Abstract
The β-galactosidase from Bacillus circulans was covalently attached to aldehyde-activated (glyoxal) agarose beads and assayed for the continuous production of galactooligosaccharides (GOS) in a packed-bed reactor (PBR). The immobilization was fast (1 h) and the activity of the resulting biocatalyst was 97.4 U/g measured with o-nitrophenyl-β-d-galactopyranoside (ONPG). The biocatalyst showed excellent operational stability in 14 successive 20 min reaction cycles at 45 °C in a batch reactor. A continuous process for GOS synthesis was operated for 213 h at 0.2 mL/min and 45 °C using 100 g/L of lactose as a feed solution. The efficiency of the PBR slightly decreased with time; however, the maximum GOS concentration (24.2 g/L) was obtained after 48 h of operation, which corresponded to 48.6% lactose conversion and thus to maximum transgalactosylation activity. HPAEC-PAD analysis showed that the two major GOS were the trisaccharide Gal-β(1→4)-Gal-β(1→4)-Glc and the tetrasaccharide Gal-β(1→4)-Gal-β(1→4)-Gal-β(1→4)-Glc. The PBR was also assessed in the production of GOS from milk as a feed solution. The stability of the bioreactor was satisfactory during the first 8 h of operation; after that, a decrease in the flow rate was observed, probably due to partial clogging of the column. This work represents a step forward in the continuous production of GOS employing fixed-bed reactors with immobilized β-galactosidases.
1. Introduction
In addition to the hydrolysis of lactose, β-galactosidases (β-d-galactoside galactohydrolases, EC 3.2.1.23) catalyze transgalactosylation reactions in which lactose—or the released glucose and galactose—act as galactosyl acceptors, yielding a series of condensation products called galactooligosaccharides (GOS) [1,2]. The ratio between lactose hydrolysis and GOS synthesis depends crucially on the concentration of lactose, the temperature of the reactor and the intrinsic enzyme properties [1,3,4].
GOS constitute a group of prebiotics that modulate the colonic microbiota, providing health benefits such as an improvement in mineral absorption and the prevention of colon cancer [5,6]. The major applications of GOS are in beverages and mostly in infant milk formulas due to the similar benefits of GOS and human milk oligosaccharides [7].
The commercial applications of GOS in the food industry could be increased if the cost of the production process was reduced. Immobilization of enzymes offers advantages for the industrial development of biocatalytic processes, such as easy separation and reuse of the biocatalyst—making product recovery easier—and enhancement of enzyme resistance against inactivation by different denaturants [8,9]. Covalent immobilization has the advantage of forming robust linkages between the enzyme and the carrier, which minimizes the loss of activity caused by enzyme leakage from the support [10], extends its lifetime by protecting the three-dimensional structure of the protein [11] and allows the development of continuous processes.
The use of immobilized β-galactosidases in continuous bioreactors has mostly been applied to the hydrolysis of lactose in cheese whey [12,13,14]. In contrast, the production of GOS in continuous bioreactors has been scarcely studied [15,16,17].
The β-galactosidase from Bacillus circulans synthesizes GOS with a major presence of β(1→4) bonds [18]. Compared with other β-galactosidases, this enzyme gives rise to a notable GOS yield (approximately 49% w/w, starting from 400 g/L lactose) [19]. In addition, it is appropriate for the dairy industry since it presents notable activity at pH 6.7 and is not inhibited by calcium [20]. Using milk as a substrate, the enzyme also displays a certain degree of transgalactosylation activity with a maximum GOS yield of 15% at approximately 50% lactose conversion [21]. The B. circulans β-galactosidase has been immobilized by different strategies which include adsorption on Duolite followed by glutaraldehyde cross-linking [22], covalent attachment to epoxy-activated acrylic supports [23] or alginate entrapment [17].
In this work we have evaluated the continuous production of GOS using a reactor packed with B. circulans β-galactosidase covalently attached to aldehyde-activated (glyoxal) agarose beads. This support was previously tested in batch but not in continuous packed-bed reactors (PBR), by Urrutia et al. [24]. The operational stability of the immobilized biocatalysts for the production of GOS was assessed.
2. Results and Discussion
2.1. Immobilization of β-Galactosidase from B. circulans on Glyoxal Agarose Resin
The immobilization of β-galactosidase from B. circulans was carried out by covalent attachment to glyoxal agarose beads, whose diameter in a dried state is around 50 µm (Figure 1). The binding chemistry between the amino groups of the protein and the glyoxyl moieties of the support is rather simple and gives rise to robust linkages between the enzyme and the carrier [25,26,27]. However, the immobilization must be performed at alkaline pH in order to deprotonate amino groups and thus enhance their nucleophilicity [28]. For that reason, the stability of B. circulans β-galactosidase at pH 10.0 was assessed in order to determine the optimal immobilization conditions for this enzyme. As shown in Figure 2A, B. circulans β-galactosidase maintained nearly 40% of its initial activity after 174 h incubation in 0.1 M sodium bicarbonate buffer (pH 10.0). Given that covalent binding of proteins to aldehyde-activated carriers typically takes place in a few hours, we concluded that pH 10.0 was appropriate to immobilize this enzyme.
Figure 1.
Scanning electron microscopy (SEM) pictures of glyoxal agarose beads: (Left) 400×; (Right) 1000×.
Figure 2.
(A) Stability of soluble β-galactosidase from B. circulans in the coupling buffer (0.1 M sodium bicarbonate pH 10.0); (B) Progress of covalent immobilization of β-galactosidase from B. circulans on glyoxal agarose, monitored by measuring the residual activity in the supernatant.
The covalent coupling of B. circulans β-galactosidase to glyoxal agarose, followed by the disappearance of activity in the supernatant, was extremely fast. As illustrated in Figure 2B, the incubation time required for quantitative coupling was less than 1 h. This fact contrasts with epoxy-activated carriers, such as Eupergit C or Sepabeads EP, which require long incubation times (24–48 h) [23]. We observed a satisfactory recovery of activity in the immobilized biocatalyst. The so-called apparent (experimental) activity of the immobilized biocatalyst [29,30], measured with o-nitrophenyl-β-d-galactopyranoside (ONPG), was 97.4 U/g. It is worth mentioning that the treatment with sodium borohydride to reduce the semi-stable Schiff bases initially formed in the immobilization process caused negligible loss of activity.
2.2. Operational Stability in Batch Reactor
The stability of B. circulans β-galactosidase immobilized onto glyoxal agarose beads was studied at 45 °C in a batch reactor measuring the activity of the biocatalyst with ONPG in a sequence of reaction cycles, following a methodology recently developed in our laboratory [31]. Figure 3 illustrates the operational stability of the biocatalyst in 14 successive reaction cycles of 20 min each. As shown, the biocatalyst maintained nearly 100% of its initial activity after 14 cycles (280 min) and the corresponding washings. These results were in accordance with those described by Urrutia et al. (2013), who analyzed the stability of this enzyme in a batch reactor after immobilization on several mono- and multi-functional supports, including glyoxal agarose [24].
Figure 3.
Reuse assay in a batch reactor of β-galactosidase from B. circulans immobilized onto glyoxal agarose beads. After each reaction cycle (20 min), the biocatalyst was filtered and washed with buffer. Reaction conditions: 15 mM ONPG in 0.1 M sodium acetate buffer (pH 5.5), 45 °C.
2.3. Effect of Lactose Conversion on GOS Yield with Immobilized B. circulans β-Galactosidase
Before setting up a continuous reactor, we analyzed the effect of lactose conversion on the production of GOS with the immobilized biocatalyst. The maximum GOS yield depends on the relative rates of transgalactosylation and hydrolysis [18]. As the reaction progresses, the lactose concentration decreases and the GOS concentration increases until it reaches a maximum. At this point, the rate of GOS synthesis is the same as its rate of hydrolysis. Thereafter, GOS hydrolysis becomes the major process and the amount of GOS decreases until a thermodynamic equilibrium is reached.
Figure 4 illustrates the GOS production profile with the β-galactosidase from B. circulans immobilized on glyoxal agarose beads, using 100 g/L lactose. This lactose concentration was selected, considering further development of a continuous reactor, to assure good fluidity, thus minimizing clogging of the fixed bed. The GOS profile showed the typical pattern with a maximum GOS yield at approximately 50% of lactose conversion, followed by a progressive decrease of the GOS concentration [20]. The maximum GOS concentration was obtained at a similar lactose conversion as the soluble B. circulans β-galactosidase [18,19,21]. At this point, the GOS yield was approximately 25% (w/w) (Figure 4), referring to the total amount of sugars in the mixture. This value was intermediate between the value reported for a starting 400 g/L lactose solution (49% GOS yield) [19] and the value obtained with skim milk (45 g/L lactose, 15%–17% GOS yield) [19,21], demonstrating the notable effect of the substrate concentration on the transglycosylation activity [32].
Figure 4.
Effect of lactose conversion on GOS (galactooligosaccharides) yield and product distribution by B. circulans β-galactosidase immobilized on glyoxal agarose beads. Conditions: 100 g/L lactose, 0.1 M acetate buffer (pH 5.5), 45 °C.
As shown in Figure 4, trisaccharides were the major GOS synthesized, as occurred with the soluble enzyme [19]. Once the maximum GOS concentration was achieved, the decrease in trisaccharide and tetrasaccharide concentrations was accompanied by an increase in the formation of disaccharides.
2.4. GOS Synthesis in PBR with Immobilized B. circulans β-Galactosidase
GOS production in continuous mode by β-galactosidase from B. circulans has been scarcely explored; most of the studies were carried out in continuous stirred tank reactors (CSTRs) [22,23]. To our knowledge, for the development of packed-bed reactors (PBR) this enzyme has been immobilized in Eupergit C [16] and calcium alginate [17]. In our work, a tubular packed-bed reactor (PBR) of 1 mL was filled with 680 mg (66 U) of the immobilized biocatalyst. A continuous process for GOS synthesis was operated at 0.2 mL/min and 45 °C using 100 g/L of lactose as a feed solution. This temperature was a compromise between enzyme stability and fluidity of the lactose solution. In addition, it is well reported that the transglycosylation-to-hydrolysis ratio increases with temperature [33,34]. The bioreactor was operated continuously for nine days and samples were taken at different times and analyzed by HPAEC-PAD to determine the GOS yield and product composition.
Figure 5 illustrates the evolution of the GOS yield and lactose conversion during the 213 h of continuous operation. At the starting point, the remaining lactose concentration was 13.5 g/L. This high lactose conversion (86.5%) gave rise to a GOS yield (16.5%) which is far from the highest value (Figure 4). As the process progressed, the activity of the immobilized biocatalyst decreased, probably due to enzyme inactivation or diffusional restrictions. As a result, the maximum GOS concentration (24.2 g/L) was obtained after 48 h of operation, at the point at which lactose conversion reached 48.6%, in accordance with our previous findings (Figure 4). Thereafter, the composition of the outlet was progressively enriched in lactose, thus decreasing the amount of GOS. After the first 144 h, the concentration of the outlet was maintained nearly constant, with an average total GOS concentration of 10 g/L and 82 g/L lactose. This biphasic behavior (an initial activity decay followed by the maintenance of a certain degree of activity) could be related to the presence of various populations of immobilized β-galactosidases showing a different number of covalent bonds with the support and thus exhibiting diverse operational stability under reactor conditions [35,36,37].
Figure 5.
Progress of GOS and lactose concentration during the operation of the PBR (packed-bed reactor) packed with β-galactosidase from B. circulans immobilized on glyoxal agarose beads. Reactor conditions: feed solution, 100 g/L lactose; flow rate, 0.2 mL/min; pH 5.5, 45 °C.
Considering the volume of the bioreactor and the concentration of the total GOS, the space-time yield varied between 2900 and 6900 g GOS/day·L throughout the operation time of the reactor. Using immobilized β-galactosidases from different sources (Aspergillus oryzae, Aspergillus candidus, Bullera singularis), the productivity of the PBR was reported between 105 and 2540 g GOS/day·L [38,39,40]. With β-galactosidase from B. circulans immobilized in Eupergit C 250L, Warmerdam et al. also observed changes in the composition of the PBR outgoing stream during operation, caused by enzyme inactivation [16].
2.5. Specificity of GOS Production in PBR
We analyzed the GOS composition at the outlet during operation of the PBR packed with β-galactosidase from B. circulans. Figure 6 shows the HPAEC-PAD chromatograms of the outlet at different operation times. Peaks 1, 2 and 4 correspond to galactose, glucose and lactose, respectively. The galactose peak is lower than that of glucose due to the transgalactosylation reaction to produce GOS. As illustrated in the chromatograms, the two main GOS synthesized by the β-galactosidase from B. circulans were identified as the trisaccharide Gal-β(1→4)-Gal-β(1→4)-Glc (4′-galactosyl-lactose, peak 9) and the tetrasaccharide Gal-β(1→4)-Gal-β(1→4)-Gal-β(1→4)-Glc (peak 10). These results are in accordance with those obtained with the soluble enzyme [19,21] and confirm the preference of this β-galactosidase to form β(1→4) linkages. Most of the minor peaks were also identified, namely Gal-β(1→6)-Glc (allolactose), Gal-β(1→3)-Glc, Gal-β(1→3)-Gal (3-galactobiose), Gal-β(1→4)-Gal (4-galactobiose) and Gal-β(1→6)-Gal-β(1→4)-Glc (6′-galactosyl-lactose).
Figure 6.
HPAEC-PAD analysis of the PBR outlet at various operation times (0, 48 and 213 h). Peaks: (1) Galactose; (2) Glucose; (3) Allolactose; (4) Lactose; (5) 3-Galactobiose; (6) 4-Galactobiose; (7) 6′-Galactosyl-lactose; (8) Gal-β(1→3)-Glc; (9) 4′-Galactosyl-lactose; (10) Gal-β(1→4)-Gal-β(1→4)-Gal-β(1→4)-Glc.
Table 1 summarizes the concentration of the two major GOS and the rest of the products at different operation times. At the point of the maximum GOS concentration (48 h), the yield was approximately 24%, mostly due to the presence of 4′-galactosyl-lactose (15.7%) followed by the tetrasaccharide Gal-β(1→4)-Gal-β(1→4)-Gal-β(1→4)-Glc (5.3%). The contribution of other oligosaccharides to the total amount of GOS was less significant (3.3%). At the end of operation, the outlet contained mainly lactose (83%), glucose (6.7%) and 4′-galactosyl-lactose (9%) as the only appreciable GOS (Figure 6).
Table 1.
Composition of the reaction mixtures at the beginning of operation (0 h), maximum GOS (galactooligosaccharides) concentration (48 h) and at the end of operation (213 h).
2.6. Continuous GOS Production using Milk as Feed Solution
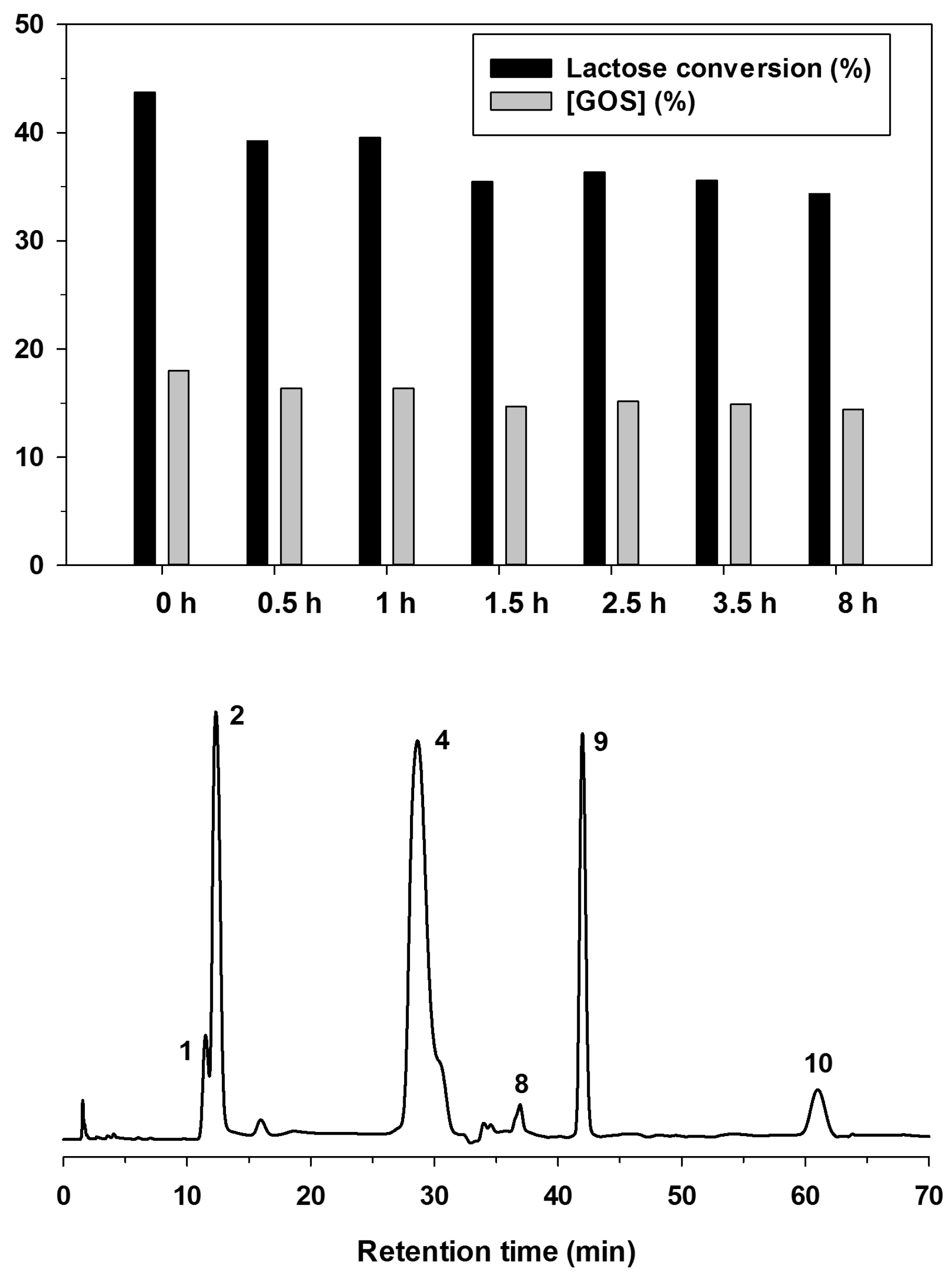
We analyzed whether the fixed-bed reactor could be employed for the continuous production of GOS using milk as the feed solution. Previously we found that the soluble B. circulans β-galactosidase was able to synthesize GOS in milk [21], with a maximum GOS concentration of approximately 8.1 g/L at 4 °C. This yield corresponded to 17.6% (w/w) of the total carbohydrates in milk and was achieved when around 50% of the initial lactose had disappeared [41]. For that reason, we adjusted the flow rate in the PBR to obtain a lactose conversion close to 50% at zero time. Figure 7 (top) shows that the conversion of lactose lowered from 44% to 34% during the first 8 h of operation, with the concomitant reduction of the GOS yield (from 18.0% to 14.4%). In contrast with results obtained employing lactose solutions, we observed that after 8 h, the flow rate progressively diminished, probably due to partial clogging of the column, which could be caused by certain components of skim milk and/or microbial contamination.
Figure 7.
Top: Operational stability at 4 °C during the first 8 h of the PBR containing the β-galactosidase from B. circulans immobilized in glyoxal agarose, using skim milk as feed solution. Bottom: HPAEC-PAD analysis of the PBR outlet at 2.5 h The peaks correspond to: (1) Galactose; (2) Glucose; (4) Lactose; (8) Gal-β(1→3)-Glc; (9) 4′-Galactosyl-lactose; (10) Gal-β(1→4)-Gal-β(1→4)-Gal-β(1→4)-Glc.
HPAEC-PAD analyses (Figure 7, bottom) confirmed that the two main GOS synthesized using milk as the feed solution were the trisaccharide Gal-β(1→4)-Gal-β(1→4)-Glc (4′-galactosyl-lactose) and the tetrasaccharide Gal-β(1→4)-Gal-β(1→4)-Gal-β(1→4)-Glc. The enzyme specificity was thus not altered by milk components.
3. Materials and Methods
3.1. Materials
Biolactase NTL-CONC, a commercial β-galactosidase preparation from Bacillus circulans, was supplied by Biocon (Barcelona, Spain). Glucose, galactose, lactose and o-nitrophenyl-β-d-galactopyranoside (ONPG) were from Sigma-Aldrich (Tres Cantos, Madrid, Spain). 6-Galactobiose, 4-galactobiose, 6-O-β-galactosyl-glucose (allolactose) and 4′-O-β-galactosyl-lactose were from Carbosynth (Berkshire, UK). High Density Glyoxal Agarose Resin 4BCL-GH1 (spherical, 50–150 µm diameter, 40–60 µmol glyoxyl·mL−1 gel, coupling capacity 15–20 mg BSA·mL−1 gel) was purchased from Agarose Bead Technologies (Torrejon de Ardoz, Madrid, Spain). Skim milk “Hacendado” was purchased from a local Mercadona Supermarket (Madrid, Spain). All other reagents and solvents were of the highest available purity and used as purchased.
3.2. Activity Assay
The enzymatic activity towards o-nitrophenyl-β-d-galactopyranoside (ONPG) was measured monitoring the release of o-nitrophenol at 405 nm using a microplate reader (Versamax, Molecular Devices, Sunnyvale, CA, USA). The reaction was started by adding 10 µL of the soluble enzyme (conveniently diluted) to 190 µL of 15 mM ONPG in 0.1 M sodium acetate buffer (pH 5.5). The increase of absorbance at 405 nm was followed in continuous mode during 5 min. The extinction molar coefficient of o-nitrophenol at pH 5.5 was determined (537 M−1·cm−1). One unit (U) of activity was defined as that corresponding to the hydrolysis of 1 µmol of ONPG per min. The activity of the immobilized biocatalyst was determined in an Eppendorf tube mixing approximately 5 mg of biocatalyst with 1 mL of 15 mM ONPG in 0.1 M sodium acetate buffer (pH 5.5). The mixture was maintained at 25 °C and 900 rpm for 20 min in a Thermo Shaker TS-100 (Boeco, Hamburg, Germany). The increase of absorbance at 405 nm was measured in endpoint mode.
3.3. Covalent Immobilization
The support (3.3 g) was washed twice with distilled water to eliminate the preservatives. The immobilization was carried out by mixing the support with 1 mL of Biolactase and 9 mL of 0.1 M sodium bicarbonate buffer pH 10.0. The mixture was gently stirred at 25 °C in a rotary incubator (Enviro-Genie SI-1202, Scientific Industries, Inc., Bohemia, NY, USA) at 35 rpm until the remaining activity in the supernatant was negligible. After that, 10.2 mg of NaBH4 was added to the suspension and the mixture incubated for 30 min at room temperature and 900 rpm in an orbital shaker (Vortemp 1550, Labnet International, Edison, NJ, USA). The resulting biocatalyst was washed twice with 25 mM sodium phosphate buffer (pH 7.0), and then washed thoroughly several times with distilled water.
3.4. Operational Stability in Batch Reactor
A protocol previously developed in our laboratory was followed [31]. For each cycle, the immobilized biocatalyst (approx. 58 mg) was incubated in a rotary incubator (Enviro-Genie SI-1202, Scientific Industries, Inc.) at 35 rpm and 45 °C with 600 µL of 15 mM ONPG solution in micro-centrifuge filter tube. After 20 min, the immobilized enzyme was separated from the reaction solution by centrifugation at 5000× g. The supernatant was mixed with 800 μL of 0.4 M Na2CO3 in order to inactivate any possible leaked enzyme and the absorbance at 405 nm was measured. The immobilized biocatalyst was washed twice with 0.1 M sodium acetate buffer (pH 5.5). The relative enzymatic activity of each cycle was referred to the apparent activity of the first cycle.
3.5. GOS Production in Continuous Packed-Bed Reactor
The immobilized biocatalyst containing the β-galactosidase from B. circulans was packed in a 1-mL EB-Ctg1-1 cartridge (6.2 mm inner column diameter, Agarose Bead Technologies). The inlet of the column was connected to a peristaltic pump P-1 (GE Healthcare, Madrid, Spain)), as shown in Figure 8, in order to precisely control the flow of the feeding solution (100 g/L lactose in 0.1 M sodium acetate buffer pH 5.5 or skim milk).
Figure 8.
Schematic diagram of the continuous PBR used in this study to synthesize GOS.
According to the equation to calculate the residence time (τ):
where Vr is the volume of the PBR in mL, ε is the porosity of the bed and ∅ the flow rate in mL/min, and assuming a porosity factor of 0.60—as reported for other similar swellable hydrophilic resins [16] the residence time at 0.2 mL/min (typically used in this work) would be close to 2 min. Both the bioreactor and the feeding solution were maintained at 45 °C in a thermostated chamber (Ovan, Barcelona, Spain). At different times, 200 μL aliquots were taken at the outlet stream of the bioreactor and mixed with 800 μL of 0.4 M Na2CO3 to inactivate any leaked enzyme. Samples were filtered using 0.45 µm nylon filters coupled to 1 mL sterile syringes, and diluted 1:400 with water before HPAEC-PAD analysis.
3.6. High-Performance Anion-Exchange Chromatography with Pulsed Amperometric Detection (HPAEC-PAD)
Carbohydrate analysis was performed by HPAEC-PAD on a ICS3000 Dionex system (Dionex Corp., Sunnyvale, CA, USA) consisting of a SP gradient pump, an AS-HV autosampler and an electrochemical detector with a gold working electrode and Ag/AgCl as reference electrode. All eluents were degassed by flushing with helium. A pellicular anion-exchange 4 × 250 mm Carbo-Pack PA-1 column (Dionex Sunnyvale, CA, USA) connected to a CarboPac PA-1 guard column was used at 30 °C. For eluent preparation, MilliQ water and 50% (w/v) NaOH (Sigma-Aldrich) were used. The initial mobile phase was 15 mM NaOH at 1.0 mL/min for 12 min. A gradient from 15 mM to 200 mM NaOH was carried out at the same flow rate in 15 min, and the latter was maintained for 50 min. The peaks were analyzed using Chromeleon software (Dionex Sunnyvale, CA, USA, 2008)). Identification of the different carbohydrates was done based on commercial standards and previously purified and characterized GOS [19,42,43].
3.7. Scanning Electron Microscopy
Scanning electron microscopy (SEM) was performed using a S-3000N microscope (Hitachi, Schaumburg, IL, USA) on samples previously metallized with gold in a sputter Quorum, model Q150T-S.
Acknowledgments
This work was supported by grants from the Spanish Ministry of Economy and Competitiveness (BIO2013-48779-C4-1-R and BIO2016-76601-C3-1-R). We thank the support of COST-Action CM1303 on Systems Biocatalysis. P.S.-M. thanks the Spanish Ministry of Education for FPU Grant (FPU13/01185).
Author Contributions
B.R.-C. and F.J.P. conceived and designed the experiments; B.R.-C. performed most of the experiments; P.S.-M. contributed to the continuous reactor; L.F.-A. contributed to the analysis tools; A.O.B. contributed to discussion of results; B.R.-C. and F.J.P. wrote the paper.
Conflicts of Interest
The authors declare no conflict of interest.
References
- Park, A.R.; Oh, D.K. Galacto-oligosaccharide production using microbial β-galactosidase: Current state and perspectives. Appl. Microbiol. Biotechnol. 2010, 85, 1279–1286. [Google Scholar] [CrossRef] [PubMed]
- Plou, F.J.; Polaina, J.; Sanz-Aparicio, J.; Fernandez-Lobato, M. β-Galactosidases for lactose hydrolysis and galactooligosaccharide synthesis. In Microbial Enzyme Technology in Food Applications; Ray, R.C., Rosell, C.M., Eds.; CRC Press: Boca Raton, FL, USA, 2016; pp. 123–146. [Google Scholar]
- Iqbal, S.; Nguyen, T.H.; Nguyen, T.T.; Maischberger, T.; Haltrich, D. β-Galactosidase from Lactobacillus plantarum WCFS1: Biochemical characterization and formation of prebiotic galacto-oligosaccharides. Carbohydr. Res. 2010, 345, 1408–1416. [Google Scholar] [CrossRef] [PubMed]
- Torres, D.P.; Goncalves, M.; Teixeira, J.A.; Rodrigues, L.R. Galacto-oligosaccharides: Production, properties, applications, and significance as prebiotics. Compr. Rev. Food Sci. Food Saf. 2010, 9, 438–454. [Google Scholar] [CrossRef]
- Lamsal, B.P. Production, health aspects and potential food uses of dairy prebiotic galactooligosaccharides. J. Sci. Food Agric. 2012, 92, 2020–2028. [Google Scholar] [CrossRef] [PubMed]
- Konar, E.; Sarkar, S.; Singhal, R.S. Galactooligosaccharides: Chemistry, production, properties, market status and applications—A review. Trends Carbohydr. Res. 2011, 3, 1–16. [Google Scholar]
- Shadid, R.; Haarman, M.; Knol, J.; Theis, W.; Beermann, C.; Rjosk-Dendorfer, D.; Schendel, D.J.; Koletzko, B.V.; Krauss-Etschmann, S. Effects of galactooligosaccharide and long-chain fructooligosaccharide supplementation during pregnancy on maternal and neonatal microbiota and immunity—A randomized, double-blind, placebo-controlled study. Am. J. Clin. Nutr. 2007, 86, 1426–1437. [Google Scholar] [PubMed]
- Torres-Salas, P.; Del Monte-Martinez, A.; Cutiño-Avila, B.; Rodriguez-Colinas, B.; Alcalde, M.; Ballesteros, A.O.; Plou, F.J. Immobilized biocatalysts: Novel approaches and tools for binding enzymes to supports. Adv. Mater. 2011, 23, 5275–5282. [Google Scholar] [CrossRef] [PubMed]
- Sheldon, R.A. Enzyme immobilization: The quest for optimum performance. Adv. Synth. Catal. 2007, 349, 1289–1307. [Google Scholar] [CrossRef]
- Boller, T.; Meier, C.; Menzler, S. Eupergit oxirane acrylic beads: How to make enzymes fit for biocatalysis. Org. Process Res. Dev. 2002, 6, 509–519. [Google Scholar] [CrossRef]
- Marin-Navarro, J.; Talens-Perales, D.; Oude-Vrielink, A.; Cañada, F.J.; Polaina, J. Immobilization of thermostable β-galactosidase on epoxy support and its use for lactose hydrolysis and galactooligosaccharides biosynthesis. World J. Microbiol. Biotechnol. 2014, 30, 989–998. [Google Scholar] [CrossRef] [PubMed]
- Shankar, S.K.; Praveen Kumar, S.K.; Mulimani, V.H. Calcium alginate entrapped preparation of α-galactosidase: Its stability and application in hydrolysis of soymilk galactooligosaccharides. J. Ind. Microbiol. Biotechnol. 2011, 38, 1399–1405. [Google Scholar] [CrossRef] [PubMed]
- Genari, A.N.; Passos, F.V.; Passos, F.M.L. Configuration of a bioreactor for milk lactose hydrolysis. J. Dairy Sci. 2003, 86, 2783–2789. [Google Scholar] [CrossRef]
- Foda, M.I.; Lopez-Leiva, M. Continuous production of oligosaccharides from whey using a membrane reactor. Process Biochem. 2000, 35, 581–587. [Google Scholar] [CrossRef]
- Nakkharat, P.; Haltrich, D. Betα-galactosidase from Talaromyces thermophilus immobilized on to Eupergit C for production of galacto-oligosaccharides during lactose hydrolysis in batch and packed-bed reactor. World J. Microbiol. Biotechnol. 2007, 23, 759–764. [Google Scholar] [CrossRef]
- Warmerdam, A.; Benjamins, E.; de Leeuw, T.F.; Broekhuis, T.A.; Boom, R.M.; Janssen, A.E.M. Galacto-oligosaccharide production with immobilized β-galactosidase in a packed-bed reactor vs. free β-galactosidase in a batch reactor. Food Bioprod. Process. 2014, 92, 383–392. [Google Scholar] [CrossRef]
- Sen, P.; Nath, A.; Bhattacharjee, C.; Chowdhury, R.; Bhattacharya, P. Process engineering studies of free and micro-encapsulated β-galactosidase in batch and packed bed bioreactors for production of galactooligosaccharides. Biochem. Eng. J. 2014, 90, 59–72. [Google Scholar] [CrossRef]
- Rodriguez-Colinas, B.; Fernandez-Arrojo, L.; de Abreu, M.; Urrutia, P.; Fernandez-Lobato, M.; Ballesteros, A.O.; Plou, F.J. On the enzyme specificity for the synthesis of prebiotic galactooligosaccharides. In Advances in Enzyme Biotechnology; Shukla, P., Pletschke, B., Eds.; Springer: New Delhi, India, 2013; pp. 23–39. [Google Scholar]
- Rodriguez-Colinas, B.; Poveda, A.; Jimenez-Barbero, J.; Ballesteros, A.O.; Plou, F.J. Galacto-oligosaccharide synthesis from lactose solution or skim milk using the β-galactosidase from Bacillus circulans. J. Agric. Food Chem. 2012, 60, 6391–6398. [Google Scholar] [CrossRef] [PubMed]
- Mozaffar, Z.; Nakanishi, K.; Matsuno, R. Formation of oligosaccharides during hydrolysis of lactose in milk using β-galactosidase from Bacillus circulans. J. Food Sci. 1985, 50, 1602–1606. [Google Scholar] [CrossRef]
- Rodriguez-Colinas, B.; Fernandez-Arrojo, L.; Ballesteros, A.; Plou, F. Galactooligosaccharides formation during enzymatic hydrolysis of lactose: Towards a prebiotic-enriched milk. Food Chem. 2014, 145, 388–394. [Google Scholar] [CrossRef] [PubMed]
- Mozaffar, Z.; Nakanishi, K.; Matsuno, R. Continuous production of galacto-oligosaccharides from lactose using immobilized betα-galactosidase from Bacillus circulans. Appl. Microbiol. Biotechnol. 1986, 25, 224–228. [Google Scholar]
- Torres, P.; Batista-Viera, F. Immobilization of β-galactosidase from Bacillus circulans onto epoxy-activated acrylic supports. J. Mol. Catal. B Enzym. 2012, 74, 230–235. [Google Scholar] [CrossRef]
- Urrutia, P.; Mateo, C.; Guisan, J.M.; Wilson, L.; Illanes, A. Immobilization of Bacillus circulans β-galactosidase and its application in the synthesis of galacto-oligosaccharides under repeated-batch operation. Biochem. Eng. J. 2013, 77, 41–48. [Google Scholar] [CrossRef]
- Huerta, L.M.; Vera, C.; Guerrero, C.; Wilson, L.; Illanes, A. Synthesis of galacto-oligosaccharides at very high lactose concentrations with immobilized β-galactosidases from Aspergillus oryzae. Process Biochem. 2011, 46, 245–252. [Google Scholar] [CrossRef]
- Bolivar, J.M.; Wilson, L.; Ferrarotti, S.A.; Fernandez-Lafuente, R.; Guisan, J.M.; Mateo, C. Stabilization of a formate dehydrogenase by covalent immobilization on highly activated glyoxyl-agarose supports. Biomacromolecules 2006, 7, 669–673. [Google Scholar] [CrossRef] [PubMed]
- Santos-Moriano, P.; Woodley, J.M.; Plou, F.J. Continuous production of chitooligosaccharides by an immobilized enzyme in a dual-reactor system. J. Mol. Catal. B Enzym. 2016, 133, 211–217. [Google Scholar] [CrossRef]
- Santos-Moriano, P.; Monsalve-Ledesma, L.; Ortega-Munoz, M.; Fernandez-Arrojo, L.; Ballesteros, A.O.; Santoyo-Gonzalez, F.; Plou, F.J. Vinyl sulfone-activated silica for efficient covalent immobilization of alkaline unstable enzymes: Application to levansucrase for fructooligosaccharide synthesis. RSC Adv. 2016, 6, 64175–64181. [Google Scholar] [CrossRef]
- Worsfold, P.J. Classification and chemical characteristics of immobilized enzymes—Technical report. Pure Appl. Chem. 1995, 67, 597–600. [Google Scholar] [CrossRef]
- Fernandez-Arrojo, L.; Rodriguez-Colinas, B.; Gutierrez-Alonso, P.; Fernandez-Lobato, M.; Alcalde, M.; Ballesteros, A.O.; Plou, F.J. Dried alginate-entrapped enzymes (DALGEEs) and their application to the production of fructooligosaccharides. Process Biochem. 2013, 48, 677–682. [Google Scholar] [CrossRef]
- Fernandez-Arrojo, L.; Santos-Moriano, P.; Rodriguez-Colinas, B.; Ballesteros, A.O.; Plou, F.J. Micro-scale procedure for enzyme immobilization screening and operational stability assays. Biotechnol. Lett. 2015, 37, 1593–1600. [Google Scholar] [CrossRef] [PubMed]
- Plou, F.J.; Alcalde, M.; Ghazi, I.; Fernandez-Arrojo, L.; Ballesteros, A. Efficient fructooligosaccharide synthesis with a fructosyltransferase from Aspergillus aculeatus. In Modern Biocatalysis: Stereoselective and Enviromentally Friendly Reactions; Fessner, W.D., Anthonsen, T., Eds.; Wiley-VCH: Weinheim, Germany, 2009; pp. 153–171. [Google Scholar]
- Linde, D.; Rodriguez-Colinas, B.; Estevez, M.; Poveda, A.; Plou, F.J.; Fernandez-Lobato, M. Analysis of neofructooligosaccharides production mediated by the extracellular b-fructofuranosidase from Xanthophyllomyces dendrorhous. Bioresour. Technol. 2012, 109, 123–130. [Google Scholar] [CrossRef] [PubMed]
- Ning, Y.; Wang, J.; Chen, J.; Yang, N.; Jin, Z.; Xu, X. Production of neo-fructooligosaccharides using free-whole-cell biotransformation by Xanthophyllomyces dendrorhous. Bioresour. Technol. 2010, 101, 7472–7478. [Google Scholar] [CrossRef] [PubMed]
- Martin, M.T.; Plou, F.J.; Alcalde, M.; Ballesteros, A. Immobilization on Eupergit C of cyclodextrin glucosyltransferase (CGTase) and properties of the immobilized biocatalyst. J. Mol. Catal. B Enzym. 2003, 21, 299–308. [Google Scholar] [CrossRef]
- Binay, B.; Alagöz, D.; Yildirim, D.; Çelik, A.; Tükel, S.S. Highly stable and reusable immobilized formate dehydrogenases: Promising biocatalysts for in situ regeneration of NADH. Beilstein J. Org. Chem. 2016, 12, 271–277. [Google Scholar] [CrossRef] [PubMed]
- Azevedo, R.M.; Costa, J.B.; Serp, P.; Loureiro, J.M.; Faria, J.L.; Silva, C.G.; Tavares, A.P.M. A strategy for improving peroxidase stability via immobilization on surface modified multi-walled carbon nanotubes. J. Chem. Technol. Biotechnol. 2015, 90, 1570–1578. [Google Scholar] [CrossRef]
- Albayrak, N.; Yang, S.T. Production of galacto-oligosaccharides from lactose by Aspergillus oryzae betα-galactosidase immobilized on cotton cloth. Biotechnol. Bioeng. 2002, 77, 8–19. [Google Scholar] [CrossRef] [PubMed]
- Shin, H.J.; Park, J.M.; Yang, J.W. Continuous production of galacto-oligosaccharides from lactose by Bullera singularis beta galactosidase immobilized in chitosan beads. Process Biochem. 1998, 33, 787–792. [Google Scholar] [CrossRef]
- Zheng, P.; Yu, H.; Sun, Z.; Ni, Y.; Zhang, W.; Fan, Y.; Xu, Y. Production of galacto-oligosaccharides by immobilized recombinant β-galactosidase from Aspergillus candidus. Biotechnol. J. 2006, 1, 1464–1470. [Google Scholar] [CrossRef] [PubMed]
- Plou, F.J.; Rodriguez-Colinas, B.; Fernandez-Arrojo, L.; Ballesteros, A. Low-lactose, prebiotic-enriched milk. In Probiotics, Prebiotics, and Synbiotics; Watson, R.R., Preedy, V.R., Eds.; Academic Press: San Diego, CA, USA, 2015; pp. 47–57. [Google Scholar]
- Rodriguez-Colinas, B.; De Abreu, M.A.; Fernandez-Arrojo, L.; De Beer, R.; Poveda, A.; Jimenez-Barbero, J.; Haltrich, D.; Ballesteros, A.O.; Fernandez-Lobato, M.; Plou, F.J. Production of galacto-oligosaccharides by the β-galactosidase from Kluyveromyces lactis: Comparative analysis of permeabilized cells versus soluble enzyme. J. Agric. Food Chem. 2011, 59, 10477–10484. [Google Scholar] [CrossRef] [PubMed]
- Urrutia, P.; Rodriguez-Colinas, B.; Fernandez-Arrojo, L.; Ballesteros, A.O.; Wilson, L.; Illanes, A.; Plou, F.J. Detailed analysis of galactooligosaccharides synthesis with β-galactosidase from Aspergillus oryzae. J. Agric. Food Chem. 2013, 61, 1081–1087. [Google Scholar] [CrossRef] [PubMed]
© 2016 by the authors; licensee MDPI, Basel, Switzerland. This article is an open access article distributed under the terms and conditions of the Creative Commons Attribution (CC-BY) license (http://creativecommons.org/licenses/by/4.0/).







