 × 102
R52NH4HSO4∙V(s)→(NH4)2S2O7∙V(s) + H2O(g) + V(s)7.9 × 1091.3 × 102
R63(NH4)2S2O7∙V(s)→2NH3(g) + 2N2(g) + 6SO2(g) + 9H2O(g) + 3V(s)7.2 × 10121.6 × 102

Share and Cite

MDPI and ACS Style

Zhu, Y.; Hou, Q.; Shreka, M.; Yuan, L.; Zhou, S.; Feng, Y.; Xia, C. Ammonium-Salt Formation and Catalyst Deactivation in the SCR System for a Marine Diesel Engine. Catalysts 2019, 9, 21. https://doi.org/10.3390/catal9010021

AMA Style

Zhu Y, Hou Q, Shreka M, Yuan L, Zhou S, Feng Y, Xia C. Ammonium-Salt Formation and Catalyst Deactivation in the SCR System for a Marine Diesel Engine. Catalysts. 2019; 9(1):21. https://doi.org/10.3390/catal9010021

Chicago/Turabian Style

Zhu, Yuanqing, Qichen Hou, Majed Shreka, Lu Yuan, Song Zhou, Yongming Feng, and Chong Xia. 2019. "Ammonium-Salt Formation and Catalyst Deactivation in the SCR System for a Marine Diesel Engine" Catalysts 9, no. 1: 21. https://doi.org/10.3390/catal9010021

APA Style

Zhu, Y., Hou, Q., Shreka, M., Yuan, L., Zhou, S., Feng, Y., & Xia, C. (2019). Ammonium-Salt Formation and Catalyst Deactivation in the SCR System for a Marine Diesel Engine. Catalysts, 9(1), 21. https://doi.org/10.3390/catal9010021

Note that from the first issue of 2016, this journal uses article numbers instead of page numbers. See further details here.

Article Metrics

Back to TopTop