Manganese Oxide-Surface Modified Titanium (IV) Dioxide as Environmental Catalyst
Abstract
:1. Introduction
2. Results and Discussion
2.1. Control of the Mn-Loading Amount

2.2. Characterization Results




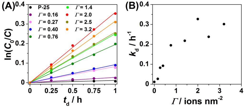
2.3. Thermocatalytic Activity


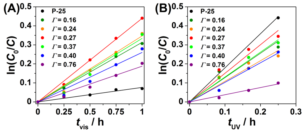
2.4. Photocataltyic Activity

| Surface modifier | kUV/h−1 b | kvis/h−1 c |
|---|---|---|
| none | 1.8 ± 0.23 | 0.09 ± 0.015 |
| MnO x | 1.5 (0.27) | 0.43± 0.011 ( 0.27) |
| FeO x | 6.9 ± 0.8 (0.54) | 0.69 ± 0.02 ( 0.49) |
| NiO | 5.0 ± 1.0 (0.47) | 1.3 ± 0.1 (0.32) |
| CuO | 6.1 (0.025) | 0.47 (0.50) |
| SnO2 | 1.9 (0.025) | 0.08 (0.032) |
3. Experimental Section
3.1. Materials
3.2. Catalyst Preparation
3.3. Catalyst Characterization
3.4. Thermocatalytic Activity Evaluation
3.5. Photocataltyic Activity Evaluation
4. Conclusions
Acknowledgements
References
- Fujishima, A.; Zhang, X.; Tryk, D.A. TiO2 photocatalysis and related surface phenomena. Surf. Sci. Rep. 2008, 63, 515–582. [Google Scholar] [CrossRef]
- Hashimoto, K.; Irie, H.; Fujishima, A. TiO2 photocatalysis: A historical overview and future prospects. Jpn. J. Appl. Phys. 2005, 44, 8269–8285. [Google Scholar] [CrossRef]
- Sinha, A.K.; Suzuki, K.; Takahara, M.; Azuma, H.; Nonaka, T.; Fukumoto, K. Mesostructured manganese oxide/gold nanoparticle composites for extensive air purification. Angew. Chem. Int. Ed. 2007, 46, 2891–2894. [Google Scholar]
- Chen, H.; He, J.; Zhang, C.; He, H. Self-assembly of novel mesoporous manganese oxide nanostructures and their application in oxidative decomposition of formaldehyde. J. Phys. Chem. C 2007, 111, 18033–18038. [Google Scholar] [CrossRef]
- Xing, S.; Hu, C.; Qu, J.; He, H.; Yang, M. Characterization and reactivity of MnOx supported on mesoporous zirconia for herbicide 2,4-D mineralization with ozone. Environ. Sci. Technol. 2008, 42, 3363–3368. [Google Scholar] [CrossRef]
- Tang, X.; Chen, J.; Huang, X.; Xu, Y.; Shen, W. Pt/MnOx—CeO2 catalysts for the complete oxidation of formaldehyde at ambient temperature. Appl. Catal. B 2008, 81, 115–121. [Google Scholar] [CrossRef]
- Nishimura, N.; Tanikawa, J.; Fujii, M.; Kawahara, T.; Ino, J.; Akita, T.; Fujino, T.; Tada, H. A green process for coupling manganese oxides with titanium(IV) dioxide. Chem. Commun. 2008, 3564–3566. [Google Scholar]
- Tada, H. Encyclopedia of Surface and Colloid Science; Hubbard, A.T., Ed.; Marcel Dekker: New York, NY, USA, 2002. [Google Scholar]
- Zhang, H.; Chen, G.; Bahnemann, D.W. Photoelectrocatalytic materials for environmental applications. J. Mater. Chem. 2009, 19, 5089–5121. [Google Scholar] [CrossRef]
- Liu, G.; Wang, L.; Yang, H.G.; Cheng, H.-M.; Lu, G.Q. Titania-based photocatalysts-crystal growth, doping and heterostructuring. J. Mater. Chem. 2010, 20, 831–843. [Google Scholar] [CrossRef]
- Tada, H.; Jin, Q.; Nishijima, H.; Yamamoto, H.; Fujishima, M.; Okuoka, S.-I.; Hattori, T.; Sumida, Y.; Kobayashi, H. Titanium(IV) dioxide surface-modified with iron oxide as a visible light photocatalyst. Angew. Chem. Int. Ed. 2011, 50, 3501–3505. [Google Scholar] [CrossRef]
- Jin, Q.; Fujishima, M.; Tada, H. Visible-light-active iron oxide-modified anatase titanium(IV) dioxide. J. Phys. Chem. C 2011, 115, 6478–6483. [Google Scholar]
- Muramatsu, Y.; Jin, Q.; Fujishima, M.; Tada, H. Visible-light-activation of TiO2 nanotube array by the molecular iron oxide surface modification. Appl. Catal. B 2012, 119–120, 74–80. [Google Scholar]
- Jin, Q.; Ikeda, T.; Fujishima, M.; Tada, H. Nickel(II) oxide surface-modified titanium(IV) dioxide as a visible-light-active photocatalyst. Chem. Commun. 2011, 47, 8814–8816. [Google Scholar]
- Nolan, M. Surface modification of TiO2 with metal oxide nanoclusters: A route to composite photocatalytic materials. Chem. Commun. 2011, 47, 8617–8619. [Google Scholar] [CrossRef]
- Nolan, M.; Iwaszuk, A.; Tada, H. Molecular metal oxide cluster-surface modified titanium(IV) dioxide photocatalysts. Aust. J. Chem. 2012, 65, 624–632. [Google Scholar] [CrossRef]
- Jin, Q.; Fujishima, M.; Nolan, M.; Iwaszukb, A.; Tada, H. Photocatalytic activities of tin(IV) oxide surface-modified titanium(IV) dioxide show a strong sensitivity to the TiO2 crystal form. J. Phys. Chem. C 2012, 116, 12621–12626. [Google Scholar]
- Papadimitriou, V.C.; Stefanopoulos, V.G.; Romanias, M.N.; Papagiannakopoulos, P.; Sambani, K.; Tudose, V.; Kiriakidis, G. Determination of photo-catalytic activity of un-doped and Mn-doped TiO2 anatase powders on acetaldehyde under UV and visible light. Thin Solid Films 2011, 520, 1195–1201. [Google Scholar] [CrossRef]
- Fujishima, M.; Jin, Q.; Yamamoto, H.; Tada, H.; Nolan, M. Tin oxide-surface modified anatase titanium(IV) dioxide with enhanced UV-light photocatalytic activity. Phys. Chem. Chem. Phys. 2012, 14, 705–711. [Google Scholar] [CrossRef]
- Tan, B.J.; Klabunde, K.J.; Sherwood, P.M.A. XPS studies of solvated metal atom dispersed catalysts. Evidence for layered cobalt-manganese particles on alumina and silica. J. Am. Chem. Soc. 1991, 113, 855–861. [Google Scholar]
- Tada, H.; Jin, Q.; Kobayashi, H. Prediction of the main route in the TiO2-photocatalyzed degradation of organics in water by density functional theory calculations. ChemPhysChem 2012, 13, 3457–3461. [Google Scholar] [CrossRef]
© 2013 by the authors; licensee MDPI, Basel, Switzerland. This article is an open access article distributed under the terms and conditions of the Creative Commons Attribution license (http://creativecommons.org/licenses/by/3.0/).
Share and Cite
Jin, Q.; Arimoto, H.; Fujishima, M.; Tada, H. Manganese Oxide-Surface Modified Titanium (IV) Dioxide as Environmental Catalyst. Catalysts 2013, 3, 444-454. https://doi.org/10.3390/catal3020444
Jin Q, Arimoto H, Fujishima M, Tada H. Manganese Oxide-Surface Modified Titanium (IV) Dioxide as Environmental Catalyst. Catalysts. 2013; 3(2):444-454. https://doi.org/10.3390/catal3020444
Chicago/Turabian StyleJin, Qiliang, Hiroshi Arimoto, Musashi Fujishima, and Hiroaki Tada. 2013. "Manganese Oxide-Surface Modified Titanium (IV) Dioxide as Environmental Catalyst" Catalysts 3, no. 2: 444-454. https://doi.org/10.3390/catal3020444
APA StyleJin, Q., Arimoto, H., Fujishima, M., & Tada, H. (2013). Manganese Oxide-Surface Modified Titanium (IV) Dioxide as Environmental Catalyst. Catalysts, 3(2), 444-454. https://doi.org/10.3390/catal3020444
