Abstract
Olefin metathesis is a prevailing method for the construction of organic molecules. Recent advancements in olefin metathesis have focused on stereoselective transformations. Ruthenium olefin metathesis catalysts have had a particularly pronounced impact in the area of stereoselective olefin metathesis. The development of three categories of Z-selective olefin metathesis catalysts has made Z-olefins easily accessible to both laboratory and industrial chemists. Further design enhancements to asymmetric olefin metathesis catalysts have streamlined the construction of complex molecules. The understanding gained in these areas has extended to the employment of ruthenium catalysts to stereoretentive olefin metathesis, the first example of a kinetically E-selective process. These advancements, as well as synthetic applications of the newly developed catalysts, are discussed.
1. Introduction
Organic molecules, by definition, are composed of carbon–carbon bonds; thus, their construction is central to strategies aimed at the formation of useful, complex products. One method that has found wide application in this endeavor is olefin metathesis (OM) [1,2,3,4,5,6,7,8]. Initially viewed as a strange olefin rearrangement reaction [9,10], the utility of OM now ranges from synthetic organic chemistry [11,12] to materials chemistry [13,14]. Studies on OM have further enhanced the understanding of this process, promoting the development of interesting and useful metathesis catalysts. The generally accepted mechanism was originally proposed by Chauvin and Hérisson (Scheme 1) [15]. Upon generation of a metal-carbene, an olefin can chelate to the metal species. [2+2] cycloaddition can occur, forming a metallacyclobutane, which can then cyclorevert, forming a new olefin and metal-carbene species.
Scheme 1.
Generally accepted mechanism for olefin metathesis (OM) proceeding through a [2+2] cycloaddition followed by cycloreversion to generate a new olefin.
Traditional methods of control in OM have relied on the intrinsic reactivity of an olefin, as well as thermodynamic selectivities, but recent developments in OM catalysts have allowed for tailoring of the catalytic scaffold to impart some stereochemical control on the olefinic products. Early stereoselective OM research focused on the desymmetrization of achiral olefins to provide chiral molecules through the alteration of the ligand scaffold [11,16,17]. As understanding for the stereochemical arrangement of the metallacycle intermediate progressed, further variations were made in continual pursuit of one of the unmet challenges in OM: kinetic Z-selectivity [18,19,20]. An incredible amount of effort has been devoted to these quests, which have opened the door to numerous discoveries. This review will present recent advancements (since 2010) in stereoselective OM employing ruthenium catalysts which directly convey stereochemical control on the products for synthetic applications. Also, much progress has recently been made in the use of stereoselective molybdenum and tungsten metathesis catalysts [16,17,21,22,23]; however, this review will focus on ruthenium-based metathesis catalysts.
2. Z-Selective Olefin Metathesis
2.1. General Introduction
Metathesis has had a far reaching impact on organic chemistry, and many exciting developments have occurred. Until recently, one of the unmet challenges in ruthenium-catalyzed OM was a kinetically Z-selective process [18,20]. Because OM is reversible and secondary metathesis readily occurs, the ratio of E- and Z-olefins typically reflects the thermodynamic energy difference between the two isomers, which is about 9:1, E:Z [24]. This presents a synthetic problem, because many natural products and biologically active molecules contain Z-olefins. Furthermore, the activity of these compounds can require high stereopurity to obtain the desired effect. Nevertheless, methods for separating olefin isomers through purification exist, although these are difficult and time consuming. Indirect methods to deliver Z-olefins have been developed, such as alkyne metathesis and subsequent partial reduction of the alkyne [25,26]. There have also been substrate dependent methods for Z-selectivity [27,28,29,30], but a universal method for Z-selective OM remained elusive.
The demands for a kinetically Z-selective OM depend on the ruthenacyclobutane (Figure 1). If the ruthenacyclobutane forms with the substituents in an anti-arrangement, (II), (sterically favored), cycloreversion will generate an E-olefin. However, if the ruthenacyclobutane forms with substituents in a syn-arrangement, (IV), (sterically less favored), cycloreversion furnishes the Z-isomer. Two factors favor the E-isomer over the Z-isomer: kinetics from the ruthenacyclobutane stereochemistry and thermodynamics of the olefin formed. To develop a Z-selective catalyst, olefin coordination to the ruthenium-carbene would need to be limited to occur from one side, and the generated ruthenacycle, following [2+2] cycloaddition, would need to form in a way to generate an all syn-ruthenacyclobutane. Upon cycloreversion, a Z-olefin would be obtained.
Figure 1.
Catalytic cycle for olefin metathesis (OM) illustrating how stereochemical relationships in the ruthenacyclobutane affect the stereochemistry of the formed olefin.
2.2. Cyclometalated Catalysts
2.2.1. Cyclometalated Catalysts Development
Studies from Grubbs and coworkers aimed at generating a Z-selective ruthenium metathesis catalyst originally attempted to employ a large sulfonate or phosphonate in place of one of the chloride ligands on 1 [31]. Unfortunately the levels of Z-selectivity using this strategy were modest, and the catalysts evaluated were of low stability. Computational studies suggested that a pivalate group in place of one of the chlorides would enhance Z-selectivity. When attempts were made to generate 2, it was discovered that C–H activation of an ortho-methyl in N-2,4,6-trimethylphenyl (Mes) occurred to generate a cyclometalated catalyst, 3 (Figure 2). Although cyclometalated ruthenium complexes have been reported as catalyst decomposition products [32,33], 3 performed the cross metathesis (CM) of allylbenzene and cis-1,4-diacetoxybutene in moderate conversion (58%) and the highest observed Z-selectivity for a ruthenium metathesis catalyst (at the time), 41% Z [34]. Following this result, it was proposed that a larger N-heterocyclic carbene (NHC) could enhance the steric demands of the catalyst, favoring an all syn-ruthenacycle, so one of the N-Mes groups was replaced with an N-adamantyl. Surprisingly, C–H activation occurred on the N-adamantyl group (4), which resulted in a more selective OM catalyst (88% Z in the CM of allylbenzene and cis-1,4-diacetoxy-2-butene) [34].
Figure 2.
Surprising C–H activation leading to the initial cyclometalated ruthenium metathesis catalyst.
Computational and experimental studies were carried out to understand the Z-selectivity imparted by these cyclometalated catalysts [35,36]. The reaction is believed to proceed through a side-bound ruthenacyclobutane due to complex steric and electronic effects. Also, the cyclometalation locks the N-aryl group in place. Thus, it is postulated that the N-aryl group resides directly over the forming ruthenacylobutane, forcing all the substituents down in a syn-arrangement (Figure 3, VII). Cycloreversion furnishes a Z-olefin. For formation of the E-product, an anti-ruthenacycle (Figure 3, VIII) must form, which is sterically unfavored due to the N-aryl group blocking the top of the ruthenacycle.
Figure 3.
Depiction of the steric interactions leading to the favored Z-selective metathesis pathway using 4.
Building on these discoveries, the catalytic scaffold was tuned to enhance stability, activity, and selectivity. Initial variations were made to the X-type ligands on the ruthenium center [37]. It was found that monodentate ligands were unreactive. When screening various bidentate X-type ligands, it was observed that replacing the pivalate with a nitrate (Figure 4a) enhanced both the activity and selectivity (58% conversion and 91% Z in the CM of allylbenzene and cis-1,4-diacetoxy-2-butene) [37]. Further efforts to improve the cyclometalated catalyst focused on the free N-aryl group. It was found that replacing the N-Mes group with a more bulky N-2,6-diisopropylphenyl (DIPP) (9) greatly improved the activity and selectivity (Figure 4b) [38]. Using 9, the product of allylbenzene dimerization was obtained in >95% conversion and >95% Z.
Figure 4.
Modifications leading to improvements in cyclometalated catalysts. (a) Discovery of the nitrate ligand enhanced the performance of 6; (b) Employing the N-2,6-diisopropylphenyl (DIPP) group further improved the reactivity and selectivity of the cyclometalated catalysts.
Efforts to improve the reactivity and selectivity of cyclometalated catalysts 6 and 9 have resulted in the preparation of novel cyclometalated complexes with varying carbene moieties including those with chelating N-substituents beyond N-1-adamantyl (Figure 5) [39,40,41]. The metathesis activity of these complexes was evaluated using standard terminal olefin homodimerization reactions of allylbenzene, 4-penten-1-ol, or methyl-10-undecenoate. Complex 10, possessing a 6-membered NHC, was found to be inactive in the test reactions [40]. Complex 11 showed good activity and retained high Z-selectivity in the homodimerization of allylbenzene, but it generated the undesired β-methylstyrene through isomerization of the olefin in the starting material [40]. Catalyst 12 displayed low to poor activity and modest Z-selectivity [40]. Complexes 13 and 14 both displayed good selectivity, but 13 showed superior activity to 14 [41]. Catalyst 15, bearing a four-membered chelate, showed little to no reactivity largely ascribed to catalyst instability [41]. Complex 16, the DIPP variant of 3, showed slightly higher selectivity and stability when compared to 3, which is thought to be a product of the sterically larger N-aryl DIPP [39]. Complex 17, containing a monodentate chloride ligand, was found to be E-selective [39]. It was postulated that the monodentate nature of the chloride ligand allows metathesis to proceed through a bottom-bound ruthenacycle, thus favoring E-products. Complex 18 featuring a nitrite X-type ligand displayed slower initiation rates in comparison to 9 [42]. Z-Selectivity was retained at longer reaction times where the nitrite catalyst could achieve similar conversions.
Figure 5.
Various cyclometalated catalyst scaffolds evaluated.
A detailed discussion of the development of cyclometalated ruthenium OM catalysts can be found in a previous review from Grubbs and coworkers [24]. A more recent review of the synthetic applications of Z-selective cyclometalated ruthenium catalysts has also been revealed [43].
2.2.2. Z-Selective Homodimerization
Initial investigations into the homodimerization of olefins utilized 4 (Table 1, entries 1 and 5) [44]. A wide substrate scope was tolerated such as alcohols, amines, esters, and ethers (selected examples to compare catalysts are found in Table 1). Surprisingly, optimal reaction temperature was determined to be 35 °C, even though the large adamantly group could inhibit catalyst initiation. Furthermore, a high concentration of olefin was required for good reactivity, which could aid in catalyst initiation. These transformations were performed under static vacuum to promote removal of ethylene, driving the reaction forward. Problematic substrates in homodimerization included those with allylic substitution. As improvements were made to the catalyst, 6 and 9 were evaluated in the homodimerization of olefins (Table 1, entries 2–4 and 6–9) [37,38,41]. 9 showed exceptional reactivity and Z-selectivity, reaching 7400 turnover numbers while maintain selectivity >95% Z (Table 1, entry 4).
Table 1.
Homodimerization of terminal olefins using cyclometalated catalysts.
2.2.3. Z-Selective Cross Metathesis
The CM of two olefins is more difficult than the homodimerization because a CM can theoretically provide three different products: homodimerization of each olefin and the CM product. The understanding developed from previous generations of ruthenium metathesis catalysts [45] was applied to the new cyclometalated catalysts. Studies using 4 commenced by probing the reactivity and selectivity with a CM system that included allylbenzene and cis-1,4-diacetoxy-2-butene (Table 2, entry 1) [34]. The desired CM products were isolated in moderate yield, but high levels of Z-selectivity were observed. As modifications were made to the cyclometalated catalysts, new scaffolds were assessed (Table 2, entries 2–4), but 9 proved to be the best catalyst to date [37,38,39,40,42].
Table 2.
Comparison of cyclometalated catalysts using cross metathesis (CM).
As previously mentioned, allylic substitution proved to be a problem in homodimerization and CM. Investigations using 9 met this challenge. Vinyl acetals were shown to be excellent coupling partners with 1-dodecene when employing 9, affording the desired CM products in good yields and excellent selectivities (Table 3, entries 1–2) [46]. In addition to vinyl acetals, excellent selectivities were observed with a cyclic alkane, vinylboronic acid pinacol ester and 2-vinyl oxirane (Table 3, entries 3–5), though the products were afforded in moderate yield. Interestingly, under conditions similar to Table 3, entry 1, 1 affords excellent yields of product highly enriched in the thermodynamic stereoisomer (92% yield, 95% E). Functionalities in the terminal olefin were also tolerated; esters, alcohols, and halides all afforded good yields and excellent selectivities.
Table 3.
CM of allylically substituted olefins using 9.
2.2.4. Z-Selective Macrocyclic Ring-Closing Metathesis
Macrocycles are important moieties in natural products and other valuable molecules [47]. Recently, the fragrance industry has become interested in molecules termed macrocyclic musks, which are less hazardous than some of the traditionally used fragrance compounds [48]. Unfortunately, macrocyclic ring-closing metathesis (mRCM) suffers from some drawbacks not seen in ring-closing metathesis (RCM) of smaller ring systems. Oligomerization can occur more readily, so high dilutions and catalyst loadings are necessary. Moreover, former methods used to form macrocycles via RCM suffered from generating the desired products in unpredictable ratios of Z- and E- isomers. Catalyst 6 was employed in the synthesis of Z-macrocycles through mRCM [49]. A number of different ring sizes were constructed in good yield and good Z-selectivities (Table 4). Some limitations still persist, such as the need for high dilution and static vacuum to promote mRCM. The authors noted that macrocycles containing alcohols and ketones displayed increased Z-degradation over time (as low as 50% Z after 24 h), but no reasoning was provided. As improvements were made to the cyclometalated catalyst scaffold, 9 was also evaluated in various mRCM, delivering exceptional levels of Z-selectivity (Table 4) [38].
Table 4.
Z-Selective macrocyclic ring-closing metathesis (mRCM) employing 6 and 9.
2.2.5. Z-Selective Ethenolysis
The aforementioned cyclometalated ruthenium catalyst, 6, is known to perform kinetically Z-selective homodimeriztions and CM, generating a disubstituted olefin and ethylene gas (Table 1 and Table 2). However, any CM is in equilibrium with the back reaction, ethenolysis, which is the cleavage of an internal olefin to generate two terminal olefins. Furthermore, ethenolysis of internal olefins has received attention as a method to access materials and fuels from renewable sources such as seed oil derivatives [50,51,52,53,54,55]. It was postulated that 6 could be employed in a Z-selective ethenolysis as a method to purify E-olefins. Unfortunately, no protocol to generate E-olefins kinetically was available when employing a ruthenium catalyst [56]. This is an issue when extremely pure quantities of a specific olefin isomer are required, such as in medicinal chemistry.
Cyclometalated complex 6 was found to promote ethenolysis of internal Z-olefins as a method to purify an E/Z-mixture of variously sized and functionalized macrocycles (Table 5) delivering the E-macrocycles in high purity [49]. Additional studies found that linear internal olefinic mixtures could be purified using this technique, providing E-olefins almost exclusively (Table 6) [57]. Complex 6 was found to tolerate a wide variety of functional groups such as free alcohols (Table 6, entry 3), esters (Table 6, entries 2 and 4), amines (Table 6, entry 5), and ketones (Table 6, entry 6). Additionally, low to moderate ethylene pressures were operable.
Table 5.
Z-Selective ethenolysis furnishing E-isomer enriched macrocycles.
Table 6.
Z-Selective ethenolysis of symmetric internal olefins providing E-isomer enrichment.
The study of 6 in ethenolysis also provided a better mechanistic understanding for CM and mRCM. It was observed that the CM of two internal Z-olefins cannot directly occur, but each olefin must first be ethenolyzed to the terminal olefins, which can subsequently participate in metathesis to generate a new internal Z-olefin [57]. E-olefins will not participate in this process; therefore, this is a promising method to separate Z- and E-isomers.
2.2.6. Chemoselectivity in Z-Selective Olefin Metathesis
The ability of 6 to selectively react with terminal or Z-olefins, as was seen in the ethenolysis methodology, offered a platform to perform chemoselective OM on substrates containing multiple olefins. It was reported by Grubbs and coworkers that 9 was able to differentiate between terminal olefins and internal E-olefins with great discretion, providing 1,4-diene CM products in good yields with excellent selectivities (Table 7) [58]. Carbonyl and amine functionality was also tolerated (Table 7, entries 2–7). They also found that internal Z-olefins reacted preferentially to E-olefins and chemoselective RCM formed macrocyclic dienes.
Table 7.
Chemoselective CM with trans-1,4-hexadiene using 9.
Stereoselective coupling of terminal olefins with 3E-1,3-dienes was demonstrated with 9, affording functionally diverse E, Z conjugated dienes in excellent selectivity [59]. The transformation was conducted in neat substrate, and good yields were obtained for substrates bearing alcohols, allylic ethers, and esters while halides, amides, ketones, carbonates and aldehydes afforded moderate yields (Table 8). Nitriles and dienes in conjugation with aromatic rings resulted in poor yields (Table 8, entries 11, 13–14).
Table 8.
Z-Selective CM of 3E-1,3-dienes with terminal olefins.
Homodimerization of 3E-1,3-dienes afforded E,Z,E-trienes in moderate yields. ROCM was conducted with dienes and norbornene or cyclobutene derivatives, providing the ring-opened products in excellent yield (>89%) and Z-selectivity (>20:1).
2.3. Monothiolate Catalyst
Monothiolate Catalyst Development and Applications
Early examples for Z-selective OM catalysts were based on Mo and W modified by monoalkoxide–pyrrolide ligands [60,61,62,63]. These catalytic designs built on the previously used scaffolds of the nonselective Mo and W catalysts. Grubbs and coworkers briefly looked at a catalytic system that employed a similar design to the nonselective ruthenium catalysts by replacing one of the chloride ligands with a sulfonate or phosphonate [31]. Because these catalysts were plagued by modest selectivities and showed low stability, this idea was shelved when the cyclometalated catalysts were discovered. Jensen and coworkers continued to build on the idea that a Z-selective scaffold could be similar to the traditional ruthenium metathesis catalysts. They performed a substitution on 1 to displace one of the chlorides with 2,4,6-triphenylbenzenethiol, forming 22 [64]. This very large X-type ligand can act as a barrier to one side of the catalyst, forcing all the substituents of the metallacycle to reside in a syn-arrangement, generating Z-olefins upon cycloreverison (Figure 6, IX). When assaying 22 in the dimerization of terminal olefins, it was found to deliver high Z-content at low conversion (Table 9). Unfortunately, isomerization problems persisted (Table 9, entry 1).
Figure 6.
Model of 22’s mode of selectivity by shielding one side of the ruthenacycle.
Table 9.
Homodimerization of olefins employing 22 and 24.
Expanding on early catalyst architecture which led to promising Z-selectivities at low conversion, the Jensen group replaced the remaining anionic chloride ligand with an isocyanate, affording 24 (Scheme 2) [65]. Initial head-to-head comparisons with the parent catalyst showed improved Z-selectivity at the expense of reactivity (Table 9, entries 2, 4, and 6). Interestingly, this new catalyst was found to be quite robust and, unlike 22, can be purified using standard chromatographic conditions (silica gel and unpurified solvents). Spurred by this finding, reactions conducted with 24 under air or in the presence of an acid under argon were shown to reduce the amount of isomerization observed in the starting material (chain-walking) and product (Z:E). Additional studies were aimed at understanding the effect of changing the identity of the donor ligand (NHC in 22 and 24). Phosphine supported, or first-generation, analogues of 22 (Figure 7) were prepared, characterized crystallographically, and studied computationally but generally demonstrated lower activities and Z-selectivities [66].
Scheme 2.
Formation of 24.
Figure 7.
Phosphine and bidentate monothiolate catalysts evaluated.
2.4. Dithiolate Catalysts
2.4.1. Catalyst Development
Expanding on their own work in conjunction with Schrock and coworkers developing molybdenum and tungsten Z-selective OM catalysts [60,61,62,63], the Hoveyda group sought to utilize this large versus small ligand scaffold idea in ruthenium-catalyzed Z-selective OM (Figure 8). They believed if a side-bound ruthenacycle was operative, the large axial ligand could force an all syn ruthenacyclobutane (Figure 8a). As has been previously discussed, traditional metathesis catalysts are believed to proceed through a bottom-bound ruthenacyclobutane due to unfavorable steric and electronic factors in the side-bound isomer (Figure 8b). Thus Hoveyda and coworkers considered using a bidentate dianionic species to promote a side-bound ruthenacycle, providing the desired catalytic scaffold to achieve a Z-selective OM (Figure 8c). Replacing the chlorides with catecholate or catechothiolate (29), furnished catalysts with the anticipated ligand arrangement, which performed ring-opening metathesis polymerization (ROMP) and ring-opening cross metathesis (ROCM) with high efficiency and Z-selectivity [29,67,68].
Figure 8.
Design process for 29. (a) Mimicking the design of the Mo and W Z-selective catalyst; (b) Observations showing the bottom-bound ruthenacycle is favored; (c) Employing a bidentate chelate that would induce a side-bound ruthenacyclobutane.
The application of 29 to the more demanding CM of terminal with internal olefins necessitated catalyst improvements for enhanced stability. Catalyst decomposition was proposed to occur via migratory insertion of the propagating carbene into the ruthenium-sulfur bond trans to the NHC [69]. Incorporation of electron-withdrawing halogen substituents into the backbone of the dithiolate moiety theoretically and experimentally resulted in improved catalyst efficiency. Though reactivities and selectivities for catalysts 30–34 were similar (Figure 9), 30 has the practical advantage of being readily prepared from commercially available 3,6-dichloro-1,2-benzenedithiol. Complex 30 was subsequently demonstrated to catalyze the CM of cis-2-butene-1,4-diol with both a variety of terminal olefins bearing a wide range of functionalities and internal cis-olefin bearing substrates, oleyl alcohol and oleic acid.
Figure 9.
Various dithiolate catalysts synthesized by Hoveyda and coworkers.
2.4.2. Z-Selective Ring-Opening Cross Metathesis
Until recently the only ruthenium-catalyzed Z-selective ring-opening/cross metathesis (ROCM) was substrate dependent and relied on complex catalytic design [70]. The dithiolate-based catalyst saw initial success in this relatively uncharted area [29,67,68]. Hoveyda and coworkers provided the first examples of ROCM involving styrenes (Table 10, entries 1 and 2). They continued pursuing the scope of this transformation to expand it to a variety of useful olefins including heteroaryl olefins (Table 10, entries 6 and 7) and dienes (Table 10, entries 8 and 9) as well as employing free alcohols on the norbornene (Table 10). It was noted that allyl ethers performed much poorer than the free alcohols as coupling partners in ROCM. It is proposed that there is a significant trans influence conveyed from the NHC to the axial thiolate, thus some electronic charge builds up on the thiolate. When employing a free alcohol as the coupling partner, hydrogen bonding can occur to dissipate the electron repulsion experienced by placing the oxygen and sulfur in proximity (Figure 10, X). If an allyl ether is used, no hydrogen bonding can occur, so the two heteroatoms experience repulsion and destabilize the ruthenacycle intermediate (Figure 10, XI).
Table 10.
Ring-opening/cross metathesis (ROCM) of norbornene diols with terminal olefins.
Figure 10.
Different reactivity observed between allylic alcohols and allylic ethers believed to be a product of electron density buildup on the sulfur atom trans to the N-heterocyclic carbene (NHC).
2.4.3. Z-Selective Cross Metathesis
Many advances were made in the field of Z-selective CM using ruthenium catalysts, but some unmet challenges existed: CM to afford allyl alcohols and use of sterically hindered olefins. Hoveyda and coworkers were able to employ dithiolate catalyst 30 to address this issue [69]. They found that cis-2-butene-1,4-diol participated in CM with sterically hindered partners (Table 11), but elevated catalyst loadings are required. Additionally, functionality such as aldehydes (Table 11, entry 7) and free carboxylic acids (Table 11, entry 8) partook in CM. Allyl ether was also tolerated (Table 11, entry 4), which is somewhat surprising considering the issue with these substrates in ROCM previously discussed. Modifications were made to the dithiolate catalyst to make the dithiolate less electron rich to exhibit higher stability. Using computational studies, it was proposed that reducing the electron density on the dithiolate by adding the chlorides in 30 would also weaken the trans influence, thus stabilizing the interaction between two heteroatoms seen in Figure 10. Complex 30 also displayed great utility in the CM of disubstituted olefin feedstocks, such as oleic acid, with cis-2-butene-1,4-diol to generate high-value Z-olefin products.
Table 11.
CM scope of cis-1,4-butene diol with terminal olefins.
3. Asymmetric Olefin Metathesis
3.1. General Introduction
Asymmetric catalysis represents an important area in synthetic organic chemistry. Many asymmetric catalysts find their origins in achiral transformations, but through structural manipulations of the catalyst, the transformation is rendered asymmetric. OM is no exception. Early work employed non-selective molybdenum-, ruthenium-, and tungsten-based catalysts to perform metathesis [1,2,4,5]. Recently, catalytic scaffolds have been modified to create a synthetic pathway to asymmetric structures through metathesis [11,16,17]. Although OM promotes the formation of carbon–carbon double bonds, asymmetric structures can be made indirectly through the desymmetrization of meso-compounds.
The first example of asymmetric OM using a ruthenium catalyst employed a chiral NHC ligand [71]. This catalyst performed a desymmetrization of achiral trienes through asymmetric ring-closing metathesis (ARCM), furnishing the cyclic products in high enantioselectivities (Scheme 3). Since this seminal work from Grubbs and coworkers, many studies have commenced with the goal of developing a more selective and efficient ruthenium metathesis catalyst for asymmetric OM [11,17,21]. There have been a variety of catalyst designs to address this issue (Figure 11). Subsequent reports from Grubbs and coworkers continued to use the gearing-effect of the NHC backbone to tailor the steric environment around the ruthenium catalyst (Figure 11a) [72,73]. The Hoveyda group employed C1-symmetric bidentate NHC’s that induced chirality at the ruthenium center to control orientation of olefin complexation (Figure 11b) [74,75,76]. Monodentate C1-symmetric ligands have also been studied in these processes (Figure 11c) [77,78]. The following sections on various asymmetric metatheses will focus on advancements made since 2010.
Scheme 3.
Seminal example of asymmetric OM employing a C2-symmetric, chiral N-heterocyclic carbene (NHC) ligand.
Figure 11.
Various catalyst designs used to achieve asymmetric OM. (a) C2-symmetric NHC ligands employed by Grubbs and coworkers; (b) Bidentate NHC ligands employed by Hoveyda and coworkers; (c) Geared NHC ligands employed by the Collins and Grisi groups.
3.2. Asymmetric Ring-Closing Metathesis
Much progress has been made employing chiral ruthenium catalysts in ARCM to obtain cyclized products in good enantioselectivities and high conversions [71,72,75,77,78]. A persisting challenge in ARCM is the formation of tetrasubstituted olefins. Collins and coworkers revealed ruthenium catalysts bearing a C1-symmetric NHC ligand that performed ARCM to desymmetrize meso-trienes, furnishing tetrasubstituted olefinic products (Table 12) [79]. All the catalysts bearing C1-symmetric NHC ligands were isolated as mixtures of both the syn- and anti-isomers due to difficult separations (syn refers to the alkyl group on the NHC ligand residing on the same side as the ruthenium-carbene). Interestingly, slight separation of 45 could be obtained furnishing a mixture of 1:8 syn:anti (45 anti). Upon assessing the performance of these catalysts in the ARCM to generate a tetrasubstituted olefin moderate to high yields were obtained (Table 12). Unfortunately, modest enantioselectivities were observed, with the highest levels of asymmetry obtained using 45 anti (Table 12, entry 5). Six-membered ring formation was also operable when employing 45 anti.
Table 12.
Asymmetric ring-closing metathesis (ARCM) to form tetrasubstituted olefins using unsymmetrical N-heterocyclic carbene (NHC) ligands.
Many of the catalysts employed in asymmetric metathesis employ a disubstituted NHC backbone, but the Blechert group has explored mono-substituted NHC backbones with two different N-substituents (46–48) [80]. The idea behind this design was to induce significant perturbation on one of the N-substituents to enhance the chiral pocket of the catalyst. Moderate levels of enantioselectivity were observed in the ARCM of trienes (Table 13).
Table 13.
Employment of unsymmetrical NHC ligands in ARCM by Blechert and coworkers.
Ruthenium catalysts employed in ARCM typically use an imidazoline ring system as the NHC-backbone, but Grela and coworkers synthesized a 1,2,4-triazole backbone to assess in ARCM [81]. Unfortunately, the ruthenium catalyst modified by this interesting NHC-scaffold failed to provide any improvement when compared to known catalysts for ARCM and asymmetric ring-opening/cross metathesis (AROCM).
The Grisi group investigated unsymmetrical NHC ligands containing an N-alkyl group as well as phenyl groups on the backbone (49–52) (Table 14) [82,83]. As previously seen, the NHC backbone substitution proved effective in enhancing the stereochemical properties of the catalysts, providing the ring-closed product in moderate enantioselectivity. However, differences in N-substitution on enantioselectivity proved to be negligible. It was also observed that the addition of NaI increased the selectivity of the ARCM (Table 14, entries 2, 4, 6, and 8).
Table 14.
Effects of the N-alkyl groups on the enantioselectivity of ARCM using unsymmetric NHC ligands are negligible.
The cyclometalated Z-selective ruthenium catalysts presented an interesting opportunity for a chiral-at-ruthenium approach to ARCM [84]. Initially, catalyst 6 was resolved so that a single enantiomer of the catalyst could be used (Scheme 4). This was accomplished through ligand exchange of 6 nitrate for iodide, which was further exchanged for a chiral silver-carboxylate to form 54a and 54b. Complex 54b was then separated from the other diastereomer using trituration techniques. Lastly, treatment of ruthenium-carboxylate 54b with sodium nitrate furnished ent-6. When choosing a substrate for ARCM, many methods use substituted olefins because additional substituents can aid in the differentiation of enantiotopic faces of olefins; however, this extra substitution can limit the synthetic utility of the ARCM products. Hence, terminal olefins were chosen as substrates for ent-6. Additionally, 6 is known to be sensitive to steric bulk at the allylic position, so it was postulated that formation of the alkylidene on the allyl fragment would be favored over carbene formation on one of the enantiotopic olefins. Terminal trienes containing silyl ethers and amides were assessed in the ARCM, generating the ring-closed products in modest to high yields and good enantioselectivities (Table 15). It was also found that when forming less stable rings, ethylene removal played an important role in limiting the reversibility of the reaction, thus enhancing the enantioenrichment of the isolated product (Figure 12). As was observed in the formation of seven-membered rings, when performing the transformation in a closed system, a racemic product is isolated, but when allowing the generated ethylene to escape, modest levels of enantioselectivty are detected (Figure 12a). Ethylene-induced reversibility is not an issue when forming a stable ring system such as five-membered rings (Figure 12b). Cyclometalated complexes employing achiral and enantiopure carboxylate ligands (similar to 54b) were also assessed in this transformation but provided inferior results compared to ent-6.
Scheme 4.
Synthesis of ent-6 was carried out through separation of the two diastereomeric salts formed by metalation of (S)-methoxyphenylacetate followed by nitration.
Table 15.
Scope of ent-6 in the ARCM.
Figure 12.
Effects of ethylene removal on asymmetric ring-closing metathesis (ARCM). (a) Effect of ethylene in ARCM to form seven-membered rings; (b) Effect of ethylene in ARCM to form five-membered rings.
3.3. Asymmetric Ring-Opening/Cross Metathesis
Ruthenium-catalyzed AROCM has received much attention over the last few years [73,74,75,76]. It seems this method of asymmetric metathesis is more easily controlled because of the inherent facial selectivity for the norbornene substrates which complex through the exo face of the olefin [85]. Thus, only the propagating species and its orientation must be controlled. AROCM has become a powerful method for the formation of enantioenriched dienes, which contain differentiated olefins poised for chemoselective derivations [11,86].
Blechert and coworkers employed 48 in the AROCM of norbornene derivatives with styrene (Table 16) [80]. It was found that this catalyst provided the desired diene products in good enantioselectivity with a major preference for the E-isomer. They found that cooling the reaction increased enantioselectivity (Table 16, entries 1 and 2). Later the Blechert group investigated a quinoline-based ligand scaffold [87]. This quinoline-based system restricted rotation of one N-aryl group, anchoring it in position, thus enhancing the chiral pocket for the formation of the ruthenacyclobutane, providing the desired diene in good enantioselectivity (up to 99% conversion and 98% ee).
Table 16.
Asymmetric ring-opening/cross metathesis (AROCM) of various substrates with styrene.
Hoveyda and coworkers have investigated bidentate NHC ligands with an aryloxy bridge, which provide a stereogenic-at-ruthenium catalyst for AROCM [70,88]. Interestingly, these catalysts furnish the tetrahydropyran products of AROCM, favoring the Z-isomer of the disubstituted olefin when using an enol ether or thiol ether as the coupling partner (Table 17). It is believed that a Curtin-Hammett scenario is in effect (Figure 13). The exo- (39a) and endo-intermediates (39b) are in equilibrium. If the reaction proceeds through the exo-intermediate (39a), which is more stable due to the ether group pointing away from the chelating group, the resulting ruthenium-carbene, 39a III, is less stable because of steric clash between the generated tetrahydropyranyl carbene and the chelating group (Figure 13a). In addition to creating a more sterically unstable intermediate, the stability imparted by the Fischer carbene is lost to the generation of a C-substituted carbene. If the reaction proceeds through the endo-intermediate (39b), which is the least stable intermediate due to steric interactions between the vinyl ether and the chelating group, the resulting ruthenium-carbene species, 39b III, is more stable because of a lack of steric interaction between the tetrahydropyranyl carbene and the chelating group (Figure 13b). Even though resonance stabilization of the Fischer carbene is lost, a sterically more stable intermediate is formed (39b III), and there is also the driving force from eliminating ring-strain due to the ring-opening event. When using a carbon-substituted coupling partner instead of an enol ether, this Curtin-Hammett effect is not observed [74,75,76,89].
Table 17.
AROCM with enol and thiol ethers using a bidentate ruthenium aryloxide.
Figure 13.
Curtin-Hammett effect of Fischer carbene in asymmetric ring-opening/cross metathesis (AROCM). (a) AROCM proceeding through an exo-intermediate; (b) AROCM proceeding through an endo-intermediate.
Building on the previously discussed work from the Hoveyda group which used heteroatom-substituted terminal olefins as cross partners in AROCM to furnish the Z-isomeric products, Grubbs and coworkers employed ent-6 in the AROCM of norbornene and cyclobutene derivatives with terminal olefins to furnish enantioenriched dienes containing a Z-olefin [84,90,91]. When performing AROCM on norbornene substrates, they found good tolerance for ether containing norbornenes (Table 18, entries 1, 4–5). A rigid norbornene derivative also participated in the AROCM (Table 18, entry 3). Interestingly, it was observed that both the Z- and E-products were formed with identical enantioselectivity. This offered a glimpse into the mechanism (Figure 14a). It was proposed that the enantiodetermining step most likely precedes the olefin geometry-determining step. The enantioselectivity is governed by the approach of the methylidene to the exo-face of the norbornene. Also, the N-Mes group forces all the bulk in the down direction due to steric effects. Conversely, the enantioselectivity of AROCM of cyclobutenes is different for both the Z- and E-isomers. In the case of cyclobutenes, it is believed both the enantio- and diastereodetermining step occur simultaneously (Figure 14b). This could occur if the cyclobutene substrates participate in AROCM with an alkylidene (norbornene only reacts with methylidenes because of steric demands). Since, cyclobutenes are more strained and possess less steric bulk than norbornene species, cyclobutanes are able to react directly with an alkylidene.
Table 18.
Z-Selective AROCM of norbornenes using the ent-6.
Figure 14.
Proposed mechanistic differences for AROCM of norbornenes and cyclobutenes with terminal olefins. (a) Enantiodetermining step occurs before the diastereodetermining step; (b) Enantio- and diastereodetermining events occur in the same step.
Further evaluating the scope of cyclobutenes led to the formation of various 1,2-anti-diols (Table 19), which can be derivatized to useful monosaccharides.
Table 19.
Z-Selective AROCM of cyclobutenes using ent-6.
The Grisi group evaluated the previously discussed unsymmetrical NHC ligands (Table 14) in AROCM of cis-5-norbornene-endo-2,3-dicarboxlic anhydride and styrene [83]. It was found that the catalyst with the more sterically demanding N-cyclohexyl rings (49 and 51) furnished the diene products in higher enantioselectivities than the catalyst with the N-methyl groups (50 and 52). The larger cyclohexyl rings are thought to create a more defined chiral pocket, thus imparting a higher degree of asymmetry on the approach of the carbene species to the norbornene species.
3.4. Asymmetric Cross Metathesis
Asymmetric cross metathesis (ACM) seems to be the most difficult of the asymmetric metathesis transformations due to the requirement of the catalyst to control the stereochemistry of the propagating species and the enantiotopic facial selectivity of the olefin. Since the first example of ACM was published by Grubbs and coworkers [73], progress in the field of ACM has been slower than both ARCM and AROCM. Grubbs and coworkers demonstrated the power of cyclometalated 6 through ACM [84]. By using the previously discussed chiral resolution techniques, they were able to perform ACM with ent-6, employing this catalyst in the desymmetrization of a meso-diene. Complex ent-6 delivered modest levels of enantioselectivity (Scheme 5) and furnished the Z-isomer of the product, which is complementary to previous methods which provide the E-isomer [73].
Scheme 5.
Asymmetric cross metathesis (ACM) of meso-silyl ether using ent-6.
4. Stereoretentive Olefin Metathesis
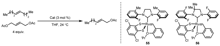
As have been previously discussed, E-olefins are usually the thermodynamically preferred products of OM. Recent studies have aimed at the development of a kinetically Z-selective metathesis catalyst, but unfortunately a catalyst that kinetically selects for E-olefins remained elusive [56]. Methods for generating E-olefins, such as Z-selective ethenolysis, require additional manipulations. One idea for a kinetically E-selective catalyst is to create an environment that promotes stereoretention. A number of tungsten-based OM catalysts have shown stereoretention in the self-metathesis of olefinic hydrocarbons [92,93,94]. Upon further investigation, 30 was found to promote the self-metathesis of both Z- and E-olefins, affording products that retained the stereochemistry of the starting material in high fidelity [95]. It is believed that the large N-aryl groups on the NHC force the substituents at the 2- and 4-positions of the ruthenacyclobutane down (Figure 15). Thus when using Z-olefins, all the substituents on the ruthenacyclobutane are syn, in the down orientation, and deliver Z-olefinic products. When E-olefins are employed, the 2- and 4-positions of the ruthenacyclobutane are still forced down, but there is a space between the large N-aryl groups of the NHC that allow the 3-position to adopt an up orientation (Figure 15). This gives rise to an anti-ruthenacyclobutane, favoring the formation of E-olefins, and delivering a stereoretentive OM of E-olefins. The proposed stereochemical model explaining the observed stereoretention was supported by evaluating catalysts with NHC ligands of varied steric encumbrance. It was discovered that as the size of the ortho-substituents on the N-aryl group began to decrease (iPr > Me > F), the reactivity of the catalyst with E-olefins increased. Thus, smaller ortho-substituents lead to a larger open space for the substituent at the 3-position to point up, syn to the NHC ligand, furnishing E-olefins. This effect is observed in the CM of trans-4-octene and trans-1,4-diacetoxy-2-butene (Table 20). Stereoretention of Z-olefins follows the same stereochemical model invoked in Z-selective OM [67,68,69].
Figure 15.
Stereochemical model illustrating the steric environment governing stereoretentive OM.
Table 20.
Effects of N-aryl ortho-substituents on the reactivity of stereoretentive olefin methathesis (OM).
5. Stereoselective Olefin Metathesis in Synthetic Applications
Recently, great advancements in stereoselective OM have been achieved. As many of the methods are developed through tedious study of the reaction details, the real impact of these new technologies can be viewed through the lens of synthesis. Incredible progress has been made in applying OM to the formation of materials and complex molecules [5,86,96,97]. The synthetic applications in this section will only discuss recent examples of catalysts which directly impart some stereoselectivity in a transformation and their applications to organic synthesis.
Insect pheromones have received much attention as an alternative pest control method to toxic pesticides [98,99,100]. Typically, female insect sex pheromones are dispersed in an attempt to disrupt the mating cycle of a species of insect, thus rendering the match-making process more difficult by overloading the male sensory organs and preventing the males from efficiently finding a mate. Seemingly cruel to the insects targeted, this method is much less toxic to other species, which can be affected by the use of pesticides. Grubbs and coworkers have utilized 6 to aid in the synthesis of nine pheromones from the lepidopteran order of insects [101]. Many of the pheromones from this order of insects contain or can utilize a Z-olefin in the synthesis [102], thus making 6 a good candidate to streamline the synthesis of these desired compounds. Figure 16 shows these pheromones with the bonds formed using 6 highlighted. The number of steps from commercially available material is also provided.
Figure 16.
Lepidopteran insect pheromones synthesized by Grubbs and coworkers. Bonds formed by OM are highlighted.
As previously mentioned, the Grubbs group utilized ent-6 in the AROCM of meso-cyclobutenes to generate 1,2-anti-diols [91]. They further elaborated the benzyl substituted diol to (+)-endo-brevicomin [103,104,105,106,107,108,109,110,111,112,113,114,115,116,117,118,119,120,121,122,123,124,125], a component of the male attractive pheromone system of Dendoctonus frontalis (southern pine beetle) [126]. This was done by oxidizing the AROCM product to the ketone followed by cleavage of the benzyl protecting group to generate the cyclic ketal product (Scheme 6).
Scheme 6.
Total synthesis of (+)-endo-brevicomin using Z-selective asymmetric ring-opening/cross metathesis (AROCM).
Employment of 9 in the synthesis of insect pheromones builds on the methodology that allows Z-selective metathesis on 3E-1,3-dienes [59]. Using this methodology, access to (E,Z)-5,7-dodecadienyl acetate [127], a Malacosoma neustria and Dendrolimus punctatus pheromone, and (Z,E)-9,11-tetradecadienyl acetate [128], a Spodoptera littoralis and Spodoptera litura pheromone, was granted.
As previously mentioned, macrocycles play an important role in both the pharmaceutical and fragrance industries. Grubbs and coworkers employed 6 in mRCM to generate an intermediate (Z-19) in the synthesis of motuporamin C, a cytotoxic marine alkaloid [129,130]. Additionally, 6 was also used to synthesize compounds currently in demand by the fragrance industry (Table 4). As modifications were made to 6 to improve its catalytic activity and selectivity, 9 was also evaluated in these mRCM’s [38].
Mytilipin A is a member of the chlorosulpholipid family isolated from Adriatic mussels [131,132,133]. Its interesting structure has garnered much attention from the synthetic organic community [134,135,136,137,138,139,140]. Recently, the Vanderwal group synthesized this molecule using 6 in a key step to bring two pieces of the molecule together, allowing mytilipin A to be synthesized in a longest linear sequence of only eight steps to the enantioenriched compound [141]. Complex 6 was able to perform OM on a vinyl epoxide, and although the vinyl epoxide product was obtained in poor yield, the selectivity remained exceptional (Scheme 7). Furthermore, this yield is competitive with other catalysts used in previous syntheses of mytilipin A.
Scheme 7.
Employment of Z-selective cross metathesis (CM) to join two fragments in the total synthesis of mytilipin A.
(+)-Neopeltolide [142] is a macrocyclic marine natural product that has shown antiproliferative activity against a variety of human cancer cell lines and has garnered much interest from the synthetic community [143,144,145,146,147,148,149]. Recently, Hoveyda, Schrock, and coworkers reported the shortest synthesis to date with a longest linear sequence of 11 steps while only requiring 28 total steps [150]. They employed four different Z-selective OM steps to construct the molecule, one of them employing ruthenium catalyst 30. This step provided the desired Z-alcohol in moderate yield and high Z-selectivity (Scheme 8). Further elaboration revealed (+)-neopeltolide.
Scheme 8.
Employment of ruthenium-catalyzed Z-selective CM (one of four Z-selective CM used) to join two fragments in the total synthesis of (+)-neopeltolide.
Z-Selective OM was also used in the formal synthesis of the macrolide ivorenolide A [151]. Ivorenolide A is an immunosuppressant isolated from the bark of Khaya ivorensis [152]. Collins and coworkers used 6 in a key step to synthesize one precursor for the Glaser-Hay coupling [153,154] (Scheme 9). They found that reproducibility was improved on larger scale when performing the reaction under vacuum to remove ethylene. It is thought that with increased ethylene availability, the ruthenium-methylidene is more likely to form, thus furnishing a path to secondary metathesis, which could lead to reduced selectivity or homocoupling.
Scheme 9.
Formal synthesis of ivorenalide A utilizing Z-selective CM.
Biological applications are a developing area for OM because of the ability to incorporate amino acids with pendant olefins into peptides and proteins [155,156,157,158,159]. Unfortunately, controlling olefin geometry in amino acid containing products has been difficult. Grubbs and coworkers evaluated Z-selective catalysts 6 and 9 in a variety of olefin metatheses of peptides [160]. The homodimerization of canonical amino acids proceeded with good yields and high Z-selectivity. Amino acids that performed poorly in this transformation were ones that contain a heteroatom, which could chelate the ruthenium. CM is also operable, delivering the products in modest yield but maintaining high Z-selectivity. Representative sequences found in parallel β-sheets also participate in CM. RCM to form “stapled” peptides was also probed (Scheme 10). High conversion and excellent Z-selectivity was observed with one of the most complicated structures assayed using 9. Additional studies to generate macrocyclic peptides via RCM have been completed [161]. Z-selective ethenolysis can also be employed to form macrocyclic peptides with high E-content (Table 21) [161].
Scheme 10.
Employment of 9 in ring-closing metathesis (RCM) to generate “stapled” peptides.
Table 21.
Z-selective ethenolysis to furnish high E macrocyclic peptides.
Assisted tandem catalysis is a method that employs a single catalyst to perform multiple transformations. Ruthenium metathesis catalysts have been utilized in transformations as C–C bond forming agents that can promote additional structural elaborations [162,163,164,165,166,167,168]. CM promoted by 1 followed by dihydroxylation using NaIO4 as an oxidant delivered diol products through ruthenium-catalyzed dihydroxylation. The ruthenium alkylidene functioned as the oxidation catalyst in the presence of NaIO4 [167,168,169,170,171,172]. Dihydroxylation is a stereospecific process, and because the metathesis was under thermodynamic control, the E-olefin was formed in excess leading to syn-diols. Anti-diols, which are important moieties in natural products, were inaccessible with this method since Z-olefins are required. Grubbs and coworkers utilized 9 in this transformation, as 9 is highly Z-selective and promotes the formation of anti-diols [173]. Many stereodefined anti-diols containing various functionalities could be prepared using this method (Table 22). Additionally, this transformation displayed scalability, as the reaction using the benzoate (Table 22, entry 3) could be performed on gram-scale furnishing the product in 66% yield.
Table 22.
Anti-diols synthesized through tandem catalysis.
Tetrahydrofuran (THF) diols are found in a wide variety of natural products [174,175,176,177]. A convenient method for the formation of THF diols is through the oxidative cyclization of 1,5-dienes to form 2,5-disubstituted THF diols. Early work found that permanganate could mediate this process [178], but subsequent work discovered RuO4 [179] and OsO4 [180] could also perform this cyclization in the presence of an oxidant such as NaIO4. It is accepted that this transformation proceeds through sequential [3+2] cycloadditions followed by hydrolysis of the metallo ester to deliver the THF diol [181]. As seen in the dihydroxylation example, olefin geometry controls the stereochemistry of each dioxygenation step, and the cyclization step is stereoselective, typically favoring the cis-2,5-disubstituted THF. Grubbs and coworkers took advantage of this process and combined it with OM to perform an assisted tandem metathesis/oxidative cyclization to generate 2,5-disubstituted THF diols [182]. Although the majority of the work reports utilizing 1, which provides the syn-1,2-dioxygen product, they demonstrate that 9 also participates in this tandem process, furnishing the anti-1,2-dioxygen species (Scheme 11).
Scheme 11.
Formation of tetrahydrofuran (THF) diols through ruthenium-catalyzed tandem Z-selective CM/oxidative cyclization.
6. Conclusions
The discovery of well-defined ruthenium OM catalysts has opened the door for investigations into the structure-activity relationships of the ligand framework. Further pursuits into the design of stereoselective ruthenium metathesis catalysts have led to interesting discoveries and a much enhanced understanding of the role olefin complexation and the ruthenacyclobutane play in the setereoselectivity of OM. These ideas have led to incredible advancements in the synthesis of Z-olefins. Three major catalyst designs rose to meet this challenge: cyclometalated catalysts, monothiolate catalysts, and dithiolate catalysts. These systems have proven extremely powerful in homodimerization, CM, ROCM, and mRCM. Consequently, synthetic and industrial applications of these catalysts have been implemented. Progress has also been achieved in the area of asymmetric OM. Chiral catalysts have been employed to furnish useful synthetic products by way of ARCM, AROCM, and ACM. These transformations have led to the development of new and interesting catalytic designs that complement the understanding gained in other areas of metathesis. Stereoretentive OM represents the first example of a kinetically E-selective OM process. Continued research on these catalysts will assist the development of new and exciting OM catalysts for implementation in the synthetic chemist’s toolbox to aid in the synthesis of valuable chemical products.
Supplementary Files
Supplementary File 1Acknowledgments
R.H.G. acknowledges the National Institutes of Health for support. T.P.M. acknowledges the Arnold and Mabel Beckman Foundation for support. William J. Wolf and Christopher B. Marotta are thanked for helpful discussions.
Author Contributions
R.H.G. conceived the idea for this manuscript. T.P.M. narrowed the topic for this manuscript and contributed to data acquisition and drafting all sections of this manuscript. A.M.J. contributed to data acquisition and drafting portions of the Z-Selective, Stereoretentive, and Synthetic Applications sections. All authors contributed to editing and revising the manuscript.
Conflicts of Interest
The authors declare no conflict of interest.
References
- Fürstner, A. Olefin Metathesis and Beyond. Angew. Chem. 2000, 39, 3012–3043. [Google Scholar] [CrossRef]
- Trnka, T.M.; Grubbs, R.H. The Development of L2X2 RuCHR Olefin Metathesis Catalysts: An Organometallic Success Story. Acc. Chem. Res. 2001, 34, 18–29. [Google Scholar] [CrossRef] [PubMed]
- Schrock, R.R. High Oxidation State Multiple Metal—Carbon Bonds. Chem. Rev. 2002, 102, 145–180. [Google Scholar] [CrossRef] [PubMed]
- Schrock, R.R.; Hoveyda, A.H. Molybdenum and Tungsten Imido Alkylidene Complexes as Efficient Olefin-Metathesis Catalysts. Angew. Chem. Int. Ed. 2003, 42, 4592–4633. [Google Scholar] [CrossRef] [PubMed]
- Handbook of Metathesis; Grubbs, R.H.; O'Leary, D.J. (Eds.) Wiley-VCH: Weinheim, Germany, 2003.
- Vougioukalakis, G.C.; Grubbs, R.H. Ruthenium-Based Heterocyclic Carbene-Coordinated Olefin Metathesis Catalysts. Chem. Rev. 2010, 110, 1746–1787. [Google Scholar] [CrossRef] [PubMed]
- Samojłowicz, C.; Bieniek, M.; Grela, K. Ruthenium-Based Olefin Metathesis Catalysts Bearing N-Heterocyclic Carbene Ligands. Chem. Rev. 2009, 109, 3708–3742. [Google Scholar] [CrossRef] [PubMed]
- Lozano-Vila, A.M.; Monsaert, S.; Bajek, A.; Verpoort, F. Ruthenium-Based Olefin Metathesis Catalysts Derived from Alkynes. Chem. Rev. 2010, 110, 4865–4909. [Google Scholar] [CrossRef] [PubMed]
- William, A.A.; George, M.N. Polymeric Bicyclo-(2, 2, 1)-2-Heptene. U.S. Patent 2,721,189 A, 18 October 1955. [Google Scholar]
- Truett, W.L.; Johnson, D.R.; Robinson, I.M.; Montague, B.A. Polynorbornene by Coördination Polymerization 1. J. Am. Chem. Soc. 1960, 82, 2337–2340. [Google Scholar] [CrossRef]
- Ji, J.-X.; Chan, A.S.C.; Helmchen, G.; Kazmaier, U.; Frster, S.; Ojima, I.; Kaloko, J.J.; Chaterpaul, S.J.; Teng, Y.-H.G.; Lin, C.-F.; et al. Asymmetric Carbon–Carbon Bond-Forming Reactions. In Catalytic Asymmetric Synthesis; Ojima, I., Ed.; John Wiley & Sons, Inc.: Hoboken, NJ, USA, 2010; pp. 437–770. [Google Scholar]
- Grubbs, R.H. Metathesis in Natural Product Synthesis: Strategies, Substrates and Catalysts; Cossy, J., Arseniyadis, S., Meyer, C., Eds.; Wiley-VCH: Weinheim, Germany, 2010. [Google Scholar]
- Ring Opening Metathesis Polymerisation and Related Chemistry: State of the Art and Visions for the New Century: State of the Art and Visions for the New Century, Proceedings of the NATO Advanced Study Institute on Ring Opening Metathesis Polymerisation and Related Chemistry: Polaica-Zdroy, Poland, 3–15 September 2000; Khosravi, E.; Szymańska-Buzar, T.; Advanced Study Institute on Ring Opening Metathesis Polymerisation and Related Chemistry (Eds.) NATO Science Series 2, Mathematics, Physics and Chemistry; Kluwer: Dordrecht, The Netherlands, 2002.
- Schrock, R.R. Synthesis of stereoregular ROMP polymers using molybdenum and tungsten imido alkylidene initiators. Dalton Trans. 2011, 40, 7484–7495. [Google Scholar] [CrossRef] [PubMed]
- Jean-Louis Hérisson, P.; Chauvin, Y. Catalyse de transformation des oléfines par les complexes du tungstène. II. Télomérisation des oléfines cycliques en présence d’oléfines acycliques. Makromol. Chem. 1971, 141, 161–176. (In French) [Google Scholar] [CrossRef]
- Hoveyda, A.H.; Schrock, R.R. Catalytic Asymmetric Olefin Metathesis. Chemistry 2001, 7, 945–950. [Google Scholar] [CrossRef]
- Kress, S.; Blechert, S. Asymmetric catalysts for stereocontrolled olefin metathesis reactions. Chem. Soc. Rev. 2012, 41, 4389–4408. [Google Scholar] [CrossRef] [PubMed]
- Gottumukkala, A.L.; Madduri, A.V.R.; Minnaard, A.J. Z-Selectivity: A Novel Facet of Metathesis. ChemCatChem 2012, 4, 462–467. [Google Scholar] [CrossRef]
- Siau, W.-Y.; Zhang, Y.; Zhao, Y. Stereoselective Synthesis of Z-Alkenes. In Stereoselective Alkene Synthesis; Wang, J., Ed.; Springer: Berlin/Heidelberg, Germany, 2012; Volume 327, pp. 33–58. [Google Scholar]
- Shahane, S.; Bruneau, C.; Fischmeister, C. Z Selectivity: Recent Advances in one of the Current Major Challenges of Olefin Metathesis. ChemCatChem 2013, 5, 3436–3459. [Google Scholar] [CrossRef]
- Hoveyda, A.H. Evolution of Catalytic Stereoselective Olefin Metathesis: From Ancillary Transformation to Purveyor of Stereochemical Identity. J. Org. Chem. 2014, 79, 4763–4792. [Google Scholar] [CrossRef] [PubMed]
- Sen, S.; Schowner, R.; Buchmeiser, M.R. Molybdenum imido alkylidene and tungsten oxo alkylidene N-heterocyclic carbene complexes for olefin metathesis. Monatshefte Für Chem. Chem. Mon. 2015, 146, 1037–1042. [Google Scholar] [CrossRef]
- Schrock, R.R. Metathesis by Molybdenum and Tungsten Catalysts. Chim. Int. J. Chem. 2015, 69, 388–392. [Google Scholar] [CrossRef] [PubMed]
- Marx, V.M.; Rosebrugh, L.E.; Herbert, M.B.; Grubbs, R.H. Cyclometalated Ruthenium Alkylidene Complexes: A Powerful Family of Z-Selective Olefin Metathesis Catalysts. In Ruthenium in Catalysis; Dixneuf, P.H., Bruneau, C., Eds.; Springer: Cham, Germany, 2014; Volume 48, pp. 1–17. [Google Scholar]
- Fürstner, A.; Davies, P.W. Alkyne metathesis. Chem. Commun. 2005, 2307–2320. [Google Scholar] [CrossRef] [PubMed]
- Zhang, W.; Moore, J.S. Alkyne Metathesis: Catalysts and Synthetic Applications. Adv. Synth. Catal. 2007, 349, 93–120. [Google Scholar] [CrossRef]
- Wang, Y.; Jimenez, M.; Hansen, A.S.; Raiber, E.-A.; Schreiber, S.L.; Young, D.W. Control of Olefin Geometry in Macrocyclic Ring-Closing Metathesis Using a Removable Silyl Group. J. Am. Chem. Soc. 2011, 133, 9196–9199. [Google Scholar] [CrossRef] [PubMed]
- Gallenkamp, D.; Fürstner, A. Stereoselective Synthesis of E,Z-Configured 1,3-Dienes by Ring-Closing Metathesis. Application to the Total Synthesis of Lactimidomycin. J. Am. Chem. Soc. 2011, 133, 9232–9235. [Google Scholar] [CrossRef] [PubMed]
- Koh, M.J.; Khan, R.K.M.; Torker, S.; Hoveyda, A.H. Broadly Applicable Z- and Diastereoselective Ring-Opening/Cross-Metathesis Catalyzed by a Dithiolate Ru Complex. Angew. Chem. Int. Ed. 2014, 53, 1968–1972. [Google Scholar] [CrossRef] [PubMed]
- Coe, S.; Pereira, N.; Geden, J.V.; Clarkson, G.J.; Fox, D.J.; Napier, R.M.; Neve, P.; Shipman, M. Ring closing metathesis reactions of α-methylene-β-lactams: Application to the synthesis of a simplified phyllostictine analogue with herbicidal activity. Org. Biomol. Chem. 2015, 13, 7655–7663. [Google Scholar] [CrossRef] [PubMed]
- Teo, P.; Grubbs, R.H. Facile Synthesis of Effcient and Selective Ruthenium Olefin Metathesis Catalysts with Sulfonate and Phosphate Ligands. Organometallics 2010, 29, 6045–6050. [Google Scholar] [CrossRef]
- Trnka, T.M.; Morgan, J.P.; Sanford, M.S.; Wilhelm, T.E.; Scholl, M.; Choi, T.-L.; Ding, S.; Day, M.W.; Grubbs, R.H. Synthesis and Activity of Ruthenium Alkylidene Complexes Coordinated with Phosphine and N-Heterocyclic Carbene Ligands. J. Am. Chem. Soc. 2003, 125, 2546–2558. [Google Scholar] [CrossRef] [PubMed]
- Leitao, E.M.; Dubberley, S.R.; Piers, W.E.; Wu, Q.; McDonald, R. Thermal Decomposition Modes for Four-Coordinate Ruthenium Phosphonium Alkylidene Olefin Metathesis Catalysts. Chem. Eur. J. 2008, 14, 11565–11572. [Google Scholar] [CrossRef] [PubMed]
- Endo, K.; Grubbs, R.H. Chelated Ruthenium Catalysts for Z-Selective Olefin Metathesis. J. Am. Chem. Soc. 2011, 133, 8525–8527. [Google Scholar] [CrossRef] [PubMed]
- Liu, P.; Xu, X.; Dong, X.; Keitz, B.K.; Herbert, M.B.; Grubbs, R.H.; Houk, K.N. Z-Selectivity in Olefin Metathesis with Chelated Ru Catalysts: Computational Studies of Mechanism and Selectivity. J. Am. Chem. Soc. 2012, 134, 1464–1467. [Google Scholar] [CrossRef] [PubMed]
- Dang, Y.; Wang, Z.-X.; Wang, X. A Thorough DFT Study of the Mechanism of Homodimerization of Terminal Olefins through Metathesis with a Chelated Ruthenium Catalyst: From Initiation to Z Selectivity to Regeneration. Organometallics 2012, 31, 7222–7234. [Google Scholar] [CrossRef]
- Keitz, B.K.; Endo, K.; Patel, P.R.; Herbert, M.B.; Grubbs, R.H. Improved Ruthenium Catalysts for Z-Selective Olefin Metathesis. J. Am. Chem. Soc. 2012, 134, 693–699. [Google Scholar] [CrossRef] [PubMed]
- Rosebrugh, L.E.; Herbert, M.B.; Marx, V.M.; Keitz, B.K.; Grubbs, R.H. Highly Active Ruthenium Metathesis Catalysts Exhibiting Unprecedented Activity and Z -Selectivity. J. Am. Chem. Soc. 2013, 135, 1276–1279. [Google Scholar] [CrossRef] [PubMed]
- Endo, K.; Herbert, M.B.; Grubbs, R.H. Investigations into Ruthenium Metathesis Catalysts with Six-Membered Chelating NHC Ligands: Relationship between Catalyst Structure and Stereoselectivity. Organometallics 2013, 32, 5128–5135. [Google Scholar] [CrossRef] [PubMed]
- Bronner, S.M.; Herbert, M.B.; Patel, P.R.; Marx, V.M.; Grubbs, R.H. Ru-based Z-Selective metathesis catalysts with modified cyclometalated carbene ligands. Chem. Sci. 2014, 5, 4091–4098. [Google Scholar] [CrossRef] [PubMed]
- Herbert, M.B.; Suslick, B.A.; Liu, P.; Zou, L.; Dornan, P.K.; Houk, K.N.; Grubbs, R.H. Cyclometalated Z-Selective Ruthenium Metathesis Catalysts with Modified N-Chelating Groups. Organometallics 2015, 34, 2858–2869. [Google Scholar] [CrossRef]
- Pribisko, M.A.; Ahmed, T.S.; Grubbs, R.H. Z-Selective ruthenium metathesis catalysts: Comparison of nitrate and nitrite X-type ligands. Polyhedron 2014, 84, 144–149. [Google Scholar] [CrossRef] [PubMed]
- Herbert, M.B.; Grubbs, R.H. Z-Selective Cross Metathesis with Ruthenium Catalysts: Synthetic Applications and Mechanistic Implications. Angew. Chem. Int. Ed. 2015, 54, 5018–5024. [Google Scholar] [CrossRef] [PubMed]
- Keitz, B.K.; Endo, K.; Herbert, M.B.; Grubbs, R.H. Z-Selective Homodimerization of Terminal Olefins with a Ruthenium Metathesis Catalyst. J. Am. Chem. Soc. 2011, 133, 9686–9688. [Google Scholar] [CrossRef] [PubMed]
- Chatterjee, A.K.; Choi, T.-L.; Sanders, D.P.; Grubbs, R.H. A General Model for Selectivity in Olefin Cross Metathesis. J. Am. Chem. Soc. 2003, 125, 11360–11370. [Google Scholar] [CrossRef] [PubMed]
- Quigley, B.L.; Grubbs, R.H. Ruthenium-catalysed Z-Selective cross metathesis of allylic-substituted olefins. Chem. Sci. 2014, 5, 501–506. [Google Scholar] [CrossRef] [PubMed]
- Yoshizawa, M.; Fujita, M. Modern Supramolecular Chemistry: Strategies for Macrocycle Synthesis; Diederich, F., Stang, P.J., Tykwinski, R.R., Eds.; WILEY-VCH: Weinheim, Germany, 2008. [Google Scholar]
- Ohloff, G.; Pickenhagen, W.; Kraft, P. Scent and Chemistry: The Molecular World of Odors; Verlag Helvetica Chimica Acta: Zürich, Switzerland; Wiley-VCH: Weinheim, Germany, 2012. [Google Scholar]
- Marx, V.M.; Herbert, M.B.; Keitz, B.K.; Grubbs, R.H. Stereoselective Access to Z and E Macrocycles by Ruthenium-Catalyzed Z-Selective Ring-Closing Metathesis and Ethenolysis. J. Am. Chem. Soc. 2013, 135, 94–97. [Google Scholar] [CrossRef] [PubMed]
- Burdett, K.A.; Harris, L.D.; Margl, P.; Maughon, B.R.; Mokhtar-Zadeh, T.; Saucier, P.C.; Wasserman, E.P. Renewable Monomer Feedstocks via Olefin Metathesis: Fundamental Mechanistic Studies of Methyl Oleate Ethenolysis with the First-Generation Grubbs Catalyst. Organometallics 2004, 23, 2027–2047. [Google Scholar] [CrossRef]
- Lysenko, Z.; Maughon, B.R.; Bicerano, J.; Burdett, K.A.; Christenson, C.P.; Cummins, C.H.; Dettloff, M.L.; Maher, J.M.; Schrock, A.K.; Thomas, P.J.; et al. Intergrated Chemical Processes for Industrial Utilization of Seed Oils. U.S. Patent 7,576,227, 18 August 2009. [Google Scholar]
- Olson, E.S. Chain-Selective Synthesis of Fuel Components and Chemical Feedstocks. U.S. Patent 8,420,840, 16 April 2013. [Google Scholar]
- Dubois, J.-L. Carburant Aviation Contenant une Proportion de Composes Organiques Ex-Biomasse. EP 2,406,354 B1, 27 April 2016. [Google Scholar]
- Bidange, J.; Fischmeister, C.; Bruneau, C. Ethenolysis: A Green Catalytic Tool to Cleave Carbon-Carbon Double Bonds. Chem. Eur. J. 2016, 22, 12226–12244. [Google Scholar] [CrossRef] [PubMed]
- Spekreijse, J.; Sanders, J.P.M.; Bitter, J.H.; Scott, E.L. The Future of Ethenolysis in Biobased Chemistry. ChemSusChem 2017, 10, 470–482. [Google Scholar] [CrossRef] [PubMed]
- Nguyen, T.T.; Koh, M.J.; Shen, X.; Romiti, F.; Schrock, R.R.; Hoveyda, A.H. Kinetically controlled E-selective catalytic olefin metathesis. Science 2016, 352, 569–575. [Google Scholar] [CrossRef] [PubMed]
- Miyazaki, H.; Herbert, M.B.; Liu, P.; Dong, X.; Xu, X.; Keitz, B.K.; Ung, T.; Mkrtumyan, G.; Houk, K.N.; Grubbs, R.H. Z-Selective Ethenolysis with a Ruthenium Metathesis Catalyst: Experiment and Theory. J. Am. Chem. Soc. 2013, 135, 5848–5858. [Google Scholar] [CrossRef] [PubMed]
- Cannon, J.S.; Grubbs, R.H. Alkene Chemoselectivity in Ruthenium-Catalyzed Z-Selective Olefin Metathesis. Angew. Chem. Int. Ed. 2013, 52, 9001–9004. [Google Scholar] [CrossRef] [PubMed]
- Luo, S.-X.; Cannon, J.S.; Taylor, B.L.H.; Engle, K.M.; Houk, K.N.; Grubbs, R.H. Z-Selective Cross-Metathesis and Homodimerization of 3 E-1,3-Dienes: Reaction Optimization, Computational Analysis, and Synthetic Applications. J. Am. Chem. Soc. 2016, 138, 14039–14046. [Google Scholar] [CrossRef] [PubMed]
- Ibrahem, I.; Yu, M.; Schrock, R.R.; Hoveyda, A.H. Highly Z- and Enantioselective Ring-Opening/Cross-Metathesis Reactions Catalyzed by Stereogenic-at-Mo Adamantylimido Complexes. J. Am. Chem. Soc. 2009, 131, 3844–3845. [Google Scholar] [CrossRef] [PubMed]
- Flook, M.M.; Jiang, A.J.; Schrock, R.R.; Hoveyda, A.H. Z-Selective Olefin Metathesis Processes Catalyzed by a Molybdenum Hexaisopropylterphenoxide Monopyrrolide Complex. J. Am. Chem. Soc. 2009, 131, 7962–7963. [Google Scholar] [CrossRef] [PubMed]
- Jiang, A.J.; Zhao, Y.; Schrock, R.R.; Hoveyda, A.H. Highly Z-Selective Metathesis Homocoupling of Terminal Olefins. J. Am. Chem. Soc. 2009, 131, 16630–16631. [Google Scholar] [CrossRef] [PubMed]
- Peryshkov, D.V.; Schrock, R.R.; Takase, M.K.; Müller, P.; Hoveyda, A.H. Z-Selective Olefin Metathesis Reactions Promoted by Tungsten Oxo Alkylidene Complexes. J. Am. Chem. Soc. 2011, 133, 20754–20757. [Google Scholar] [CrossRef] [PubMed]
- Occhipinti, G.; Hansen, F.R.; Törnroos, K.W.; Jensen, V.R. Simple and Highly Z-Selective Ruthenium-Based Olefin Metathesis Catalyst. J. Am. Chem. Soc. 2013, 135, 3331–3334. [Google Scholar] [CrossRef] [PubMed]
- Occhipinti, G.; Koudriavtsev, V.; Törnroos, K.W.; Jensen, V.R. Theory-assisted development of a robust and Z-selective olefin metathesis catalyst. Dalton Trans. 2014, 43, 11106–11117. [Google Scholar] [CrossRef] [PubMed]
- Smit, W.; Koudriavtsev, V.; Occhipinti, G.; Törnroos, K.W.; Jensen, V.R. Phosphine-Based Z-Selective Ruthenium Olefin Metathesis Catalysts. Organometallics 2016, 35, 1825–1837. [Google Scholar] [CrossRef]
- Khan, R.K.M.; Torker, S.; Hoveyda, A.H. Readily Accessible and Easily Modifiable Ru-Based Catalysts for Efficient and Z -Selective Ring-Opening Metathesis Polymerization and Ring-Opening/Cross-Metathesis. J. Am. Chem. Soc. 2013, 135, 10258–10261. [Google Scholar] [CrossRef] [PubMed]
- Khan, R.K.M.; Torker, S.; Hoveyda, A.H. Reactivity and Selectivity Differences between Catecholate and Catechothiolate Ru Complexes. Implications Regarding Design of Stereoselective Olefin Metathesis Catalysts. J. Am. Chem. Soc. 2014, 136, 14337–14340. [Google Scholar] [CrossRef] [PubMed]
- Koh, M.J.; Khan, R.K.M.; Torker, S.; Yu, M.; Mikus, M.S.; Hoveyda, A.H. High-value alcohols and higher-oxidation-state compounds by catalytic Z-selective cross-metathesis. Nature 2015, 517, 181–186. [Google Scholar] [CrossRef] [PubMed]
- Khan, R.K.M.; O’Brien, R.V.; Torker, S.; Li, B.; Hoveyda, A.H. Z- and Enantioselective Ring-Opening/Cross-Metathesis with Enol Ethers Catalyzed by Stereogenic-at-Ru Carbenes: Reactivity, Selectivity, and Curtin–Hammett Kinetics. J. Am. Chem. Soc. 2012, 134, 12774–12779. [Google Scholar] [CrossRef] [PubMed]
- Seiders, T.J.; Ward, D.W.; Grubbs, R.H. Enantioselective Ruthenium-Catalyzed Ring-Closing Metathesis. Org. Lett. 2001, 3, 3225–3228. [Google Scholar] [CrossRef] [PubMed]
- Funk, T.W.; Berlin, J.M.; Grubbs, R.H. Highly Active Chiral Ruthenium Catalysts for Asymmetric Ring-Closing Olefin Metathesis. J. Am. Chem. Soc. 2006, 128, 1840–1846. [Google Scholar] [CrossRef] [PubMed]
- Berlin, J.M.; Goldberg, S.D.; Grubbs, R.H. Highly Active Chiral Ruthenium Catalysts for Asymmetric Cross- and Ring-Opening Cross-Metathesis. Angew. Chem. Int. Ed. 2006, 45, 7591–7595. [Google Scholar] [CrossRef] [PubMed]
- Van Veldhuizen, J.J.; Garber, S.B.; Kingsbury, J.S.; Hoveyda, A.H. A Recyclable Chiral Ru Catalyst for Enantioselective Olefin Metathesis. Efficient Catalytic Asymmetric Ring-Opening/Cross Metathesis in Air. J. Am. Chem. Soc. 2002, 124, 4954–4955. [Google Scholar] [CrossRef] [PubMed]
- Van Veldhuizen, J.J.; Gillingham, D.G.; Garber, S.B.; Kataoka, O.; Hoveyda, A.H. Chiral Ru-Based Complexes for Asymmetric Olefin Metathesis: Enhancement of Catalyst Activity through Steric and Electronic Modifications. J. Am. Chem. Soc. 2003, 125, 12502–12508. [Google Scholar] [CrossRef] [PubMed]
- Van Veldhuizen, J.J.; Campbell, J.E.; Giudici, R.E.; Hoveyda, A.H. A Readily Available Chiral Ag-Based N-Heterocyclic Carbene Complex for Use in Efficient and Highly Enantioselective Ru-Catalyzed Olefin Metathesis and Cu-Catalyzed Allylic Alkylation Reactions. J. Am. Chem. Soc. 2005, 127, 6877–6882. [Google Scholar] [CrossRef] [PubMed]
- Fournier, P.-A.; Collins, S.K. A Highly Active Chiral Ruthenium-Based Catalyst for Enantioselective Olefin Metathesis. Organometallics 2007, 26, 2945–2949. [Google Scholar] [CrossRef]
- Grisi, F.; Costabile, C.; Gallo, E.; Mariconda, A.; Tedesco, C.; Longo, P. Ruthenium-Based Complexes Bearing Saturated Chiral N-Heterocyclic Carbene Ligands: Dynamic Behavior and Catalysis. Organometallics 2008, 27, 4649–4656. [Google Scholar] [CrossRef]
- Stenne, B.; Timperio, J.; Savoie, J.; Dudding, T.; Collins, S.K. Desymmetrizations Forming Tetrasubstituted Olefins Using Enantioselective Olefin Metathesis. Org. Lett. 2010, 12, 2032–2035. [Google Scholar] [CrossRef] [PubMed]
- Tiede, S.; Berger, A.; Schlesiger, D.; Rost, D.; Lühl, A.; Blechert, S. Highly Active Chiral Ruthenium-Based Metathesis Catalysts through a Monosubstitution in the N-Heterocyclic Carbene. Angew. Chem. Int. Ed. 2010, 49, 3972–3975. [Google Scholar] [CrossRef] [PubMed]
- Gawin, R.; Pieczykolan, M.; Malińska, M.; Woźniak, K.; Grela, K. Testing New Ruthenium Complexes bearing Chiral 1,2,4-Triazol-5-ylideneLigands as Catalysts for Asymmetric Olefin Metathesis. Synlett 2013, 24, 1250–1254. [Google Scholar]
- Paradiso, V.; Bertolasi, V.; Grisi, F. Novel Olefin Metathesis Ruthenium Catalysts Bearing Backbone-Substituted Unsymmetrical NHC Ligands. Organometallics 2014, 33, 5932–5935. [Google Scholar] [CrossRef]
- Paradiso, V.; Bertolasi, V.; Costabile, C.; Grisi, F. Ruthenium olefin metathesis catalysts featuring unsymmetrical N-heterocyclic carbenes. Dalton Trans 2016, 45, 561–571. [Google Scholar] [CrossRef] [PubMed]
- Hartung, J.; Dornan, P.K.; Grubbs, R.H. Enantioselective Olefin Metathesis with Cyclometalated Ruthenium Complexes. J. Am. Chem. Soc. 2014, 136, 13029–13037. [Google Scholar] [CrossRef] [PubMed]
- Brown, H.C.; Ayyangar, N.R.; Zweifel, G. Hydroboration. XVIII. The Reaction of Diisopinocampheylborane with Representative cis-Acyclic, Cyclic, and Bicyclic Olefins. A Convenient Systhesis of Optically Active Alcohols and Olefins of High Optical Purity and Established Configuration. J. Am. Chem. Soc. 1964, 86, 397–403. [Google Scholar] [CrossRef]
- Werrel, S.; Walker, J.C.L.; Donohoe, T.J. Application of catalytic Z-Selective olefin metathesis in natural product synthesis. Tetrahedron Lett. 2015, 56, 5261–5268. [Google Scholar] [CrossRef]
- Kannenberg, A.; Rost, D.; Eibauer, S.; Tiede, S.; Blechert, S. A Novel Ligand for the Enantioselective Ruthenium-Catalyzed Olefin Metathesis. Angew. Chem. Int. Ed. 2011, 50, 3299–3302. [Google Scholar] [CrossRef] [PubMed]
- Khan, R.K.M.; Zhugralin, A.R.; Torker, S.; O’Brien, R.V.; Lombardi, P.J.; Hoveyda, A.H. Synthesis, Isolation, Characterization, and Reactivity of High-Energy Stereogenic-at-Ru Carbenes: Stereochemical Inversion through Olefin Metathesis and Other Pathways. J. Am. Chem. Soc. 2012, 134, 12438–12441. [Google Scholar] [CrossRef] [PubMed]
- Gillingham, D.G.; Kataoka, O.; Garber, S.B.; Hoveyda, A.H. Efficient Enantioselective Synthesis of Functionalized Tetrahydropyrans by Ru-Catalyzed Asymmetric Ring-Opening Metathesis/Cross-Metathesis (AROM/CM). J. Am. Chem. Soc. 2004, 126, 12288–12290. [Google Scholar] [CrossRef] [PubMed]
- Hartung, J.; Grubbs, R.H. Highly Z-Selective and Enantioselective Ring-Opening/Cross-Metathesis Catalyzed by a Resolved Stereogenic-at-Ru Complex. J. Am. Chem. Soc. 2013, 135, 10183–10185. [Google Scholar] [CrossRef] [PubMed]
- Hartung, J.; Grubbs, R.H. Catalytic, Enantioselective Synthesis of 1,2-anti-Diols by Asymmetric Ring-Opening/Cross-Metathesis. Angew. Chem. Int. Ed. 2014, 53, 3885–3888. [Google Scholar] [CrossRef] [PubMed]
- Bilhou, J.L.; Basset, J. Metathese des olefines avec les precurseurs zerovalents du tungstene (W(CO)5L, L = CO, PPh3, P(OPh)3, P(n-C4H9)3) associes a C2H5AlCl2 et O2. Une etude infrarouge. J. Organomet. Chem. 1977, 132, 395–407. [Google Scholar] [CrossRef]
- Katz, T.J.; Hersh, W.H. The stereochemistry of the olefin metathesis reaction. Tetrahedron Lett. 1977, 18, 585–588. [Google Scholar] [CrossRef]
- Couturier, J.-L.; Paillet, C.; Leconte, M.; Basset, J.-M.; Weiss, K. A Cyclometalated Aryloxy(chloro)neopentylidenetungsten Complex: A Highly Active and Stereoselective Catalyst for the Metathesis of cis- and trans-2-Pentene, Norbornene, 1-Methyl-norbornene, and Ethyl Oleate. Angew. Chem. Int. Ed. Engl. 1992, 31, 628–631. [Google Scholar] [CrossRef]
- Johns, A.M.; Ahmed, T.S.; Jackson, B.W.; Grubbs, R.H.; Pederson, R.L. High Trans Kinetic Selectivity in Ruthenium-Based Olefin Cross-Metathesis through Stereoretention. Org. Lett. 2016, 18, 772–775. [Google Scholar] [CrossRef] [PubMed]
- Olefin Metathesis: Theory and Practice; Grela, K. (Ed.) Wiley: Hoboken, NJ, USA, 2014.
- Pederson, R.L.; Fellows, I.M.; Ung, T.A.; Ishihara, H.; Hajela, S.P. Applications of Olefin Cross Metathesis to Commercial Products. Adv. Synth. Catal. 2002, 344, 728–735. [Google Scholar] [CrossRef]
- Henrick, C.A. The synthesis of insect sex phermones. Tetrahedron 1977, 33, 1845–1889. [Google Scholar] [CrossRef]
- Ortiz, A.; Quesada, A.; Sanchez, A. Potential for Use of Synthetic Sex Pheromone for Mating Disruption of the Olive Pyralid Moth, Euzophera pinguis. J. Chem. Ecol. 2004, 30, 991–1000. [Google Scholar] [CrossRef] [PubMed]
- Howse, P.E.; Stevens, I.D.R.; Jones, O.T. Insect Pheromones and their Use in Pest Management; Springer: Dordrecht, Netherlands, 1998. [Google Scholar]
- Herbert, M.B.; Marx, V.M.; Pederson, R.L.; Grubbs, R.H. Concise Syntheses of Insect Pheromones Using Z-Selective Cross Metathesis. Angew. Chem. Int. Ed. 2013, 52, 310–314. [Google Scholar] [CrossRef] [PubMed]
- Ando, T.; Inomata, S.; Yamamoto, M. Lepidopteran Sex Pheromones. In The Chemistry of Pheromones and Other Semiochemicals I; Schulz, S., Ed.; Topics in Current Chemistry; Springer: Berlin/Heidelberg, Germany, 2004; pp. 51–96. [Google Scholar]
- Bernardi, R.; Fuganti, C.; Grasselli, P. On the steric course of addition of Grignard reagents onto α,β-dialkoxy and chiral aldehydes. Synthesis of (+) and (−)-exo and endo-brevicomin. Tetrahedron Lett. 1981, 22, 4021–4024. [Google Scholar] [CrossRef]
- Mori, K.; Seu, Y.-B. Synthesis of both the enantiomers of endo-brevicomin, the aggregation pheromone of Dryocoetes autographus. Tetrahedron 1985, 41, 3429–3431. [Google Scholar] [CrossRef]
- Sato, F.; Takahashi, O.; Kato, T.; Kobayashi, Y. Stereocontrolled synthesis of four possible stereoisomers of vicinal diol derivatives via relative 1,2-asymmetric induction. Preparation of optically active exo- and endo-brevicomin. J. Chem. Soc. Chem. Commun. 1985, 22, 1638–1641. [Google Scholar] [CrossRef]
- Hatakeyama, S.; Sakurai, K.; Takano, S. Preparation of (2R,3S)-1,2-epoxypent-4-en-3-ol, a new chiral building block for the synthesis of (+)-endo- and (–)-exo-brevicomin. J. Chem. Soc. Chem. Commun. 1985, 1759–1761. [Google Scholar] [CrossRef]
- Yusufoglu, A.; Antons, S.; Scharf, H.D. Enantioselective synthesis and absolute configuration of both enantiomers of endo-brevicomin. J. Org. Chem. 1986, 51, 3485–3487. [Google Scholar] [CrossRef]
- Mulzer, J.; Angermann, A.; Münch, W. Enantio- and Diastereocontrolled Synthesis of Chiral 1,2-Diol Derivatives from (R)-2,3-Di-O-isopropylideneglyceraldehyde:endo- and exo-brevicomin. Liebigs Ann. Chem. 1986, 1986, 825–838. [Google Scholar] [CrossRef]
- Oehlschlager, A.C.; Johnston, B.D. Synthesis of the enantiomers of endo-brevicomin. J. Org. Chem. 1987, 52, 940–943. [Google Scholar] [CrossRef]
- Redlich, H.; Bruns, W.; Francke, W.; Schurig, V.; Payne, T.L.; Vité, J.P. Chiral building units from carbohydrates-XIII. Tetrahedron 1987, 43, 2029–2034. [Google Scholar] [CrossRef]
- Chong, J.M.; Mar, E.K. Enantioselective syntheses of endo- and exo-brevicomin via α-alkoxystannanes. Tetrahedron 1989, 45, 7709–7716. [Google Scholar] [CrossRef]
- Noda, Y.; Kikuchi, M. A Short Synthesis of (+)-endo-Brevicomin. Chem. Lett. 1989, 18, 1755–1756. [Google Scholar] [CrossRef]
- Ramaswamy, S.; Oehlschlager, A.C. An example of kinetic resolution by bakers’ yeast: Synthesis of enantiomers of endo-brevicomin from the same precursor. J. Org. Chem. 1989, 54, 255–257. [Google Scholar] [CrossRef]
- Matsumoto, K.; Suzuki, N.; Ohta, H. Synthesis of (+)-endo- and (+)-exo-brevicomin viaEnzyme-Mediated Hydrolysis of an Enol Ester. Tetrahedron Lett. 1990, 31, 7163–7166. [Google Scholar] [CrossRef]
- Pedrocchi-Fantoni, G.; Servi, S. Hydrolytic and reductive action of fermenting yeast on a keto acetate: Synthesis of (+)-endo-brevicomin. J. Chem. Soc. [Perkin 1] 1991, 1764–1765. [Google Scholar] [CrossRef]
- Cere, V.; Mazzini, C.; Paolucci, C.; Pollicino, S.; Fava, A. Dihyro- and tetrahydrofuran building blocks from 1,4:3,6-dianhydromannitol. 1. Synthesis of (1S,5R,7R)-endo-(-)- and (1S,5R,7S)-(-)-exo-brevicomin and (R)-(+)-dodecanolide. J. Org. Chem. 1993, 58, 4567–4571. [Google Scholar] [CrossRef]
- Soderquist, J.A.; Ranel, A.M. (+)-exo-brevicomin via an organometallic boulevard. Tetrahedron Lett. 1993, 34, 5031–5034. [Google Scholar] [CrossRef]
- Gypser, A.; Flasche, M.; Scharf, H.-D. D-Erythronolactone and 2,3-O-Isopropylidene-l-erythrose as C4 Building Units: An Efficient Synthesis of both Enantiomers ofendo-Brevicomin and its 7-Vinyl Analogues. Liebigs Ann. Chem. 1994, 1994, 775–780. [Google Scholar] [CrossRef]
- Kim, M.-J.; Choi, G.-B.; Kim, J.-Y.; Kim, H.-J. Lipase-catalyzed transesterification as a practical route to homochiral acyclic anti-1,2-diols. A new synthesis of (+)- and (−)-endo-brevicomin. Tetrahedron Lett. 1995, 36, 6253–6256. [Google Scholar] [CrossRef]
- Vettel, S.; Lutz, C.; Knochel, P. Enantioselective Synthesis of Protected α-Hydroxy Aldehydes and Related 1,2-Amino Alcohols. Applications to the Synthesis of (-)-exo- and (-)-endo-Brevicomin. Synlett 1996, 1996, 731–733. [Google Scholar] [CrossRef]
- Burke, S.D.; Müller, N.; Beaudry, C.M. Desymmetrization by Ring-Closing Metathesis Leading to 6,8-Dioxabicyclo[3.2.1]octanes: A New Route for the Synthesis of (+)-exo- and endo-Brevicomin. Org. Lett. 1999, 1, 1827–1829. [Google Scholar] [CrossRef] [PubMed]
- Gallos, J.K.; Kyradjoglou, L.C.; Koftis, T.V. A Concise Synthesis of (-)-endo-Brevicomin. Heterocycles 2001, 55, 781–784. [Google Scholar] [CrossRef]
- Kim, S.-G.; Park, T.-H.; Kim, B.J. Efficient total synthesis of (+)-exo-, (−)-endo-brevicomin and their derivatives via asymmetric organocatalysis and olefin cross-metathesis. Tetrahedron Lett. 2006, 47, 6369–6372. [Google Scholar] [CrossRef]
- Lee, H.-Y.; Jung, Y.; Moon, H. A Facile Total Synthesis of (-)-Frontalin, (-)-endo-Brevicomin and (-)-exo-Brevicomin through PtCl4 Catalyzed Hydroalkoxylation Reaction. Bull. Korean Chem. Soc. 2009, 30, 771–772. [Google Scholar]
- Singh, S.; Guiry, P.J. Microwave-Assisted Synthesis of Substituted Tetrahydropyrans Catalyzed by ZrCl4 and Its Application in the Asymmetric Synthesis of exo- and endo-brevicomin. J. Org. Chem. 2009, 74, 5758–5761. [Google Scholar] [CrossRef] [PubMed]
- Silverstein, R.M.; Brownlee, R.G.; Bellas, T.E.; Wood, D.L.; Browne, L.E. Brevicomin: Principal Sex Attractant in the Frass of the Female Western Pine Beetle. Science 1968, 159, 889–891. [Google Scholar] [CrossRef] [PubMed]
- Kukovinets, O.S.; Kasradze, V.G.; Salimova, E.V.; Odinokov, V.N.; Galin, F.Z.; Fedorov, P.I. Insect pheromones and their analogs LIX. A new method for the synthesis of components of the sex pheromones of insects of the genusMalacosoma. Chem. Nat. Compd. 1999, 35, 358–360. [Google Scholar] [CrossRef]
- Bjoerkling, F.; Norin, T.; Unelius, C.R.; Miller, R.B. A stereospecific synthesis of all four isomers of 9,11-tetradecadienyl acetate using a general method applicable to 1,3-dienes. J. Org. Chem. 1987, 52, 292–294. [Google Scholar] [CrossRef]
- Williams, D.E.; Lassota, P.; Andersen, R.J. Motuporamines A−C, Cytotoxic Alkaloids Isolated from the Marine Sponge Xestospongia exigua (Kirkpatrick). J. Org. Chem. 1998, 63, 4838–4841. [Google Scholar] [CrossRef]
- Goldring, W.P.D.; Weiler, L. Cytotoxic Alkaloids Motuporamines A−C: Synthesis and Structural Verification. Org. Lett. 1999, 1, 1471–1473. [Google Scholar] [CrossRef] [PubMed]
- Ciminiello, P.; Fattorusso, E.; Forino, M.; Di Rosa, M.; Ianaro, A.; Poletti, R. Structural Elucidation of a New Cytotoxin Isolated from Mussels of the Adriatic Sea †. J. Org. Chem. 2001, 66, 578–582. [Google Scholar] [CrossRef] [PubMed]
- Ciminiello, P.; Dell’Aversano, C.; Fattorusso, E.; Forino, M.; Magno, S.; Di Rosa, M.; Ianaro, A.; Poletti, R. Structure and Stereochemistry of a New Cytotoxic Polychlorinated Sulfolipid from Adriatic Shellfish. J. Am. Chem. Soc. 2002, 124, 13114–13120. [Google Scholar] [CrossRef] [PubMed]
- Ciminiello, P.; Dell’Aversano, C.; Fattorusso, E.; Forino, M.; Magno, S.; Di Meglio, P.; Ianaro, A.; Poletti, R. A new cytotoxic polychlorinated sulfolipid from contaminated Adriatic mussels. Tetrahedron 2004, 60, 7093–7098. [Google Scholar] [CrossRef]
- Nilewski, C.; Geisser, R.W.; Carreira, E.M. Total synthesis of a chlorosulpholipid cytotoxin associated with seafood poisoning. Nature 2009, 457, 573–576. [Google Scholar] [CrossRef] [PubMed]
- Bedke, D.K.; Shibuya, G.M.; Pereira, A.; Gerwick, W.H.; Haines, T.H.; Vanderwal, C.D. Relative Stereochemistry Determination and Synthesis of the Major Chlorosulfolipid from Ochromonas danica. J. Am. Chem. Soc. 2009, 131, 7570–7572. [Google Scholar] [CrossRef] [PubMed]
- Bedke, D.K.; Shibuya, G.M.; Pereira, A.R.; Gerwick, W.H.; Vanderwal, C.D. A Concise Enantioselective Synthesis of the Chlorosulfolipid Malhamensilipin A. J. Am. Chem. Soc. 2010, 132, 2542–2543. [Google Scholar] [CrossRef] [PubMed]
- Shibuya, G.M.; Kanady, J.S.; Vanderwal, C.D. Stereoselective Dichlorination of Allylic Alcohol Derivatives to Access Key Stereochemical Arrays of the Chlorosulfolipids. J. Am. Chem. Soc. 2008, 130, 12514–12518. [Google Scholar] [CrossRef] [PubMed]
- Yoshimitsu, T.; Fukumoto, N.; Tanaka, T. Enantiocontrolled Synthesis of Polychlorinated Hydrocarbon Motifs: A Nucleophilic Multiple Chlorination Process Revisited. J. Org. Chem. 2009, 74, 696–702. [Google Scholar] [CrossRef] [PubMed]
- Yoshimitsu, T.; Fukumoto, N.; Nakatani, R.; Kojima, N.; Tanaka, T. Asymmetric Total Synthesis of (+)-Hexachlorosulfolipid, a Cytotoxin Isolated from Adriatic Mussels. J. Org. Chem. 2010, 75, 5425–5437. [Google Scholar] [CrossRef] [PubMed]
- Umezawa, T.; Shibata, M.; Kaneko, K.; Okino, T.; Matsuda, F. Asymmetric Total Synthesis of Danicalipin A and Evaluation of Biological Activity. Org. Lett. 2011, 13, 904–907. [Google Scholar] [CrossRef] [PubMed]
- Chung, W.; Carlson, J.S.; Bedke, D.K.; Vanderwal, C.D. A Synthesis of the Chlorosulfolipid Mytilipin A via a Longest Linear Sequence of Seven Steps. Angew. Chem. Int. Ed. 2013, 52, 10052–10055. [Google Scholar] [CrossRef] [PubMed]
- Wright, A.E.; Botelho, J.C.; Guzmán, E.; Harmody, D.; Linley, P.; McCarthy, P.J.; Pitts, T.P.; Pomponi, S.A.; Reed, J.K. Neopeltolide, a Macrolide from a Lithistid Sponge of the Family Neopeltidae⊥. J. Nat. Prod. 2007, 70, 412–416. [Google Scholar] [CrossRef] [PubMed]
- Youngsaye, W.; Lowe, J.T.; Pohlki, F.; Ralifo, P.; Panek, J.S. Total Synthesis and Stereochemical Reassignment of (+)-Neopeltolide. Angew. Chem. Int. Ed. 2007, 46, 9211–9214. [Google Scholar] [CrossRef] [PubMed]
- Custar, D.W.; Zabawa, T.P.; Scheidt, K.A. Total Synthesis and Structural Revision of the Marine Macrolide Neopeltolide. J. Am. Chem. Soc. 2008, 130, 804–805. [Google Scholar] [CrossRef] [PubMed]
- Woo, S.K.; Kwon, M.S.; Lee, E. Total Synthesis of (+)-Neopeltolide by a Prins Macrocyclization. Angew. Chem. Int. Ed. 2008, 47, 3242–3244. [Google Scholar] [CrossRef] [PubMed]
- Fuwa, H.; Naito, S.; Goto, T.; Sasaki, M. Total Synthesis of (+)-Neopeltolide. Angew. Chem. Int. Ed. 2008, 47, 4737–4739. [Google Scholar] [CrossRef] [PubMed]
- Paterson, I.; Miller, N.A. Total synthesis of the marine macrolide (+)-neopeltolide. Chem. Commun. 2008, 4708–4710. [Google Scholar] [CrossRef] [PubMed]
- Guinchard, X.; Roulland, E. Total Synthesis of the Antiproliferative Macrolide (+)-Neopeltolide. Org. Lett. 2009, 11, 4700–4703. [Google Scholar] [CrossRef] [PubMed]
- Fuwa, H.; Saito, A.; Sasaki, M. A Concise Total Synthesis of (+)-Neopeltolide. Angew. Chem. Int. Ed. 2010, 49, 3041–3044. [Google Scholar] [CrossRef] [PubMed]
- Yu, M.; Schrock, R.R.; Hoveyda, A.H. Catalyst-Controlled Stereoselective Olefin Metathesis as a Principal Strategy in Multistep Synthesis Design: A Concise Route to (+)-Neopeltolide. Angew. Chem. Int. Ed. 2015, 54, 215–220. [Google Scholar] [CrossRef] [PubMed]
- De Léséleuc, M.; Godin, É.; Parisien-Collette, S.; Lévesque, A.; Collins, S.K. Catalytic Macrocyclization Strategies Using Continuous Flow: Formal Total Synthesis of Ivorenolide A. J. Org. Chem. 2016, 81, 6750–6756. [Google Scholar] [CrossRef] [PubMed]
- Zhang, B.; Wang, Y.; Yang, S.-P.; Zhou, Y.; Wu, W.-B.; Tang, W.; Zuo, J.-P.; Li, Y.; Yue, J.-M. Ivorenolide A, an Unprecedented Immunosuppressive Macrolide from Khaya ivorensis: Structural Elucidation and Bioinspired Total Synthesis. J. Am. Chem. Soc. 2012, 134, 20605–20608. [Google Scholar] [CrossRef]
- Glaser, C. Beiträge zur Kenntniss des Acetenylbenzols. Berichte Dtsch. Chem. Ges. 1869, 2, 422–424. [Google Scholar] [CrossRef]
- Hay, A.S. Oxidative Coupling of Acetylenes. II 1. J. Org. Chem. 1962, 27, 3320–3321. [Google Scholar] [CrossRef]
- Song, W.; Wang, Y.; Qu, J.; Lin, Q. Selective Functionalization of a Genetically Encoded Alkene-Containing Protein via “Photoclick Chemistry” in Bacterial Cells. J. Am. Chem. Soc. 2008, 130, 9654–9655. [Google Scholar] [CrossRef] [PubMed]
- Van Hest, J.C.M.; Kiick, K.L.; Tirrell, D.A. Efficient Incorporation of Unsaturated Methionine Analogues into Proteins in Vivo. J. Am. Chem. Soc. 2000, 122, 1282–1288. [Google Scholar] [CrossRef]
- Bernardes, G.J.L.; Chalker, J.M.; Errey, J.C.; Davis, B.G. Facile Conversion of Cysteine and Alkyl Cysteines to Dehydroalanine on Protein Surfaces: Versatile and Switchable Access to Functionalized Proteins. J. Am. Chem. Soc. 2008, 130, 5052–5053. [Google Scholar] [CrossRef] [PubMed]
- Lin, Y.A.; Boutureira, O.; Lercher, L.; Bhushan, B.; Paton, R.S.; Davis, B.G. Rapid Cross-Metathesis for Reversible Protein Modifications via Chemical Access to Se -Allyl-selenocysteine in Proteins. J. Am. Chem. Soc. 2013, 135, 12156–12159. [Google Scholar] [CrossRef] [PubMed]
- Zhu, Y.; van der Donk, W.A. Convergent Synthesis of Peptide Conjugates Using Dehydroalanines for Chemoselective Ligations. Org. Lett. 2001, 3, 1189–1192. [Google Scholar] [CrossRef] [PubMed]
- Mangold, S.L.; O’Leary, D.J.; Grubbs, R.H. Z-Selective Olefin Metathesis on Peptides: Investigation of Side-Chain Influence, Preorganization, and Guidelines in Substrate Selection. J. Am. Chem. Soc. 2014, 136, 12469–12478. [Google Scholar] [CrossRef] [PubMed]
- Mangold, S.L.; Grubbs, R.H. Stereoselective synthesis of macrocyclic peptides via a dual olefin metathesis and ethenolysis approach. Chem Sci 2015, 6, 4561–4569. [Google Scholar] [CrossRef] [PubMed]
- Louie, J.; Bielawski, C.W.; Grubbs, R.H. Tandem Catalysis: The Sequential Mediation of Olefin Metathesis, Hydrogenation, and Hydrogen Transfer with Single-Component Ru Complexes. J. Am. Chem. Soc. 2001, 123, 11312–11313. [Google Scholar] [CrossRef] [PubMed]
- Camm, K.D.; Martinez Castro, N.; Liu, Y.; Czechura, P.; Snelgrove, J.L.; Fogg, D.E. Tandem ROMP–Hydrogenation with a Third-Generation Grubbs Catalyst. J. Am. Chem. Soc. 2007, 129, 4168–4169. [Google Scholar] [CrossRef]
- Sutton, A.E.; Seigal, B.A.; Finnegan, D.F.; Snapper, M.L. New Tandem Catalysis: Preparation of Cyclic Enol Ethers through a Ruthenium-Catalyzed Ring-Closing Metathesis−Olefin Isomerization Sequence. J. Am. Chem. Soc. 2002, 124, 13390–13391. [Google Scholar] [CrossRef] [PubMed]
- Seigal, B.A.; Fajardo, C.; Snapper, M.L. Tandem Catalysis: Generating Multiple Contiguous Carbon−Carbon Bonds through a Ruthenium-Catalyzed Ring-Closing Metathesis/Kharasch Addition. J. Am. Chem. Soc. 2005, 127, 16329–16332. [Google Scholar] [CrossRef] [PubMed]
- Kim, B.G.; Snapper, M.L. Preparation of Alkenyl Cyclopropanes through a Ruthenium-Catalyzed Tandem Enyne Metathesis−Cyclopropanation Sequence. J. Am. Chem. Soc. 2006, 128, 52–53. [Google Scholar] [CrossRef] [PubMed]
- Schmidt, B.; Krehl, S. A single precatalyst tandem RCM–allylic oxidation sequence. Chem. Commun. 2011, 47, 5879–5881. [Google Scholar] [CrossRef] [PubMed]
- Schmidt, B.; Krehl, S.; Hauke, S. Assisted Tandem Catalytic Cross Metathesis–Oxidation: In One Flask from Styrenes to 1,2-Diketones and Further to Quinoxalines. J. Org. Chem. 2013, 78, 5427–5435. [Google Scholar] [CrossRef] [PubMed]
- Beligny, S.; Eibauer, S.; Maechling, S.; Blechert, S. Sequential Catalysis: A Metathesis/Dihydroxylation Sequence. Angew. Chem. Int. Ed. 2006, 45, 1900–1903. [Google Scholar] [CrossRef] [PubMed]
- Scholte, A.A.; An, M.H.; Snapper, M.L. Ruthenium-Catalyzed Tandem Olefin Metathesis−Oxidations. Org. Lett. 2006, 8, 4759–4762. [Google Scholar] [CrossRef] [PubMed]
- Neisius, N.M.; Plietker, B. Diastereoselective Ru-Catalyzed Cross-Metathesis−Dihydroxylation Sequence. An Efficient Approach toward Enantiomerically Enriched syn-Diols. J. Org. Chem. 2008, 73, 3218–3227. [Google Scholar] [CrossRef] [PubMed]
- Kato, H.; Ishigame, T.; Oshima, N.; Hoshiya, N.; Shimawaki, K.; Arisawa, M.; Shuto, S. One-Pot Ring-Closing Metathesis (RCM)/Oxidation by an Assisted Tandem Ruthenium Catalysis for the Synthesis of 2-Quinolones. Adv. Synth. Catal. 2011, 353, 2676–2680. [Google Scholar] [CrossRef]
- Dornan, P.K.; Wickens, Z.K.; Grubbs, R.H. Tandem Z-Selective Cross-Metathesis/Dihydroxylation: Synthesis of anti-1,2-Diols. Angew. Chem. Int. Ed. 2015, 54, 7134–7138. [Google Scholar] [CrossRef] [PubMed]
- McLaughlin, J.L.; Shi, G.; Zeng, L.; Gu, Z.; M. MacDougal, J. Absolute Stereochemistries of Sylvaticin and 12,15-cis-Sylvaticin, Bioactive C-20,23-cis Non-adjacent Bistetrahydrofuran Annonaceous Acetogenins, from Rollinia mucosa. Heterocycles 1995, 41, 1785–1796. [Google Scholar] [CrossRef]
- Abdel Ghani, S.B.; Chapman, J.M.; Figadère, B.; Herniman, J.M.; Langley, G.J.; Niemann, S.; Brown, R.C.D. Total Synthesis and Stereochemical Assignment of cis-Uvariamicin I and cis-Reticulatacin. J. Org. Chem. 2009, 74, 6924–6928. [Google Scholar] [CrossRef] [PubMed]
- Pettit, G.R.; Cragg, G.M.; Polonsky, J.; Herald, D.L.; Goswami, A.; Smith, C.R.; Moretti, C.; Schmidt, J.M.; Weisleder, D. Isolation and structure of rolliniastatin 1 from the South American tree Rollinia mucosa. Can. J. Chem. 1987, 65, 1433–1435. [Google Scholar] [CrossRef]
- Řezanka, T.; Hanuš, L.; Dembitsky, V.M. Chagosensine, a New Chlorinated Macrolide from the Red Sea SpongeLeucetta chagosensis. Eur. J. Org. Chem. 2003, 2003, 4073–4079. [Google Scholar] [CrossRef]
- Klein, E.; Rojahn, W. Die permanganatoxydation von 1,5-dienverbindungen. Tetrahedron 1965, 21, 2353–2358. [Google Scholar] [CrossRef]
- Carlsen, P.H.J.; Katsuki, T.; Martin, V.S.; Sharpless, K.B. A greatly improved procedure for ruthenium tetroxide catalyzed oxidations of organic compounds. J. Org. Chem. 1981, 46, 3936–3938. [Google Scholar] [CrossRef]
- De Champdoré, M.; Lasalvia, M.; Piccialli, V. OsO4-Catalyzed oxidative cyclization of geranyl and neryl acetate to cis-2,5-bis(hydroxymethyl)tetrahydrofurans. Tetrahedron Lett. 1998, 39, 9781–9784. [Google Scholar] [CrossRef]
- Piccialli, V. Oxidative Cyclization of Dienes and Polyenes Mediated by Transition-Metal-Oxo Species. Synthesis 2007, 2007, 2585–2607. [Google Scholar] [CrossRef]
- Dornan, P.K.; Lee, D.; Grubbs, R.H. Tandem Olefin Metathesis/Oxidative Cyclization: Synthesis of Tetrahydrofuran Diols from Simple Olefins. J. Am. Chem. Soc. 2016, 138, 6372–6375. [Google Scholar] [CrossRef] [PubMed]
© 2017 by the authors. Licensee MDPI, Basel, Switzerland. This article is an open access article distributed under the terms and conditions of the Creative Commons Attribution (CC BY) license ( http://creativecommons.org/licenses/by/4.0/).



















































































