Next Article in Journal
Poly(heptazine-triazine) Imide Carbon Nitride with Tunable n→π* Electronic Transition for Efficient Solar H2S Decontamination
Previous Article in Journal
A Multifunctional Nickel-Based Metal–Organic Framework (MOF) for Hydrogen Production, Supercapacitors, and Electrocatalysis
 
 
Font Type:
Arial Georgia Verdana
Font Size:
Aa Aa Aa
Line Spacing:
Column Width:
Background:
Review

The Merger of Transition Metal and Photocatalysis: Recent Advances and Prospects in Asymmetric Intermolecular 1,2-Difunctionalization of Alkenes

1
School of Chemical and Environmental Science, Shaanxi University of Technology, Hanzhong 723001, China
2
School of Pharmacy, The Fourth Military Medical University, Xi’an 710032, China
*
Authors to whom correspondence should be addressed.
Catalysts 2026, 16(3), 284; https://doi.org/10.3390/catal16030284
Submission received: 30 January 2026 / Revised: 18 March 2026 / Accepted: 19 March 2026 / Published: 23 March 2026
(This article belongs to the Section Catalysis for Pharmaceuticals)

Abstract

Unsaturated carbon–carbon bonds are fundamental building blocks in organic compounds. The difunctionalization of olefins allows for the rapid construction of drugs and complex molecular architectures. This transformation, which simultaneously installs two distinct functional groups across a carbon–carbon double bond, has therefore emerged as prominent research frontier in organic chemistry. In recent years, the synergy between photoredox and transition metal catalysis has emerged as a powerful and sustainable platform for constructing C-X bonds. This review covers advances since 2018 in the asymmetric difunctionalization of olefins enabled by synergistic visible light photoredox and transition metal catalysis, encompassing the construction of both carbon–carbon and carbon–heteroatom bonds. It systematically summarizes the reaction conditions, substrate scope, mechanisms, and merits and limitations of these catalytic systems, aiming to provide a useful reference for researchers in this field.

Graphical Abstract

1. Introduction

Olefins are inexpensive and readily accessible chemical feedstocks with broad applications in pharmaceuticals, agrochemicals, and materials science [1,2,3,4]. Their intermolecular difunctionalization provides atom and step economy while enabling the rapid generation of molecular diversity, aligning with the principles of green chemistry [5,6,7,8]. Consequently, alkene difunctionalization has emerged as a cornerstone in modern organic synthesis, enabling the precise construction of two distinct functional groups across a carbon–carbon double bond with stereochemical control. Over the past decade, transition metal-catalyzed alkene difunctionalization has attracted widespread attention and is now established as a powerful methodology for building diverse carbon–carbon and carbon–heteroatom bonds [9,10,11,12,13,14,15,16]. However, thermochemical reactions often rely on organometallic reagents, require elevated temperatures, and employ expensive ligands, presenting substantial challenges for further development [17,18].
In recent years, visible light-mediated photoredox catalysis has emerged as a valuable concept in organic synthesis. Photocatalytic olefin difunctionalization employs photocatalysts for single-electron transfer (SET) activation of olefins under mild conditions, enabling the efficient and highly selective incorporation of two distinct functional groups [19,20]. Compared to conventional methodologies relying on transition metal catalysis or stoichiometric redox systems, photocatalytic approaches generally exhibit superior functional group tolerance, milder reaction conditions, and enhanced atom and step economy [10]. Visible light-driven catalytic asymmetric difunctionalization of alkenes has thus become a highly attractive frontier in modern synthetic chemistry, as it allows for the simultaneous introduction of two functional groups and the precise construction of stereogenic centers in a single step under mild conditions. However, a core challenge lies in the high reactivity and instability of the short-lived radical intermediates generated, which renders enantioselective control over the newly formed stereocenters particularly difficult. To address this selectivity challenge, the metallaphotoredox cooperative catalysis strategy has been developed and has become a major research focus [21,22,23,24].
The merger of photoredox and transition metal catalysis has rapidly advanced alkene difunctionalization, establishing it as a mild and efficient route to complex molecular architectures. Representative developments include Shu and colleagues’ systematic review on the visible light-mediated nickel-catalyzed asymmetric bifunctionalization of alkenes, which highlights cross-electrophile three-component reactions under both redox-neutral and reductive conditions, along with detailed mechanistic insights [25]. Subsequently, Xiao’s group summarized their advances in visible light-mediated copper-catalyzed asymmetric multicomponent radical cross-coupling of olefins, elucidating the pivotal role of photocatalysis in promoting enantioselective transformations and offering valuable insights for this rapidly evolving field [26]. However, a comprehensive and comparative review focusing specifically on the asymmetric 1,2-difunctionalization of alkenes enabled by visible light and transition metal cooperative catalysis—with an emphasis on the distinct mechanistic paradigms across different metals—remains conspicuously absent. Prior accounts have largely been organized by reaction type or limited to a single metal, leaving a critical gap in understanding how the choice of metal (Cu, Ni, Pd, Co) dictates the stereoelectronic control model, radical capture pathway, and ultimately the substrate scope and limitations. To fill this critical gap, this review aims to provide a consolidated and mechanistic-oriented survey of this vibrant area. We will organize the discussion by transition metals (Cu, Ni, Pd, Co), analyze representative catalytic cycles and substrate scope, and outline future directions to inspire further innovation in the field.
The following figure represents the ligands and photocatalyst discussed in this review (Figure 1 and Figure 2).

2. Visible Light-Mediated Copper-Catalyzed Asymmetric Difunctionalizations of Alkenes

Copper, an abundant and low-toxicity transition metal, serves as an important catalyst in organic synthesis. The merger of copper catalysis with photoredox processes leverages light energy to generate highly reactive intermediates or radicals that are often inaccessible under thermal conditions [27,28]. This synergy provides a powerful strategy for achieving enantioselective difunctionalization of olefins. Two possible mechanisms are proposed in Scheme 1. The first involves excitation of the photocatalyst by visible light. The resulting excited-state species undergoes SET to form a nucleophilic radical (R). This radical combines with the alkene to form a new alkyl radical intermediate. Then, copper stereoselectively captures the intermediate to form a high-valent alkyl-L/Cu intermediate. Finally, reductive elimination affords the target compound. The second mechanism involves rapid ligand exchange between L/Cu and R1-X to deliver photoactive L/CuI-R1 species. This complex can be irradiated to its reducing excited-state [L/CuI-R1]*. Subsequently, [L/Cu-R1]* undergoes SET with R2-X to generate an L/CuII intermediate and R2 radical. The R2 radical then rapidly attacks the alkene to give a benzyl radical, which is captured by the L/CuII intermediate to form a chiral L/CuIII species. Finally, this L/CuIII species undergoes enantioselective reductive elimination to afford the final product. Using this approach, a variety of functional groups, including cyano, aryl, and ester groups, have been successfully incorporated via enantioselective copper catalysis.

2.1. Enantioselective C–CN Difunctionalization

The cyano group is a key functional group in drug synthesis, high-performance materials and organic synthesis. In 2018, Han and Mei et al. reported a protocol for photoredox and copper-catalyzed asymmetric cyanoalkylation of alkenes with alkyl N-hydroxyphthalimide esters [29]. Under an atmosphere of argon, compound 4 was obtained in moderate yields and enantioselectivities in the presence of 1 (4.0 equiv), 2 (0.2 mmol), 3 (1.1 equiv), CuBr (1.0 mol%) as the metal catalyst, ligand L1 (1.2 mol%) as the chiral ligand, fac-Ir(ppy)3 PC1 (0.5 mol%) as the photocatalyst in a mixed solvent of NMP and PhCl at room temperature for 24 h. This protocol provides a valuable new approach to asymmetric cyanoalkylation of alkenes, particularly relevant to pharmaceutical and natural product chemistry. Both electron-donating and electron-withdrawing groups at the para-position of the styrene derivatives are well tolerated. Furthermore, reactions with meta- and ortho-substituted styrene derivatives also proceeded smoothly. Unfortunately, the inactive alkene shows poor reactivity. In addition, a wide range of primary, secondary, and tertiary alkyl-substituted esters are also well tolerated in this reaction. A possible mechanism is proposed in Scheme 2. Firstly, the photoredox catalyst IrIII PC1 is excited to the activated state IrIII*, which then undergoes SET with N-hydroxyphthalimide esters to generate a radical anion and photocatalyst intermediate IrIV. Secondly, the radical anion releases CO2 to form the alkyl radical that adds to styrene to produce a benzylic radical. At the same time, the IrIV oxidizes the L/CuI catalyst to generate L/CuII species. Next, the L/CuII complex is oxidized by the benzylic radical and then captures TMSCN 3 to generate L/CuIII intermediate. Finally, the L/CuIII intermediate undergoes reductive elimination to afford the desired product with high enantioselectivities and regenerate the L/CuI catalyst to close the catalytic cycle.
In 2019, Xu and Wang et al. developed a visible light-induced Cu-catalyzed enantioselective cyanofluoroalkylation of alkenes that proceeds without an external oxidant [30]. Treatment of alkenes 5, fluoroalkyl iodides 6 and TMSCN 3 with CuI (10 mol%), bisoxazoline ligand L2 (20 mol%), N,N-dimethylbenzylamine (1.5 equiv) and H2O (2.0 equiv) in MeCN at room temperature for 4 h under argon atmosphere enabled the synthesis of the desired cyanofluoroalkylation products 7 in good yields (up to 93%) with excellent enantioselectivities (up to 96%). Different fluoroalkyl iodides reacted smoothly to provide products with uniformly good yields and enantioselectivities. However, the conjugated dienes and styrene substrates with strong electron-withdrawing groups showed limited reactivity. Notably, the cyanofluoroalkylation product could be further converted to fluoroalkylated carboxylic acid and amine. While this method offers a direct route to enantioenriched cyanofluoroalkylated compounds, the reliance on a high loading (12 mol%) of the chiral ligand raises concerns regarding its practicality and sustainability. At such a high loading, the ligand—often the most synthetically complex and expensive component—effectively becomes a stoichiometric additive rather than a true catalyst, which severely undermines the atom economy of the transformation. A possible mechanism is proposed in Scheme 3. The catalytic cycle is initiated by rapid ligand exchange between TMSCN and [L/CuIX] species to give [L/CuICN] species. Upon irradiation, the [L/CuICN]* state is oxidatively quenched, generating the fluoroalkyl radical and L/CuII(CN)2 intermediate. The fluoroalkyl radical then adds to the alkene to form benzyl radical intermediate, which subsequently reacts with the [L/CuII(CN)2] complex to form the chiral L/CuIII(CN)2 species. Finally, reductive elimination of [L/CuIII(CN)2] species delivers the final product with high enantioselectivities.
In 2021, Chen and Xiao et al. developed an efficient intermolecular three-component asymmetric dicarbofunctionalization of alkenes 5 by photoredox and copper dual catalysis (Scheme 4) [31]. This transformation, employing precious metal fac-Ir(ppy)3 PC1 (0.8 mol%) as the photocatalyst, Cu(CH3CN)4PF6 (1.5 mol%) as the catalyst and chiral Box-type ligand L2 as the ligand in DMA at room temperature for 24 h under argon could obtain a wide range of styrenes with electron-donating (such as Me, tBu, and Ph) or electron-withdrawing (such as F and OAc) in moderate to good yields and excellent enantioselectivities (up to 93%). Notably, styrenes derived from dihydroartemisinin and gibberellic acid could also participate in the reaction with good stereoselectivity. A possible mechanism is proposed in Scheme 4. Upon light irradiation, the photoredox catalyst fac-Ir(ppy)3 PC1 is excited to the activated state, which then proceeds with SET with the esters 8 to give iminyl radicals. Cleavage of these iminyl radicals generated a radical species, followed by radical addition to the styrene derivative to form the relatively stable benzyl radical. Then, the L/CuICN complex could be oxidized by the photocatalyst radical cations via a SET process to obtain ground-state photocatalyst and the L/CuII(CN)2 complex. Subsequently, the L/CuII(CN)2 complex adds to radical 10 to produce L/CuIII(CN)2 species and then reductive elimination of L/CuIII(CN)2 species to deliver the final product with high enantioselectivities and regenerate L/CuICN species to complete the catalytic cycle. Although the catalytic system employs relatively inexpensive copper salts, the photocatalyst remains a precious iridium complex. It is worth noting that while this system exhibits excellent compatibility with simple styrenes and their derivatives, it is not applicable to unactivated alkenes. This work provides an important methodological foundation for asymmetric radical difunctionalization; however, to evolve into a truly general synthetic tool, further breakthroughs are still required in catalyst sustainability, substrate universality, and in-depth mechanistic analysis.
In 2021, Xiao et al. developed a visible light/copper dual-catalyzed strategy for asymmetric carbocyanation of 1,3-dienes 11 (3.0 equiv) with carboxylic acid derivatives 12 (1.0 equiv) and TMSCN 3 (3.0 equiv) (Scheme 5) [32]. NHP esters with different substitution patterns as well as cyclic or linear alkylcarboxylic acids and 1,3-dienes with different substituents were compatible in the reaction. Notably, this success was successfully expanded to 1,3-enynes; however, internal acyclic dienes were unsuccessful under the current conditions. Although the system successfully avoids the use of precious metal photocatalysts and ultimately employs white LEDs as the light source, which enhances the sustainability of the protocol to some extent, the extended reaction time—requiring up to 36 h under low concentration and specific wavelength irradiation—poses significant challenges to space–time yield and process scale-up in practical production. A possible mechanism is proposed (Scheme 5). The photocatalyst perylene PC2 is irradiated to afford its excited state under visible light excitation. The excited-state PC2 reduces NHP ester 12 in a SET to generate PC2 radical cations and 12 radical anion, which subsequently releases CO2 to form radical 14. Then, the alkyl radical 14 adds to 1,3-diene to give allyl radical. In addition, the complex L/CuI(CN) is oxidized by the radical cations PC2 via a SET process to obtain ground-state photocatalyst and the L/CuII(CN) complex. Next, the L/CuII(CN) complex adds to allyl radical to produce L/CuIII(CN) species. Finally, reductive elimination of this L/CuIII(CN) species delivers the final chiral allyl cyanide product and regenerates the L/CuI(CN) catalyst.
In 2021, Lu et al. developed a chemodivergent asymmetric strategy by tuning the metal-to-ligand ratio in an organometallic catalytic system. This transformation utilized N-(aroyloxy)phthalimide esters (NHP esters) as precursors to generate either oxygen-centered aroyloxy or nitrogen-centered phthalimidyl radicals, yielding a series of products (Scheme 6) [33]. The optimized conditions for this reaction were as follows: 3DPA2FBN PC3 as the photocatalyst, Cu(CH3CN)4BF4 as the catalyst and L3 as the chiral ligand in MeCN at 5 °C for 12 h with irradiation of blue LED. Importantly, this chemodivergent asymmetric synthesis was achieved by tuning the metal-to-ligand ratio. Moreover, this reaction was amenable to electron-rich or electron-deficient substituents at the para-position or meta-position of styrene. The reaction was also applicable to heteroarenes, vinylcyclopropanes and bioactive molecules, including estrone and dehydrocholic acid. Notably, the effectiveness of the reaction was demonstrated by the transformation of the products through later functionalization to generate 1,3-diamines, amino alcohols, and aldehydes, which are fragments widely found in natural products and many useful compounds.
In 2025, Lu, Li and Chen et al. developed a switchable divergent radical platform for olefin difunctionalization using N-(acyloxy)phthalimides as tunable radical precursors (Scheme 7) [34]. The reaction can be directed toward either 1,2-alkylcyanation or 1,2-aminocyanation with high enantioselectivity and broad functional group tolerance. This methodology exhibits broad substrate compatibility, successfully achieving highly selective transformations of typically challenging NHPI esters bearing electron-withdrawing groups such as α-cyano, ester, polyfluoroalkyl, and halogens, while also accommodating a wide range of aryl, heteroaryl, and even complex natural product-derived alkenes. The resulting bifunctional products demonstrate remarkable synthetic utility, allowing for diverse derivatizations via cyano and halogen groups to efficiently construct key intermediates such as chiral amines, esters, lactams, and β-ketoesters. The successful gram-scale preparation and subsequent tandem transformations further underscore the robustness and practicality of this platform for the rapid assembly of structurally complex and functionally dense molecules.
In 2023, Nicewicz et al. developed an interesting photocatalytic protocol for the enantioselective amino and oxycyanation of alkenes via organic photoredox and copper catalysis [35]. They utilized olefins 18, carbamate nucleophiles 19 and TMSCN 3 to synthesize a series of the amino- and oxycyanation products, which were obtained in the presence of Cu(OTf)2 (5 mol%), sBOX(iPr) L4 (7.5 mol%), Mes-Acr-BF4 PC4 (5 mol%), TBHP (2.0 equiv) in MeCN at 5 °C under blue LED irradiation for 16 h (Scheme 8). Importantly, this protocol can be considered an effective method to synthesize the β-amino nitrile moiety and its derivatives, important building blocks for natural products and pharmaceuticals. Both terminal and internal styrene derivatives were well tolerated under the standard reaction conditions. Unfortunately, diastereoselectivity could not be achieved with alkenes bearing two prochiral carbon centers. It is worth noting that the group conducted cyclic voltammetry studies. The experiments showed that the oxidation potential of acrylic acid was more compatible with that of the corresponding β-methylstyrene, indicating that the oxidation occurred in the olefinic part rather than the carboxylic acid part. The mechanism begins with the excitation of the PC4 catalyst by blue LED light, generating an excited-state PC4 that oxidizes the alkene to form a radical cation. Subsequently, this radical cation is intercepted by a nucleophile to afford an intermediate, and then the alkyl radical adds to L/CuIICN species to give L/CuIII(CN) intermediate. Reductive elimination from the L/CuIII(CN) intermediate releases the desired product (Scheme 8).
In 2023, Zhu et al. reported an efficient strategy for the 1,2-amidocyanation of 1,3-dienes 21 using N-Boc-amidopyridinium 22 salts and TMSCN 3 under visible light irradiation (Scheme 9) [36]. The highlights of this protocol include mild reaction conditions and broad substrate scope. The reaction of 21 (0.1 mmol) with N-Boc-amidopyridinium salts 22 (1.0 equiv) and TMSCN 3 (2.0 equiv) employed fac-Ir(ppy)3 PC1 (1 mol%), Cu(OTf)2(H2O)x (20 mol%) as the catalyst and L2 as the ligand in CHCl3 at room temperature under blue LED irradiation, affording the desired 1,2-amidocyanation products. Notably, electron-withdrawing substitution (F, Cl, Br, COOMe, and CF3) at various positions of 1,3-dienes was well tolerated, affording the required products in good yields and excellent ee values. Similarly, electron-donating alkyl substitution (Me, OMe) at various positions of 1,3-dienes was reacted smoothly and delivered the expected products in good yields. Importantly, the reaction was also applicable to N-amidopyridinium salts, and both N-Boc and N-Cbz derivatives were applicable. The group demonstrated the existence of an allylic radical intermediate through radical clock experiments, and further unequivocally confirmed the inner-sphere cyanide transfer mechanism by characterizing the L/CuCN complex by X-ray crystallography. A possible mechanism is proposed in Scheme 9. Firstly, the excited-state photocatalyst fac-Ir(ppy)3 can be oxidized by N-amidopyridinium salt 22 to provide photocatalyst IrIV and radical 24. Then, the radical undergoes fragmentation to generate 2,4,6-collidine and NHBoc. Subsequently, 1,3-diene adds to NHBoc to form an allylic radical, followed by oxidation with L/Cu(CN)2 to generate the allylic L/CuIII complex. Next, reductive elimination of L/CuIII complex affords the final product and L/CuCN. Finally, oxidation of L/CuCN to L/Cu(CN)2 in the presence of TMSCN by IrIV would close the catalytic cycle, regenerating the IrIII PC1.
In 2024, Xiao and Chen et al. reported an organic photoredox-catalyzed reductive functionalization of aromatic alkenes for the synthesis of hydrocyanation, deuterocyanation, and cyanocarboxylation products by employing TMSCN 3 as the cyanide source (Scheme 10) [37]. The reaction proceeded via the generation of alkene radical anions, which were orthogonally functionalized with a cyanide source, enabling highly regio- and enantioselective hydrocyanation, deuterocyanation, and cyanocarboxylation. Under an atmosphere of argon, compound 29 was obtained in high yields and enantioselectivities in the presence of 25 (1.0 equiv), 3 (1.5 equiv), either H2O (1.0 equiv), D2O (20.0 equiv), CO2 (5 atm), 10-phenylphenothiazine PC5 (PTH-1, 10 mol%), CuTc (2 mol%) and bisoxazoline L2 (2.4 mol%) in DMA at room temperature for 2–48 h. Notably, electron-rich and electron-poor styrene derivatives, internal alkenes and those with alkynyl groups as well as other vinylarenes are both applicable to the reaction conditions. A possible mechanism is proposed in Scheme 10. Firstly, upon visible light irradiation, the excited-state photocatalyst PC5* oxidizes the alkene* to generate the alkene radical anion and the PC5 radical cation. Next, the radical anion is protonated by H2O or HCN to obtain the benzyl radical. At the same time, the [L/CuICN] complex is oxidized by the radical cation PC5 via a SET process to generate the [L/CuII(CN)2] complex after trapping another cyanide anion from TMSCN. Finally, the [L/CuII(CN)2] complex reacts with prochiral benzylic radicals to form product through a high-valent L/CuIII complex and reductive elimination.
In 2025, Yuan et al. reported a catalytic electron donor–acceptor (EDA) complex in cooperation with copper catalysis. In this protocol, NaI was used as a catalytic donor to achieve copper-catalyzed radical asymmetric carbocyanation (Scheme 11) [38]. They selected NHPI ester 30 (2.0 equiv), alkene 31 (0.2 mmol), and TMSCN 3 (2.0 equiv) as model substrates to optimize the reaction conditions, employing NaI/PCy3 (20 mol%) as the donor catalyst, CuBr (20 mol%) and ligand L2 (12 mol%) as the chiral copper catalytic system under blue LED irradiation to afford the desired products. Notably, alkene substrates, styrene and its derivatives with different substituents at the para-, meta-, and ortho-positions, as well as 2-vinylnaphthalene, could react smoothly with high yields and enantioselectivities. A possible mechanism is proposed in Scheme 11. Photoexcitation of the EDA complex triggers SET to generate an alkyl radical and an R3P-I intermediate, and then the alkyl radical adds to styrene to form a benzyl radical intermediate. Subsequently, the catalyst L/CuII(CN) complex further reacts with TMSCN 3 to generate the L/CuII(CN)2 intermediate. Then, the benzyl radical is captured by the L/CuII(CN)2 complex to produce the L/CuIII complex, which subsequently undergoes reductive elimination to furnish the final product and regenerate L/CuI(CN) catalyst. This protocol features a broad scope of alkyl radical precursors, paving the way for applying catalytic EDA complex photochemistry. Although this strategy circumvents the use of precious metal photocatalysts by employing NaI/PCy3 as a catalytic donor, the system still requires 20 mol% of copper salt and 12 mol% of the chiral bisoxazoline ligand. The high loading of the chiral ligand presents non-negligible environmental and economic costs. Moreover, its applicability to electron-deficient alkenes, unactivated alkenes, and internal alkenes has not yet been demonstrated, indicating that the generality of this method remains limited to substrates with specific electronic properties and configurations. Overall, this work provides an important proof-of-concept for EDA/metal cooperative catalysis, but further breakthroughs in catalyst design and substrate universality are still required.
In 2025, Zhang and Fang et al. developed an enantioselective cyanoalkylation of styrenes using a cooperative photoredox and copper catalysis system, proceeding via deoxygenation of alkoxyl radicals with organophosphorus compounds (Scheme 12) [39]. This protocol employed PC1 (1 mol%) as the photocatalyst, Cu(CH3CN)4PF6 (2 mol%) as the copper catalyst, and chiral bisoxazoline ligand L2 (3 mol%) as the ligand, triethyl phosphite as the additive in DCM at room temperature for 12 h. A variety of styrene derivatives and some naphthalene-derived substrates could afford the desired chiral alkyl nitrile products in good yields (54–83%) with excellent enantioselectivities (60–95%). Some alkyl N-hydroxyphthalimide ethers also reacted well, providing products in good yields (50–75%) and high enantioselectivities (82–93% ee). The model reaction was successfully scaled up to 3 mmol without any erosion in yield or enantioselectivity. In addition, the resulting alkyl nitriles served as versatile synthetic intermediates, allowing for their straightforward conversion into various chiral carboxylic acids, amides, and esters, thereby highlighting the method’s synthetic utility. A possible mechanism is proposed in Scheme 12. The mechanism begins with the excitation of the photocatalyst PC1 by blue LED light, generating an activated state photocatalyst IrIII*, which donates an electron to the alkyl N-hydroxyphthalimide ether to form an alkoxyl radical and IrIV. The alkoxyl radical reacts with P(OEt)3 to generate a phosphorus radical, which then releases PO(OEt)3 to form an alkyl radical, and then the alkyl radical adds to the alkene to generate a benzylic radical intermediate. Meanwhile, L/CuII(CN) species reacts with TMSCN to generate the active L/CuII(CN)2 species. Finally, L/CuII(CN)2 species enantioselectively traps the benzylic radical intermediate, obtains the final chiral alkyl nitrile product and after reductive elimination, regenerates L/CuI(CN) for the next catalytic cycle.
In 2025, Wu and Chen et al. reported a photoredox and copper dual-catalyzed asymmetric alkoxycarbonyl-cyanation of styrenes, providing a mild and practical approach for the efficient synthesis of chiral β-cyanoesters (Scheme 13) [40]. Employing PC1 as the photocatalyst, CuBr as the catalyst, chiral bisoxazoline L24 as the ligand, this protocol enables the 1,2-difunctionalization of styrenes under blue light irradiation using N-phthalimidoyl oxalates as alkoxycarbonyl radical precursors and TMSCN as the cyanide source. The reaction is compatible not only with a variety of styrene derivatives bearing electron-donating or electron-withdrawing groups (such as halogens, cyano, trifluoromethyl, aldehyde), including ortho-, meta-, para-substituted and poly-substituted styrenes, but also compatible with alkoxycarbonyl precursors derived from methanol to various cyclic alcohols and even chiral alcohols. The target products are obtained in moderate to good yields with high enantioselectivity.
In 2025, Chen et al. reported a photoinduced copper-catalyzed asymmetric radical sulfonylcyanation of vinylarenes using sulfonyl cyanides as bifunctional reagents under mild conditions, employing CuTc (5 mol%) as the copper catalyst, chiral bisoxazoline ligand L2 (6 mol%), and phenothiazine-based photocatalyst PC5 (5 mol%) in MeCN under irradiation with purple LED at room temperature under an argon atmosphere [41]. The protocol demonstrates broad substrate scope, accommodating a wide range of styrene derivatives bearing diverse electronic and steric properties, as well as various aryl- and alkyl-substituted sulfonyl cyanides, delivering chiral β-sulfonyl nitriles in high yields (up to 98%) and enantioselectivities (up to 95% ee). The synthetic utility of this method is further demonstrated by transformations such as conversion of the nitrile product into ester and Boc-protected amine derivatives without significant loss of enantiopurity, underscoring the method’s potential for preparing valuable enantiomerically enriched building blocks in medicinal and synthetic chemistry (Scheme 14).

2.2. Enantioselective Dual Carbofunctionalization

In 2020, Zhang et al. developed a copper-catalyzed photoinduced enantioselective dual carbofunctionalization of alkenes, employing CuI (10 mol%) as the catalyst, bisoxazoline diphenylamine L6 (tBu-BOPA, 20 mol%) as the chiral ligand and K3PO4 (3.0 equiv) as the base in MeCN under blue LED irradiation at 0 °C for 24 h [42]. The reaction proceeded with moderate to good yields and excellent enantioselectivities (up to 98%), with fluorinated propargylic compounds providing particular synthetic value. Although the reaction was applicable to ortho-substituted styrenes, their yields diminished due to steric hindrance, and disubstituted alkenes were unreactive. In addition, the successful gram-scale synthesis and downstream transformations confirmed its practical utility. The group demonstrated the involvement of radical intermediates through radical trapping experiments. UV-vis absorption spectroscopy revealed that the BOPA–copper–alkyne complex is the actual photoactive species. Additionally, cyclic voltammetry and Stern–Volmer fluorescence quenching experiments were conducted. Unfortunately, the isolation and crystallographic characterization of key intermediates were not mentioned in the article. A possible mechanism is proposed in Scheme 15. The [L/CuI(C≡CR)] complex undergoes photoexcitation to generate the excited-state [L/CuI(C≡CR)]* species. This excited-state complex then reduces an alkyl iodide via SET, generating an alkyl radical and [L/CuII(C≡CR)] species. Then, the alkyl radical adds to styrene to form a benzylic radical, which reacts with [L/CuII(C≡CR)] to form a L/CuIII complex that undergoes reductive elimination to provide the chiral propargylic product.
In 2024, Xiao et al. developed a versatile copper-bisoxazoline catalytic system for the asymmetric three-component arylative radical cross-coupling of benzylic, propargylic or allenylic radicals with oxime carbonates and aryl boronic acids (Scheme 16) [43]. This methodology enables access to chiral 1,1-diarylalkanes, benzylic alkynes, and allenyl-substituted allenes with high enantioselectivities, employing copper salts in combination with chiral ligands for catalysis, with the transformation proceeding in a mixed solvent system at 0 °C. Although this methodology successfully constructs a diverse array of chiral allenes under mild conditions with excellent enantioselectivity, sterically hindered 1,1- and 1,2-disubstituted styrenes are incompatible with this system, underscoring the high sensitivity of the radical addition step to substrate steric hindrance. Furthermore, the method relies on specifically designed bisoxazoline ligands, with the optimal ligand structure requiring switching based on the radical type, highlighting the current lack of a truly universal ligand solution.
In 2024, Liu et al. developed a protocol for the synthesis of cyanoalkylalkynylation compounds of alkenes (0.1 mmol), terminal alkynes 43 (3.0 equiv) and oximes 44 (3.0 equiv) in PX/DCM (v/v = 7/3) in the presence of CuOTf (10 mol%) as the catalyst, G-TqPy L5 (12 mol%) as the ligand, Cs2CO3 as base at 5 °C under blue LED irradiation for 44 h (Scheme 17) [44]. Substrate scope studies disclosed that various substituted ethynylbenzenes such as different positions and electronic nature reacted smoothly with 2-vinyl-naphthalene and cyclobutanone oxime yielding the corresponding products in moderate yields and high enantioselectivities. Unfortunately, the bicyclo [4.2.0]octa-1(6),2,4-trien-7-one oxime ester and 2,2,4,4-tetramethylcyclobutane-1,3-dione oxime ester gave the desired product in poor yields and enantioselectivities, probably due to steric hindrance resulting in decreased reactivity of the cyclobutanone oxime ester. A possible mechanism is proposed in Scheme 17. A chiral anionic guanidine-amide CuI acetylide complex absorbs visible light to form the triplet state, which then performs a SET process with oxime ester 44 to generate the CuII complex and an iminyl radical, and then the iminyl radical transforms into cyanoalkyl radical via carbon–carbon cleavage and the alkyl radical adds to alkene to give allyl radical 46. Subsequently, CuII complex and radical 46 undergo corresponding selective coupling to obtain CuIII species, and then reductive elimination of CuIII species affords the desired product.
In 2025, Guo and Zhang et al. reported a photoinduced copper-catalyzed enantioselective three-component alkylalkynylation of alkenes (Scheme 18) [45]. This method employs more economical and readily available acetonitrile as the cyano source. The reaction system is applicable for late-stage modification of various complex molecules, such as estrone, naproxen, menthol, and glucose derivatives, affording the target products in moderate to good yields. Furthermore, the resulting products can be further transformed into a wide range of functional groups, including amides, ketones, aldehydes, alcohols, carboxylic acids, and alkenes, demonstrating the broad applicability and synthetic versatility of this methodology. Although this method exhibits good compatibility with a wide range of C(sp3)-H precursors (including acetonitrile, ketones, esters, amides, ethers, and amines), selective functionalization at the α-sulfur site was observed for substrates containing both α-oxygen and α-sulfur atoms. However, whether this selectivity—presumably governed by polarity matching—possesses universal predictive power requires validation through further case studies. Furthermore, the complex ligand L10 is employed at a loading as high as 12 mol%. Further breakthroughs are still required in subsequent substrate universality validation and catalyst economy optimization.

2.3. Enantioselective C-O Difunctionalization

In 2022, Chen, Xiao and Guan et al. disclosed a visible light-induced, copper-catalyzed asymmetric three-component coupling reaction for the C−O bond formation using alkenes, oxime esters, and carboxylic acids [46]. The optimized conditions employed Cu(CH3CN)4PF6 (5.0 mol%) as the catalyst with L10 (6.0 mol%) as the chiral ligand in DCE under an argon atmosphere at 0 °C. The protocol demonstrated its utility by facilitating the late-stage modification of various pharmaceuticals and natural products. A possible mechanism is proposed in Scheme 19. The L/CuI species is excited to its excited-state [L/CuI]* species under purple light irradiation. Then, the reaction proceeds through a photoinduced SET from the [L/CuI]* species to the oxime ester to generate an iminyl radical and a L/CuII species. Subsequently, the iminyl radical undergoes ring-opening to form cyanoalkyl radical, which then adds to an alkene to generate a benzylic-type radical. Finally, L/CuII species coordinates with benzylic-type radical to form L/CuIII complex and undergoes reductive elimination to form the final product.
At the same time, Chen and Xiao et al. disclosed a Cu-catalyzed three-component radical 1,2-carbon-oxygen bifunctionalization of 1,3-dienes to afford a series of corresponding products [47]. The reaction was performed under an argon atmosphere using Cu(CH3CN)4PF6 (2.0 mol%) as the catalyst, L11 (2.4 mol%) as the ligand and DCM as the solvent at room temperature under purple LED irradiation for 4 to 8 h (Scheme 20). The group synthesized a series of chiral aryl-substituted 1,3-dienes, a range of styrenes bearing weak electron-donating groups (such as Me, tBu and OMe) at the para-, meta-, or ortho-positions worked well and delivered the corresponding products in good yields and enantioselectivities (up to 96%). Moreover, the reaction can accommodate a variety of carboxylic acids, aromatic carboxylic acids with different substituents, heteroaromatic carboxylic acids, aliphatic carboxylic acids, furnishing the diversified products. A plausible mechanism is proposed in Scheme 20. Firstly, catalytic cycle begins with the excited-state [L/CuI]* complex by purple light irradiation upon L/CuI. Then, the reaction proceeds through a photoinduced SET from the [L/CuI]* complex to the oxime ester to generate an iminyl radical and a L/CuII species. Next, the iminyl radical adds to the 1,3-diene to form an allylic radical, which is trapped by L/CuII species to form allyl L/CuIII complex and undergoes enantioselective reductive elimination to furnish the desired product.
In 2024, Chen et al. developed a Cu-catalyzed three-component radical 1,2-azidooxygenation of 1,3-dienes to afford a series of corresponding products (Scheme 21) [48]. Under an atmosphere of argon, the products were obtained with excellent yields and enantioselectivities (up to 98%) in the presence of Cu(CH3CN)4PF6 (2.0 mol%) as the catalyst, (S,S)-L12 (2.4 mol%) as the ligand and DCM as the solvent at room temperature for 24 h. The group synthesized a series of chiral aryl-substituted 1,3-dienes, a range of styrenes bearing weak electron-donating groups at the para-, meta-, or ortho-positions worked well and delivered practical and efficient approach for the synthesis of valuable azidated chiral allylic esters. Unfortunately, electron-withdrawing groups result in moderate yields. A possible mechanism is proposed in Scheme 21. Firstly, catalytic cycle begins with the excited-state [L/CuI]* species by purple light irradiation upon L/CuI species, then, the [L/CuI]* species to facilitate SET to generate an azidyl radical and L/CuII species and release of an amidyl anion. Next, the azidyl radical adds to the 1,3-diene to form an allylic radical, which is trapped by L/CuII species to form an allyl L/CuIII complex and undergoes enantioselective reductive elimination to furnish the desired product.
In 2023, Chen et al. developed a photoinduced copper-catalyzed asymmetric radical three-component cross-coupling of 1,3-enynes with oxime esters and carboxylic acids (Scheme 22) [49]. The initial reaction was performed using 1,3-enyne 61, oxime ester 62, and para-ester-substituted benzoic acid 63 as the model substrates. The optimal conditions were Cu(CH3CN)4PF6 (2.0 mol%) and ligand (S,S)-L12 (2.4 mol%) in DCE at room temperature for 24 h under purple LED irradiation. Moreover, the reaction could be conducted on a gram scale. Notably, under the optimized conditions, various 1,3-enynes, 3-aryl-substituted 1,3-enyne derivatives, 1,3-enynes with functional groups at the meta- or ortho-position, 1,3-enynes with a naphthyl or thiophenyl substituent, and alkyl-substituted 1,3-enynes were found to deliver the corresponding products in high yields and excellent enantioselectivities. Most products exhibited ee values above 90%, with some reaching up to 99%, demonstrating excellent chiral control. Although a large number of substrates were tested, most of the 1,3-enynes employed were aryl-substituted, with alkyl-substituted enynes being scarcely explored. Additionally, while the authors demonstrated the modification of drug molecules, no catalyst recovery experiments were conducted, leaving the assessment of practical application potential insufficient. A possible mechanism is proposed in Scheme 22.

3. Visible Light-Mediated Nickel-Catalyzed Asymmetric Difunctionalizations of Alkenes

Nickel, as a common and abundant transition metal catalyst, has been extensively employed in organic synthesis due to its rich redox chemistry, broad applicability, and high catalytic efficiency [50,51]. Furthermore, the integration of nickel catalysis with photoredox processes utilizes light energy to drive distinctive SET pathways, thereby facilitating the generation of transient nickel intermediates or radical species that are typically inaccessible under conventional thermal conditions. This synergistic catalytic strategy significantly expands the design space for enantioselective difunctionalization of olefins, opening new avenues for the development of green and efficient synthetic methodologies [25]. The common cooperative catalytic mechanisms are illustrated below (Scheme 23).

3.1. Enantioselective Alkylarylation of Alkene

In 2020, Chu et al. reported nickel-catalyzed enantioselective three-component fluoroalkylarylation strategy for the synthesis of products from unactivated alkenes 66 with aryl halides and perfluoroalkyl iodides [52]. A variety of 5-bromopyrimidines bearing electron-withdrawing and electron-donating groups all worked well. In 2020, Chu and Gutierrez et al. reported the first asymmetric dual photoredox/nickel-catalyzed three-component alkylarylation of alkenes, enabling the construction of chiral α-aryl carbonyls under redox-neutral and mild visible light conditions (Scheme 24) [53]. The protocol accommodates a wide range of aryl bromides, including electron-rich, electron-deficient, and heteroaryl systems, with excellent chemoselectivity for bromides over chlorides. The method enables concise, enantioselective synthesis of pharmaceutically relevant compounds, including Flurbiprofen analogs and the lead compound for a glucokinase activator piragliatin. Although significant progress has been made in this study, there is still room for improvement in certain aspects. For example, primary alkyltrifluoroborates such as methyl and benzyl derivatives performed poorly under the standard conditions, predominantly generating two-component aryl-alkyl cross-coupling byproducts. Additionally, the method relies on an iridium-based photocatalyst, and the modification of drug-derived substrates was not demonstrated on a gram-scale, leaving the practical applicability of this method questionable.
In 2021, Mao and Walsh et al. developed a visible light-promoted nickel/photoredox-catalyzed enantioselective reductive alkylarylation of acrylates 66 with alkyl bromides 67 and aryl bromides 68 (Scheme 25) [54]. The reaction employed 4CzIPN PC7 (10 mol%) as the organic photocatalyst, NiBr2 (10 mol%) as the catalyst and chiral bimidazoline BiIM ligand L14 (11 mol%) as the chiral ligand, Hantzsch ester (3.0 equiv) as the organic reductant and Cy2NMe (3.0 equiv) as the base in DMA (0.33 M) at room temperature under blue LED irradiation for 24 h. In the protocol, Hantzsch ester replaces organometallic reagents and stoichiometric metal reductants. This reaction can be compatible with various aryl bromides and alkyl bromides including electron-withdrawing, neutral, and electron-donating groups, providing corresponding products in good yields and enantioselectivities. In addition, the active molecules ibuprofen and geraniol derivatives were employed in this three-component reaction, achieving excellent enantiocontrol (89%, 88%) during the synthesis process. A possible mechanism is proposed in Scheme 25. Initially, the photoredox catalyst PC7 is irradiated to the activated state and HEH or Cy2NMe donates an electron to form a radical anion. The resulting PC7 radical anion is oxidized by the L/NiII complex to generate PC7 and an L/Ni0 species, which adds to the aryl bromide to form a L/NiII-(Ar)Br complex. At the same time, the tertiary radical adds to the acrylate to form the α-carbonyl radical, which is subsequently captured by L/NiIII species. Finally, the resulting L/NiIII species then undergoes rapid reductive elimination to give the product. In 2025, Wang et al. reported a boron removal cross-coupling reaction catalyzed by nickel photoredox catalysis [55]. When a chiral biimidazoline was used, this method could be extended to the three-component carbonylation/carbonarylation reaction of alkenes, and seven enantioenriched α-aryl carbonyl compounds were successfully prepared (Scheme 26).
In 2024, an efficient visible light-driven nickel/photoredox complex-mediated three-component cross-electrophile coupling methodology for the alkylarylation of vinyl phosphonates to afford a series of α-aryl phosphonates products 74 was developed by Mao, Walsh and Xu et al. (Scheme 27) [56]. The optimal conditions were NiBr2·DME (10 mol%) as the catalyst, PC7 (1 mol%) as the photocatalyst, L15 (11 mol%) as the ligand, Cy2NMe (3.0 equiv) as the base, HEH (2.0 equiv) as reductant and THF as solvent under blue LED irradiation for 24 h. The desired products were obtained by various aryl halides 72 and alkyl bromides 73 in good to excellent enantioselectivities and moderate to good yields. This method avoids the use of brominated phosphorus reagents and organometallic reagents, and does not involve metal reductants. A possible mechanism is proposed in Scheme 27. The catalytic cycle begins with the PC7 photocatalyst absorbing blue light to reach its excited-state PC7* and then undergoes SET with HEH to generate a radical anion. At the same time, the active L/Ni0 catalyst precursor undergoes oxidative addition with aryl halides to deliver a L/NiII species, which then could undergo spin crossover to give a triplet tetrahedral species. Moreover, the alkyl radical generated from the reaction of the tert-butyl group with the alkene is captured by the triplet state tetrahedron to give an L/NiIII intermediate. Finally, the L/NiIII intermediate undergoes enantioselective reductive elimination to release the α-aryl phosphonate product and regenerate L/NiI complex. The resulting L/NiI complex abstracts a bromine atom from tert-butyl bromide to generate a L/NiII complex 75 and an alkyl radical. Subsequently, the complex 75 undergoes a SET reaction with radical anion 4CzIPN to regenerate L/Ni0 and completes the catalytic cycle.
In 2024, Nevado et al. disclosed a visible light-induced, nickel-catalyzed photoredox enantioselective alkene dicarbofunctionalization by photochemical aliphatic C–H bond activation to afford a series of high-value chiral products, including α-aryl/alkenyl carbonyls, phosphonates, 1,1-diarylalkanes, ether and alcohol feedstocks (Scheme 28) [57]. The standard reaction conditions proved compatible with a broad range of substrates, including both electron-deficient and electron-rich (hetero)aryl bromides, various cycloalkanes, and diverse alkenes such as acrylates, styrenes, and enones. Importantly, this protocol can be considered an effective method to synthesize biologically active molecules, such as estrone and cholesterol derivatives, which gave the corresponding products in moderate yields. A possible mechanism is proposed in Scheme 28. It begins with the generation of excited-state tetrabutylammonium decatungstate 80 by violet-light irradiation and abstracts a hydrogen atom from nucleophiles to generate a carbon radical and reduced decatungstate 81. Disproportionation of 81 provides doubly reduced decatungstate and regenerates ground-state TBADT PC8. Subsequently, the generated alkyl radical adds to alkene to form stabilized benzylic radical intermediates and the intermediates are captured by ligated L/Ni0 species to give L/NiI-alkyl intermediate. Then, the L/NiI-alkyl complex conducts oxidative addition with aryl bromides to deliver L/NiIII-aryl intermediate. Next, this intermediate undergoes reductive elimination to release the product and regenerate L/NiI species to finish the catalytic cycle.
In 2024, Xiao and Shi et al. developed a dual photoredox/nickel-catalyzed enantioselective multicomponent cross-coupling reaction for the synthesis of chiral benzylic boronic esters (Scheme 29) [58]. This reaction features mild conditions, NiBr2·diglyme (10 mol%) as the catalyst, Ir[dF(CF3)ppy]2(bpy)PF6 PC10 (2 mol%) as the photocatalyst and chiral biimidazoline L18 (12 mol%) as the ligand in DME at 20 °C for 24 h. Under the optimized conditions, the reaction tolerated a variety of aryl bromides with diverse electronic and steric substituents (46 examples), including polycyclic, heterocyclic, bioactive motifs as well as tertiary alkyltrifluoroborates with good to high yields and high enantioselectivities (up to 98:2 er). However, this method still has limitations in the following aspects. First, when secondary alkyltrifluoroborates participated in the reaction, their enantioselectivity control was generally inferior to that of tertiary alkyl precursors, indicating that the stereorecognition ability of the current chiral ligand system for secondary radical intermediates still needs improvement. Second, although the authors demonstrated the potential of this method for the late-stage modification of complex natural products and drug molecules, the low yields of some substrates may limit its practical application in medicinal chemistry. Third, in terms of reaction scale-up, the yield of the gram-scale experiment (1.0 mmol) decreased significantly, and the enantioselectivity was also slightly reduced. A possible mechanism is proposed in Scheme 29. Upon irradiation with blue LED, photocatalyst PC10 is excited to its excited-state PC10* and then undergoes SET with the alkyltrifluoroborate to form the alkyl radical and the reduced IrII. Subsequently, the alkyl radical adds to the vinyl boronate 86 to give a new radical, which is rapidly captured by L/Ni0 species to furnish L/NiI species. Oxidative addition of aryl halide to L/NiI adduct gives L/NiIII intermediate, which then undergoes facile reductive elimination to deliver the final product and regenerates L/NiI species.
In 2024, Mao et al. developed a nickel/photoredox dual-catalyzed enantioselective three-component cross-coupling reaction to access enantioenriched 1,1-diaryl(heteroaryl)alkanes (Scheme 30) [59]. This protocol employs Ni(acac)2 (10 mol%) as the nickel catalyst, bisnitrogen L19 (11 mol%) as the chiral ligand, PC7 (8 mol%) as the photocatalyst, HEH (3.0 equiv) as the reductant and Cy2NMe (3.0 equiv) as the base in DME/iPr2O under blue light irradiation for 24 h. Notably, the reaction avoids the use of air- and moisture-sensitive organometallic reagents and stoichiometric metal reducing agents, successfully constructing 1,1-diaryl(heteroaryl)alkanes in good yields (up to 88%) and enantioselectivities (up to 99%). A possible mechanism is proposed in Scheme 30. Firstly, it begins with the generation of excited-state PC7* by blue light irradiation and undergoes SET with HEH to generate reduced 4CzIPN•−. Secondly, the L/Ni0 catalyst undergoes the oxidative addition with aryl bromide to deliver the L/NiII species. Next, the alkyl bromide undergoes SET to generate alkyl radical, which undergoes a radical addition to the vinylarenes to give a new carbon radical. Then, the carbon radical is trapped by the L/NiII species to form a L/NiIII species intermediate. After reductive elimination, L/NiIII species intermediate affords the target 1,1-diarylalkane product and releases L/NiI species. The L/NiI species is oxidized by alkyl bromide to regenerate the L/NiII complex, which is reduced to regenerate the L/Ni0 catalyst via photoredox catalysis, thus closing the catalytic cycle.
In 2025, Yang and coworkers developed a photoredox/Ni dual-catalyzed enantioselective three-component 1,2-arylaminoalkylation of acrylates 87 with heteroaryl iodides 85 and α-silyl alkylamines 86 [60]. The protocol employs PC7 (2.5 mol%) as the photocatalyst, NiBr2·diglyme (7.5 mol%) as the catalyst, bisimidazoline ligand L17 (12 mol%) as the chiral ligand in NMP/AC under blue LED irradiation at 30 °C for 12 h, allowing rapid access to enantioenriched α-aryl-substituted γ-amino esters in good yields with moderate to good enantioselectivities. Both electron-deficient and electron-rich aryl iodides—bearing substituents such as trifluoromethyl, ester, and aldehyde groups, as well as fluorine—were compatible with this protocol. Moreover, heteroaromatic iodides and structurally complex drug-derived substrates were also compatible. The synthetic utility of this strategy is highlighted by the diversification of complex biologically active compounds and concise synthesis of functional molecule intermediates. A possible mechanism is proposed in Scheme 31. The α-amino radical adds to the acrylate to deliver a β-aminoalkyl radical, which can be intercepted by L/Ni0 species to furnish L/NiI-alkyl intermediate. The resulting complex L/NiI intermediate oxidatively adds the aryl iodide to give the L/NiIII-aryl-alkyl intermediate. Lastly, the intermediate undergoes rapid reductive elimination to give the product and L/NiI species. The group employed a variety of methods to thoroughly investigate the reaction mechanism, demonstrating the involvement of radical intermediates and the initial photoredox step. Unfortunately, the isolation and crystallographic characterization of key intermediates were not achieved, nor were DFT calculations performed to verify the enantiodetermining step.
In 2024, Chu et al. described a highly enantioselective visible light-induced three-component 1,2-alkylarylation reaction with vinyl boronates 89, (hetero)aryl bromides 90 and alkyl redox-active esters 91 (Scheme 32) [61]. The optimal reaction conditions were determined, using Ir[dF(CF3)ppy]2(dtbbpy)(PF6) PC11 (1.0 mol%) as the photocatalyst, NiBr2·DME (10 mol%) as the catalyst, chiral biimidazoline L20 (13 mol %) as the ligand, HE (2.0 equiv) as reductant and Me2NBn (3.0 equiv) as additive in DMA/AC at −10 °C for 12 h under blue LED irradiation. A wide range of β-alkyl-α-aryl boronates with diverse substitution patterns and electronic properties were well tolerated, affording the corresponding products in moderate to good yields with excellent enantioselectivities. This reaction requires no metal reductants or alkyl halides, demonstrating broad substrate scope and good functional compatibility under mild conditions. A possible mechanism is proposed in Scheme 32. Firstly, the photocatalyst IrIII PC11 is excited to its excited-state PC11* upon blue light exposure and the excited photocatalyst undergoes reductive quenching with HE to give the reduced IrII and a HE radical cation. In addition, a SET occurs between IrII and the NHP ester to release alkyl radical, which then adds to the vinyl boronate to generate the α-boryl radical. Meanwhile, the L/Ni0 complex undergoes oxidative addition with aryl bromides to give a L/NiII-Ar intermediate, which then combines with α-boryl radical to generate a L/NiIII complex. Finally, the L/NiIII complex undergoes reductive elimination to deliver the final product and L/NiI species.

3.2. Enantioselective Sulfonylalkenylation

In 2023, Shu et al. developed a visible light- and nickel-catalyzed enantioselective sulfonylalkenylation of alkenes, enabling rapid synthesis of β-chiral sulfones via a three-component strategy (Scheme 33) [62]. The reaction employed PC12 (1.0 mol %) as the photocatalyst, NiBr2 (10 mol %) as the catalyst, ligand L2 (12 mol %) with NaOAc (1.0 equiv) and Na3PO4 (2.0 equiv) as additives in DMSO (0.1 M) under irradiation with a 3 W blue LED at room temperature to achieve chemoselective radical addition and asymmetric Csp3–Csp2 coupling. Notably, the protocol features a wide substrate scope and good functional group tolerance. The synthesized β-chiral sulfones served as versatile intermediates for late-stage diversification such as hydrogenation and epoxidation, retaining stereochemical integrity. A possible mechanism is proposed in Scheme 33. At the beginning, the photocatalyst PC12 is irradiated to the activated state, which abstracts an electron from the sulfinate to form a photocatalyst radical anion and a sulfonyl radical and then the sulfonyl radicals add to styrene to generate the key intermediate benzyl radical. Next, the L/Ni0 species reacts with alkenyl halide to yield the L/NiII-alkenyl intermediate. Eventually, the key benzylic radical intermediate is enantioselectively trapped by L/NiII-alkenyl intermediate to give final product through reductive elimination and regenerates L/NiI species for the next catalytic cycle. Meanwhile, the photocatalyst radical anion reduces the L/NiI species to form the L/Ni0 species and release photocatalyst PC12.
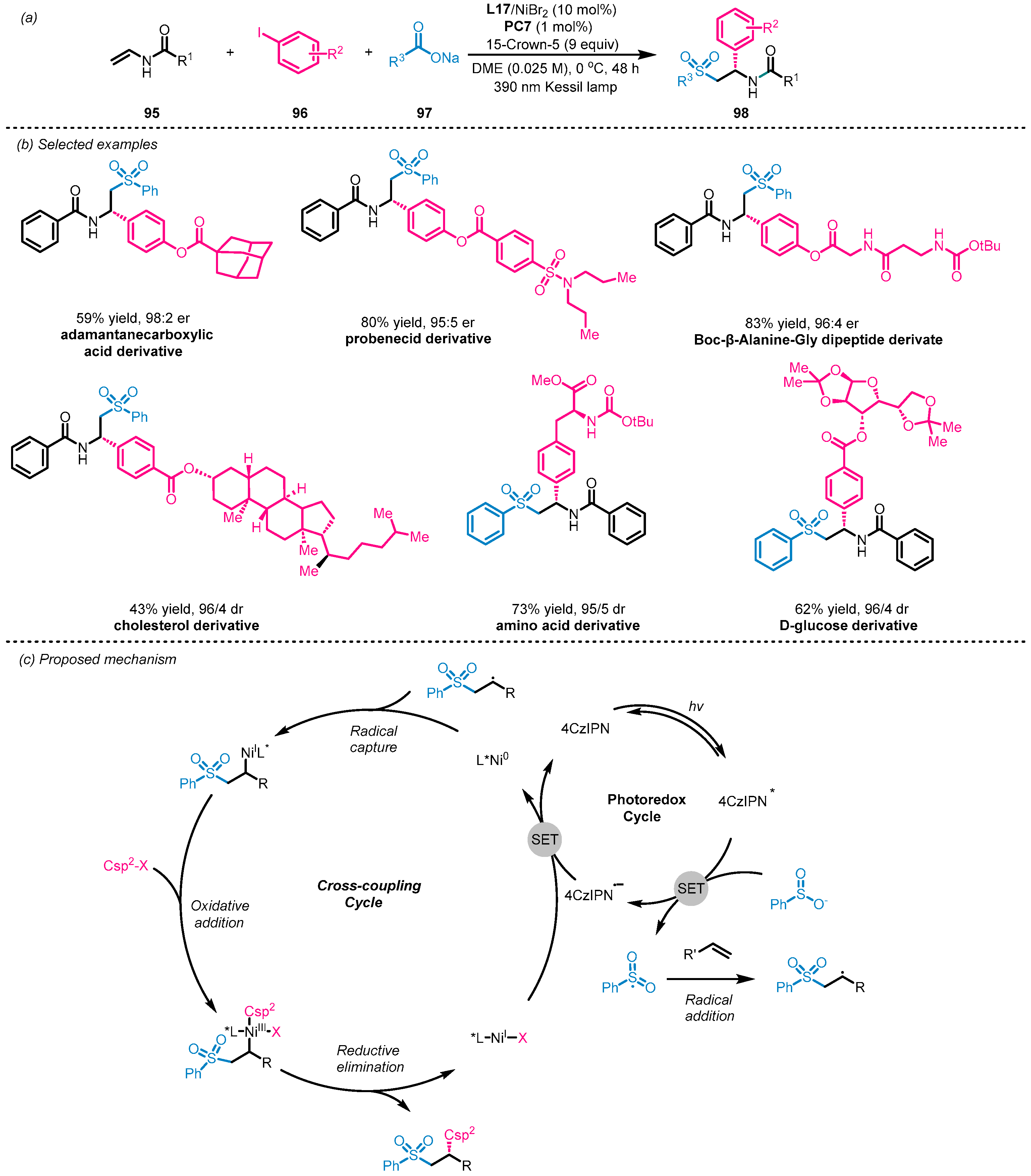
In 2023, Nevado et al. developed a three-component strategy enabled by visible light- and Ni-catalyzed carbosulfonylation for the synthesis of enantioenriched β-aryl and β-alkenyl sulfones. (Scheme 34) [63]. The reaction employed L17-NiBr2 (10 mol%) as the catalyst, PC7 (1 mol%) as the photocatalyst and crown ethers (9.0 equiv) as additive in DME at 0 °C for 48 h. With the optimized reaction conditions, a range of aryl iodides bearing electron-rich or electron-poor substituents and various heteroaryl, alkenyl bromides served as appropriate substrates to give the enantioenriched β-aryl and β-alkenyl sulfones in moderate yields with moderate to excellent enantioselectivities. A possible mechanism is proposed in Scheme 34. Firstly, the photocatalyst PC7 was excited to PC7* under violet-light irradiation, which oxidizes sodium benzenesulfinate to afford the radical anion of the photocatalyst and sulfonyl radical selectively adds to styrenes to generate benzylic radicals. Secondly, the benzylic radical is captured by the L/Ni0 complex to afford the L/NiI species and then undergoes oxidative addition of aryl halides to generate the L/NiIII species. The L/NiIII species undergoes reductive elimination to afford the carbosulfonylation product and the L/NiI species. Finally, the L/NiI species is reduced by the photocatalyst to regenerate L/Ni0 catalyst to close catalytic cycles.

3.3. Enantioselective Silylarylation

In 2025, Zhang et al. reported a novel photoredox/nickel dual catalytic system for the asymmetric three-component silylarylation of terminal alkenes under mild and environmentally friendly conditions (Scheme 35) [64]. Employing PC10 (10 mol%) as the photoredox catalyst, Ni(Py)4Cl2 (10 mol%) as the catalyst, L19 (13 mol%) as the ligand, morpholine as the promoter in DME at room temperature for 36 h with irradiation of blue LED, the method enables the efficient construction of chiral β-silyl-α-aryl propionates with high yields and excellent enantioselectivity (up to 96% ee). Although over 30 examples of substrate scope were demonstrated in this work, the applicability of alkenes remains limited. While electron-deficient alkenes exhibited good reactivity and enantioselectivity, electron-rich alkenes generally suffered from low yields and poor enantiocontrol; unactivated alkenes were completely ineffective. This limitation significantly restricts the generality of this method for the late-stage modification of complex molecules. Synthetic applications highlight its utility through subsequent transformations such as hydrolysis, reduction, and intramolecular Friedel–Crafts acylation, leading to pharmacologically relevant chiral structures including tropic acid analogs and sila-isoflavanones.

4. Visible Light-Mediated Palladium-Catalyzed Asymmetric Difunctionalizations of Alkenes

Palladium stands as a cornerstone in transition metal catalysis, playing an indispensable role in modern organic synthesis [65,66]. The integration of palladium catalysis with emerging strategies such as photoredox or electrochemical processes has further transcended the limitations inherent in conventional thermal reactions. This synergistic effect facilitates the generation of highly reactive palladium intermediates or radical species through SET pathways, establishing a novel and powerful platform for challenging transformations [67].

4.1. Enantioselective Aminoalkylation

An efficient visible light-driven hydrogen atom transfer (HAT) methodology for Pd-catalyzed enantioselective three-component carboamination of aryl-substituted 1,3-dienes to afford a series of corresponding allylic amines products was developed by Gong and Han et al. (Scheme 36) [68]. This reaction tolerated a wide variety of dienes, aliphatic C–H partners, and primary/secondary amines. Moreover, the group successfully transformed chiral allylic amine products, further demonstrating the high versatility of this protocol. Unfortunately, cyclohexyl-substituted dienes afforded only 52% yield and 55% ee, indicating the limited compatibility of this method with non-conjugated or sterically hindered dienes. Optimizing ligand structures or adjusting reaction conditions could improve the tolerance for unactivated dienes. Additionally, the use of excess toluene in the reaction results in low atom economy; introducing alternative directing group strategies may help reduce the substrate loading. A possible mechanism is proposed in Scheme 36. Upon blue light irradiation, the L/Pd0 catalyst is photoexcited to produce excited-state L/Pd0*, which reduces excess aryl bromide via SET to generate an aryl radical and L/PdI species. Then, the aryl radical undergoes hydrogen atom transfer with the C-H partner to generate an alkyl radical and an aryl byproduct. Afterwards, the radical selectively adds to diene to form a stabilized allyl radical intermediate. The radical recombines with the L/PdI species to form the L/PdII complex, and the amine attacks this L/PdII complex to generate the chiral allylamine product and regenerate the L/Pd0 catalyst.
In 2024, Yang and Xiang et al. reported visible light-driven palladium-catalyzed enantioselective 1,2-carboamination of 1,3-dienes using NHP esters and 1,3-dienes in the presence of K2CO3 as base, Pd(PPh3)4 (20 mol%) as the catalyst and (R)-BINAP L22 (30 mol%) as the ligand at 0 °C for 48 h (Scheme 37) [69]. This protocol offers operational simplicity, photocatalyst-free conditions, and broad functional group tolerance. Under the optimum conditions, aryl-substituted dienes bearing both electron-donating and electron- withdrawing groups, heteroarenes, naphthyl and 1,2-disubstituted dienes were well tolerated and delivered the products in moderate yields and good enantioselectivities. Unfortunately, in this reaction system, the use of Pd(PPh3)4 at a loading of 20 mol% and the ligand at 30 mol% is unfavorable for large-scale applications. Efforts should be made to explore supported catalysts or develop low-loading, high-efficiency catalytic systems. Furthermore, unactivated alkenes (such as aliphatic dienes) were completely incompatible with this reaction. A possible mechanism is proposed in Scheme 37. Initially, the photoexcited L/Pd0 reduces the alkyl NHP ester via SET to produce hybrid alkyl palladium radical species, which is accompanied by the release of NHP anion and CO2. Then, the alkyl radical adds to the terminal carbon of the 1,3-diene to produce the allyl radical complex, which then undergoes a radical recombination to generate a π-allylpalladium complex. Finally, the NHP anion nucleophilically attacks the π-allylpalladium complex to afford the target 1,2-carboamination product and regenerates the palladium catalyst.

4.2. Enantioselective Alkylsulfonylation

Yang and Xiang et al. reported a visible light-driven palladium-catalyzed enantioselective 1,2-alkylsulfonylation of 1,3-dienes from readily available alkyl bromides 118, 1,3-dienes 116, and sodium sulfinates 117 (Scheme 38) [70]. The reaction employed Pd(PPh3)4 (10 mol%), (S)-tol-BINAP L23 (15 mol%) in 1,4-dioxane at 10 °C for 48 h under irradiation by blue LEDs. The protocol was successfully applied to the late-stage functionalization of drug-derived molecules such as sildenafil and glibenclamide, and could be scaled up to gram-scale synthesis. However, the reaction was incompatible with tertiary alkyl bromides. It is noteworthy that DFT calculations were employed to support multiple key steps in this work, such as verifying the stereoselectivity-determining step involving the allyl-Pd intermediate. Furthermore, a variety of experimental techniques were systematically utilized to validate the radical pathway and a palladium catalytic cycle. A possible mechanism is proposed in Scheme 38. Under blue light irradiation, L/Pd0 catalyst is photoexcited, which undergoes SET with alkyl bromides to generate alkyl radicals and a L/PdI-Br intermediate. Then, the alkyl radical preferentially adds to the terminal position of the 1,3-diene to form an allylic palladium radical complex. This radical then rearranges into the more stable π-allylpalladium intermediate, which is attacked by the sulfinate anion to give the target product and regenerate the L/Pd0 catalyst.

5. Visible Light-Mediated Cobalt-Catalyzed Asymmetric Difunctionalizations of Alkenes

Cobalt is relatively low-cost, making it crucial for industrial-scale applications and green chemistry. It commonly exists in Co0, CoI, CoII, and CoIII oxidation states. This diversity enables participation in SET processes, which are essential for initiating radical reactions [71]. The integration of photocatalysis with cobalt catalysis to construct a synergistic catalytic system demonstrates unique advantages that are insurmountable for single catalytic modes. The core of this strategy lies in utilizing the reactive species generated by the photosensitizer under photoexcitation to couple with the cobalt catalytic cycle, thereby overcoming thermodynamic or kinetic reaction barriers [72].

Enantioselective Hydroamination

In 2025, Zhang et al. reported a dual photoredox and chiral cobalt catalysis strategy that enables the intermolecular enantioselective hydroamination of unactivated alkenes with simple amines [73]. The success of this reaction hinges on the synergistic combination of a chiral Salen cobalt catalyst and the photocatalyst PC13 under irradiation with blue LEDs. Employing collidinium triflate as a proton source in THF solvent under mild conditions, this system efficiently constructs α-chiral tertiary amines. The protocol exhibits a broad substrate scope, demonstrating excellent compatibility with a range of diaryl-substituted unactivated terminal alkenes and N-alkyl anilines bearing diverse electronic properties, affording the desired products in high yields and with high enantioselectivities. Nevertheless, enantiocontrol remains a challenge for aliphatic alkenes. A possible mechanism is proposed in Scheme 39. Cobalt-hydride-mediated hydrogen atom transfer to generate an alkyl radical, enantioselective trapping of this radical by the chiral cobalt catalyst, photoinduced single-electron oxidation to form a highly reactive alkyl-cobalt intermediate, and final C–N bond formation via nucleophilic substitution by the amine.

6. Conclusions

The strategy combining photocatalysis with transition metal catalysis has opened new avenues for asymmetric alkene difunctionalization reactions. This dual catalytic system combines highly reactive radical species generated through photoexcitation with the precise stereochemical control of transition metal catalysts, achieving chemoselectivity and stereoselectivity that traditional methods struggle to attain. In these synergistic systems, the stereoelectronic control models for the four metals—copper, nickel, palladium and cobalt—each have their own distinct characteristics. Copper catalysis typically relies on photoinduced π-allyl-CuIII complexes, where the stereodetermining step is the reductive elimination, with chiral bisoxazoline ligands being key. Nickel catalysis often follows a Ni0/NiII/NiIII cycle, with stereochemistry dictated by the enantioselective capture of an alkyl radical at the NiII center, where chiral bisoxazoline and biimidazoline ligands excel. Palladium catalysis proceeds via a π-allyl-palladium intermediate under photoexcitation, and its stereodetermining step is the nucleophilic attack on the π-allylpalladium complex to form the C–N bond, with chiral bisphosphine ligands, exemplified by BINAP, playing a crucial role. Cobalt catalysis operates through a CoIII-H-mediated hydrogen atom transfer process, where stereochemistry is established during the addition of an alkyl radical to form the C-Co bond; the chiral Salen ligands play an important role. From the perspective of applicable scenarios, the copper catalytic system excels in the construction of C–O and C–N bonds, and is particularly suitable for the transformation of electron-deficient alkenes and 1,3-enynes. The nickel catalytic system, leveraging its flexible oxidation states and compatibility with a wide range of radical precursors, has emerged as the dominant platform for three-component carboarylation reactions. Palladium catalysis, built upon π-allyl chemistry, achieves direct functionalization of C(sp3)–H bonds through photoexcitation, thereby significantly expanding the pool of accessible alkyl sources. Cobalt catalysis, operating via HAT-mediated hydrofunctionalization of alkenes, exhibits unique regioselectivity and potential for engaging unactivated alkenes (Table 1). This diversity of catalytic modes enables synthetic chemists to select the optimal catalytic system based on the structural features of the target molecule.
The selection of a photocatalyst is not a unidimensional choice but a dynamic decision-making process that necessitates a comprehensive consideration of transition metal catalyst compatibility, the activation difficulty of the radical precursor, and the overall economy of the reaction system. From the perspective of compatibility with the metal catalyst, organic dyes represented by 4CzIPN have become ideal partners in nickel/photoredox synergistic catalysis due to the excellent match of their redox potentials with the Ni0/NiII cycle. When considering the activation demands of the radical precursor, classical Ir complexes demonstrate robust initiation efficiency for moderately active precursors like alkyltrifluoroborates. However, for substrates that are extremely difficult to reduce, such as NHP esters or unactivated alkenes, it is necessary to utilize highly reducing organic dyes like PTH and PAZ, or even EDA catalytic strategies. In scenarios pursuing atom economy and extreme system simplification, EDA complex catalysis leverages in situ interactions between substrates and additives to avoid potential interference from exogenous photocatalysts, showcasing unique potential. In mechanistic studies, photoredox catalysts generate radical intermediates through SET processes, which engage in unique interactions with transition metal species, including radical addition, oxidative addition, and reductive elimination elementary steps. This synergistic catalytic mode not only expands the diversity of reaction types but also significantly enhances atom economy and step economy of reactions. The high enantioselective transformations achieved under mild conditions particularly demonstrate the advantages of this strategy in green chemistry and sustainable development.
Despite significant advances, this field still faces numerous challenges. Unactivated terminal and internal alkenes remain the most challenging substrate class. Unlike activated olefins, unactivated alkenes exhibit low reactivity due to their inability to stabilize the nascent radical intermediates generated during the reaction, compounded by significant steric hindrance. In addition, challenges such as prolonged reaction times, dependence on specific light sources, and difficulties in achieving industrial-scale synthesis remain to be addressed. Therefore, developing novel visible light photocatalysts, designing multifunctional chiral ligands, and establishing continuous flow reaction technologies will drive the field forward. For future industrial applications, this field still faces three core challenges. First, catalyst loading remains excessively high, with most current systems requiring 5–20 mol% of precious metal catalysts and 10–30 mol% of chiral ligands, far from meeting the demands of industrial catalysis. Second, the sensitivity of reaction conditions, including stringent requirements for light intensity, solvent, oxygen, and moisture, limits their stability during scale-up in continuous flow. Third, the substrate scope is fragmented, as individual catalytic systems are often effective only for specific types of alkenes or radical precursors, lacking general applicability. For industrial application, the most promising path is to combine the green chemistry principles of organic photocatalysis with the engineering advantages of continuous flow. This synergy directly addresses the three key criteria: it lowers material costs, simplifies operation by avoiding precious metals and solids handling, and achieves high productivity with low catalyst loadings. A notable gap in the current literature is the lack of sustainability metrics, including photocatalyst turnover numbers, quantum yields, and light energy efficiency. Although such data are rarely reported in the primary studies discussed herein, we emphasize that these parameters are crucial for assessing the practical utility and environmental footprint of metallaphotoredox catalysis. Future work should aim to routinely include these measurements to enable more meaningful comparisons and to guide the development of greener, more efficient synthetic protocols.
Currently, for photocatalytic and transition metal-catalyzed asymmetric difunctionalization of alkenes, commonly employed transition metals include copper and nickel, with a limited number of reports on palladium and cobalt. However, the use of other metals such as iron or rhodium has not yet been reported as of now. The abundance of metals such as iron and manganese may stem from their unique electronic structure, complex spin-state behavior, and the challenge of stereoscopic control over free radical intermediates. These might become the main obstacles in developing new reactions. The main strategies to overcome these obstacles might involve the cavity effect of chiral macrocyclic ligands, bimetallic catalysis, and the participation and regulation of alkali metal cations. The integration and development of these strategies will open up new paths for the application of abundant metal catalysts in future industrial settings. Therefore, the development of synergistic catalytic systems based on other inexpensive metals remains an important goal for researchers. As research continues to advance, asymmetric alkene difunctionalization via photo/transition metal dual catalysis will play an increasingly important role in drug synthesis, agrochemical development, and functional material preparation, providing more efficient and green synthetic strategies for constructing structurally diverse chiral molecular libraries.

Funding

This review was funded by the Science and Technology Program of Gansu Province (No. 23ZDFA003), two chain integration project (No. S2022-YF-LLRH-12-0002), major issues in military medicine and aviation medicine (No. 2023JSYX15) and the National Natural Science Foundation of China (No. 21272272).

Data Availability Statement

Data are contained within the article.

Acknowledgments

The authors would like to acknowledge the Science and Technology Program of Gansu Province (No. 23ZDFA003), two chain integration project (No. S2022-YF-LLRH-12-0002), major issues in military medicine and aviation medicine (No. 2023JSYX15) and the National Natural Science Foundation of China (No. 21272272) for the support. We also thank Fan at Analysis & Testing Laboratory for Life Sciences.

Conflicts of Interest

The author declares no conflicts of interest.

Abbreviations

ACacetone
CPMEcyclopentyl methyl ether
Cy2NmeN,N-dicyclohexylmethylamine
DMAN,N-dimethylacetamide
DCEdichloroethane
DCMdichloromethane
DMSOdimethyl sulfoxide
EAethyl acetate
EDAelectron donor-acceptor
HAThydrogen atom transfer
HEHHantzsch ester
iPr2Odiisopropyl ether
MeCNacetonitrile
NMPN-methylpyrrolidone
PXparaxylene
PCy3tricyclohexyl phosphine
SETsingle-electron transfer
THFtetrahydrofuran
TBHPtert-butyl hydroperoxide
TOLtoluene

References

  1. Negishi, E.-I.; Huang, Z.; Wang, G.; Mohan, S.; Wang, C.; Hattori, H. Recent Advances in Efficient and Selective Synthesis of Di-, Tri-, and Tetrasubstituted Alkenes via Pd-Catalyzed Alkenylation−Carbonyl Olefination Synergy. Acc. Chem. Res. 2008, 41, 1474–1485. [Google Scholar] [CrossRef]
  2. Zhu, Y.; Wang, Q.; Cornwall, R.G.; Shi, Y. Organocatalytic Asymmetric Epoxidation and Aziridination of Olefins and Their Synthetic Applications. Chem. Rev. 2014, 114, 8199–8256. [Google Scholar] [CrossRef]
  3. Tang, S.; Liu, K.; Liu, C.; Lei, A. Olefinic C–H functionalization through radical alkenylation. Chem. Soc. Rev. 2015, 44, 1070–1082. [Google Scholar] [CrossRef]
  4. Liu, J.; Xiao, X.; Lai, Y.; Zhang, Z. Recent advances in transition metal-catalyzed heteroannulative difunctionalization of alkenes via C–H activation for the synthesis of heterocycles. Org. Chem. Front. 2022, 9, 2256–2279. [Google Scholar] [CrossRef]
  5. Sun, J.; Wang, L.; Zheng, G.; Zhang, Q. Recent advances in three-component radical acylative difunctionalization of unsaturated carbon–carbon bonds. Org. Chem. Front. 2023, 10, 4488–4515. [Google Scholar] [CrossRef]
  6. Shimizu, Y.; Kanai, M. Recent progress in copper-catalyzed difunctionalization of unactivated carboncarbon multiple bonds. Tetrahedron Lett. 2014, 55, 3727–3737. [Google Scholar] [CrossRef]
  7. Liu, Y.-Y.; Yang, X.-H.; Song, R.-J.; Luo, S.; Li, J.-H. Oxidative 1,2-carboamination of alkenes with alkyl nitriles and amines toward γ-amino alkyl nitriles. Nat. Commun. 2017, 8, 14720. [Google Scholar] [CrossRef]
  8. Liu, C.; Zeng, H.; Zhu, C.; Jiang, H. Recent advances in three-component difunctionalization of gem-difluoroalkenes. Chem. Commun. 2020, 56, 10442–10452. [Google Scholar] [CrossRef] [PubMed]
  9. Li, Z.-L.; Fang, G.-C.; Gu, Q.-S.; Liu, X.-Y. Recent advances in copper-catalysed radical-involved asymmetric 1,2-difunctionalization of alkenes. Chem. Soc. Rev. 2020, 49, 32–48. [Google Scholar] [CrossRef]
  10. Wang, Y.; Bao, Z.-P.; Mao, X.-D.; Hou, M.; Wu, X.-F. Intermolecular 1,2-difunctionalization of alkenes. Chem. Soc. Rev. 2025, 54, 9530–9573. [Google Scholar] [CrossRef]
  11. Ramani, A.; Desai, B.; Dholakiya, B.Z.; Naveen, T. Recent advances in visible-light-mediated functionalization of olefins and alkynes using copper catalysts. Chem. Commun. 2022, 58, 7850–7873. [Google Scholar] [CrossRef] [PubMed]
  12. Liu, Y.; Li, F.-Y.; Bhat, M.-U.-S.; Tian, L.; Zhang, H.-R.; Meng, H.; Zhao, H.-T.; Li, Y.-L.; Shu, W. Recent Progress on Nickel-Catalyzed Reductive Dicarbofunctionalization of Alkenes. Chin. J. Chem. 2025, 43, 3637–3658. [Google Scholar] [CrossRef]
  13. Xie, L.; Wang, S.; Zhang, L.; Zhao, L.; Luo, C.; Mu, L.; Wang, X.; Wang, C. Directed nickel-catalyzed regio- and diastereoselective arylamination of unactivated alkenes. Nat. Commun. 2021, 12, 6280. [Google Scholar] [CrossRef]
  14. Wan, Y.; Lin, C.; Cheng, Y.; Shen, L. Ni-catalyzed regio- and diastereoselective syn-alkynylamination of unactivated alkenes using alkylamine sources. Org. Chem. Front. 2025, 12, 4024–4030. [Google Scholar] [CrossRef]
  15. Li, J.-Y.; Li, Z.-X.; Liu, Y.; Qiao, Y.; Zheng, Y.-L. Regio- and Enantioselective Nickel-Catalyzed Hydroamination of Unactivated Alkenes with Anthranils. ACS Catal. 2025, 15, 16622–16632. [Google Scholar] [CrossRef]
  16. Wang, Y.; Lin, C.; Zhang, Z.; Shen, L.; Zou, B. Directed Nickel-Catalyzed Selective Arylhydroxylation of Unactivated Alkenes under Air. Org. Lett. 2023, 25, 2172–2177. [Google Scholar] [CrossRef] [PubMed]
  17. Zhou, Z.-L.; Zhang, Y.; Cui, P.-Z.; Li, J.-H. Photo-/Electrocatalytic Difunctionalization of Alkenes Enabled by C−H Radical Functionalization. Chem. Eur. J. 2024, 30, e202402458. [Google Scholar] [CrossRef]
  18. Zhang, Y.; Zhou, Z.-L.; Li, J.-H.; Li, Y.-T. Electrochemical Difunctionalization of Alkenes. Chem. Rec. 2025, 25, e202400263. [Google Scholar] [CrossRef]
  19. Koike, T.; Akita, M. New Horizons of Photocatalytic Fluoromethylative Difunctionalization of Alkenes. Chem 2018, 4, 409–437. [Google Scholar] [CrossRef]
  20. Gupta, S.; Kundu, A.; Ghosh, S.; Chakraborty, A.; Hajra, A. Visible light-induced organophotoredox-catalyzed difunctionalization of alkenes and alkynes. Green Chem. 2023, 25, 8459–8493. [Google Scholar] [CrossRef]
  21. Zu, W.; Wu, H.; Huo, J.; Wan, X.; Xu, Z.; Huang, Y.; Luo, X.; Cheng, B.; Huo, H. Enantioselective Incorporation of Amine Fragments onto Quaternary Carbons via Metallaphotoredox Catalysis. Angew. Chem. Int. Ed. 2025, 64, e202513309. [Google Scholar] [CrossRef]
  22. Zhang, X.; Jiao, L.; Yuan, T.; Chen, J.; Fan, H.; Hou, J.; Lv, G.; Yang, Z.; Wu, Y. Photoexcited Copper-Catalyzed Difunctionalization of Alkenes for the Synthesis of 2,5-Diamino Acid Derivatives via Uncommon 1,2-Hydrogen Atom Transfer of Amidyl Radicals. Org. Lett. 2025, 27, 5823–5828. [Google Scholar] [CrossRef]
  23. Zhou, M.-X.; Han, S.; Wang, Y.; Zhang, W.; Wang, Z.; Zeng, Y.-F. Recent advances in trifluoroethylation reaction. Org. Chem. Front. 2023, 10, 5986–6009. [Google Scholar] [CrossRef]
  24. Hou, L.; Yang, L.; Yang, G.; Luo, Z.; Xiao, W.; Yang, L.; Wang, F.; Gong, L.-Z.; Liu, X.; Cao, W.; et al. Catalytic Asymmetric Dearomative [2 + 2] Photocycloaddition/Ring-Expansion Sequence of Indoles with Diversified Alkenes. J. Am. Chem. Soc. 2024, 146, 23457–23466. [Google Scholar] [CrossRef] [PubMed]
  25. Zhao, H.-T.; Lin, J.-N.; Shu, W. Visible-Light Mediated Nickel-Catalyzed Asymmetric Difunctionalizations of Alkenes. Chem. Eur. J. 2024, 30, e202402712. [Google Scholar] [CrossRef]
  26. Wang, P.-Z.; Zhang, B.; Xiao, W.-J.; Chen, J.-R. Photocatalysis Meets Copper Catalysis: A New Opportunity for Asymmetric Multicomponent Radical Cross-Coupling Reactions. Acc. Chem. Res. 2024, 57, 3433–3448. [Google Scholar] [CrossRef] [PubMed]
  27. Fan, Y.; Huang, Z.; Lu, Y.; Zhu, S.; Chu, L. Defluorinative Alkylboration of Alkenes Enabled by Dual Photoredox and Copper Catalysis. Angew. Chem. Int. Ed. 2024, 63, e202315974. [Google Scholar] [CrossRef] [PubMed]
  28. Xu, J.-C.; Yue, J.-P.; Pan, M.; Chen, Y.-C.; Wang, W.; Zhou, X.; Zhang, W.; Ye, J.-H.; Yu, D.-G. Metallaphotoredox-catalyzed alkynylcarboxylation of alkenes with CO2 and alkynes for expedient access to β-alkynyl acids. Nat. Commun. 2025, 16, 1850. [Google Scholar] [CrossRef]
  29. Sha, W.; Deng, L.; Ni, S.; Mei, H.; Han, J.; Pan, Y. Merging Photoredox and Copper Catalysis: Enantioselective Radical Cyanoalkylation of Styrenes. ACS Catal. 2018, 8, 7489–7494. [Google Scholar] [CrossRef]
  30. Guo, Q.; Wang, M.; Peng, Q.; Huo, Y.; Liu, Q.; Wang, R.; Xu, Z. Dual-Functional Chiral Cu-Catalyst-Induced Photoredox Asymmetric Cyanofluoroalkylation of Alkenes. ACS Catal. 2019, 9, 4470–4476. [Google Scholar] [CrossRef]
  31. Wang, P.-Z.; Gao, Y.; Chen, J.; Huan, X.-D.; Xiao, W.-J.; Chen, J.-R. Asymmetric three-component olefin dicarbon functionalization enabled by photoredox and copper dual catalysis. Nat. Commun. 2021, 12, 1815. [Google Scholar] [CrossRef] [PubMed]
  32. Lu, F.-D.; Lu, L.-Q.; He, G.-F.; Bai, J.-C.; Xiao, W.-J. Enantioselective Radical Carbocyanation of 1,3-Dienes via Photocatalytic Generation of Allylcopper Complexes. J. Am. Chem. Soc. 2021, 143, 4168–4173. [Google Scholar] [CrossRef]
  33. Zheng, M.; Gao, K.; Qin, H.; Li, G.; Lu, H. Metal-to-Ligand Ratio-Dependent Chemodivergent Asymmetric Synthesis. Angew. Chem. Int. Ed. 2021, 60, 22892–22899. [Google Scholar] [CrossRef] [PubMed]
  34. Li, J.; Wang, J.; Shang, M.; Gao, K.; Liu, M.; Ji, H.; Chen, Q.; Li, G.; Lu, H. Switchable Radical Difunctionalization of Olefins Using N-(Acyloxy)phthalimides. ACS Catal. 2025, 15, 18463–18473. [Google Scholar] [CrossRef]
  35. Qian, S.; Lazarus, T.M.; Nicewicz, D.A. Enantioselective Amino- and Oxycyanation of Alkenes via Organic Photoredox and Copper Catalysis. J. Am. Chem. Soc. 2023, 145, 18247–18252. [Google Scholar] [CrossRef] [PubMed]
  36. Forster, D.; Guo, W.; Wang, Q.; Zhu, J. Dual Photoredox and Copper Catalysis: Enantioselective 1,2-Amidocya nation of 1,3-Dienes. ACS Catal. 2023, 13, 7523–7528. [Google Scholar] [CrossRef]
  37. Zhang, B.; Li, T.-T.; Mao, Z.-C.; Jiang, M.; Zhang, Z.; Zhao, K.; Qu, W.-Y.; Xiao, W.-J.; Chen, J.-R. Enantioselective Cyanofunctionalization of Aromatic Alkenes via Radical Anions. J. Am. Chem. Soc. 2024, 146, 1410–1422. [Google Scholar] [CrossRef]
  38. Zhao, H.; Yuan, W. Merging catalytic electron donor-acceptor complex and copper catalysis: Enantioselective radical carbocyanation of alkenes. Chin. Chem. Lett. 2025, 36, 110894. [Google Scholar] [CrossRef]
  39. Yu, H.; Yu, X.; Li, X.; Kou, W.; Fang, F.; Zhang, G. Enantioselective Photoredox- and Cu-Catalyzed Cyanoalkylation of Styrenes via Deoxygenation of Alkoxyl Radicals with Organophosphorus Compounds(III). Org. Lett. 2025, 27, 1750–1756. [Google Scholar] [CrossRef]
  40. Zong, Z.; Liang, P.; Yao, J.; Chen, J.-Q.; Wu, J. Asymmetric Alkoxycarbonyl-Cyanation of Styrenes via Photoredox and Copper Catalysis. ACS Catal. 2025, 15, 13226–13232. [Google Scholar] [CrossRef]
  41. Zhao, K.; Zhang, B.; Zhao, F.-Y.; Xiao, W.-J.; Chen, J.-R. Photoinduced Copper-Catalyzed Asymmetric Radical Sulfonylcyanation of Vinylarenes with Sulfonyl Cyanides. ChemCatChem 2025, 17, e202500258. [Google Scholar] [CrossRef]
  42. Zhang, Y.; Sun, Y.; Chen, B.; Xu, M.; Li, C.; Zhang, D.; Zhang, G. Copper-Catalyzed Photoinduced Enantioselective Dual Carbofunctionalization of Alkenes. Org. Lett. 2020, 22, 1490–1494. [Google Scholar] [CrossRef] [PubMed]
  43. Wang, P.-Z.; Zhang, Z.; Jiang, M.; Chen, J.-R.; Xiao, W.-J. A General Copper-Box System for the Asymmetric Arylative Functionalization of Benzylic, Propargylic or Allenylic Radicals. Angew. Chem. Int. Ed. 2024, 63, e202411469. [Google Scholar]
  44. Xin, S.; Liao, J.; Tang, Q.; Feng, X.; Liu, X. Photoinduced copper-catalyzed asymmetric cyanoalkylalkynylation of alkenes, terminal alkynes, and oximes. Chem. Sci. 2024, 15, 18557–18563. [Google Scholar] [CrossRef]
  45. Wu, Z.; Li, K.; Liao, M.; Pan, C.; Yang, B.; Ma, X.; Huo, H.; Tu, B.; Zhang, G.; Guo, R. Photoinduced Copper-Catalyzed Enantioselective Alkylalkynylation of Alkenes via Polarity-Matched Hydrogen Atom Transfer. J. Am. Chem. Soc. 2025, 147, 22072–22083. [Google Scholar] [CrossRef]
  46. Wang, P.-Z.; Liang, Y.-J.; Wu, X.; Guan, W.; Xiao, W.-J.; Chen, J.-R. Copper-Catalyzed Three-Component Photo-ATRA-Type Reaction for Asymmetric Intermolecular C–O Coupling. ACS Catal. 2022, 12, 10925–10937. [Google Scholar] [CrossRef]
  47. Wang, P.-Z.; Wu, X.; Cheng, Y.; Jiang, M.; Xiao, W.-J.; Chen, J.-R. Photoinduced Copper-Catalyzed Asymmetric Three-Component Coupling of 1,3-Dienes: An Alternative to Kharasch–Sosnovsky Reaction. Angew. Chem. Int. Ed. 2021, 60, 22956–22962. [Google Scholar] [CrossRef]
  48. Li, G.-Q.; Li, Z.-Q.; Jiang, M.; Zhang, Z.; Qian, Y.; Xiao, W.-J.; Chen, J.-R. Photoinduced Copper-Catalyzed Asym metric Three-Component Radical 1,2-Azidooxygenation of 1,3-Dienes. Angew. Chem. Int. Ed. 2024, 63, e202405560. [Google Scholar] [CrossRef] [PubMed]
  49. Li, G.-Q.; Meng, F.-R.; Xiao, W.-J.; Chen, J.-R. Photoinduced copper-catalyzed asymmetric radical three-component cross-coupling of 1,3-enynes with oxime esters and carboxylic acids. Org. Chem. Front. 2023, 10, 2773–2781. [Google Scholar] [CrossRef]
  50. Tortajada, A.; Börjesson, M.; Martin, R. Nickel-Catalyzed Reductive Carboxylation and Amidation Reactions. Acc. Chem. Res. 2021, 54, 3941–3952. [Google Scholar] [CrossRef]
  51. Li, L.-J.; He, Y.; Yang, Y.; Guo, J.; Lu, Z.; Wang, C.; Zhu, S.; Zhu, S.-F. Recent Advances in Mn, Fe, Co, and Ni-Catalyzed Organic Reactions. CCS Chem. 2023, 6, 537–584. [Google Scholar] [CrossRef]
  52. Tu, H.-Y.; Wang, F.; Huo, L.; Li, Y.; Zhu, S.; Zhao, X.; Li, H.; Qing, F.-L.; Chu, L. Enantioselective Three-Component Fluoroalkylarylation of Unactivated Olefins through Nickel-Catalyzed Cross-Electrophile Coupling. J. Am. Chem. Soc. 2020, 142, 9604–9611. [Google Scholar] [CrossRef] [PubMed]
  53. Guo, L.; Yuan, M.; Zhang, Y.; Wang, F.; Zhu, S.; Gutierrez, O.; Chu, L. General Method for Enantioselective Three-Component Carboarylation of Alkenes Enabled by Visible-Light Dual Photoredox/Nickel Catalysis. J. Am. Chem. Soc. 2020, 142, 20390–20399. [Google Scholar] [CrossRef] [PubMed]
  54. Qian, P.; Guan, H.; Wang, Y.-E.; Lu, Q.; Zhang, F.; Xiong, D.; Walsh, P.J.; Mao, J. Catalytic enantioselective reductive domino alkyl arylation of acrylates via nickel/photoredox catalysis. Nat. Commun. 2021, 12, 6613. [Google Scholar] [CrossRef]
  55. Yue, F.; Li, M.; Yuan, F.; Song, H.; Liu, Y.; Wang, Q. Deboronative cross-coupling enabled by nickel metallaphoto redox catalysis. Chin. Chem. Lett. 2025, 36, 111053. [Google Scholar] [CrossRef]
  56. Lin, T.; Li, G.; Lu, Q.; Zhang, C.; Wang, Y.-E.; Xing, F.; Xu, Y.; Yang, K.; Xiong, D.; Xu, X.; et al. Enantioselective domino alkyl arylation of vinyl phosphonates by combining photoredox and nickel catalysis. Green Synth. Catal. 2025, 6, 289–296. [Google Scholar] [CrossRef]
  57. Hu, X.; Cheng-Sánchez, I.; Kong, W.; Molander, G.A.; Nevado, C. Nickel-catalysed enantioselective alkene dicar bofunctionalization enabled by photochemical aliphatic C–H bond activation. Nat. Catal. 2024, 7, 655–665. [Google Scholar] [CrossRef] [PubMed]
  58. He, X.; Shi, E.; Xiao, J. Enantioselective Synthesis of Benzylic Boronic Esters via Photoredox/Nickel-Catalyzed Mul ticomponent Cross-Couplings. Org. Lett. 2024, 26, 9728–9734. [Google Scholar] [CrossRef]
  59. Gao, X.; Lin, T.; Wang, Y.-E.; Xing, F.; Qiu, Y.; Xiong, D.; Mao, J. Nickel/Photoredox-Catalyzed Asymmetric Three-Component Cross-Coupling To Access Enantioenriched 1,1-Diaryl(heteroaryl)alkanes. Org. Lett. 2024, 26, 8792–8797. [Google Scholar] [CrossRef]
  60. Xiong, W.; Xiao, H.; Sun, G.; Cao, P.; Chen, Y.; Yang, W.; Koh, M.J.; Yang, T. Enantioselective multicomponent 1,2-arylaminoalkylation of acrylates by photoredox/nickel dual catalysis. Cell Rep. Phy. Sci. 2025, 6, 102435. [Google Scholar] [CrossRef]
  61. Li, X.; Hu, Y.; Huang, Z.; Zhu, S.; Qing, F.-L.; Chu, L. Metallaphotoredox-Catalyzed Three-Component Asymmetric Cross-Electrophile Coupling for Chiral Boronate Synthesis. ACS Catal. 2024, 14, 15790–15798. [Google Scholar] [CrossRef]
  62. Liu, M.-S.; Shu, W. Rapid Synthesis of β-Chiral Sulfones by Ni-Organophotocatalyzed Enantioselective Sulfonylalkenylation of Alkenes. JACS Au 2023, 3, 1321–1327. [Google Scholar] [CrossRef]
  63. Du, X.; Cheng-Sánchez, I.; Nevado, C. Dual Nickel/Photoredox-Catalyzed Asymmetric Carbosulfonylation of Al kenes. J. Am. Chem. Soc. 2023, 145, 12532–12540. [Google Scholar] [CrossRef]
  64. Yuan, Q.; Deng, Z.; Wan, Y.; Zhang, Y. Photoredox/Nickel Dual-Catalytic Asymmetric Silylarylation of Alkenes. Org. Lett. 2025, 27, 680–685. [Google Scholar] [CrossRef]
  65. Zhang, D.; Liu, J.; Córdova, A.; Liao, W.-W. Recent Developments in Palladium-Catalyzed Oxidative Cascade Carbocyclization. ACS Catal. 2017, 7, 7051–7063. [Google Scholar] [CrossRef]
  66. Shi, S.; Nolan, S.P.; Szostak, M. Well-Defined Palladium(II)–NHC Precatalysts for Cross-Coupling Reactions of Amides and Esters by Selective N–C/O–C Cleavage. Acc. Chem. Res. 2018, 51, 2589–2599. [Google Scholar] [CrossRef] [PubMed]
  67. Sarkar, S.; Cheung, K.P.S.; Gevorgyan, V. Recent Advances in Visible Light Induced Palladium Catalysis. Angew. Chem. Int. Ed. 2024, 63, e202311972. [Google Scholar] [CrossRef]
  68. Ruan, X.-Y.; Wu, D.-X.; Li, W.-A.; Lin, Z.; Sayed, M.; Han, Z.-Y.; Gong, L.-Z. Photoinduced Pd-Catalyzed Enantioselective Carboamination of Dienes via Aliphatic C–H Bond Elaboration. J. Am. Chem. Soc. 2024, 146, 12053–12062. [Google Scholar] [CrossRef] [PubMed]
  69. Liu, Z.-L.; Yan, J.-L.; Chen, K.; Xiang, H.-Y.; Yang, H. Enantioselective 1,2-Carboamination of 1,3-Dienes with N-Hydroxyphthalimide (NHP) Esters Enabled by a Photoinduced Pd Catalysis. Org. Lett. 2024, 26, 8762–8767. [Google Scholar] [CrossRef] [PubMed]
  70. Liu, Z.-L.; Ye, Z.-P.; Liao, Z.-H.; Lu, W.-D.; Guan, J.-P.; Gao, Z.-Y.; Chen, K.; Chen, X.-Q.; Xiang, H.-Y.; Yang, H. Photoinduced, Palladium-Catalyzed Enantioselective 1,2-Alkylsulfonylation of 1,3-Dienes. ACS Catal. 2024, 14, 3725–3732. [Google Scholar] [CrossRef]
  71. Liu, J.; Lorraine, S.C.; Dolinar, B.S.; Hoover, J.M. Aerobic Oxidation Reactivity of Well-Defined Cobalt(II) and Cobalt(III) Aminophenol Complexes. Inorg. Chem. 2022, 61, 6008–6016. [Google Scholar] [CrossRef] [PubMed]
  72. Faculak, M.S.; Veatch, A.M.; Alexanian, E.J. Cobalt-catalyzed synthesis of amides from alkenes and amines promoted by light. Science 2024, 383, 77–81. [Google Scholar] [CrossRef] [PubMed]
  73. Miao, H.; Zhu, L.; Zhang, D.; Meng, Q.; Yin, T.; Zhang, G.; Xiong, T.; Zhang, Q. A Photo- and Cobalt-Catalyzed Enantioselective Hydroamination of Unactivated Alkenes with Amines. Angew. Chem. Int. Ed. 2025, 64, e13891. [Google Scholar] [CrossRef] [PubMed]
Figure 1. Structures of chiral ligands discussed in this review.
Figure 1. Structures of chiral ligands discussed in this review.
Catalysts 16 00284 g001
Figure 2. Structures of photocatalysts discussed in this review.
Figure 2. Structures of photocatalysts discussed in this review.
Catalysts 16 00284 g002
Scheme 1. Proposed mechanisms for photoredox and copper-catalyzed asymmetric difunctionalization.
Scheme 1. Proposed mechanisms for photoredox and copper-catalyzed asymmetric difunctionalization.
Catalysts 16 00284 sch001
Scheme 2. Synergistic photoredox/copper-catalyzed asymmetric cyanoalkylation of alkenes. (a) General reaction scheme using alkyl NHP esters and TMSCN. (b) Selected substrate scope illustrating tolerance of diverse styrenes and alkyl radicals. (c) Proposed catalytic mechanism involving photoredox-initiated radical formation, copper-mediated cyanation, and enantioselective reductive elimination [29].
Scheme 2. Synergistic photoredox/copper-catalyzed asymmetric cyanoalkylation of alkenes. (a) General reaction scheme using alkyl NHP esters and TMSCN. (b) Selected substrate scope illustrating tolerance of diverse styrenes and alkyl radicals. (c) Proposed catalytic mechanism involving photoredox-initiated radical formation, copper-mediated cyanation, and enantioselective reductive elimination [29].
Catalysts 16 00284 sch002
Scheme 3. Visible light-induced copper-catalyzed enantioselective cyanofluoroalkylation of alkenes. (a) General reaction scheme using alkenes, fluoroalkyl iodides and TMSCN. (b) Selected substrate scope illustrating tolerance of diverse fluoroalkyl iodides. (c) Proposed mechanism involving photoexcitation of L/Cu1CN, oxidative generation of a fluoroalkyl radical, radical addition to the alkene, and enantioselective reductive elimination [30].
Scheme 3. Visible light-induced copper-catalyzed enantioselective cyanofluoroalkylation of alkenes. (a) General reaction scheme using alkenes, fluoroalkyl iodides and TMSCN. (b) Selected substrate scope illustrating tolerance of diverse fluoroalkyl iodides. (c) Proposed mechanism involving photoexcitation of L/Cu1CN, oxidative generation of a fluoroalkyl radical, radical addition to the alkene, and enantioselective reductive elimination [30].
Catalysts 16 00284 sch003
Scheme 4. Photoredox/copper-catalyzed asymmetric three-component dicarbofunctionalization of alkenes. (a) General reaction scheme using alkenes, NHP esters and TMSCN. (b) Selected substrate scope showing tolerance of diverse styrenes bearing electron-donating and electron-withdrawing groups, as well as complex natural product-derived styrenes. (c) Proposed mechanism involving photoexcitation of Ir, SET to generate iminyl radicals, radical addition to styrene [31].
Scheme 4. Photoredox/copper-catalyzed asymmetric three-component dicarbofunctionalization of alkenes. (a) General reaction scheme using alkenes, NHP esters and TMSCN. (b) Selected substrate scope showing tolerance of diverse styrenes bearing electron-donating and electron-withdrawing groups, as well as complex natural product-derived styrenes. (c) Proposed mechanism involving photoexcitation of Ir, SET to generate iminyl radicals, radical addition to styrene [31].
Catalysts 16 00284 sch004
Scheme 5. Visible light/copper dual-catalyzed asymmetric carbocyanation of 1,3-dienes. (a) General reaction scheme using 1,3-dienes, NHP esters and TMSCN. (b) Selected substrate scope showing tolerance of diverse NHP esters and 1,3-dienes. The system employs an organic photocatalyst but requires extended reaction times. (c) Proposed mechanism involving photoexcitation of perylene, SET to generate an alkyl radical, radical addition to the diene, and copper-mediated cyanation via a L/CuIII intermediate [32].
Scheme 5. Visible light/copper dual-catalyzed asymmetric carbocyanation of 1,3-dienes. (a) General reaction scheme using 1,3-dienes, NHP esters and TMSCN. (b) Selected substrate scope showing tolerance of diverse NHP esters and 1,3-dienes. The system employs an organic photocatalyst but requires extended reaction times. (c) Proposed mechanism involving photoexcitation of perylene, SET to generate an alkyl radical, radical addition to the diene, and copper-mediated cyanation via a L/CuIII intermediate [32].
Catalysts 16 00284 sch005
Scheme 6. Chemodivergent asymmetric synthesis via tunable metal-to-ligand ratio in photoredox/copper catalysis. (a) General reaction scheme using NHP esters as precursors to generate either aroyloxy or phthalimidyl radicals. (b) Selected substrate scope showing tolerance of diverse styrenes, heteroarenes [33].
Scheme 6. Chemodivergent asymmetric synthesis via tunable metal-to-ligand ratio in photoredox/copper catalysis. (a) General reaction scheme using NHP esters as precursors to generate either aroyloxy or phthalimidyl radicals. (b) Selected substrate scope showing tolerance of diverse styrenes, heteroarenes [33].
Catalysts 16 00284 sch006
Scheme 7. Asymmetric difunctionalization of alkenes via tunable NHP esters. (a) General reaction scheme showing divergent access to either 1,2-alkylcyanation or 1,2-aminocyanation products. (b) Selected substrate scope demonstrating broad compatibility with challenging NHPI esters bearing electron-withdrawing groups and diverse aryl/heteroaryl alkenes [34].
Scheme 7. Asymmetric difunctionalization of alkenes via tunable NHP esters. (a) General reaction scheme showing divergent access to either 1,2-alkylcyanation or 1,2-aminocyanation products. (b) Selected substrate scope demonstrating broad compatibility with challenging NHPI esters bearing electron-withdrawing groups and diverse aryl/heteroaryl alkenes [34].
Catalysts 16 00284 sch007
Scheme 8. Organic photoredox/copper-catalyzed enantioselective amino- and oxycyanation of alkenes. (a) General reaction scheme using alkenes, carbamate nucleophiles and TMSCN to access β-amino nitrile derivatives. (b) Selected substrate scope showing tolerance of terminal and internal styrenes. (c) Proposed mechanism involving photoexcitation of Mes-Acr-BF4, oxidation of the alkene to a radical cation, nucleophile interception, and copper-mediated cyanation [35].
Scheme 8. Organic photoredox/copper-catalyzed enantioselective amino- and oxycyanation of alkenes. (a) General reaction scheme using alkenes, carbamate nucleophiles and TMSCN to access β-amino nitrile derivatives. (b) Selected substrate scope showing tolerance of terminal and internal styrenes. (c) Proposed mechanism involving photoexcitation of Mes-Acr-BF4, oxidation of the alkene to a radical cation, nucleophile interception, and copper-mediated cyanation [35].
Catalysts 16 00284 sch008
Scheme 9. Photoredox/copper-catalyzed enantioselective 1,2-amidocyanation of 1,3-dienes. (a) General reaction scheme using 1,3-dienes, N-Boc-amidopyridinium salts and TMSCN. (b) Selected substrate scope showing tolerance of diverse 1,3-dienes with electron-donating and electron-withdrawing groups. (c) Proposed mechanism involving photoexcitation of fac-Ir(ppy)3, SET to generate a nitrogen-centered radical, radical addition to the diene, and copper-mediated cyanation [36].
Scheme 9. Photoredox/copper-catalyzed enantioselective 1,2-amidocyanation of 1,3-dienes. (a) General reaction scheme using 1,3-dienes, N-Boc-amidopyridinium salts and TMSCN. (b) Selected substrate scope showing tolerance of diverse 1,3-dienes with electron-donating and electron-withdrawing groups. (c) Proposed mechanism involving photoexcitation of fac-Ir(ppy)3, SET to generate a nitrogen-centered radical, radical addition to the diene, and copper-mediated cyanation [36].
Catalysts 16 00284 sch009
Scheme 10. Organic photoredox-catalyzed reductive asymmetric hydrocyanation, deuterocyanation and cyanocarboxylation of alkenes. (a) General reaction scheme using TMSCN as the cyanide source, with H2O, D2O or CO2 as trapping agents. (b) Selected substrate scope showing broad tolerance of electron-rich and electron-poor styrenes, internal alkenes, alkynyl-substituted alkenes, and vinylarenes. (c) Proposed mechanism involving photoexcitation of PTH-1, SET to generate an alkene radical anion, protonation/deuteration/carboxylation to form a benzyl radical [37].
Scheme 10. Organic photoredox-catalyzed reductive asymmetric hydrocyanation, deuterocyanation and cyanocarboxylation of alkenes. (a) General reaction scheme using TMSCN as the cyanide source, with H2O, D2O or CO2 as trapping agents. (b) Selected substrate scope showing broad tolerance of electron-rich and electron-poor styrenes, internal alkenes, alkynyl-substituted alkenes, and vinylarenes. (c) Proposed mechanism involving photoexcitation of PTH-1, SET to generate an alkene radical anion, protonation/deuteration/carboxylation to form a benzyl radical [37].
Catalysts 16 00284 sch010
Scheme 11. Catalytic EDA/copper synergistic catalysis of asymmetric free radical carbonylation. (a) General reaction scheme using NHPI esters, alkenes and TMSCN with NaI/PCy3 as catalytic donor. (b) Selected substrate scope showing tolerance of diverse styrenes with various substituents at para-, meta- and ortho-positions, as well as 2-vinylnaphthalene. (c) Proposed mechanism involving photoexcitation of the EDA complex, intramolecular SET to generate an alkyl radical, radical addition to styrene [38].
Scheme 11. Catalytic EDA/copper synergistic catalysis of asymmetric free radical carbonylation. (a) General reaction scheme using NHPI esters, alkenes and TMSCN with NaI/PCy3 as catalytic donor. (b) Selected substrate scope showing tolerance of diverse styrenes with various substituents at para-, meta- and ortho-positions, as well as 2-vinylnaphthalene. (c) Proposed mechanism involving photoexcitation of the EDA complex, intramolecular SET to generate an alkyl radical, radical addition to styrene [38].
Catalysts 16 00284 sch011
Scheme 12. Photoredox/copper-catalyzed enantioselective cyanoalkylation of styrenes via deoxygenation of alkoxyl radicals. (a) General reaction scheme using alkyl N-hydroxyphthalimide ethers, styrenes and TMSCN with P(OEt)3 as deoxygenation agent. (b) Selected substrate scope showing tolerance of diverse styrenes and naphthalene-derived substrates, as well as various alkyl N-hydroxyphthalimide ethers. (c) Proposed mechanism involving photoexcitation of Ir, SET to generate an alkoxyl radical, deoxygenation by P(OEt)3 to form an alkyl radical, radical addition to styrene [39].
Scheme 12. Photoredox/copper-catalyzed enantioselective cyanoalkylation of styrenes via deoxygenation of alkoxyl radicals. (a) General reaction scheme using alkyl N-hydroxyphthalimide ethers, styrenes and TMSCN with P(OEt)3 as deoxygenation agent. (b) Selected substrate scope showing tolerance of diverse styrenes and naphthalene-derived substrates, as well as various alkyl N-hydroxyphthalimide ethers. (c) Proposed mechanism involving photoexcitation of Ir, SET to generate an alkoxyl radical, deoxygenation by P(OEt)3 to form an alkyl radical, radical addition to styrene [39].
Catalysts 16 00284 sch012
Scheme 13. Photoredox/copper-catalyzed asymmetric alkoxycarbonyl-cyanation of styrenes. (a) General reaction scheme using styrenes, N-phthalimidoyl oxalates and TMSCN to access chiral β-cyanoesters. (b) Selected substrate scope showing broad tolerance of styrenes with electron-donating and electron-withdrawing groups (halogens, cyano, trifluoromethyl, aldehyde) [40].
Scheme 13. Photoredox/copper-catalyzed asymmetric alkoxycarbonyl-cyanation of styrenes. (a) General reaction scheme using styrenes, N-phthalimidoyl oxalates and TMSCN to access chiral β-cyanoesters. (b) Selected substrate scope showing broad tolerance of styrenes with electron-donating and electron-withdrawing groups (halogens, cyano, trifluoromethyl, aldehyde) [40].
Catalysts 16 00284 sch013
Scheme 14. Photoinduced copper-catalyzed asymmetric radical sulfonylcyanation of vinylarenes. (a) General reaction scheme using vinylarenes and sulfonyl cyanides as bifunctional reagents. (b) Selected substrate scope demonstrating broad tolerance of styrene derivatives with diverse electronic and steric properties, as well as various aryl- and alkyl-substituted sulfonyl cyanides, affording chiral β-sulfonyl nitriles in high yields and enantioselectivities [41].
Scheme 14. Photoinduced copper-catalyzed asymmetric radical sulfonylcyanation of vinylarenes. (a) General reaction scheme using vinylarenes and sulfonyl cyanides as bifunctional reagents. (b) Selected substrate scope demonstrating broad tolerance of styrene derivatives with diverse electronic and steric properties, as well as various aryl- and alkyl-substituted sulfonyl cyanides, affording chiral β-sulfonyl nitriles in high yields and enantioselectivities [41].
Catalysts 16 00284 sch014
Scheme 15. Photoinduced copper-catalyzed enantioselective dual carbofunctionalization of alkenes. (a) General reaction scheme using styrenes, alkyl iodides and alkynes. (b) Selected substrate scope showing moderate to good yields and excellent enantioselectivities. ortho-Substituted styrenes show diminished yields due to steric hindrance. (c) Proposed mechanism involving photoexcitation, SET to generate an alkyl radical, radical addition to styrene, and reductive elimination [42].
Scheme 15. Photoinduced copper-catalyzed enantioselective dual carbofunctionalization of alkenes. (a) General reaction scheme using styrenes, alkyl iodides and alkynes. (b) Selected substrate scope showing moderate to good yields and excellent enantioselectivities. ortho-Substituted styrenes show diminished yields due to steric hindrance. (c) Proposed mechanism involving photoexcitation, SET to generate an alkyl radical, radical addition to styrene, and reductive elimination [42].
Catalysts 16 00284 sch015
Scheme 16. Copper-catalyzed asymmetric three-component arylative radical cross-coupling. General reaction scheme using oxime carbonates, aryl boronic acids and radical acceptors [43].
Scheme 16. Copper-catalyzed asymmetric three-component arylative radical cross-coupling. General reaction scheme using oxime carbonates, aryl boronic acids and radical acceptors [43].
Catalysts 16 00284 sch016
Scheme 17. Copper-catalyzed enantioselective cyanoalkylalkynylation of alkenes. (a) General reaction scheme using alkenes, terminal alkynes and cyclobutanone oxime esters. (b) Selected substrate scope showing tolerance of diverse ethynylbenzenes with various substituents and electronic properties, as well as 2-vinylnaphthalene. (c) Proposed mechanism involving photoexcitation, SET to generate an iminyl radical, C–C cleavage to form a cyanoalkyl radical, radical addition to the alkene [44].
Scheme 17. Copper-catalyzed enantioselective cyanoalkylalkynylation of alkenes. (a) General reaction scheme using alkenes, terminal alkynes and cyclobutanone oxime esters. (b) Selected substrate scope showing tolerance of diverse ethynylbenzenes with various substituents and electronic properties, as well as 2-vinylnaphthalene. (c) Proposed mechanism involving photoexcitation, SET to generate an iminyl radical, C–C cleavage to form a cyanoalkyl radical, radical addition to the alkene [44].
Catalysts 16 00284 sch017
Scheme 18. Photoinduced copper-catalyzed enantioselective alkylalkynylation of alkenes. (a) General reaction scheme using alkenes, C(sp3)-H precursors and alkynes. (b) Selected substrate scope demonstrating applicability to late-stage modification of complex molecules. (c) Proposed mechanism involving photoinduced generation of an alkyl radical from C(sp3)-H precursor, radical addition to alkene, and copper-mediated enantioselective alkynylation [45].
Scheme 18. Photoinduced copper-catalyzed enantioselective alkylalkynylation of alkenes. (a) General reaction scheme using alkenes, C(sp3)-H precursors and alkynes. (b) Selected substrate scope demonstrating applicability to late-stage modification of complex molecules. (c) Proposed mechanism involving photoinduced generation of an alkyl radical from C(sp3)-H precursor, radical addition to alkene, and copper-mediated enantioselective alkynylation [45].
Catalysts 16 00284 sch018
Scheme 19. Visible light-induced copper-catalyzed asymmetric three-component C–O bond formation. (a) General reaction scheme using alkenes, oxime esters and carboxylic acids. (b) Selected substrate scope demonstrating utility in late-stage modification of various pharmaceuticals and natural products. (c) Proposed mechanism involving photoexcitation of L/CuI species, SET, ring-opening to form a cyanoalkyl radical, radical addition, and reductive elimination [46].
Scheme 19. Visible light-induced copper-catalyzed asymmetric three-component C–O bond formation. (a) General reaction scheme using alkenes, oxime esters and carboxylic acids. (b) Selected substrate scope demonstrating utility in late-stage modification of various pharmaceuticals and natural products. (c) Proposed mechanism involving photoexcitation of L/CuI species, SET, ring-opening to form a cyanoalkyl radical, radical addition, and reductive elimination [46].
Catalysts 16 00284 sch019
Scheme 20. Copper-catalyzed asymmetric three-component radical 1,2-carbon-oxygen bifunctionalization of 1,3-dienes. (a) General reaction scheme using 1,3-dienes, oxime esters and carboxylic acids. (b) Selected substrate scope showing tolerance of diverse aryl-substituted 1,3-dienes. (c) Proposed mechanism involving photoexcitation of L/CuI, SET to oxime ester to generate an iminyl radical, radical addition to 1,3-diene to form an allylic radical, and enantioselective reductive elimination [47].
Scheme 20. Copper-catalyzed asymmetric three-component radical 1,2-carbon-oxygen bifunctionalization of 1,3-dienes. (a) General reaction scheme using 1,3-dienes, oxime esters and carboxylic acids. (b) Selected substrate scope showing tolerance of diverse aryl-substituted 1,3-dienes. (c) Proposed mechanism involving photoexcitation of L/CuI, SET to oxime ester to generate an iminyl radical, radical addition to 1,3-diene to form an allylic radical, and enantioselective reductive elimination [47].
Catalysts 16 00284 sch020
Scheme 21. Copper-catalyzed asymmetric three-component radical 1,2-azidooxygenation of 1,3-dienes. (a) General reaction scheme using 1,3-dienes, azido precursors and carboxylic acids. (b) Selected substrate scope demonstrating broad tolerance of aryl-substituted 1,3-dienes. (c) Proposed mechanism involving photoexcitation of L/CuI, SET to generate an azidyl radical, radical addition to 1,3-diene to form an allylic radical, and enantioselective reductive elimination from a L/CuIII intermediate [48].
Scheme 21. Copper-catalyzed asymmetric three-component radical 1,2-azidooxygenation of 1,3-dienes. (a) General reaction scheme using 1,3-dienes, azido precursors and carboxylic acids. (b) Selected substrate scope demonstrating broad tolerance of aryl-substituted 1,3-dienes. (c) Proposed mechanism involving photoexcitation of L/CuI, SET to generate an azidyl radical, radical addition to 1,3-diene to form an allylic radical, and enantioselective reductive elimination from a L/CuIII intermediate [48].
Catalysts 16 00284 sch021
Scheme 22. Photoinduced copper-catalyzed asymmetric radical three-component cross-coupling of 1,3-enynes. (a) General reaction scheme using 1,3-enynes, oxime esters and carboxylic acids. (b) Selected substrate scope demonstrating broad tolerance of diverse 1,3-enynes. (c) Proposed mechanism involving photoexcitation of L/CuI, SET to oxime ester, radical addition to 1,3-enyne, and enantioselective reductive elimination from a L/CuIII intermediate [49].
Scheme 22. Photoinduced copper-catalyzed asymmetric radical three-component cross-coupling of 1,3-enynes. (a) General reaction scheme using 1,3-enynes, oxime esters and carboxylic acids. (b) Selected substrate scope demonstrating broad tolerance of diverse 1,3-enynes. (c) Proposed mechanism involving photoexcitation of L/CuI, SET to oxime ester, radical addition to 1,3-enyne, and enantioselective reductive elimination from a L/CuIII intermediate [49].
Catalysts 16 00284 sch022
Scheme 23. The mechanism of nickel/photoredox-catalyzed dual-functionalization of alkenes.
Scheme 23. The mechanism of nickel/photoredox-catalyzed dual-functionalization of alkenes.
Catalysts 16 00284 sch023
Scheme 24. Nickel-catalyzed enantioselective three-component fluoroalkylarylation and alkylarylation of alkenes. (a) General reaction schemes using alkenes, aryl/alkyl halides and alkyltrifluoroborates. (b) Selected substrate scope showing broad compatibility with various aryl halides [53].
Scheme 24. Nickel-catalyzed enantioselective three-component fluoroalkylarylation and alkylarylation of alkenes. (a) General reaction schemes using alkenes, aryl/alkyl halides and alkyltrifluoroborates. (b) Selected substrate scope showing broad compatibility with various aryl halides [53].
Catalysts 16 00284 sch024
Scheme 25. Visible light-promoted nickel/photoredox-catalyzed enantioselective reductive alkylarylation of acrylates. (a) General reaction scheme using acrylates, alkyl bromides and aryl bromides with Hantzsch ester as organic reductant. (b) Selected substrate scope showing broad compatibility with various aryl and alkyl bromides bearing electron-withdrawing and electron-donating groups. (c) Proposed mechanism involving photoredox-mediated reduction, oxidative addition to aryl bromide, radical addition to acrylate, and reductive elimination [54].
Scheme 25. Visible light-promoted nickel/photoredox-catalyzed enantioselective reductive alkylarylation of acrylates. (a) General reaction scheme using acrylates, alkyl bromides and aryl bromides with Hantzsch ester as organic reductant. (b) Selected substrate scope showing broad compatibility with various aryl and alkyl bromides bearing electron-withdrawing and electron-donating groups. (c) Proposed mechanism involving photoredox-mediated reduction, oxidative addition to aryl bromide, radical addition to acrylate, and reductive elimination [54].
Catalysts 16 00284 sch025
Scheme 26. Nickel/photoredox-catalyzed enantioselective three-component carbonylation/carbonarylation of alkenes. (a) General reaction scheme using alkenes, boron reagents and aryl/alkyl partners. (b) Selected substrate scope [55].
Scheme 26. Nickel/photoredox-catalyzed enantioselective three-component carbonylation/carbonarylation of alkenes. (a) General reaction scheme using alkenes, boron reagents and aryl/alkyl partners. (b) Selected substrate scope [55].
Catalysts 16 00284 sch026
Scheme 27. Visible light-driven nickel/photoredox-catalyzed enantioselective alkylarylation of vinyl phosphonates. (a) General reaction scheme using vinyl phosphonates, aryl halides and alkyl bromides to access α-aryl phosphonates. (b) This method avoids brominated phosphorus reagents, organometallic reagents and metal reductants. (c) Proposed mechanism involving photoredox-mediated SET, oxidative addition to aryl halide, radical capture by a triplet NiII species, and enantioselective reductive elimination from a NiIII intermediate [56].
Scheme 27. Visible light-driven nickel/photoredox-catalyzed enantioselective alkylarylation of vinyl phosphonates. (a) General reaction scheme using vinyl phosphonates, aryl halides and alkyl bromides to access α-aryl phosphonates. (b) This method avoids brominated phosphorus reagents, organometallic reagents and metal reductants. (c) Proposed mechanism involving photoredox-mediated SET, oxidative addition to aryl halide, radical capture by a triplet NiII species, and enantioselective reductive elimination from a NiIII intermediate [56].
Catalysts 16 00284 sch027
Scheme 28. Visible light-induced nickel-catalyzed enantioselective alkene dicarbofunctionalization via C–H bond activation. (a) General reaction scheme using alkenes, (hetero)aryl bromides and cycloalkanes. (b) Selected substrate scope demonstrating broad compatibility with electron-deficient and electron-rich (hetero)aryl bromides. (c) Proposed mechanism involving TBADT-mediated HAT to generate an alkyl radical, radical addition to alkene, and nickel-catalyzed cross-coupling [57].
Scheme 28. Visible light-induced nickel-catalyzed enantioselective alkene dicarbofunctionalization via C–H bond activation. (a) General reaction scheme using alkenes, (hetero)aryl bromides and cycloalkanes. (b) Selected substrate scope demonstrating broad compatibility with electron-deficient and electron-rich (hetero)aryl bromides. (c) Proposed mechanism involving TBADT-mediated HAT to generate an alkyl radical, radical addition to alkene, and nickel-catalyzed cross-coupling [57].
Catalysts 16 00284 sch028
Scheme 29. Photoredox/nickel-catalyzed enantioselective synthesis of benzylic boronic esters (a) General reaction scheme using vinyl boronates, aryl bromides and alkyltrifluoroborates. (b) Selected substrate scope demonstrating broad tolerance of diverse aryl bromides and tertiary alkyltrifluoroborates. (c) Proposed mechanism involving photoredox-mediated SET to generate alkyl radical, radical addition to vinyl boronate, and nickel-catalyzed cross-coupling [58].
Scheme 29. Photoredox/nickel-catalyzed enantioselective synthesis of benzylic boronic esters (a) General reaction scheme using vinyl boronates, aryl bromides and alkyltrifluoroborates. (b) Selected substrate scope demonstrating broad tolerance of diverse aryl bromides and tertiary alkyltrifluoroborates. (c) Proposed mechanism involving photoredox-mediated SET to generate alkyl radical, radical addition to vinyl boronate, and nickel-catalyzed cross-coupling [58].
Catalysts 16 00284 sch029
Scheme 30. Photoredox/nickel-catalyzed asymmetric three-component cross-coupling to access enantioenriched 1,1-diaryl(heteroaryl)alkanes (a) General reaction scheme using vinylarenes, aryl bromides and alkyl bromides. (b) Selected substrate scope demonstrating successful construction of 1,1-diaryl(heteroaryl)alkanes. (c) Proposed mechanism involving photoredox-mediated SET, oxidative addition to aryl bromide, radical addition to vinylarene, and reductive elimination from a NiIII intermediate [59].
Scheme 30. Photoredox/nickel-catalyzed asymmetric three-component cross-coupling to access enantioenriched 1,1-diaryl(heteroaryl)alkanes (a) General reaction scheme using vinylarenes, aryl bromides and alkyl bromides. (b) Selected substrate scope demonstrating successful construction of 1,1-diaryl(heteroaryl)alkanes. (c) Proposed mechanism involving photoredox-mediated SET, oxidative addition to aryl bromide, radical addition to vinylarene, and reductive elimination from a NiIII intermediate [59].
Catalysts 16 00284 sch030
Scheme 31. Photoredox/Ni dual-catalyzed enantioselective three-component 1,2-arylaminoalkylation of acrylates. (a) General reaction scheme using acrylates, heteroaryl iodides and α-silyl alkylamines to access enantioenriched α-aryl-substituted γ-amino esters. (b) Selected substrate scope demonstrating compatibility with aryl iodides, heteroaromatic iodides. (c) Proposed mechanism involving α-amino radical addition to acrylate, oxidative addition of aryl iodide, and reductive elimination [60].
Scheme 31. Photoredox/Ni dual-catalyzed enantioselective three-component 1,2-arylaminoalkylation of acrylates. (a) General reaction scheme using acrylates, heteroaryl iodides and α-silyl alkylamines to access enantioenriched α-aryl-substituted γ-amino esters. (b) Selected substrate scope demonstrating compatibility with aryl iodides, heteroaromatic iodides. (c) Proposed mechanism involving α-amino radical addition to acrylate, oxidative addition of aryl iodide, and reductive elimination [60].
Catalysts 16 00284 sch031
Scheme 32. Visible light-induced enantioselective three-component 1,2-alkylarylation of vinyl boronates. (a) General reaction scheme using vinyl boronates, (hetero)aryl bromides and alkyl NHP esters. (b) Selected substrate scope demonstrating broad tolerance of diverse substitution patterns and electronic properties, affording β-alkyl-α-aryl boronates. (c) Proposed mechanism involving photoredox-mediated SET to generate alkyl radical, radical addition to vinyl boronate to form α-boryl radical, and nickel-catalyzed cross-coupling [61].
Scheme 32. Visible light-induced enantioselective three-component 1,2-alkylarylation of vinyl boronates. (a) General reaction scheme using vinyl boronates, (hetero)aryl bromides and alkyl NHP esters. (b) Selected substrate scope demonstrating broad tolerance of diverse substitution patterns and electronic properties, affording β-alkyl-α-aryl boronates. (c) Proposed mechanism involving photoredox-mediated SET to generate alkyl radical, radical addition to vinyl boronate to form α-boryl radical, and nickel-catalyzed cross-coupling [61].
Catalysts 16 00284 sch032
Scheme 33. Visible light/Ni-catalyzed enantioselective three-component sulfonylalkenylation of alkenes. (a) General reaction scheme using styrenes, sulfinates and alkenyl halides to access β-chiral sulfones. (b) Selected substrate scope demonstrating broad substrate tolerance and functional group compatibility. (c) Proposed mechanism involving photoredox-mediated generation of sulfonyl radical, radical addition to styrene [62].
Scheme 33. Visible light/Ni-catalyzed enantioselective three-component sulfonylalkenylation of alkenes. (a) General reaction scheme using styrenes, sulfinates and alkenyl halides to access β-chiral sulfones. (b) Selected substrate scope demonstrating broad substrate tolerance and functional group compatibility. (c) Proposed mechanism involving photoredox-mediated generation of sulfonyl radical, radical addition to styrene [62].
Catalysts 16 00284 sch033
Scheme 34. Visible light/Ni-catalyzed enantioselective three-component carbosulfonylation of alkenes. (a) General reaction scheme using styrenes, sulfinates and (hetero)aryl/alkenyl halides to access enantioenriched β-aryl and β-alkenyl sulfones. (b) Selected substrate scope demonstrating broad substrate tolerance and functional group compatibility. (c) Proposed mechanism involving photoredox-mediated generation of sulfonyl radical, radical addition to styrene, and nickel-catalyzed cross-coupling [63].
Scheme 34. Visible light/Ni-catalyzed enantioselective three-component carbosulfonylation of alkenes. (a) General reaction scheme using styrenes, sulfinates and (hetero)aryl/alkenyl halides to access enantioenriched β-aryl and β-alkenyl sulfones. (b) Selected substrate scope demonstrating broad substrate tolerance and functional group compatibility. (c) Proposed mechanism involving photoredox-mediated generation of sulfonyl radical, radical addition to styrene, and nickel-catalyzed cross-coupling [63].
Catalysts 16 00284 sch034
Scheme 35. Photoredox/nickel-catalyzed enantioselective three-component silylarylation of terminal alkenes. (a) General reaction scheme using terminal alkenes, aryl halides and silyl reagents to access chiral β-silyl-α-aryl propionates. (b) Selected substrate scope demonstrating moderate yields and enantioselectivities [64].
Scheme 35. Photoredox/nickel-catalyzed enantioselective three-component silylarylation of terminal alkenes. (a) General reaction scheme using terminal alkenes, aryl halides and silyl reagents to access chiral β-silyl-α-aryl propionates. (b) Selected substrate scope demonstrating moderate yields and enantioselectivities [64].
Catalysts 16 00284 sch035
Scheme 36. Visible light-driven Pd-catalyzed enantioselective three-component carboamination of 1,3-dienes. (a) General reaction scheme using aryl-substituted 1,3-dienes, aliphatic C–H partners and primary/secondary amines to access chiral allylic amines. (b) Selected substrate scope demonstrating broad tolerance of diverse dienes, C–H partners and amines. (c) Proposed mechanism involving photoexcitation of L/Pd0, SET to generate aryl radical, HAT to form alkyl radical, radical addition to diene, and amine interception [68].
Scheme 36. Visible light-driven Pd-catalyzed enantioselective three-component carboamination of 1,3-dienes. (a) General reaction scheme using aryl-substituted 1,3-dienes, aliphatic C–H partners and primary/secondary amines to access chiral allylic amines. (b) Selected substrate scope demonstrating broad tolerance of diverse dienes, C–H partners and amines. (c) Proposed mechanism involving photoexcitation of L/Pd0, SET to generate aryl radical, HAT to form alkyl radical, radical addition to diene, and amine interception [68].
Catalysts 16 00284 sch036
Scheme 37. Visible light-driven palladium-catalyzed enantioselective 1,2-carboamination of 1,3-dienes. (a) General reaction scheme using 1,3-dienes, NHP esters and amines. (b) Selected substrate scope demonstrating broad tolerance of aryl-substituted dienes with electron-donating and electron-withdrawing groups, heteroarenes and naphthyl. (c) Proposed mechanism involving photoexcited L/Pd0-mediated SET to generate alkyl radical, radical addition to diene, radical recombination to form π-allylpalladium complex, and nucleophilic attack by NHP anion [69].
Scheme 37. Visible light-driven palladium-catalyzed enantioselective 1,2-carboamination of 1,3-dienes. (a) General reaction scheme using 1,3-dienes, NHP esters and amines. (b) Selected substrate scope demonstrating broad tolerance of aryl-substituted dienes with electron-donating and electron-withdrawing groups, heteroarenes and naphthyl. (c) Proposed mechanism involving photoexcited L/Pd0-mediated SET to generate alkyl radical, radical addition to diene, radical recombination to form π-allylpalladium complex, and nucleophilic attack by NHP anion [69].
Catalysts 16 00284 sch037
Scheme 38. Visible light-driven palladium-catalyzed enantioselective 1,2-alkylsulfonylation of 1,3-dienes. (a) General reaction scheme using 1,3-dienes, alkyl bromides and sodium sulfinates. (b) Selected substrate scope demonstrating broad substrate tolerance and functional group compatibility. (c) Proposed mechanism involving photoexcitation of L/Pd0, SET to generate alkyl radical, radical addition to diene [70].
Scheme 38. Visible light-driven palladium-catalyzed enantioselective 1,2-alkylsulfonylation of 1,3-dienes. (a) General reaction scheme using 1,3-dienes, alkyl bromides and sodium sulfinates. (b) Selected substrate scope demonstrating broad substrate tolerance and functional group compatibility. (c) Proposed mechanism involving photoexcitation of L/Pd0, SET to generate alkyl radical, radical addition to diene [70].
Catalysts 16 00284 sch038
Scheme 39. Dual photoredox/cobalt-catalyzed enantioselective hydroamination of unactivated alkenes. (a) General reaction scheme using unactivated alkenes and simple amines with collidinium triflate as proton source. (b) Selected substrate scope demonstrating broad compatibility with diaryl-substituted unactivated terminal alkenes and N-alkyl anilines bearing diverse electronic properties. (c) Proposed mechanism involving cobalt-hydride-mediated HAT to generate alkyl radical, enantioselective radical trapping, photoinduced oxidation, and C–N bond formation via nucleophilic substitution [73].
Scheme 39. Dual photoredox/cobalt-catalyzed enantioselective hydroamination of unactivated alkenes. (a) General reaction scheme using unactivated alkenes and simple amines with collidinium triflate as proton source. (b) Selected substrate scope demonstrating broad compatibility with diaryl-substituted unactivated terminal alkenes and N-alkyl anilines bearing diverse electronic properties. (c) Proposed mechanism involving cobalt-hydride-mediated HAT to generate alkyl radical, enantioselective radical trapping, photoinduced oxidation, and C–N bond formation via nucleophilic substitution [73].
Catalysts 16 00284 sch039
Table 1. Comparative summary of catalytic cycle mechanisms for four transition metals. The table outlines key features including typical oxidation states, preferred ligand types, favored alkene substrates, and typical bond formations. Photocatalyst compatibility, mechanistic steps governing stereoselectivity, and the primary strengths and limitations of each metal system are also compared. Representative references are provided for each catalytic system.
Table 1. Comparative summary of catalytic cycle mechanisms for four transition metals. The table outlines key features including typical oxidation states, preferred ligand types, favored alkene substrates, and typical bond formations. Photocatalyst compatibility, mechanistic steps governing stereoselectivity, and the primary strengths and limitations of each metal system are also compared. Representative references are provided for each catalytic system.
CopperNickelPalladiumCobalt
Typical oxidation statesCuI/CuII/CuIIINi0/NiII/NiIIIPd0/PdIICoII/CoIII
Preferred ligand typesBisoxazolineBisoxazoline; BiimidazolineBisphosphineSalen
Stereoselectivity stepReductive elimination from CuIIIEnantioselective radical capture at NiIINucleophilic attack on π-allyl-Pd complexC–Co bond formation via radical addition
Preferred alkene substratesElectron-deficient alkenes, 1,3-enynesstyrenes, acrylates, vinyl phosphonates1,3-DienesUnactivated alkenes
Typical bond formationsC–C, C–O, C–NC–C, C–S, C–SiC–N, C–SC–N
Photocatalyst compatibilityOrganic PC, Cu-excited (no external PC)PC1, PC7Pd-excited (no external PC)Salen-Co with organic PC
strengthsVersatile for C–O/C–N bonds; well-developed Box ligandsFlexible oxidation states; broad radical precursor compatibilityDirect C(sp3)–H functionalization; π-allyl chemistryHAT-mediated functionalization of unactivated alkenes
limitationsLimited to activated alkenesHigh ligand loadingHigh catalyst loading; limited to conjugated dienesLimited substrate scope; emerging field
Representative references[29,30,31,32,33,34,35,36,37,38,39,40,41,42,43,44,45,46,47,48,49][52,53,54,55,56,57,58,59,60,61,62,63,64][68,69,70][73]
Disclaimer/Publisher’s Note: The statements, opinions and data contained in all publications are solely those of the individual author(s) and contributor(s) and not of MDPI and/or the editor(s). MDPI and/or the editor(s) disclaim responsibility for any injury to people or property resulting from any ideas, methods, instructions or products referred to in the content.

Share and Cite

MDPI and ACS Style

Zhai, C.; Liu, Q.; Zhang, S.; He, W. The Merger of Transition Metal and Photocatalysis: Recent Advances and Prospects in Asymmetric Intermolecular 1,2-Difunctionalization of Alkenes. Catalysts 2026, 16, 284. https://doi.org/10.3390/catal16030284

AMA Style

Zhai C, Liu Q, Zhang S, He W. The Merger of Transition Metal and Photocatalysis: Recent Advances and Prospects in Asymmetric Intermolecular 1,2-Difunctionalization of Alkenes. Catalysts. 2026; 16(3):284. https://doi.org/10.3390/catal16030284

Chicago/Turabian Style

Zhai, Chenkai, Quan Liu, Shengyong Zhang, and Wei He. 2026. "The Merger of Transition Metal and Photocatalysis: Recent Advances and Prospects in Asymmetric Intermolecular 1,2-Difunctionalization of Alkenes" Catalysts 16, no. 3: 284. https://doi.org/10.3390/catal16030284

APA Style

Zhai, C., Liu, Q., Zhang, S., & He, W. (2026). The Merger of Transition Metal and Photocatalysis: Recent Advances and Prospects in Asymmetric Intermolecular 1,2-Difunctionalization of Alkenes. Catalysts, 16(3), 284. https://doi.org/10.3390/catal16030284

Note that from the first issue of 2016, this journal uses article numbers instead of page numbers. See further details here.

Article Metrics

Back to TopTop