Advances in Nanostructured Metal-Encapsulated Porous Organic-Polymer Composites for Catalyzed Organic Chemical Synthesis
Abstract
1. Introduction
2. Overview of Nanostructured Metal-Encapsulated Porous Organic-Polymer Catalysts
3. Design Strategies for Metal-Encapsulated Porous Organic-Polymer Nanocatalysts
4. Characterization of Metal-Encapsulated and Functionalized Porous Organic-Polymer Nanocatalysts
5. Catalytic Applications of Metal-encapsulated Porous Organic-Polymer Nanocatalysts
5.1. Selective Hydrogenation Reactions
5.1.1. Hydrogenation Reactions
5.1.2. Transfer Hydrogenation
5.1.3. Cross-Coupling Reactions
5.1.4. C-N Bond-Forming Reactions
5.1.5. C–C Bond-Forming Reactions
5.2. Selective Oxidation Reactions
5.3. Acid-Catalyzed Reactions
5.3.1. Esterification and Transesterification Reactions
5.3.2. Dehydration Reactions
6. Comments on Catalyst Stability, Recyclability, and Deactivation
7. Conclusion and Future Outlook
Author Contributions
Funding
Acknowledgments
Conflicts of Interest
References
- Perego, C.; Millini, R. Porous materials in catalysis: Challenges for mesoporous materials. Chem. Soc. Rev. 2013, 42, 3956–3976. [Google Scholar] [CrossRef] [PubMed]
- Sun, Q.; Dai, Z.; Meng, X.; Wang, L.; Xiao, F.S. Task specific design of porous polymer heterogeneous catalysts beyond homogeneous counterparts. ACS. Catal. 2015, 5, 4556–4567. [Google Scholar] [CrossRef]
- Ding, S.Y.; Gao, J.; Wang, Q.; Zhang, Y.; Song, W.G.; Su, C.Y.; Wang, W. Construction of covalent organic framework for catalysis: Pd/COF-LZU1 in Suzuki-Miyaura coupling reaction. J. Am. Chem. Soc. 2011, 133, 19816–19822. [Google Scholar] [CrossRef] [PubMed]
- Li, L.; Chen, Z.; Zhong, H.; Wang, R. Urea-based porous organic frameworks: Effective supports for catalysis in neat water. Chem. Eur. J. 2014, 20, 3050–3060. [Google Scholar] [CrossRef] [PubMed]
- Burda, C.; Chen, X.; Narayanan, R.; El-Sayed, M.A. Chemistry and properties of nanocrystals of Different shapes. Chem. Rev. 2005, 105, 1025–1102. [Google Scholar] [CrossRef] [PubMed]
- Vajda, S.; Pellin, M.J.; Greeley, J.P.; Marshall, C.L.; Curtiss, L.A.; Ballentine, G.A.; Elam, J.W.; Catillon-Mucherie, S.; Redfern, P.C.; Mehmood, F. Subnanometre platinum clusters as highly active and selective catalysts for the oxidative dehydrogenation of propane. Nat. Mater. 2009, 8, 213–216. [Google Scholar] [CrossRef] [PubMed]
- Qiao, B.; Wang, A.; Yang, X.; Allard, L.F.; Jiang, Z.; Cui, Y.; Liu, J.; Li, J.; Zhang, T. Single-atom catalysis of CO oxidation using Pt1/FeOx. Nat. Chem. 2011, 3, 634–641. [Google Scholar] [CrossRef] [PubMed]
- Li, Z.; Liu, J.; Xia, C.; Li, F. Nitrogen-functionalized ordered mesoporous carbons as multifunctional supports of ultrasmall Pd nanoparticles for hydrogenation of phenol. ACS Catal. 2013, 3, 2440–2448. [Google Scholar] [CrossRef]
- Kibata, T.; Mitsudome, T.; Mizugaki, T.; Jitsukawa, K.; Kaneda, K. Investigation of size-dependent properties of sub-nanometer palladium clusters encapsulated within a polyamine dendrimer. Chem. Commun. 2013, 49, 167–169. [Google Scholar] [CrossRef] [PubMed]
- White, R.J.; Luque, R.; Budarin, V.L.; Clark, J.H.; Macquarrie, D.J. Supporetd metal nanoparticles on porous materials: Methods and applications. Chem. Soc. Rev. 2009, 38, 481–494. [Google Scholar] [CrossRef] [PubMed]
- Kaur, P.; Hupp, J.T.; Nguyen, S.T. Porous organic polymers in catalysis: Opportunities and challenges. ACS Catal. 2011, 1, 819–835. [Google Scholar] [CrossRef]
- Mckeown, N.B.; Budd, P.M. Polymers of intrinsic microporosity (PIMs): Organic materials for membrane separations, heterogeneous catalysis and hydrogen storage. Chem. Soc. Rev. 2006, 35, 675–683. [Google Scholar] [CrossRef] [PubMed]
- Cooper, A.I. Conjugated microporous polymers. Adv. Mater. 2009, 21, 1291–1295. [Google Scholar] [CrossRef]
- Wang, Z.; Chem, G.; Ding, K.L. Self-supported catalysts. Chem. Rev. 2009, 109, 322–359. [Google Scholar] [CrossRef] [PubMed]
- Trewin, A.; Cooper, A.I. Porous organic polymers: Distinction from disorder? Angew. Chem. Int. Ed. 2010, 49, 1533–1535. [Google Scholar] [CrossRef] [PubMed]
- Jiang, J.X.; Su, F.B.; Trewin, A.; Wood, C.D.; Campbell, N.L.; Niu, H.J.; Dickson, C.; Ganin, A.Y.; Rosseinsky, M.J.; Khimyak, Y.Z.; et al. Conjugated microporous poly (aryleneethynylene) networks. Angew. Chem. Int. Ed. 2007, 46, 8574–8578. [Google Scholar] [CrossRef] [PubMed]
- Schmidt, J.; Weber, J.; Epping, J.D.; Antonietti, M.; Thomas, A. Microporous conjugated poly(thienylene arylene) networks. Adv. Mater. 2009, 21, 702–705. [Google Scholar] [CrossRef]
- Ben, T.; Ren, H.; Ma, S.Q.; Cao, D.; Lan, J.H.; Jing, X.F.; Wang, W.C.; Xu, J.; Deng, F.; Simmons, J.M.; et al. Targeted synthesis of a porous aromatic framework with high stability and exceptionally high surface area. Angew. Chem. Int. Ed. 2009, 48, 9457–9460. [Google Scholar] [CrossRef] [PubMed]
- Chen, L.; Honsho, Y.; Seki, S.; Jiang, D.L. Light-harvesting conjugated microporous polymers: Rapid and high efficient flow of light energy with aporous polyphenylene framework as antenna. J. Am. Chem. Soc. 2010, 132, 6742–6748. [Google Scholar] [CrossRef] [PubMed]
- Wu, C.D.; Hu, A.; Zhang, L.; Lin, W.B. Homochiral porous metal organic framework for highly enantioselective heterogeneous asymmetric catalysis. J. Am. Chem. Soc. 2005, 127, 8940–8941. [Google Scholar] [CrossRef] [PubMed]
- Song, F.J.; Wang, C.; Falkowski, J.M.; Ma, L.Q.; Lin, W.B. Isoreticular chiral metal-organic frameworks for asymmetric alkene epoxidation: Tuning catalytic activity by controlling framework catenation and varying open channel sizes. J. Am. Chem. Soc. 2010, 132, 15390–15398. [Google Scholar] [CrossRef] [PubMed]
- Ding, S.Y.; Wang, W. Covalent organic frameworks (COFs): From design to applications. Chem. Soc. Rev. 2013, 42, 548–568. [Google Scholar] [CrossRef] [PubMed]
- Feng, X.; Ding, X.S.; Jiang, D.L. Covalent organic frameworks. Chem. Soc. Rev. 2012, 41, 6010–6022. [Google Scholar] [CrossRef] [PubMed]
- Wang, T.; Lyu, Y.; Xiong, K.; Wang, W.; Zhang, H.; Zhan, Z.; Jiang, Z.; Ding, Y. Chiral BINAP-based hierarchical porous polymers as platforms for efficient heterogeneous asymmetric catalysis. Chin. J. Catal. 2017, 38, 890–898. [Google Scholar] [CrossRef]
- Wang, W.; Zheng, A.; Zhao, P.; Xia, C.; Li, F. Au-NHC@Porous organic polymers: Synthetic control and its catalytic application in alkyne hydration reactions. ACS. Catal. 2014, 4, 321–327. [Google Scholar] [CrossRef]
- Dawson, R.; Cooper, A.I.; Adams, D.J. Nanoporous organic polymer networks. Prog. Polym. Sci. 2012, 37, 530–563. [Google Scholar] [CrossRef]
- Zou, X.; Rena, H.; Zhu, G. Topology directed design of porous organic frameworks and their advanced applications. Chem. Commun. 2013, 49, 3925–3936. [Google Scholar] [CrossRef] [PubMed]
- Suresh, V.M.; Bonakala, S.; Atreya, H.S.; Balasubramanian, S.; Maji, T.K. Amide functionalized microporous organic polymer for selective CO2 sorption and catalysis. ACS. Appl. Mater. Interfaces 2014, 6, 4630–4637. [Google Scholar] [CrossRef] [PubMed]
- Fang, Q.; Gu, S.; Zheng, J.; Zhuang, Z.; Qui, S.; Yan, Y. 3D Microporous base functionalized covalent organic frameworks for size selective catalysis. Angew. Chem. Int. Ed. 2014, 52, 2878–2882. [Google Scholar] [CrossRef] [PubMed]
- Zhang, Y.G.; Riduan, S.N. Functional porous organic polymers for heterogeneous catalysis. Chem. Soc. Rev. 2012, 41, 2083–2094. [Google Scholar] [CrossRef] [PubMed]
- Zahmakirana, M.; Ozkar, S. Metal nanoparticles in liquid phase catalysis: From recent advances to future goals. Nanoscale 2011, 3, 3462–3481. [Google Scholar] [CrossRef] [PubMed]
- Islam, N.; Miyazaki, K. Nanotechnology systems of innovation: Investigations of scientific disciplines fusion trend into nanotech. PICMET 2007, 1, 2922–2931. [Google Scholar]
- Cooper, A.I.; De Simone, J.M. Polymer synthesis and characterization in liquid/supercritical carbon dioxide. Curr. Opin. Solid State Mater. Sci. 1996, 1, 761–768. [Google Scholar] [CrossRef]
- Budd, P.M.; Ghanem, B.S.; Makhseed, S.; McKeown, N.B.; Msayib, K.J.; Tattershall, C.C. Polymer of intrinsic microporosity (PIMS): Robust, solution-processable, organic nanoporous materials. Chem. Commun. 2004, 230–231. [Google Scholar] [CrossRef] [PubMed]
- Vlakh, E.G.; Maksimova, E.F.; Krasikov, V.D.; Tennikova, T.B. Macroporous polymer materials: Synthesis of a new functional copolymer and its use for biological macroanalysis. Polym. Sci. 2009, 51, 1677–1685. [Google Scholar] [CrossRef]
- Jiang, J.X.; Cooper, A.I. Microporous organic polymers: Design, synthesis and function. Top. Curr. Chem. 2010, 293, 1–33. [Google Scholar] [PubMed]
- Ben, T.; Pei, C.; Zhang, D.; Xu, J.; Deng, F.; Jing, X.; Qui, S. Gas storage in porous aromatic frameworks (PAFs). Energy Environ. Sci. 2011, 4, 3991–3999. [Google Scholar] [CrossRef]
- Hauser, B.G.; Farha, O.K.; Exley, J.; Hupp, J.T. Thermally enhancing the surface areas of Yamamoto-derived porous organic polymers. Chem. Mater. 2013, 25, 12–16. [Google Scholar] [CrossRef]
- Li, B.; Zhang, Y.; Ma, D.; Shi, Z.; Ma, S. Mercury nano-trap for effective and efficient removal of mercury(II) from aqueous solution. Nat. Commun. 2014, 5, 5537. [Google Scholar] [CrossRef] [PubMed]
- Long, P.; Qi, C.; Jian-Hua, Z.; Jian-Guo, Y.; Yu-Jian, H.; Bao-Hang, H. Hypercrosslinked porous polycarbazoles via one-step oxidative coupling reaction and Friedel-Crafts alkylation. Polym. Chem. 2015, 6, 2478–2487. [Google Scholar]
- Zhang, P.; Weng, Z.; Guo, J.; Wang, C. Solution-dispersible, colloidal, conjugated porous polymer networks with entrapped palladium nanocrystals for heterogeneous catalysis of the Suzuki-Miyaura coupling reaction. Chem. Mater. 2011, 2, 5243–5249. [Google Scholar] [CrossRef]
- Chen, L.; Yang, Y.; Jiang, D. CMPs as scaffolds for constructing porous catalytic frameworks: A built-in heterogeneous catalyst with high activity and selectivity based on nanoporous metalloporphyrin polymers. J. Am. Chem. Soc. 2010, 132, 9138–9143. [Google Scholar] [CrossRef] [PubMed]
- Germain, J.; Hradil, J.; Frechet, J.M.J.; Svec, F. High surface area nanoporous polymers for reversible hydrogen storage. Chem. Mater. 2006, 18, 4430–4435. [Google Scholar] [CrossRef]
- Qiao, Z.A.; Chai, S.H.; Nelson, K.; Bi, Z.; Chen, J.; Mahurin, S.M.; Zhu, X.; Dai, S. Polymeric molecular sieve membranes via in situ cross-linking of non-porous polymer membrane templates. Nat. Commun. 2014, 5, 3705. [Google Scholar] [CrossRef] [PubMed]
- Li, B.; Guan, Z.; Wang, W.; Yang, X.; Hu, J.; Tan, B.; Li, T. Multifunctional microporous organic polymers. Adv. Mater. 2012, 24, 3390–3395. [Google Scholar] [CrossRef] [PubMed]
- Kuhn, P.; Antonietti, M.; Thomas, A. Porous, covalent triazine-based frameworks prepared by ionothermal synthesis. Angew. Chem. Int. Ed. 2008, 47, 3450–3453. [Google Scholar] [CrossRef] [PubMed]
- Chan-Thaw, C.E.; Villa, A.; Katekomol, P.; Su, D.; Thomas, A.; Prati, L. Covalent triazine framework as catalytic support for liquid phase reaction. Nano Lett. 2010, 10, 537–541. [Google Scholar] [CrossRef] [PubMed]
- Xie, Z.; Wang, C.; deKrafft, K.E.; Lin, W. High stable and porous cross-linked polymers for efficient photocatalysis. J. Amer. Chem. Soc. 2011, 133, 2056–2059. [Google Scholar] [CrossRef] [PubMed]
- Totten, R.K.; Weston, M.H.; Park, J.K.; Farha, O.K.; Hupp, J.T.; Nguyen, S.T. Catalytic solvolytic and hydrolytic degradation of toxic methyl paraoxon with La(catecholate)-functionalized porous organic polymers. ACS Catal. 2013, 3, 1454–1459. [Google Scholar] [CrossRef]
- Gopalakrishnan, D.; Dichtel, W.R. Direct detection of RDX vapor using a conjugated polymer network. J. Am. Chem. Soc. 2013, 135, 8357–8362. [Google Scholar] [CrossRef] [PubMed]
- Mondal, J.; Kundu, S.K.; Ng, W.K.N.; Singuru, R.; Borah, P.; Hirao, H. Fabrication of ruthenium nanoparticles in porous organic polymers: Towards advanced heterogeneous catalytic nanoreactors. Chem. Eur. J. 2015, 21, 19016–19027. [Google Scholar] [CrossRef] [PubMed]
- Mondal, J.; Biswas, A.; Chiba, S.; Zhao, Y. Cu0 nanoparticles deposited on nanoporous polymers: A recyclable heterogeneous nanocatalysts for Ullmann coupling of aryl halides with amines in water. Sci. Rep. 2015, 5, 8294. [Google Scholar] [CrossRef] [PubMed]
- Mondal, J.; Trinh, Q.T.; Jana, A.; Ng, W.K.H.; Borah, P.; Hirao, H.; Zhao, Y. Size-dependent catalytic activity of palladium nanoparticles fabricated in porous organic polymers for alkene hydrogenation at room temperature. ACS App. Mater. Interfaces 2016, 8, 15307–15319. [Google Scholar] [CrossRef] [PubMed]
- Dhanalaxmi, K.; Singuru, R.; Kundu, S.K.; Reddy, B.M.; Bhaumik, A.; Mondal, J. Strongly coupled Mn3O4-Porous organic polymer hybrid: A robust, durable and potential nanocatalysts for alcohol oxidation reactions. RSC Adv. 2016, 6, 36728–36735. [Google Scholar] [CrossRef]
- Mondal, J.; Borah, P.; Sreejth, S.; Nguyen, K.T.; Han, X.; Ma, X.; Zhao, Y. Morphology-tuned exceptional catalytic activity of porous polymer supported Mn3O4 in aerobic sp3 C-H bond oxidation of aromatic hydrocarbons and alcohols. ChemCatChem 2014, 6, 3518–3529. [Google Scholar] [CrossRef]
- Zhao, H.; Wang, Y.; Wang, R. In situ formation of well-dispersed palladium nanoparticles immobilized in imidazolium-based organic polymers. Chem. Commun. 2014, 50, 10871–10874. [Google Scholar] [CrossRef] [PubMed]
- Li, L.; Zhao, H.; Wang, R. Tailored synthesis of porous organic polymers decorating ultrafine palladium nanoparticles for hydrogenation of olefins. ACS Catal. 2015, 5, 948–955. [Google Scholar] [CrossRef]
- Li, L.; Zhao, H.; Wang, J.; Wang, R. Facile fabrication of ultrafine palladium nanoparticles with size and location control in Click-based porous organic polymers. ACS Nano 2014, 8, 5352–5364. [Google Scholar] [CrossRef] [PubMed]
- Li, L.; Zhou, C.; Zhao, H.; Wang, R. Spatial control of palladium nanoparticles in flexible click-based porous organic polymers for hydrogenation of olefin and nitrobenzene. Nano Res. 2014, 8, 709–721. [Google Scholar] [CrossRef]
- Kundu, S.K.; Bhaumik, A. Pyrene-based porous organic polymers as efficient catalytic support for the synthesis of biodiesel at room temperature. ACS Sustain. Chem. Eng. 2015, 3, 1715–1723. [Google Scholar] [CrossRef]
- Mondal, S.; Mondal, J.; Bhaumik, A. Sulfonated porous organic polymeric nanofibers as an efficient solid acid catalyst for the production of 5-Hydroxymethyl furfural from biomass. ChemCatChem 2015, 7, 3570–3578. [Google Scholar] [CrossRef]
- Dhanalaxmi, K.; Singuru, R.; Modal, S.; Bai, L.; Reddy, B.M.; Bhaumik, A.; Mondal, J. Magnetic nanohybrid decorated porous organic polymer: Synergistic catalyst for high performance levulinic acid hydrogenation. ACS Sustain. Chem. Eng. 2017, 5, 8061–8069. [Google Scholar] [CrossRef]
- Zhong, H.; Liu, C.; Zhou, H.; Wang, Y.; Wang, R. Prefunctionalized porous organic polymers: Effective supports of surface palladium nanoparticles for the enhancement of catalytic performances in dehalogenation. Chem. Eur. J. 2016, 22, 12533–12541. [Google Scholar] [CrossRef] [PubMed]
- Luykx, D.M.A.M.; Peters, R.J.B.; Van Ruth, S.M.; Bouwmeester, H. A review of analytical methods for the identification and characterization of nano delivery systems in food. J. Agric. Food Chem. 2008, 56, 8231–8247. [Google Scholar] [CrossRef] [PubMed]
- Goldstein, J.; Newbury, D.; Joy, D.; Lyman, C.; Echlin, P.; Lifshin, E.; Sawyer, L.; Michael, J. Scanning Electron Microscope and X-ray Microanalysis; Kluwer Academic/Plenum Publishers: New York, NY, USA, 2003. [Google Scholar]
- Reimer, L. Scanning Electron Microscopy, Physics of Image Formation and Microanalysis. Hawkes, P.W., Ed.; Springer: Berlin, Germany, 1998. [Google Scholar]
- Wang, Z.L. Transmission electron microscopy of shape controlled nanocrystals and their assemblies. J. Phys. Chem. 2000, 104, 1153–1175. [Google Scholar] [CrossRef]
- Williams, D.B.; Carter, C.B. Transmission Electron Microscopy, a Textbook for Materials Science; Plenum Press: New York, NY, USA, 1996. [Google Scholar]
- Mondal, J.; Gomes, R.; Modak, A.; Bhaumik, A. Pd-anchored functionalized mesoporous materials as robust and recyclable heterogeneous catalysts for a series of C–C bond forming reactions. Recycl. Catal. 2013, 10–33. [Google Scholar] [CrossRef]
- Hudlicky, M. Reductions in Organic Chemistry, 2nd ed.; ACS: Washington, DC, USA, 1996; 429p. [Google Scholar]
- Rylander, P.N. Hydrogenation and Dehydrogenation in Ullmann’s Encyclopedia of Industrial Chemistry; Wiley-VCH: Weinheim, Germany, 2005. [Google Scholar]
- Patel, D.R.; Ram, R.N. Hydrogenation of nitrobenzene using polymer bound Ru(III) complexes as catalyst. Indian J. Chem. Technol. 2000, 7, 280–285. [Google Scholar]
- Allen, C.F.H.; Van Allan, J. M-toylybenzylamine. Org. Synth. 1995, 3, 827. [Google Scholar]
- Mekler, A.B.; Ramachandran, S.; Swaminathan, S.; Newman, M.S. 2-Methyl-1–3-cyclohexanedione. Org. Synth. 1973, 5, 743. [Google Scholar]
- Gilkey, M.J.; Xu, B. Heterogeneous catalytic transfer hydrogenation as an effective pathway in biomass upgrading. ACS Catal. 2016, 6, 1420–1436. [Google Scholar] [CrossRef]
- Kilian, M. Bifunctional metal-ligand catalysis: Hydrogenation and new reactions within the metal-(Di)amine scaffold13. Angew. Chem. Int. Ed. 2005, 44, 6622–6627. [Google Scholar]
- Dong, Z.; Ye, Z. Reusable, highly active heterogeneous palladium catalyst by convenient self-encapsulation cross-linking polymerisation for multiple carbon cross-coupling reactions at ppm to ppb palladium loadings. Adv. Synth. Catal. 2014, 356, 3401–3414. [Google Scholar] [CrossRef]
- Brown, J.M. New trends in cross-coupling: Theory and applications. Angew. Chem. Int. Ed. 2015, 54, 5003. [Google Scholar] [CrossRef]
- Senra, J.D.; Aguiar, L.C.S.; Simas, A.B.C. Recent progress in transition-metal catalyzed C-N cross-couplings: Emerging approaches towards sustainability. Curr. Org. Synth. 2011, 8, 53–78. [Google Scholar] [CrossRef]
- Baqi, Y.; Mueller, C.E. Synthesis of alkyl- and aryl-amino-substituted anthraquinone derivatives by microwave-assisted copper(0)-catalyzed Ullmann coupling reactions. Nat. Protoc. 2010, 5, 945–953. [Google Scholar] [CrossRef] [PubMed]
- Fanta, P.E. The Ullmann synthesis of biaryls. Synthesis 1974, 38, 139–196. [Google Scholar] [CrossRef]
- Carme, D. In names, history and legacy. Chem. Eng. News 2010, 88, 31. [Google Scholar]
- Sheldon, R.A. Metal-Catalyzed Oxidation of Organic Compounds; Sheldon, R.A., Kochi, J.K., Eds.; Academic Press: New York, NY, USA, 1981. [Google Scholar]
- Suresh, A.K.; Sharm, M.M.; Sridhar, T. Engineering aspects of industrial liquid phase air oxidation of hydrocarbons. Ind. Chem. Eng. Res. 2000, 29, 3958–3997. [Google Scholar] [CrossRef]
- Franz, G.; Sheldon, R.A. Oxidation in Ullmans encyclopedia of industrial chemistry. VCH Verlagsgesellschaft 1991, 18, 277–280. [Google Scholar]
- Villeneuve, P.; Muderhwa, J.M.; Graille, J.; Haas, M.J. Customizing lipases for biocatalysis: A survey of chemical, physical and molecular biological approaches. J. Mol. Catal. B Enzym. 2000, 9, 113–148. [Google Scholar] [CrossRef]
- Bojan, S.B.; Durairaj, S.K. Producing biodiesel from high free fatty acid jatropha curcas oil by a two step method-an Indian case study. J. Sustain. Energy Environ. 2012, 3, 63–66. [Google Scholar]
- Tariq, M.; Ali, S.; Khalid, N. Activity of homogeneous and heterogeneous catalysts, spectroscopic and chromatographic characterization of biodiesel: A review. Renew. Sustain. Energy Rev. 2012, 16, 6303–6316. [Google Scholar] [CrossRef]
- Zabeti, M.Z.; Wan Daud, W.M.A.; Aroua, M.K. Activity of solid catalysts for biodiesel production: A review. Fuel Process. Technol. 2009, 90, 770–777. [Google Scholar] [CrossRef]
- Pramanik, M.; Nandi, M.; Uyama, H.; Bhaumik, A. Organic-inorganic hybrid porous sulfonated zinc phosphonate material: Efficient catalyst for biodiesel synthesis at room temperature. Green Chem. 2012, 14, 2273–2281. [Google Scholar] [CrossRef]
- Dutta, A.; Patra, A.K.; Uyama, H.; Bhaumik, A. Template-free synthesis of a porous organic-inorganic hybrid Tin(IV) phosphonate and its high catalytic activity for esterification of free fatty acids. ACS Appl. Mater. Interfaces 2013, 5, 9913–9917. [Google Scholar] [CrossRef] [PubMed]
- Friesen, J.B.; Schretzman, R. Dehydration of 2-methyl-1-cyclohexanol: New findings from a popular undergraduate laboratory experiment. J. Chem. Educ. 2011, 88, 1141–1147. [Google Scholar] [CrossRef]


























| POP Material | Preparation Method | Reactants | Temp. (°C) | Time (h) | Solvent | Ref. |
|---|---|---|---|---|---|---|
| BBA | Friedel-crafts alkylation | Benzene Benzylamine Formaldehyde dimethyl acetal | 80 | 20 | Methanol | [51] |
| DVAC | Non-aqueous polymerization | 1,4-divinyl benzene Acrylic acid Azobisisobutyronitrile | 120 | 24 | Acetone | [52] |
| TRIA | Non-aqueous polymerization | 1,4-divinyl benzene Azobisisobutyronitrile 2,4,6-triallyoxy-1,3,5-triazine | 120 | 24 | Acetone | [53,54] |
| DVTA | Polymerization | 1,4-divinyl benzene Triallylamine Azobisisobutyronitrile | 120 | 24 | Acetone | [55] |
| OIP | Suzuki–Miyaura cross coupling | 1,3-bis(4-bromophenyl)imidazoli-um bromide 1,3,5-tri(4-pinacholatoborolanephenyl) benzene | 110 | 48 | 1,4-dioxane | [56] |
| CPP-C | Click reaction | 4,4′-diazidobiphenyl CuSO4·5H2O 1,3,5-triethynylbenzene Sodium ascorbate | 100, under N2 | 72 | DMF | [57] |
| CPP-Y | Yamamoto | Bis(1,5-cycloctadine)-nickel(0) 2,2′-bipyridyl 1,5-cycloctadiene 1,3,5-tris(1-(4-bromophenyl)-1H-1,2,3-triazol-4-yl)-benzene | 80 | 72 | DMF | [57] |
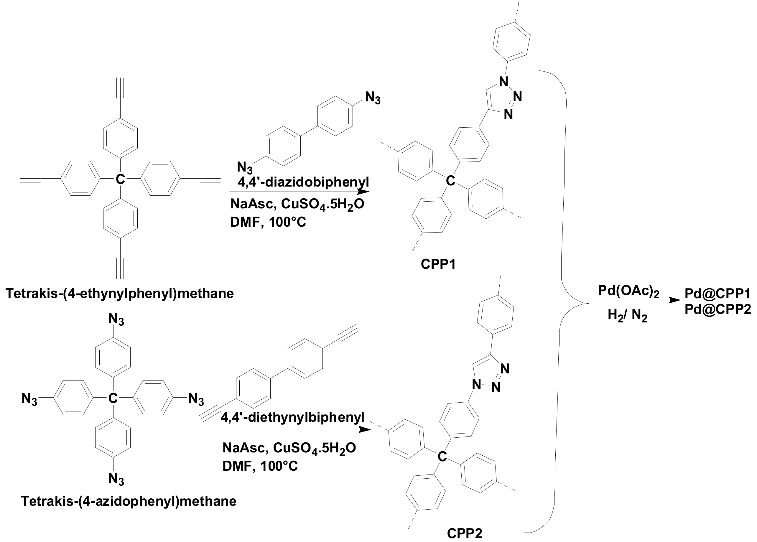
| CPP-1 | Click reaction | Tetrakis-(4-ethylpnyhenyl)methane 4,4′-diazidobiphenyl CuSO4·5H2O Sodium ascorbate | 100 | 72 | DMF | [58] |
| CPP-2 | Click reaction | Tetrakis-(4-azidophenyl)methane 4,4′-diethynylphenyl CuSO4·5H2O Sodium ascorbate | 100 | 72 | DMF | [58] |
| CPP-F1 | Click reaction | 1,4-bis(azidomethyl)benzene 1,3,5-triethynyl-benzene Sodium ascorbate CuSO4·5H2O Diisopropylethylamine | 60, under N2 | 72 | THF | [59] |
| CPP-F2 | Click reaction | 1,4-bis(azidomethyl)benzene Tetrakis- (4-ethynylphenyl)methane Sodium ascorbate CuSO4·5H2O Diisopropylethylamine | 60 | 72 | THF | [59] |
| PPOP 1, PPOP 2, PPOP 3 | Friedel-crafts alkylation | Bis(1,4-bromomethyl)benzene Pyrene Anhydrous ferric chloride | 80 | 20 | 1,2-Dichloroethane | [60] |
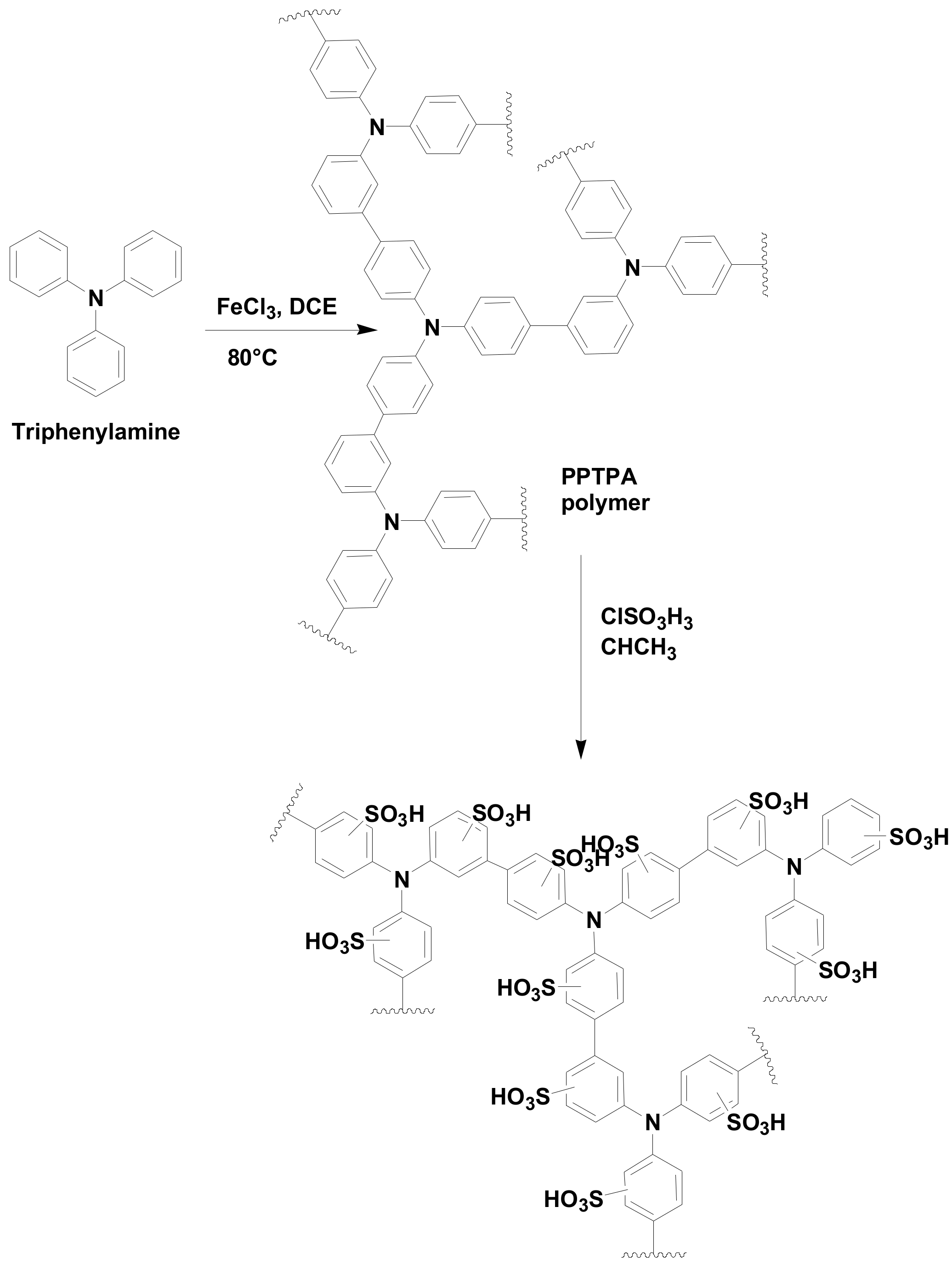
| PPTPA | One-step Oxidative polymerization | Triphenylamine Anhydrous ferric chloride | 25, under N2 | 20 | Dichloroethane | [61,62] |
| POP 1, POP 2 | Click reaction | 1,3,5-tris(4-azidophenyl)-benzene 2,6-diethynylpyridine Methyl-2,6-diethynylisonicotinate Sodium ascorbate CuSO4·5H2O | 100, under N2 | 72 | DMF | [63] |
| Material | Reactants | Reducing Agent | Temperature (°C) | Time (h) | Solvent | Ref. |
|---|---|---|---|---|---|---|
| Ru-BBA | BBA POP RuCl3·3H2O | NaBH4 Ethylene glycol | 25 180 | 28 3 | MeOH | [51] |
| Cu-B | DVAC POP CuCl2·2H2O | Hydrazine hydrate | 80 | 6 | NaOH | [52] |
| Pd@Tria | Tria POP Pd(OAc)2 Sodium acetate | NaBH4 | 25 | 26 | MeOH | [53] |
| Mn@DVTA | DVTA POP KMnO4 | Ethylene glycol | 80, 120, 160 | 6 | Water | [55] |
| Mn3O4@POP | Triazine-based POP Mn(OAc)2·4H2O | NH4OH | 160 | 3 | NH3 solution | [54] |
| Pd@OIP | OIP POP Pd(PPh3)4 | K3CO2 | 110 | 48 | DMF 1,4-dioxane | [56] |
| Pd@CPP-C, Pd@CPPY | CPP-C, CPP-Y Pd(OAc)2 | H2/N2 | 200 | 4 | DCM | [57] |
| Pd@CPP1, Pd@CPP2 | CPP1, CPP2 Pd(OAc)2 | H2/N2 NaBH4 | 200 80 | 4 12 | DCM | [58] |
| Pd@CPPF1 Pd@CPPF2 | CPPF1, CPPF2Pd(OAc)2 | - | 60 | 24 | Acetone | [59] |
| SPPOP 1, SPPOP 2, SPPOP 3 | PPOP1, PPOP2, PPOP3 Chlorosulfonic acid | - | 25 | 48 | DCM | [60] |
| SPPTPA-1 | PPTPA Chlorosulfonic acid | - | 25 | 72 | DCM | [61] |
| Pd/Fe3O4-PPTPA-1 | PPTPA PdCl2 FeCl3 Trisodium citrate | Ethylene glycol | 200 | 8 | Ethylene glycol | [62] |
| Pd@POP1, Pd@POP2, Pd@POP3 | POP1, POP2, POP3 Pd(OAc)2 | NaBH4 | 25 | 3 | DCM | [63] |
| Material | Surface Area (m2/g) | Pore Volume (cm3/g) | Ref. |
|---|---|---|---|
| BBA-1 | 607.8 | 0.416 | [51] |
| Ru-A | 551.6 | 0.420 | |
| Ru-B | 523.2 | 0.387 | |
| Ru-C | 543.3 | 0.431 | |
| DVAC | 420 | 1.270 | [52] |
| Cu-B | 260 | 0.703 | |
| TRIA | 620 | 0.510 | [53] |
| Pd@TRIA1 | 573 | 0.460 | |
| Pd@TRIA2 | 459 | 0.320 | |
| Mn@DVTA1 | 546 | 0.548 | [55] |
| Mn@DVTA2 | 656 | 0.459 | |
| Mn@DVTA3 | 948 | 0.548 | |
| TRIA | 620 | 0.510 | [54] |
| Mn3O4@POP | 178 | 0.169 | |
| CPP-C | 156 | 0.190 | [57] |
| Pd@CPPC | 43 | 0.110 | |
| CPP-Y | 408 | 0.250 | |
| Pd@CPPY | 70 | 0.070 | |
| CPP1 | 826 | 0.300 | [58] |
| Pd@CPP1 | 444 | 0.200 | |
| CPP2 | 894 | 0.63 | |
| Pd@CPP2 | 323 | 0.52 | |
| CPP-F1 | 12 | - | [59] |
| CPP-F2 | 28 | - | |
| PPOP-1 | 615.0 | 1.700 | [60] |
| SPPOP-1 | 280.0 | 1.680 | |
| PPTPA-1 | 1437.0 | 0.881 | [61] |
| SPPTPA-1 | 737.0 | 0.338 | |
| POP1 | 358.0 | 0.160 | [63] |
| POP2 | 106.0 | 0.035 | |
| POP3 | 79.0 | 0.030 | |
| Pd@POP1 | 263.0 | - | |
| Pd@POP2 | 72.0 | - | |
| Pd@POP3 | 50.0 | - |
| Material | Substrate | Catalyzed Reactions | Ref. |
|---|---|---|---|
| Pd@CPPF1 and Pd@CPPF2 | Olefins | Hydrogenation | [59] |
| Pd@CPPC and Pd@CPPY | Olefins | Hydrogenation | [57] |
| Pd@CPP1 and Pd@CPP2 | Nitroarene | Hydrogenation | [58] |
| Pd@OIP1 and Pd@OIP2 | Nitroarene | Hydrogenation | [56] |
| Ru-A, Ru-B, Ru-C | Nitroarene | Catalytic transfer hydrogenation | [51] |
| Cu-B | Aryl halides | Ullmann coupling | [52] |
| Pd-MPDVTA | Aryl halides | Heck cross coupling | [69] |
| Mn@DVTA1, Mn@DVTA2, Mn@DVTA1 | Aromatic hydrocarbons, alcohols | Aerobic C-H bond oxidation | [55] |
| Mn3O4@POP | Alkanols | Oxidation | [54] |
| SPPOP1, SPPOP2 and SPPOP3 | Fatty acids, esters, soybean and olive oils | Esterification and transesterification | [60] |
| SPPTPA | Carbohydrates | Dehydration | [61] |
© 2018 by the authors. Licensee MDPI, Basel, Switzerland. This article is an open access article distributed under the terms and conditions of the Creative Commons Attribution (CC BY) license (http://creativecommons.org/licenses/by/4.0/).
Share and Cite
Sebati, W.; Ray, S.S. Advances in Nanostructured Metal-Encapsulated Porous Organic-Polymer Composites for Catalyzed Organic Chemical Synthesis. Catalysts 2018, 8, 492. https://doi.org/10.3390/catal8110492
Sebati W, Ray SS. Advances in Nanostructured Metal-Encapsulated Porous Organic-Polymer Composites for Catalyzed Organic Chemical Synthesis. Catalysts. 2018; 8(11):492. https://doi.org/10.3390/catal8110492
Chicago/Turabian StyleSebati, Wilhemina, and Suprakas Sinha Ray. 2018. "Advances in Nanostructured Metal-Encapsulated Porous Organic-Polymer Composites for Catalyzed Organic Chemical Synthesis" Catalysts 8, no. 11: 492. https://doi.org/10.3390/catal8110492
APA StyleSebati, W., & Ray, S. S. (2018). Advances in Nanostructured Metal-Encapsulated Porous Organic-Polymer Composites for Catalyzed Organic Chemical Synthesis. Catalysts, 8(11), 492. https://doi.org/10.3390/catal8110492

