Next Article in Journal
Strategies to Enhance Catalytic Efficiency of ZnO Thin Film Under Solar Light Irradiation
Previous Article in Journal
Mechanistic and Molecular Docking Insights into Laccase-Mediated Methyl Orange Decolorization for Wastewater Treatment
 
 
Font Type:
Arial Georgia Verdana
Font Size:
Aa Aa Aa
Line Spacing:
Column Width:
Background:
Article

Conceptual Design of a Multitubular Fixed-Bed Reactor for Methanol Ammoxidation to Hydrogen Cyanide over FeMo/SiO2 Using a Mars–van Krevelen Kinetic Model

1
Department of Chemical Engineering, China University of Petroleum Huadong, Qingdao 266580, China
2
Qingdao PTK Chemical Co., Ltd., Qingdao 266400, China
*
Author to whom correspondence should be addressed.
Catalysts 2026, 16(3), 210; https://doi.org/10.3390/catal16030210
Submission received: 26 January 2026 / Revised: 17 February 2026 / Accepted: 24 February 2026 / Published: 26 February 2026
(This article belongs to the Section Catalytic Reaction Engineering)

Abstract

Methanol ammoxidation over FeMo/SiO2 has emerged as a promising low-temperature route to hydrogen cyanide (HCN). In this work, an eight-parameter Mars–van Krevelen (MvK) kinetic model, previously established from intrinsic fixed-bed experiments, is embedded in a heterogeneous plug-flow description to design an industrial multitubular reactor with a nominal HCN capacity of 10,000 t∙a−1. The reactor is represented by a bank of isothermal tubes that are operated at 420 °C and a mildly elevated pressure, each packed with spherical FeMo/SiO2 pellets. Detailed simulations for a 30 mm inner tube diameter and 2 mm pellets, including an Ergun pressure drop and intraparticle diffusion with realistic effective diffusivities, show that a 4 m bed at an outlet pressure of 1.5 bar (abs) achieves an essentially complete methanol conversion with a carbon-based HCN yield of ≈0.95 at a space time of ≈160 gcat∙h∙mol−1. Axial effectiveness factors remain above ≈0.6, indicating moderate but manageable diffusion limitations. Comparison with a 35 mm/3 mm geometry reveals a clear trade-off between pressure drop and HCN selectivity. Parametric studies of space time, feed composition and outlet pressure delineate a broad non-flammable operating window with robust HCN yield and moderate compression duty. The results demonstrate how a mechanistic MvK rate expression can be translated into a practical design framework for FeMo-based multitubular HCN reactors.

1. Introduction

Hydrogen cyanide (HCN) is a key intermediate for the manufacture of acrylonitrile, adiponitrile, methyl methacrylate, cyanuric chloride and various fine and specialty chemicals. Commercial HCN production is still dominated by high-temperature methane-based technologies, notably the Andrussow and Degussa (BMA) processes, which employ Pt/Rh gauze catalysts at 1100–1300 °C in strongly oxidizing mixtures of CH4, NH3 and O2 [1,2,3,4]. These routes are technologically mature but suffer from several drawbacks: severe operating conditions, formation of NOx, sensitivity to platinum price and gauze aging, and a relatively narrow non-flammable window in the CH4–NH3–O2 system that limits process intensification [1,3,5].
Methanol ammoxidation has emerged as an attractive lower-temperature alternative for HCN production [3,6,7,8]. In this route, HCN is obtained from CH3OH, NH3 and O2 over mixed oxide catalysts at 400–500 °C, with CO and CO2 as the main deep-oxidation by-products. Because methanol is a liquid, easily stored and increasingly available from coal, natural gas and CO2-based routes, a methanol-to-HCN process is especially appealing in regions where natural-gas infrastructure is limited [3,6]. In addition, the lower reaction temperature suppresses NOx formation, and the use of transition-metal oxides instead of noble metals reduces catalyst cost and vulnerability to precious-metal price fluctuations.
Among the non-noble systems, silica-supported Fe–Mo oxides (FeMo/SiO2) have received considerable attention for methanol ammoxidation [6,7,8,9,10,11]. These catalysts typically contain Fe2(MoO4)3 as the dominant crystalline phase, together with a small amount of α-Fe2O3, and exhibit a high methanol conversion with HCN selectivities above 90% over an intermediate temperature window [8,9,10]. Previous studies have examined catalyst composition, preparation method and operating conditions and have demonstrated long-term stability under ammoxidation conditions [6,7,8,9,10,11,12]. However, most reports have focused on catalyst screening and laboratory performance; comparatively few works have attempted to link intrinsic kinetics to the design of industrial-scale reactors.
In a recent study published in Catalysts, we reported a detailed kinetic investigation of methanol ammoxidation to HCN over FeMo/SiO2 in a fixed-bed reactor operated under conditions free of internal and external transport limitations [8]. Catalyst particles with diameters less than 0.15 mm, combined with Weisz–Prater and Mears criteria, confirmed the intrinsic character of the measured rates. The data were interpreted in terms of a Mars–van Krevelen (MvK) redox mechanism in which lattice oxygen participates explicitly in both the selective ammoxidation and deep-oxidation pathways. Among several mechanistic variants, an eight-parameter rate model (case II) was retained, which expresses the formation rates of HCN, CO and CO2 as rational functions of the partial pressures of methanol (pM), ammonia (pA) and oxygen (pO2).
While such intrinsic kinetic models are essential for understanding the reaction chemistry, their direct use in industrial reactor design is not straightforward. Commercial HCN plants employ multitubular fixed-bed reactors with tube bundles containing several thousand small-diameter tubes packed with millimeter-sized catalyst pellets. In these systems, intraparticle diffusion, a gas-phase pressure drop and heat-transfer constraints can significantly modify the apparent reaction rates and selectivities relative to those measured in integral laboratory reactors [13,14,15]. Design decisions such as tube diameter, pellet size, tube length and operating pressure must, therefore, be made on the basis of a heterogeneous reactor model that consistently integrates intrinsic kinetics with transport phenomena. To date, however, there has been little systematic work on using mechanistic MvK kinetics for FeMo/SiO2 to design multitubular reactors for methanol-derived HCN.
The objective of the present contribution is to bridge this gap by translating the intrinsic MvK model for FeMo/SiO2 into a conceptual design framework for an industrial multitubular reactor producing 10,000 t∙a−1 of HCN. We consider a non-flammable feed composition CH3OH:NH3:air:N2(add) = 1:1.1:10.0:3.025 (molar), in which air supplies are both oxidant and diluent, and additional N2 is used as an explosion suppressant. A one-dimensional heterogeneous plug-flow model is formulated for a single tube packed with spherical FeMo/SiO2 pellets. The model combines (i) the intrinsic MvK rate expressions at the pellet scale, (ii) an intraparticle diffusion–reaction description for CH3OH, NH3 and O2, and (iii) gas-phase plug flow with an Ergun pressure drop. Using this framework, we compare alternative tube–particle combinations, analyze the impact of internal diffusion on effectiveness factors and intraparticle concentration profiles, and map the operating window of the industrial reactor as a function of space time, feed composition and outlet pressure. In this way, the study illustrates how a mechanistic MvK kinetic model, originally developed from intrinsic laboratory data, can be deployed as a practical tool for designing and optimizing FeMo-based methanol ammoxidation reactors at an industrial scale.

2. Results and Discussion

2.1. Isothermal Plug-Flow Performance and Pressure Drop at Design Load

To evaluate the hydrodynamic implications at the full industrial capacity, the single-tube model was scaled to a target hydrogen cyanide production rate of 10,000 t·a−1 at 8000 h·a−1, corresponding to n ˙ H C N , t a r g e t 4.63 × 10 4 mol·h−1. The outlet pressure was fixed at P ( L ) = P out = 1.5 bar (abs), and the MeOH feed per tube was adjusted so that a bundle of N t = 4000 identical tubes produced the required total HCN molar flow. For each tube, the gas phase was modeled as a one-dimensional plug flow with an Ergun-type pressure drop, and the intrinsic Mars–van Krevelen kinetics were implemented in terms of mass-based rates r i (mol·gcat−1·h−1). The feed composition was kept at CH3OH:NH3:air:N2(add) = 1:1.1:10.0:3.025 (molar) at the reactor inlet.
Two tube–particle combinations were analyzed (Figure 1):
(A)
Dt = 35 mm, dp = 3 mm
(B)
Dt = 30 mm, dp = 2 mm
At the design load, both configurations reach essentially complete methanol conversion over the 4 m packed length. For case (A), the model yields an inlet methanol feed of n ˙ M e O H , i n tube 12.4 mol·h−1, an outlet HCN production of n ˙ H C N , o u t tube 11.6 mol·h−1, and a nearly quantitative methanol conversion of X M e O H 1.00 . The corresponding HCN selectivity and carbon-based yields are S H C N 0.93 and Y H C N 0.93 , respectively. With 4000 tubes, the total HCN production matches the plant target.
Figure 1. Predicted axial profiles of methanol conversion XMeOH and total pressure P along a single tube at the design load for the two tube–pellet combinations: (A) Dt = 35 mm and dp = 3 mm; (B) Dt = 30 mm and dp = 2 mm. Conditions: T = 420 °C, Pout = 1.5 bar (abs), CH3OH:NH3:air:N2(add) = 1:1.1:10.0:3.025 (molar), L = 4.0 m.
Figure 1. Predicted axial profiles of methanol conversion XMeOH and total pressure P along a single tube at the design load for the two tube–pellet combinations: (A) Dt = 35 mm and dp = 3 mm; (B) Dt = 30 mm and dp = 2 mm. Conditions: T = 420 °C, Pout = 1.5 bar (abs), CH3OH:NH3:air:N2(add) = 1:1.1:10.0:3.025 (molar), L = 4.0 m.
Catalysts 16 00210 g001
For case (B), the required per-tube MeOH feed is slightly lower, n ˙ M e O H , i n tube 12.2 mol·h−1, while the outlet HCN rate per tube is essentially identical ( 11.6 mol·h−1), again giving X M e O H 1.00 . However, the smaller tube and pellet size significantly improve HCN selectivity to S H C N 0.95 and Y H C N 0.95 , reflecting the beneficial impact of reduced external and internal mass-transfer limitations at otherwise identical operating conditions.
The trade-off appears clearly in the pressure drop. For D t = 35 mm and d p = 3 mm, the Ergun equation predicts a pressure drop of Δ P 0.75 bar over the 4 m bed at the design flow rate, corresponding to an inlet pressure of P in 2.25 bar (abs) for an outlet pressure of 1.5 bar (abs). When the tube diameter is reduced to 30 mm and the pellet size is reduced to 2 mm, the gas velocity and hydraulic resistance both increase, and the pressure drop rises to Δ P 1.66 bar, i.e., P in 3.16 bar (abs). Thus, the 30 mm/2 mm configuration requires a substantially higher inlet pressure—more than twice the pressure drop of the 35 mm/3 mm case—but delivers measurably higher HCN selectivity at essentially complete methanol conversion.
Overall, these results show that both geometries can achieve the required HCN production at a high conversion and selectivity under the chosen isothermal design conditions. The smaller tube diameter and pellet size offer superior intrinsic performance (a higher HCN selectivity and a more favorable basis for radial temperature control and intraparticle diffusion) at the cost of an increased pressure drop; hence, a higher inlet pressure is required. The final choice between the 35 mm/3 mm and 30 mm/2 mm configurations therefore hinges on the acceptable compression duty and mechanical design constraints of the multitubular reactor bundle and downstream purification train.
The associated pressure drop, obtained from the Ergun equation and coupled with the variable-density gas-phase model, is ΔP ≈ 1.66 bar over the 4 m packed length at the design flow rate. Thus, for an outlet pressure of Pout = 1.5 bar (abs), the required inlet pressure is Pin ≈ 3.16 bar (abs). This moderate overpressure is compatible with standard shell-and-tube reactor design and downstream purification units, while providing a sufficiently large driving force to keep the reactor and subsequent separation steps safely above atmospheric pressure.
On this basis, the combination of Dt = 30 mm and dp = 2 mm is adopted as the base-case geometry for all subsequent simulations, and alternative tube and pellet sizes are evaluated relative to this reference.
At the design load (T = 420 °C, Pout = 1.5 bar (abs) and L = 4.0 m, Nt = 4000), both geometries reach essentially complete methanol conversion, XMeOH ≈ 1.00. The 30 mm/2 mm base-case tube requires a per-tube MeOH feed of ≈12.2 mol·h−1 and delivers an outlet HCN yield of YHCN ≈ 0.95, with a pressure drop of ΔP ≈ 1.7 bar (Pin ≈ 3.2 bar (abs)). The 35 mm/3 mm configuration requires ≈12.4 mol·h−1 MeOH per tube, gives YHCN ≈ 0.93, and exhibits a lower pressure drop of ΔP ≈ 0.75 bar (Pin ≈ 2.25 bar (abs)). Thus, the 30 mm/2 mm geometry increases the HCN yield by about two percentage points at the expense of an additional ≈0.9 bar of pressure drop along the 4 m packed length.
From an industrial standpoint, the higher pressure drop in the 30 mm/2 mm tubes implies a larger compressor head upstream of the reactor. At the same throughput, increasing ΔP from ≈0.75 bar (35 mm/3 mm) to ≈1.7 bar (30 mm/2 mm) would roughly double the required compression duty. However, the absolute pressures remain modest (Pin ≈ 3.2 bar (abs) and Pout = 1.5 bar (abs)), so the additional power demand is compatible with standard centrifugal compressors and does not dominate overall operating cost. In this sense, the 30 mm/2 mm geometry trades a moderate increase in compression duty for a robust gain in HCN yield and a more favorable basis for heat management and intraparticle diffusion.

2.2. Comparison with 35 mm Tubes and 3 mm Pellets

To assess the trade-off between transport performance and pressure drop, the same heterogeneous plug-flow model was applied to an alternative geometry with a larger tube diameter and pellet size, Dt = 35 mm and dp = 3 mm, at otherwise identical operating conditions (Figure 1 and Figure 2). The per-tube methanol feed was again adjusted such that the overall HCN production matches 10,000 t·a−1.
At the design load, the 35 mm/3 mm configuration requires a slightly higher per-tube methanol feed (≈12.4 mol·h−1) to achieve the same per-tube HCN production (≈11.6 mol·h−1) and to essentially complete methanol conversion. The outlet HCN selectivity and carbon-based yield are SHCN ≈ YHCN ≈ 0.93, somewhat lower than the yield for the 30 mm/2 mm base case. This difference is consistent with the stronger intraparticle diffusion limitations predicted for 3 mm pellets: the pellet-scale solution shows more pronounced concentration gradients, with lower effectiveness factors near the tube inlet compared to the 2 mm pellets operated under the same bulk conditions.
Hydrodynamically, the larger tube diameter and pellet size yield a smaller pressure drop. For Dt = 35 mm and dp = 3 mm, the Ergun equation gives ΔP ≈ 0.75 bar over 4 m at the design flow, corresponding to an inlet pressure Pin ≈ 2.25 bar (abs). The pressure drop is thus reduced by about a factor of two relative to the 30 mm/2 mm configuration. However, this reduction in pressure drop is accompanied by both stronger intraparticle diffusion limitations and a modest loss in HCN selectivity at essentially the same methanol conversion.
Overall, the comparison indicates that the 30 mm/2 mm design represents a favorable compromise for the FeMo/SiO2-catalyzed methanol ammoxidation to HCN. The smaller tube diameter facilitates radial temperature control and justifies the isothermal wall assumption, while 2 mm pellets keep intraparticle diffusion limitations at a moderate level and allow the intrinsic Mars–van Krevelen kinetics to be expressed with high HCN selectivity. Although the 35 mm/3 mm geometry is attractive from a purely hydraulic perspective, its lower HCN selectivity and stronger pellet-scale gradients make it less suitable as a base-case design. In the remainder of this work, all detailed parametric studies are therefore carried out for the 30 mm/2 mm configuration, and the 35 mm/3 mm case is only used as a reference for sensitivity analysis.

2.3. Intraparticle Diffusion Assessment in the 30 mm/2 mm Base-Case Tube

For the base-case geometry (tube inner diameter 30 mm and pellet diameter 2 mm), the heterogeneous plug-flow model with spherical pellet diffusion–reaction was evaluated at the full design load. The methanol feed per tube was adjusted to FMeOH,in = 12.200 mol·h−1, corresponding to F N H 3 , i n = 13.420 mol·h−1, F O 2 , i n = 25.620 mol·h−1 and F N 2 , i n = 133.285 mol·h−1 for the feed composition CH3OH:NH3:air:N2(add) = 1:1.1:10.0:3.025 (molar). At an outlet pressure of Pout = 1.5 bar (abs), the Ergun equation predicts an inlet pressure of Pin = 3.22 bar (abs), i.e., a pressure drop of about ΔP = 1.72 bar over the 4 m packed length. Under these conditions the reactor achieves essentially complete methanol conversion, XMeOH ≈ 1.00, with an outlet HCN selectivity and carbon-based yield of SHCNYHCN ≈ 0.947, which is consistent with the intrinsic Mars–van Krevelen kinetics established in the kinetic study.
Figure 3 shows the axial profile of methanol conversion in the 30 mm/2 mm tube. Methanol is consumed rapidly: XMeOH reaches about 0.8 at z ≈ 1.0 m and exceeds 0.95 at z ≈ 1.5 m, approaching unity around z ≈ 2.0 m. Beyond this point the bed operates on a lean methanol tail gas and mainly serves to polish residual CH3OH and complete the ammoxidation to HCN.
Although Figure 3 shows that more than 95% of methanol is converted within the first 1.5 m of the bed at the nominal design conditions, we retain a tube length of L = 4.0 m in the base-case design. The additional downstream section acts as a polishing zone that ensures essentially complete methanol removal and stabilizes the HCN yield over the broader operating window of W/FMeOH ≈ 80–220 gcat·h·mol−1 that is considered in Section 2.4. This extra length also provides robustness with respect to uncertainties in the kinetic parameters, effective diffusivities, heat-transfer coefficients and potential catalyst deactivation or flow maldistribution at an industrial scale. The associated penalty in pressure drop remains modest: extending the bed from ≈2 m to 4 m only increases the total ΔP to about 1.7 bar in the 30 mm/2 mm geometry, which is acceptable in the context of the overall compression duty of the plant.
The corresponding axial effectiveness factors for methanol, ammonia and oxygen are plotted in Figure 4. At the tube inlet, all three effectiveness factors are slightly below unity, η M η A η O 2 ≈ 0.96, indicating mild intraparticle diffusion limitations where the reactant partial pressures are still close to their feed values. Moving downstream, the effectiveness factors decrease and reach a minimum of about η m i n 0.61 at z / L 0.5 . For orientation, if one maps this numerically obtained effectiveness factor onto the analytical expression for a first-order reaction in a spherical pellet, it corresponds to an effective Thiele modulus with an order of Φ 3 4 , i.e., a regime of moderate diffusion control. This mapping is only used as an approximate diagnostic: the actual pellet calculations always employ the full non-linear MvK kinetics rather than a first-order rate law. Further along the reactor, as methanol and ammonia are depleted and the intrinsic reaction rates decrease, the Thiele modulus is reduced and the effectiveness factors increase again, reaching η ≈ 0.68 near the tube outlet. The three curves remain close to one another because the effective diffusivities of CH3OH, NH3 and O2 differ only moderately, and their source terms are governed by the same MvK rate expression.
Figure 5 presents the intraparticle concentration profiles of CH3OH, NH3 and O2 at four axial positions (z = 0.0, 0.5, 1.0 and 2.0 m). At the reactor inlet (z = 0.0 m), the pellets operate with relatively high reactant concentrations and exhibit noticeable but moderate radial gradients: the methanol concentration increases from about 3.0 mol·m−3 at the pellet center to about 3.7 mol·m−3 at the external surface, while ammonia and oxygen show similar variations of roughly 10–15%. At z = 0.5 m the overall concentrations are lower, and the gradients become more pronounced, indicating the onset of internal diffusion limitations as the intrinsic reaction rate increases. Around z = 1.0–2.0 m, where the bed is most strongly reacting, methanol is almost completely depleted in the pellet core and attains only a small concentration even at the surface, whereas ammonia and oxygen still exhibit finite concentrations. This confirms that methanol is the locally limiting reactant in this region and that the pellets operate in a regime of moderate diffusion control.
Overall, these results show that, for 2 mm FeMo/SiO2 pellets under the design conditions, intraparticle diffusion reduces the accessible intrinsic activity by roughly 30–40% in the most strongly reacting section of the bed but does not drive the system into a severely diffusion-limited regime. The combination of moderate effectiveness factors (ηmin ≈ 0.61), nearly complete methanol conversion and high HCN yield supports the use of 2 mm pellets as a suitable compromise between kinetic performance and the pressure drop in the 30 mm tube geometry.

2.4. Operating Window and Parametric Sensitivity

While the previous sections focused on the base-case design at the nominal load (T = 420 °C, Pout = 1.5 bar (abs), Dt = 30 mm, and dp = 2 mm), an industrial reactor must operate robustly over a wider range of conditions. In this subsection, the heterogeneous plug-flow model is used to delineate a practical operating window for the 30 mm/2 mm geometry, with emphasis on the influence of space time, feed composition and pressure level on methanol conversion, HCN yield and pressure drop.

2.4.1. Effects of Space Time

At 400 °C and atmospheric pressure, the constant-pressure plug-flow model with spherical pellets was evaluated for the laboratory feed composition NH3/O2/CH3OH = 1.1/2.7/1.0 that was used in the kinetic study. Figure 6 shows the predicted outlet methanol conversion as a function of the space time W/FMeOH for 2 mm FeMo/SiO2 pellets with the effective diffusivities De,MeOH = 2.2 × 10−6 m2 s−1, D e ,   N H 3 = 3.1 × 10−6 m2 s−1 and D e ,   O 2 = 2.4 × 10−6 m2 s−1. Methanol conversion increases monotonically with W/FMeOH, from XMeOH ≈ 0.2 at 25 gcat·h mol−1 to XMeOH ≈ 0.93 at 150 gcat h mol−1. The corresponding HCN yield (Figure 7) follows the same trend, rising from YHCN ≈ 0.18 to ≈0.81 over the same range.
For comparison, the intrinsic kinetic study reported complete methanol conversion, an HCN yield of 92.5% at 400 °C and a space time of 125 gcat·h·mol−1 in a fixed-bed reactor operated under conditions free of internal and external transport limitations. In the present pellet-scale model, at the same nominal space time the predicted methanol conversion and HCN yield are XMeOH ≈ 0.86 and YHCN ≈ 0.79, respectively. The shift in the conversion and yield curves towards higher space times reflects the impact of intraparticle diffusion in the 2 mm pellets, which reduces the effective reaction rate relative to the intrinsic Mars–van Krevelen kinetics that are measured on crushed catalyst particles. Overall, the constant-pressure PFR with the diffusion–reaction pellet model reproduces the qualitative dependence of conversion and selectivity on the space time observed in the kinetic study, while providing a physically consistent estimate of the additional catalyst requirements associated with internal diffusion in industrially relevant catalyst shapes.
This comparison confirms that the same intrinsic MvK parameter set, calibrated at 1 bar [8], provides a consistent description of the dependence of conversion and selectivity on space time at 400 °C and can be reasonably extended to the industrial regime (420 °C and 2–3 bar) as a first-principles basis for conceptual reactor design.

2.4.2. Effect of Space Time on the Industrial Design Conditions (420 °C, 30 mm/2 mm, with Pressure Drop)

In a second step, the influence of space time was re-evaluated under the industrial design conditions, i.e., for the 30 mm/2 mm tube–pellet combination including the Ergun pressure drop. The outlet pressure was fixed at 1.5 bar (abs), while the inlet pressure was determined self-consistently from the Ergun equation as a function of flow rate. The feed composition was kept at CH3OH:NH3:air:N2(add) = 1:1.1:10.0:3.025 (molar), and the wall temperature was fixed at 420 °C.
A series of simulations was carried out by varying the per-tube methanol feed to FMeOH, as such the corresponding space time covered the range W/FMeOH ≈ 80–220 gcat· h·mol−1. For the chosen tube geometry (Dt = 30 mm, L = 4.0 m, εb = 0.40, and ρb ≈ 7.0 × 105 gcat· m−3), the range of W/FMeOH corresponds to per-tube methanol feed rates of approximately 25–9 mol h−1 and inlet pressures between about 2.3 and 3.6 bar (abs). The resulting outlet methanol conversion and HCN yield are summarized in Figure 8 and Figure 9.
Figure 8 shows the outlet methanol conversion as a function of space time. Even at the lowest value considered, W/FMeOH ≈ 80 gcat·h·mol−1, the model predicts XMeOH,out > 0.99, and the conversion rapidly approaches unity as W/FMeOH is increased further. In the design region around W/FMeOH ≈160 gcat·h·mol−1, the reactor operates at essentially complete methanol conversion. This behavior reflects the combined effect of the higher temperature and the higher average pressure in the industrial tube relative to the kinetic experiments. At 420 °C and mean pressures of 2–3 bar, the intrinsic Mars–van Krevelen rates are significantly larger than at 400 °C and 1 bar, so that complete conversion is achieved at space times well below those required in the laboratory reactor, even in the presence of moderate intraparticle diffusion limitations.
The corresponding outlet HCN yield and selectivity are plotted in Figure 9. Unlike the conversion, the HCN yield exhibits a shallow but systematic decrease with increasing space time. At W/FMeOH ≈ 80 gcat·h·mol−1 the carbon-based HCN yield is YHCN,out ≈ 0.97, while at W/FMeOH ≈ 220 gcat·h·mol−1 it drops to YHCN,out ≈ 0.94. The design point, highlighted in Figure 8 and Figure 9, corresponds to W/FMeOH ≈160 gcat·h·mol−1, an inlet pressure of Pin ≈ 3.2 bar (abs) for Pout = 1.5 bar (abs), and an outlet performance of XMeOH,out ≈ 1.00 and YHCN,out ≈ 0.95. This point represents a practical compromise: the space time is large enough to guarantee essentially complete methanol conversion and a robust safety margin, yet not so large that excessive bed length and pressure drop are invested in a tail section where HCN yield is slightly eroded by deep oxidation to CO and CO2.
Taken together with the constant-pressure simulations at 400 °C (Section 2.4.1), which reproduce the dependence of conversion and selectivity on W/FMeOH measured in the intrinsic kinetic study, the present results show that under industrial conditions the combination of higher temperature, moderate overpressure and 2 mm FeMo/SiO2 pellets lead to high intrinsic activity. As a consequence, the apparent space time required for essentially complete methanol conversion is significantly less than in the laboratory reactor, even though intraparticle diffusion reduces the local effectiveness factors to values as low as η ≈ 0.6 in the most strongly reacting section of the bed. This confirms that the 30 mm/2 mm base-case design can meet the target HCN capacity at high yield with a comparatively compact catalyst inventory.

2.4.3. Effect of Feed Composition (NH3/MeOH and O2/MeOH Ratios)

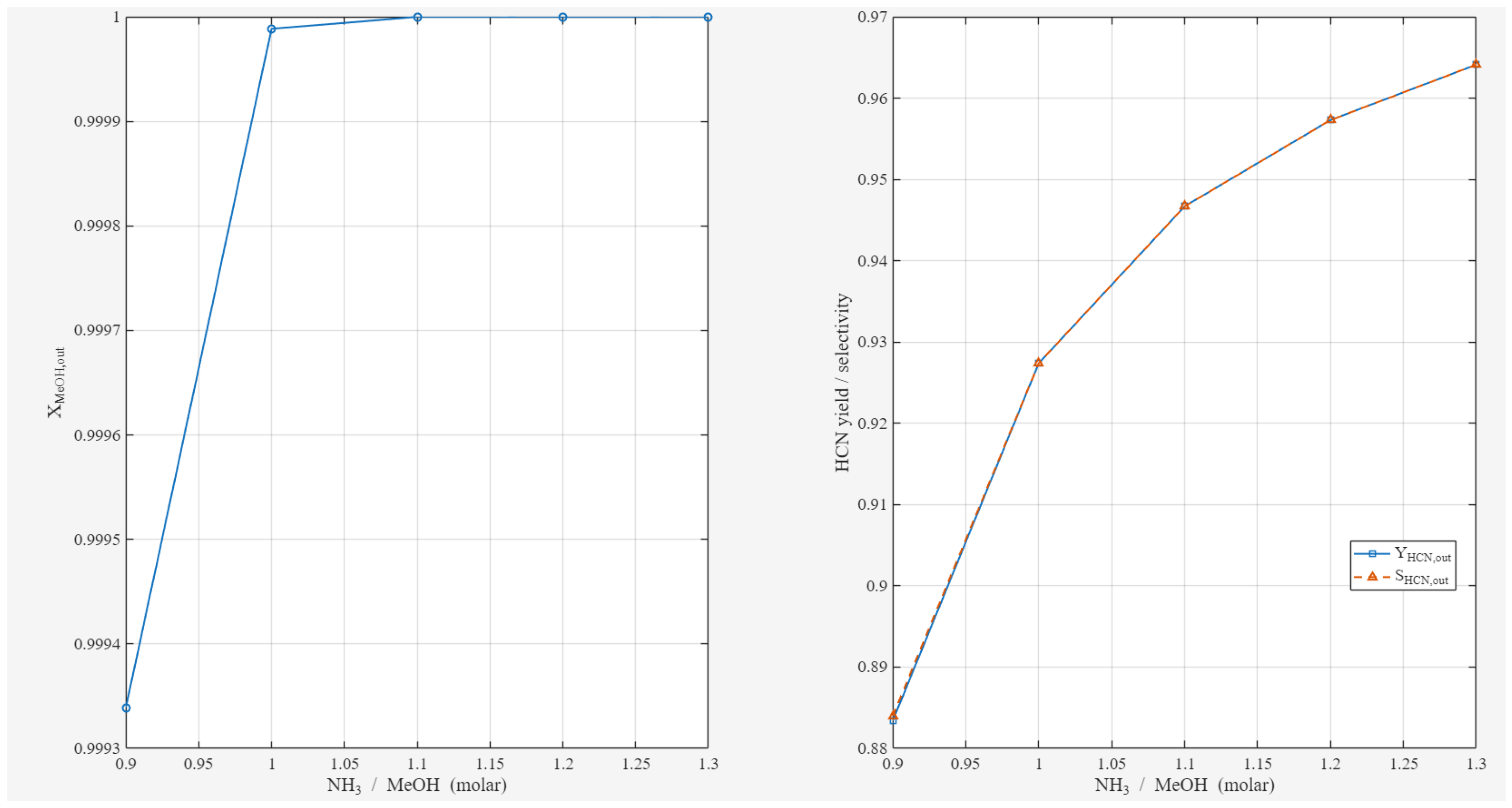
The influence of the feed composition around the base-case design point was examined by varying the NH3/MeOH and O2/MeOH molar ratios at fixed tube geometry (30 mm/2 mm), outlet pressure (1.5 bar abs), wall temperature (420 °C) and space time (W/FMeOH ≈ 160 gcat·h·mol−1). Under these conditions the reference feed composition CH3OH:NH3:air:N2(add) = 1:1.1:10.0:3.025 corresponds to NH3/MeOH = 1.1 and O2/MeOH ≈ 2.1 and yields essentially complete methanol conversion with an outlet HCN yield of about 0.95.
Effect of NH3/MeOH Ratio
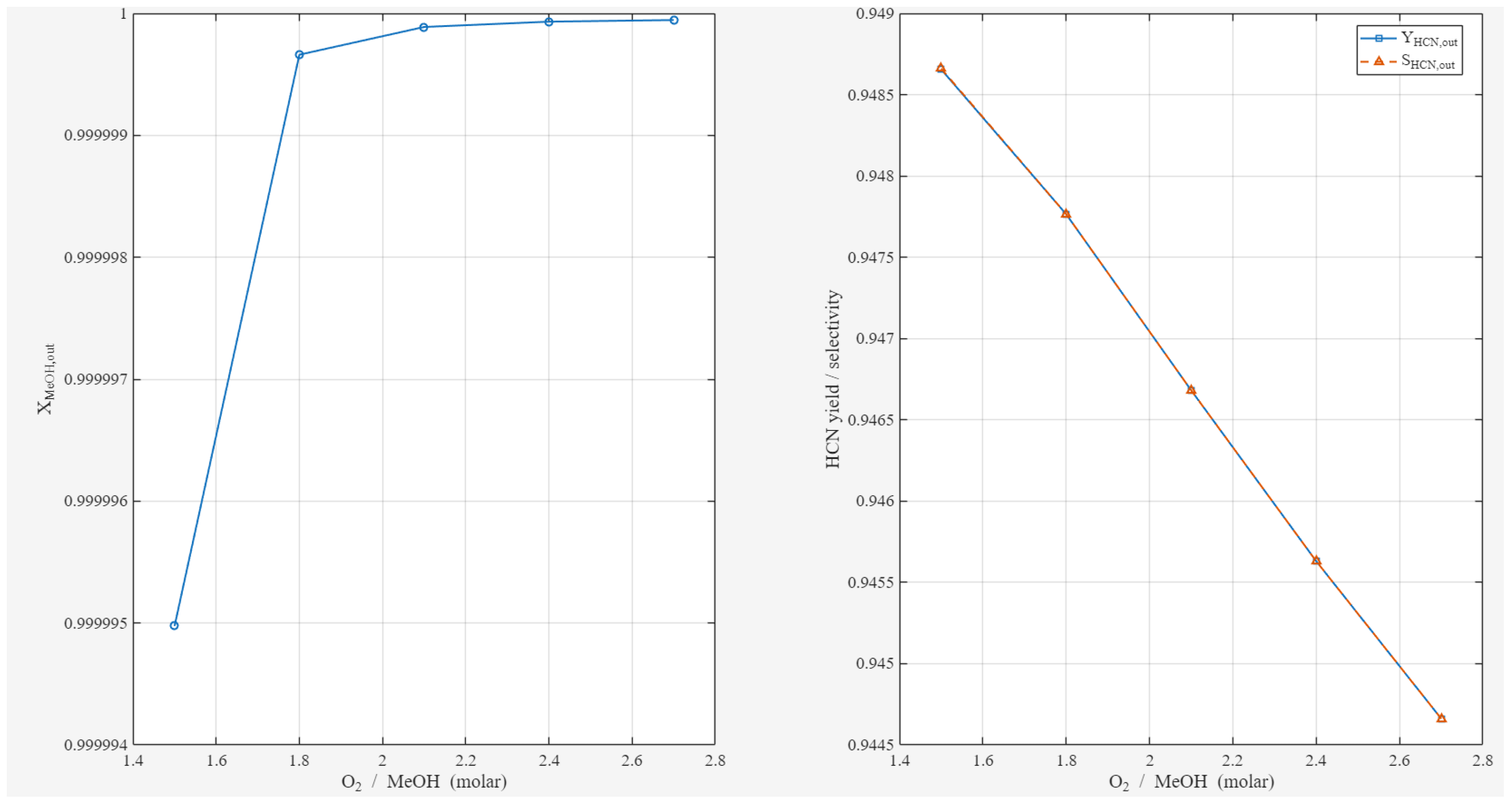
Figure 10 (left and right panels) shows the effect of the NH3/MeOH molar ratio in the range 0.9–1.3 at constant O2/MeOH ≈ 2.1. Over this range the outlet methanol conversion remains virtually complete (XMeOH,out > 0.999 for all cases), so the impact of the NH3/MeOH ratio is reflected almost entirely in the product distribution. At NH3/MeOH = 0.9 the HCN yield is limited to YHCN,out ≈ 0.89, indicating a shortage of ammonia relative to methanol and an increased fraction of deep oxidation to CO and CO2. Increasing the ratio to 1.0 and 1.1 markedly improves the HCN yield, which rises to approximately 0.93 and 0.95, respectively. A further increase to NH3/MeOH = 1.2–1.3 provides only a modest additional gain (YHCN,out ≈ 0.96–0.965), suggesting that the catalyst surface becomes saturated with ammonia and that the system enters a regime of diminishing returns with respect to NH3 excess.
From a process design perspective, NH3/MeOH ≈ 1.1 therefore represents a suitable compromise: it is sufficiently above stoichiometric to achieve high HCN yield and to suppress deep oxidation, while avoiding an unnecessarily large ammonia surplus that would increase raw-material consumption and the load on downstream neutralization and scrubbing units. This conclusion is also consistent with the intrinsic kinetic study, where an NH3/CH3OH ratio of 1:1 was found to provide high HCN selectivity at moderate space time.
Effect of O2/MeOH Ratio
The effect of the oxidant level was explored by varying the O2/MeOH ratio between 1.5 and 2.7 at fixed NH3/MeOH = 1.1 (Figure 11). As in the base case, methanol conversion is essentially complete for all compositions, indicating that the reaction is not limited by oxygen over the range considered. In contrast, the HCN yield exhibits a weak but systematic decrease with increasing O2/MeOH. At the lowest oxygen level studied (O2/MeOH = 1.5) the model predicts YHCN,out ≈ 0.949. As the ratio is increased to 1.8, 2.1, 2.4 and 2.7, the HCN yield gradually declines to roughly 0.948, 0.947, 0.946 and 0.945, respectively. This trend reflects the fact that higher oxygen partial pressure promotes deep oxidation to CO and CO2, which is in line with the experimental observation that increasing the O2/methanol ratio mainly enhances the formation of COx while only having a minor effect on the conversion to HCN.
Very low O2/MeOH ratios are undesirable because they move the process closer to the flammability limits of the CH3OH–NH3–air system and reduce the safety margin with respect to incomplete catalyst reoxidation. On the other hand, excessively high O2/MeOH ratios waste oxidants and erode the HCN yield. The base-case value O2/MeOH ≈ 2.1, corresponding to an air/MeOH ratio of 10.0 at NH3/MeOH = 1.1, thus emerges as a reasonable compromise between safety, conversion and selectivity.
Overall, the composition sweeps confirm that, under industrial design conditions, the reactor performance is highly robust: methanol is fully converted across a broad range of NH3 and O2 excess, and the HCN yield only varies within a relatively narrow band (≈0.89–0.97). Within this window, the chosen base-case composition CH3OH:NH3:air:N2(add) = 1:1.1:10.0:3.025 lies close to the plateau of the high HCN yield, while preserving a conservative safety margin against both ammonia deficiency and flammability constraints.

2.4.4. Implications for Safe and Flexible Operation

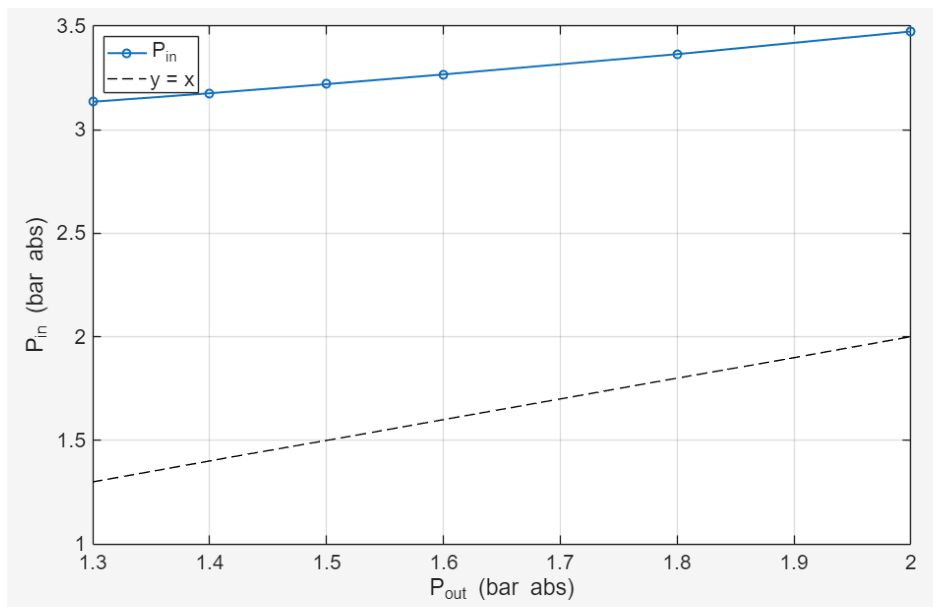
Finally, the impact of the overall pressure level was assessed by varying the outlet pressure in the range Pout =1.3–2.0 bar (abs) at fixed tube geometry and plant capacity. For each outlet pressure, the per-tube methanol feed MeOH (in tube) was adjusted so that a bundle of Nt = 4000 identical tubes produced the target HCN rate of 4.63 × 104 mol (10,000 t·a−1 at 8000 h·a−1 on stream). The feed composition and temperature were kept at the base-case values, CH3OH:NH3:air:N2(add) = 1:1.1:10.0:3.025 (molar) and T = 420 °C, while the tube and pellet sizes were fixed at 30 mm and 2 mm, respectively.
Figure 12 shows the resulting inlet pressure as a function of Pout. As expected from the Ergun equation, increasing the outlet pressure shifts the entire pressure profile upwards in an almost linear fashion. When Pout is raised from 1.3 to 2.0 bar (abs), the calculated inlet pressure increases only moderately from about 3.1 to 3.5 bar (abs). The corresponding pressure drop, ΔP = PinPout, is plotted in Figure 13. Over the range considered, ΔP decreases from approximately 1.8 bar at Pout = 1.3 bar (abs) to about 1.5 bar at Pout = 2.0 bar (abs), remaining in a narrow window of 1.5–1.8 bar for the 4 m packed length. Thus, even at elevated outlet pressure, the required compression duty and mechanical design pressure for the reactor tubes remain modest.
The effect of Pout on reactor performance is summarized in Figure 14, which reports the outlet HCN yield and selectivity as functions of the outlet pressure. For all cases, the methanol conversion is essentially complete (XMeOH,out ≈ 1.00), and the HCN yield only varies slightly with pressure, from YHCN,out ≈ 0.945 at Pout = 1.3 bar (abs) to ≈ 0.951 at Pout = 2.0 bar (abs). The selectivity follows the same trend. This weak dependence confirms that, under isothermal operation and at fixed feed composition, the intrinsic Mars–van Krevelen kinetics are governed primarily by the relative reactant partial pressures rather than by the absolute pressure level. The moderate increase in average pressure slightly enhances the intrinsic rates but has no qualitative impact on conversion or selectivity.
From a design standpoint, these results indicate that operating the multitubular reactor at a mildly elevated outlet pressure, Pout ≥ 1.5 bar (abs), is advantageous. The reactor and downstream purification train remain safely above atmospheric pressure, which simplifies leak detection and prevents air ingress, while the total pressure drop across the 30 mm/2 mm tubes stays within 1.5–2.0 bar. Within this window, the plant can be operated flexibly between partial load and overload conditions by adjusting the per-tube feed without sacrificing high HCN yield and without approaching the flammability limits of the CH3OH–NH3–air–N2 system that were defined in Section 2.

3. Reaction Network and Mars–van Krevelen Kinetics

3.1. Overall Reaction Network

The ammoxidation of methanol over FeMo/SiO2 predominantly proceeds via three overall stoichiometric reactions: one selective ammoxidation route to hydrogen cyanide and two deep-oxidation routes to CO and CO2. Methanol, ammonia and oxygen are treated as reactants, while nitrogen is considered inert and acts only as a diluent. The overall reactions are
HCN formation
C H 3 O H + N H 3 + O 2 H C N + 3 H 2 O
CO formation
C H 3 O H + O 2 C O + 2 H 2 O
CO2 formation
C H 3 O H + 3 2 O 2 C O 2 + 2 H 2 O
Equilibrium calculations show that, under the conditions of interest (360–460 °C and near-atmospheric pressure), all three reactions are strongly shifted towards products. At 400 °C, the equilibrium constants are approximately
KHCN ≈ 5.7 × 1033, KCO ≈ 3.4 × 1037 and KCO2 ≈ 8.7 × 1054,
so reverse rates can safely be neglected, and the reactions can be treated as irreversible.

3.2. Mars–van Krevelen Rate Expressions

Intrinsic kinetics for methanol ammoxidation over FeMo/SiO2 were established in our recent study using a differential fixed-bed reactor operated under conditions that were free of internal and external transport limitations. Catalyst particle sizes below 0.15 mm, together with Weisz–Prater and Mears criteria for mass and heat transfer, confirmed that the measured rates are intrinsic and are not affected by diffusion or heat-transfer artifacts.
The experimental data were interpreted in terms of a Mars–van Krevelen (MvK) redox mechanism, in which lattice oxygen explicitly participates in the surface reactions. Among several mechanistic variants, an eight-parameter “case II” model was retained on the basis of statistical quality of fit, parameter identifiability and physical plausibility. In this model, lattice oxygen is represented by an effective oxidizing surface species (O2*), which is formed by dissociative adsorption of gas-phase O2 and consumed in the selective ammoxidation and deep-oxidation steps.
Assuming a quasi-steady-state coverage of O2*, the intrinsic formation rates of HCN, CO and CO2 per unit catalyst mass follow the rational MvK rate expressions
D e n = k 1 p O 2 + k 2 p A p M + k 3 p M + 1.5 k 4 p M
r H C N = k 1 k 2 p O 2 p M p A D e n
r C O = k 1 k 3 p O 2 p M D e n
r C O 2 = k 1 k 4 p O 2 p M D e n
where p O 2 , p A and p M are the partial pressures of O2, NH3 and CH3OH, respectively (in bar), and r i are intrinsic rates in mol·gcat−1·h−1.
The temperature dependence of the kinetic coefficients is described by Arrhenius relations
k j ( T ) = A j e x p ( E j R T ) ,       j = 1 , , 4
with the pre-exponential factors Aj and the activation energies Ej taken from the regression of the intrinsic kinetic data (retained case-II model):
A 1 = 6.87401 × 10 1 ,   E 1 = 1.34061 × 10 4 J · m o l 1
A 2 = 6.03154 × 10 6 ,   E 2 = 6.70289 × 10 4   J · m o l 1
A 3 = 5.72650 × 10 0 ,   E 3 = 2.57893 × 10 4   J · m o l 1
A 4 = 2.10023 × 10 3 ,   E 4 = 5.35679 × 10 4   J · m o l 1
These parameters reproduce the measured conversions and selectivities over 340–440 °C and space times between 20 and 100 gcat·h·mol −1, with HCN selectivities above 90% at 400–420 °C.
For reactor-scale simulations, the mass-based rates are converted to volumetric source terms using the skeletal catalyst density ρcat (kg·m−3). The volumetric rates for methanol (M), ammonia (A), oxygen and the three products are then written as
Reactants
R M = ρ c a t r H C N + r C O + r C O 2
R A = ρ c a t r H C N
R O 2 = ρ c a t r H C N + r C O + 1.5 r C O 2
Products
R H C N = ρ c a t r H C N
R C O = ρ c a t r C O
R C O 2 = ρ c a t r C O 2
These volumetric source terms enter directly into the intraparticle diffusion–reaction model (Section 3.2) and, via the interphase fluxes, into the heterogeneous plug-flow model of the reactor tubes.
In the companion kinetic study [8], the MvK parameters were estimated from experiments performed at 1.0 bar and 360–460 °C, for NH3/MeOH and O2/MeOH ratios chosen so that the resulting partial pressures span approximately p M e O H = 0.01 0.12   bar , p N H 3 = 0.01 0.14   bar , and p O 2 = 0.02 0.30   bar . Under the industrial feed composition considered here (CH3OH:NH3:air:N2(add) = 1:1.1:10.0:3.025), the local partial pressures of methanol, ammonia and oxygen along the tubes remain within, or very close to, this envelope, so that the MvK model is not extrapolated to extreme composition or temperature regions. Moreover, the rate expressions are formulated explicitly in terms of partial pressures, and the gas mixture can be treated as ideal in the modest pressure range investigated (1–3 bar). The use of the same intrinsic parameter set at slightly elevated total pressures therefore corresponds with the application of the model at similar partial-pressure ratios and coverage regimes, which is a common and reasonable approximation in preliminary reactor design.

3.3. Feed Composition and Operating Conditions

For the industrial design, the feed composition is specified on a molar basis as
C H 3 O H : N H 3 : a i r : N 2 a d d = 1 : 1.1 : 10.0 : 3.025
where air is taken as 21% O2 and 79% N2 (molar), and N2(add) only denotes the nitrogen that is added explicitly as an explosion suppressant, not the nitrogen that is already present in the air stream. This composition lies in the non-flammable region of the CH3OH–NH3–air system while providing sufficiently high partial pressures of methanol and ammonia for efficient ammoxidation.
For a given per-tube methanol feed rate F M e O H , 0 ( tube ) (mol·h−1), the corresponding inlet molar flow rates of the key species in a single tube are
F M e O H , 0 = F M e O H , 0 ( tube )
F N H 3 , 0 = 1.1 F M e O H , 0
F air , 0 = 10.0 F M e O H , 0
F O 2 , 0 = 0.21 F air , 0
F N 2 , a i r , 0 = 0.79 F air , 0
F N 2 , a d d , 0 = 3.0 F M e O H , 0
F N 2 , 0 = F N 2 , a i r , 0 + F N 2 , a d d , 0
For the industrial design, the feed composition is specified on a molar basis as CH3OH:NH3:air:N2(add) = 1:1.1:10.0:3.0,where air is taken as 21% O2 and 79% N2 (molar), and N2(add) only denotes the nitrogen that is added explicitly as an explosion suppressant, not the nitrogen that is already present in the air stream. According to published flammability maps for CH3OH–NH3–air mixtures near atmospheric pressure [3,4,14], mixtures with air/MeOH ≥ 8 and NH3/MeOH ≈ 1.0–1.2 lie outside the reported flammable envelope over a broad temperature range. Therefore, the present composition, with air/MeOH = 10.0 and NH3/MeOH = 1.1, resides in the non-flammable region, while the additional N2(add) = 3.0 further dilutes the mixture and increases the margin to both lower and upper flammability limits without excessively reducing the reactant partial pressures of CH3OH and NH3. This composition lies in the non-flammable region of the CH3OH–NH3–air system while providing sufficiently high partial pressures of methanol and ammonia for efficient ammoxidation.
Unless stated otherwise, all reactor simulations are performed with an isothermal tube-wall temperature of 693 K (420 °C). The outlet pressure Pout is taken between 1.3 and 2.0 bar (abs) depending on the scenario, while the inlet pressure Pin is obtained from the Ergun equation for the chosen tube geometry and total flow rate.
Methanol ammoxidation to hydrogen cyanide is a strong exothermic process. The literature data indicate a standard reaction enthalpy of approximately ΔH°(298) ≈ −350 kJ mol−1 for the selective ammoxidation step CH3OH + NH3 + O2 → HCN + 3 H2O, while full combustion of methanol to CO2 and H2O is even more exothermic (ΔH°(298) ≈ −600 kJ mol−1). At the nominal design load of the 30 mm/2 mm base-case tube ( F M e O H ≈ 12.2 mol h−1, YHCN ≈ 0.95), the corresponding heat release is in the order of 1–1.5 kW per tube. For a 4.0 m tube length this heat must be removed through an external area of ≈0.38 m2. Using typical overall heat-transfer coefficients for gas-cooled multitubular reactors (U ≈ 300–500 W m−2 K−1), the required mean temperature driving force between the tube-side gas and the coolant is therefore only about 8–15 K. This estimate suggests that, in a properly designed shell-and-tube reactor, the axial temperature rise and hot-spot elevation in the tubes remain limited (≲20 K) and that the assumption of nearly isothermal operation around 420 °C is a reasonable first-order approximation. A fully non-isothermal treatment including detailed shell-side heat-transfer design would be a valuable extension, but it lies outside of the scope of the present conceptual study.

3.4. Multitubular Fixed-Bed Configuration

The industrial reactor is modeled as a vertical shell-and-tube vessel containing Nt identical tubes of inner diameter Dt and packed-bed length Lbed. Each tube is filled with spherical FeMo/SiO2 catalyst pellets with the diameter dp. Based on the intrinsic kinetic study and preliminary transport calculations, tube diameters in the range Dt = 30–35 mm and pellet diameters dp = 2–3 mm are considered, with the 30 mm/2 mm combination later adopted as the base-case geometry (Section 4).
The packed-bed porosity is denoted εb, and the skeletal density of the catalyst pellets is ρp. The corresponding bulk catalyst density in the bed is
ρ b = 1 ε b ρ p
which, for εb ≈ 0.40 and ρp ≈1.2 × 106 gcat·m−3, gives ρb ≈ 7.0 × 105 gcat·m−3.
The tube cross-sectional area is
At = π Dt2/4
and the mass of catalyst loaded into a single tube is
W tube = ρ b A t L bed
The total catalyst inventory in the multitubular reactor is then
W tot = N t W tube
The base-case design (Dt = 30 mm, Lbed ≈ 4.0 m, dp = 2 mm, and εb = 0.40) corresponds to a catalyst mass per tube of approximately 2.0 kg and a total inventory on the order of 8 × 103 kg for Nt = 4000 tubes. Shell-side cooling is used to maintain the tubes close to isothermal operation at 420 °C and is consistent with standard industrial practice for strong exothermic reactions in multitubular fixed-bed reactors.

4. Reactor Model

After specifying the overall reactor configuration, a detailed heterogeneous model is formulated for a single representative tube. The model consists of a one-dimensional gas-phase plug-flow description coupled with a spherical pellet diffusion–reaction model.

4.1. Gas-Phase Plug-Flow Model

The gas phase in each tube is described as a one-dimensional plug flow along axial coordinate z (0 ≤ z ≤ Lbed), with negligible radial gradients in temperature and composition. At 420 °C and near-atmospheric pressures, the gas mixture can be treated as ideal.
Let Ci(z) denotes the bulk gas-phase concentration of species i (mol·m−3) and ug(z) the superficial gas velocity (m·h−1). For the reacting species CH3OH (M), NH3 (A), O2, HCN, CO and CO2, the axial mass balances read
u g d C i d z = a s N i i = M ,   A ,   O 2 ,   HCN ,   CO ,   CO 2 ,  
where u g is the superficial gas velocity in the tube, C i is the bulk gas-phase concentration of species i (mol·m−3), a s is the external catalyst surface area per unit reactor volume (m2·m−3), and N i is the molar flux of species i from the bulk gas to the catalyst surface (mol·m−2·h−1). Inert N2 is included in the total concentration and pressure but does not participate in the reaction.
In the numerical implementation, the intraparticle diffusion–reaction equations are solved in the radial coordinate, and the net molar flux N i entering the gas-phase balances is obtained from the volume-averaged intraparticle reaction rate (i.e., by integrating the radial profiles over the pellet volume), so that the non-uniform concentration profile inside the pellet is fully accounted for and no additional one-point diffusion approximation is introduced.
The interphase molar flux is described by a standard gas-film relation,
N i = k g , i C i C i , s ,
where k g , i is the gas-film mass-transfer coefficient for species i (m·h−1), and C i , s is the concentration at the external pellet surface. The coefficients k g , i are evaluated from Sherwood-type correlations for flow over spheres,
Sh i = k g , i d p D i , m = 2 + 1.1 Re p 0.6 Sc i 1 / 3 ,
where dp is the pellet diameter, Di,m is the molecular diffusion coefficient of species i in the gas mixture, Rep is the particle Reynolds number and Sci is the Schmidt number.
Pressure drop along the packed bed is computed from the Ergun equation and coupled with the mass balances. Because the intrinsic kinetics are expressed in terms of partial pressures, the local total pressure P(z) is used to evaluate
pi(z) = yi(z) P(z)
where yi is the gas-phase mole fraction of species i. The gas-phase balances are therefore solved with a variable pressure profile rather than assuming constant pressure.
At the reactor inlet (z = 0), the bulk gas concentrations are determined by the chosen feed composition and the total pressure:
Ci(z = 0) = Ci,in, i = M, A, O2, N2
HCN, CO and CO2 concentrations are zero at the inlet.

4.2. Intraparticle Diffusion–Reaction Model

Transport and reaction inside the spherical FeMo/SiO2 pellets are described by a non-isothermal-but-here-assumed-isothermal diffusion–reaction model in the radial coordinate r (0 ≤ r R p with R p = d p / 2 ). For each reacting gas-phase species, CH3OH, NH3 and O2, a steady-state balance between diffusion and reaction is written as
1 r 2 d d r r 2 D e , j d C j d r + R j C M , C A , C O 2 = 0 , j = M ,   A ,   O 2 ,
where D e , j is the effective intraparticle diffusivity of species j (m2·h−1) and R j is the local volumetric reaction rate of species j (mol·m−3·h−1) as defined in Equations (9)–(11).
In this work, the effective intraparticle diffusivities are taken as D e , M e O H 2.2 × 10 6 m 2 s 1 , D e , N H 3 3.1 × 10 6 m 2 s 1 and D e , O 2 2.4 × 10 6 m 2 s 1 . These values were obtained from gas-phase binary diffusion coefficients at 400–420 °C (of order 10 5 m 2 s 1 ) and corrected for pellet porosity and tortuosity via the standard relation D e , i = ( ε p / τ ) D i , g a s , with ε p 0.6 and τ 3 . The resulting D e , i values in the 10 6 m 2 s 1 range are typical for reactant-sized molecules in silica-based porous oxides at these temperatures. In the present model the D e , i are used as species-wise, mixture-averaged Fick diffusivities and are treated as constant along the bed; the pressure only changes from about 1.5 to 3.2 bar, so the associated variation in gas-phase diffusivities is small compared to the uncertainty in ε p / τ and does not affect the conclusion that intraparticle diffusion limitations remain moderate. At the pellet center, symmetry implies
dCj/dr|(r = 0) = 0
At the external surface r = Rp, continuity of flux between pellet and gas film gives
De,jdCj/dr|(r = Rp) = kg,j (Cj,bulkCj,s)
The local rate expressions Rj (CM, CA, C O 2 ) are obtained by evaluating the MvK kinetic model (Equations (4)–(14)) at the pellet temperature and local gas concentrations via
p j = C j R T , j = M ,   A ,   O 2 ,
The pellet-scale model therefore remains fully consistent with the intrinsic kinetics measured under the transport-free conditions.

4.3. Numerical Solution

The coupled gas-phase and intraparticle equations are solved by nested integration in the axial coordinate z . For the given axial position z , the spherical pellet diffusion–reaction problem (Equations (32)–(35)) is formulated as a two-point boundary value problem in the radial coordinate r and solved on a one-dimensional grid, typically with N r = 31 –41 nodes using the collocation solver bvp4c in MATLAB R2025a. The iterations are continued until the maximum relative change in the concentration profile between successive mesh refinements falls below 10 6 . The volume-averaged reaction rates and effectiveness factors are then obtained by numerical integration of the converged radial profiles over the pellet volume.
The gas-phase plug-flow equations (Equation (27)), coupled with the Ergun pressure-drop relation, are integrated in z using a fourth-order Runge–Kutta scheme on a uniform axial grid. For the 4.0 m tubes considered here, N z = 200  axial steps are used, corresponding to a step size Δ z 0.02 m. Grid independence was verified by repeating selected simulations with N z = 400 and doubling N r ; the resulting changes in outlet methanol conversion, HCN yield and axial effectiveness factors were below 0.1%, confirming that the chosen discretization is sufficient for the present design study.
In all simulations the reactor tubes are assumed to operate isothermally at 420 °C. This is justified by the strongly diluted feed composition (CH3OH:NH3:air:N2(add) = 1:1.1:10.0:3.025), which limits the adiabatic temperature rise to a few tens of kelvin, and by the use of small-diameter tubes with intensive shell-side cooling in industrial multitubular reactors. Simple enthalpy estimates based on the overall stoichiometry and standard reaction heats indicate an adiabatic temperature rise below ≈30–40 K at the base-case composition and conversion, and additional runs with ±10–20 K perturbations of the tube temperature showed only minor changes in the required space time and HCN yield. The isothermal plug-flow assumption should therefore be regarded as an engineering simplification that is appropriate for conceptual design; a fully non-isothermal tube-bundle model with detailed heat-transfer design is beyond the scope of this work and will be addressed in future studies.

5. Conclusions and Outlook

A conceptual design of a multitubular fixed-bed reactor for methanol ammoxidation to hydrogen cyanide over FeMo/SiO2 catalysts has been developed on the basis of a mechanistic Mars–van Krevelen (MvK) kinetic model. The main findings can be summarized as follows:
  • The reduced eight-parameter MvK model established in the companion kinetic study accurately describes methanol conversion and product selectivities over 360–460 °C, providing a consistent representation of the competing ammoxidation and deep-oxidation pathways.
  • Scaling this kinetic model to an industrial multitubular configuration targeting 10,000 t·a−1 of HCN shows that both 35 mm/3 mm and 30 mm/2 mm tube–particle combinations can achieve essentially complete methanol conversion at 420 °C, with HCN selectivities above approximately 0.93, provided that appropriate tube lengths and total tube counts are selected.
  • The smaller 30 mm/2 mm geometry offers distinct advantages. At the design load (L = 4 m, Nt = 4000, and Pout = 1.5 bar (abs)), it delivers an outlet HCN selectivity and carbon-based yield of approximately SHCNYHCN ≈ 0.95 at essentially complete methanol conversion, albeit at the expense of a higher pressure drop (ΔP ≈ 1.7 bar) and therefore a higher inlet pressure (Pin ≈ 3.2 bar (abs)).
  • A detailed pellet-scale analysis reveals that intraparticle diffusion in 2 mm FeMo/SiO2 pellets leads to effectiveness factors as low as ηmin ≈ 0.6 in the most strongly reacting section of the bed, corresponding to an effective Thiele modulus of Φ ≈ 3–4. Nevertheless, diffusion limitations remain moderate: the effectiveness factors increase downstream as the reactants are depleted, and the pellets approach kinetic control near the tube outlet.
  • The resulting design—combining 30 mm tubes, 2 mm pellets, an outlet pressure of 1.5 bar (abs), and a tube length of 4 m—represents a favorable compromise between HCN yield, pressure drop, and radial temperature control. The reactor can be operated safely within a non-flammable composition window, with moderate compression duty and a robust margin against incomplete conversion.
Overall, the present work demonstrates how a mechanistic MvK rate expression can be embedded in a heterogeneous plug-flow model to support the conceptual design of FeMo/SiO2-based HCN reactors. The framework can be extended in future studies to incorporate non-isothermal effects, dynamic operation (start-up and load changes), catalyst deactivation, and more detailed representations of the downstream separation train. Such extensions will further strengthen the link between intrinsic kinetics and industrial reactor design for low-temperature ammoxidation routes to hydrogen cyanide.

Author Contributions

B.W.: Conceptualization, Methodology, Data Curation, Formal Analysis, Investigation, Validation, Writing—Original Draft, Writing—Review and Editing; Y.Z.: Project Administration, Resources, Equipment. All authors have read and agreed to the published version of the manuscript.

Funding

The support of this work by the Fundamental Research Funds for the Central Universities (Grant No. 24720094028) is gratefully acknowledged.

Data Availability Statement

The data will be made available upon request.

Acknowledgments

The support of this work by Qingdao PTK Co., Ltd. is gratefully acknowledged.

Conflicts of Interest

Author Yuhuan Zhao was employed by the company Qingdao PTK Chemical Co., Ltd. The remaining authors declare that the research was conducted in the absence of any commercial or financial relationships that could be construed as potential conflicts of interest.

Nomenclature

Roman symbols
AjPre-exponential factor in Arrhenius expression for kj (units consistent with rate law)
asExternal catalyst surface area per unit reactor volume, m2·m−3
CiBulk gas-phase concentration of species i, mol·m−3
Ci,sGas-phase concentration of species i at pellet surface, mol·m−3
Cj(r)Intraparticle concentration of reactant j (MeOH, NH3, O2), mol·m−3
dpCatalyst pellet diameter, m (typically 2–3 mm)
DtTube inner diameter, m (typically 30–35 mm)
De,jEffective intraparticle diffusivity of reactant j, m2·s−1
Di,mMolecular diffusion coefficient of species i in gas mixture, m2·s−1
EjActivation energy of step j in MvK model, J·mol−1
FiMolar flow rate of species i in a tube, mol·h−1
F M e O H , 0 ( tube ) Methanol feed rate per tube at reactor inlet, mol·h−1
kj(T) Temperature-dependent kinetic coefficient in MvK model, (various units, consistent with rate law)
kg,iGas-film mass-transfer coefficient of species i, m·h−1
L or LbedPacked-bed length in a tube, m
NiMolar flux of species iii between bulk gas and pellet surface, mol·m−2·h−1
NtNumber of tubes in multitubular reactor, –
piPartial pressure of species i, bar
PTotal gas pressure in the tube, bar
PinInlet pressure at z = 0, bar (abs)
PoutOutlet pressure at z = L, bar (abs)
ΔPPressure drop across packed bed (PinPout), bar
RjVolumetric reaction source term for reactant j inside pellet, mol·m−3·h−1
RpPellet radius, m
riIntrinsic formation rate of product iii per unit catalyst mass, mol·gcat−1·h−1
rRadial coordinate inside pellet, m
SHCNHCN selectivity (carbon-based), –
SciSchmidt number of species i in gas phase, –
Shi Sherwood number of species i, –
TTemperature, K
ugSuperficial gas velocity in tube, m·h−1
WCatalyst mass, gcat
WtubeCatalyst mass loaded in one tube, gcat
WtotTotal catalyst inventory in reactor bundle, gcat
W/FMeOHSpace time based on catalyst mass and methanol feed, gcat·h·mol−1
XMeOHMethanol conversion (fraction), –
XMeOH,outMethanol conversion at tube outlet, –
YHCNHCN carbon-based yield, –
YHCN,outHCN yield at tube outlet, –
zAxial coordinate along tube, m
Greek symbols
εbBed void fraction (bed porosity), –
ηjAxial effectiveness factor for reactant j (MeOH, NH3, O2), –
ηminMinimum effectiveness factor along reactor, –
ρpSkeletal density of catalyst pellets, kg·m−3
ρbBulk catalyst density in packed bed, kg·m−3
ρcatSkeletal catalyst density used in rate conversion, kg·m−3
ΦEffective Thiele modulus of pellets, –
Subscripts and superscripts
AAmmonia (NH3)
COCarbon monoxide
CO2Carbon dioxide
HCNHydrogen cyanide
MMethanol (CH3OH)
MeOH,0 Refers to methanol at reactor inlet
iGeneric species index
jGeneric reactant index (MeOH, NH3, O2)
“in”Reactor inlet (z = 0)
“out”Reactor outlet (z = L)
“tube”Per-tube quantity
*Surface lattice-oxygen species in MvK mechanism (O2*)
Abbreviations
BMABlausäure aus Methan und Ammoniak (Degussa process)
MvKMars–van Krevelen
PFRPlug-flow reactor

References

  1. Horn, R.; Schlögl, R. Methane Activation by Heterogeneous Catalysis. Catal. Lett. 2015, 145, 23–39. [Google Scholar] [CrossRef]
  2. Dietz, A.G.; Schmidt, L.D. Conditions for HCN Synthesis and Catalyst Activation over Pt–Rh Gauzes. Appl. Catal. A 1999, 180, 287–298. [Google Scholar] [CrossRef]
  3. Pan, B.Y.K.; Roth, J.F. Optimization of Yield through Feed Composition. HCN Process. Ind. Eng. Chem. Process Des. Dev. 1968, 7, 53–61. [Google Scholar] [CrossRef]
  4. Sasaki, U.; Utsumi, H.; Morishita, K.; Miyaki, K. Process for Production of Prussic Acid. U.S. Patent 5,976,482, 2 November 1999. [Google Scholar]
  5. Koryabkina, N.; Khramov, M.; Monical, V. Process of Catalytic Ammoxidation for Hydrogen Cyanide Production. U.S. Patent 7,763,225 B2, 27 July 2010. [Google Scholar]
  6. Sasaki, Y.; Utsumi, H.; Otani, M.; Morishita, V. Process for Preparing Iron–Antimony–Phosphorus–Containing Catalyst for Fluidized Bed Process. U.S. Patent 4,981,830, 1 January 1991. [Google Scholar]
  7. Sasaki, Y.; Utsumi, H.; Otani, M. Process for Production of Hydrogen Cyanide. U.S. Patent 5,158,787, 27 October 1992. [Google Scholar]
  8. Wang, B.; Zhao, Y. Selective Ammoxidation of Methanol to Hydrogen Cyanide over Silica-Supported FeMo Oxide Catalysts: Experiments and Kinetic Modeling. Catalysts 2025, 15, 1004. [Google Scholar] [CrossRef]
  9. Oudghiri-Hassani, H. Synthesis, Characterization and Catalytic Performance of Iron Molybdate Fe2(MoO4)3 Nanoparticles. Catal. Commun. 2015, 60, 19–22. [Google Scholar] [CrossRef]
  10. Hidalgo, G.; Tonelli, M.; Burel, L.; Millet, J.-M.M. Microwave-Assisted Hydrothermal Synthesis, Characterization and Catalytic Performance of Fe2(MoO4)3 in the Selective Oxidation of Propene. Catal. Today 2021, 363, 36–44. [Google Scholar] [CrossRef]
  11. Seevakan, K.; Manikandan, A.; Devendran, P.; Arul Antony, S.; Alagesan, T. One-Pot Synthesis and Characterization Studies of Iron Molybdenum Mixed Metal Oxide (Fe2(MoO4)3) Nano-Photocatalysts. Adv. Sci. Eng. Med. 2016, 8, 566–572. [Google Scholar] [CrossRef]
  12. Chuang, K.T.; Zhou, B.; Tong, S. Kinetics and Mechanism of Catalytic Oxidation of Formaldehyde over Hydrophobic Catalysts. Ind. Eng. Chem. Res. 1994, 33, 1680–1688. [Google Scholar] [CrossRef]
  13. Radheshyam, A.; Reddy, V.S.; Dwivedi, R.; Prasad, R. Kinetic Studies and Mechanism Evolution of the Ammoxidation of 3-Picoline over V2O5/ZrO2 Catalyst. Can. J. Chem. Eng. 2005, 83, 274–280. [Google Scholar] [CrossRef]
  14. Golodets, G.I.; Ross, J.R.H. The Ammoxidation of Organic Substances. In Studies in Surface Science and Catalysis; Bond, G.C., Wells, P.B., Tompkins, F.C., Eds.; Elsevier: Amsterdam, The Netherlands, 1983; Volume 15, pp. 767–792. [Google Scholar]
  15. Froment, G.F.; Bischoff, K.B.; De Wilde, J. Chemical Reactor Analysis and Design, 3rd ed.; John Wiley & Sons: Hoboken, NJ, USA, 2010. [Google Scholar]
Figure 2. Effect of tube and pellet size on pressure drop in the multitubular reactor. Shown are the predicted inlet pressure Pin and pressure drop ΔP as functions of tube geometry for the 35 mm/3 mm and 30 mm/2 mm configurations at the design load (L = 4.0 m, Pout = 1.5 bar (abs)).
Figure 2. Effect of tube and pellet size on pressure drop in the multitubular reactor. Shown are the predicted inlet pressure Pin and pressure drop ΔP as functions of tube geometry for the 35 mm/3 mm and 30 mm/2 mm configurations at the design load (L = 4.0 m, Pout = 1.5 bar (abs)).
Catalysts 16 00210 g002
Figure 3. Axial profile of methanol conversion XMeOH in the base-case tube (Dt = 30 mm and L = 4.0 m) packed with 2 mm FeMo/SiO2 pellets at the industrial design conditions (T = 420 °C, Pout = 1.5 bar (abs), Pin ≈ 3.2 bar (abs), CH3OH:NH3:air:N2(add) = 1:1.1:10.0:3.025 (molar), and W/FMeOH ≈ 160 gcat·h·mol−1).
Figure 3. Axial profile of methanol conversion XMeOH in the base-case tube (Dt = 30 mm and L = 4.0 m) packed with 2 mm FeMo/SiO2 pellets at the industrial design conditions (T = 420 °C, Pout = 1.5 bar (abs), Pin ≈ 3.2 bar (abs), CH3OH:NH3:air:N2(add) = 1:1.1:10.0:3.025 (molar), and W/FMeOH ≈ 160 gcat·h·mol−1).
Catalysts 16 00210 g003
Figure 4. Axial effectiveness factors ηM, ηA and ηO2 for methanol, ammonia and oxygen in 2 mm FeMo/SiO2 pellets under the same conditions as Figure 3.
Figure 4. Axial effectiveness factors ηM, ηA and ηO2 for methanol, ammonia and oxygen in 2 mm FeMo/SiO2 pellets under the same conditions as Figure 3.
Catalysts 16 00210 g004
Figure 5. Intraparticle concentration profiles of methanol, ammonia and oxygen in a 2 mm spherical FeMo/SiO2 pellet at four axial positions: (a) z = 0.00 m, (b) z = 0.50 m, (c) z = 1.00 m and (d) z = 2.00 m in the 30 mm/2 mm base-case tube at 420 °C and Pout = 1.5 bar (abs).
Figure 5. Intraparticle concentration profiles of methanol, ammonia and oxygen in a 2 mm spherical FeMo/SiO2 pellet at four axial positions: (a) z = 0.00 m, (b) z = 0.50 m, (c) z = 1.00 m and (d) z = 2.00 m in the 30 mm/2 mm base-case tube at 420 °C and Pout = 1.5 bar (abs).
Catalysts 16 00210 g005
Figure 6. Effect of space time W/FMeOH on methanol conversion XMeOH,out in a constant-pressure plug-flow reactor at 400 °C and 1 bar (abs) using the intrinsic MvK kinetics and 2 mm pellets (no pressure drop).
Figure 6. Effect of space time W/FMeOH on methanol conversion XMeOH,out in a constant-pressure plug-flow reactor at 400 °C and 1 bar (abs) using the intrinsic MvK kinetics and 2 mm pellets (no pressure drop).
Catalysts 16 00210 g006
Figure 7. Effect of space time W/FMeOH on HCN carbon-based yield YHCN at 400 °C and 1 bar (abs) for the constant-pressure PFR without pressure drop.
Figure 7. Effect of space time W/FMeOH on HCN carbon-based yield YHCN at 400 °C and 1 bar (abs) for the constant-pressure PFR without pressure drop.
Catalysts 16 00210 g007
Figure 8. Outlet methanol conversion XMeOH,out as a function of space time W/FMeOH for the industrial tube (Dt = 30 mm, L = 4.0 m, dp = 2 mm, εb = 0.40, and ρb ≈ 7.0 × 105 gcat·m−3) including the Ergun pressure drop. Conditions: T = 420 °C, Pout = 1.5 bar (abs), and CH3OH:NH3:air:N2(add) = 1:1.1:10.0:3.025 (molar).
Figure 8. Outlet methanol conversion XMeOH,out as a function of space time W/FMeOH for the industrial tube (Dt = 30 mm, L = 4.0 m, dp = 2 mm, εb = 0.40, and ρb ≈ 7.0 × 105 gcat·m−3) including the Ergun pressure drop. Conditions: T = 420 °C, Pout = 1.5 bar (abs), and CH3OH:NH3:air:N2(add) = 1:1.1:10.0:3.025 (molar).
Catalysts 16 00210 g008
Figure 9. Outlet HCN carbon-based yield YHCN,out and selectivity SHCN,out as functions of space time W/FMeOH under the industrial design conditions (30 mm/2 mm geometry with a pressure drop).
Figure 9. Outlet HCN carbon-based yield YHCN,out and selectivity SHCN,out as functions of space time W/FMeOH under the industrial design conditions (30 mm/2 mm geometry with a pressure drop).
Catalysts 16 00210 g009
Figure 10. Effect of the NH3/MeOH feed ratio on the outlet methanol conversion of XMeOH,out, the outlet HCN yield of YHCN,out and the selectivity of SHCN,out at 420 °C in the 30 mm/2 mm tube with a pressure drop. The NH3/MeOH ratio is varied between 0.9 and 1.3 at fixed O2/MeOH and space time W/FMeOH ≈ 160 gcat·h·mol−1.
Figure 10. Effect of the NH3/MeOH feed ratio on the outlet methanol conversion of XMeOH,out, the outlet HCN yield of YHCN,out and the selectivity of SHCN,out at 420 °C in the 30 mm/2 mm tube with a pressure drop. The NH3/MeOH ratio is varied between 0.9 and 1.3 at fixed O2/MeOH and space time W/FMeOH ≈ 160 gcat·h·mol−1.
Catalysts 16 00210 g010
Figure 11. Effect of the O2/MeOH feed ratio on outlet methanol conversion and HCN yield at 420 °C in the 30 mm/2 mm tube. The O2/MeOH ratio is varied at fixed NH3/MeOH = 1.1 and W/FMeOH ≈ 160 gcat·h·mol−1.
Figure 11. Effect of the O2/MeOH feed ratio on outlet methanol conversion and HCN yield at 420 °C in the 30 mm/2 mm tube. The O2/MeOH ratio is varied at fixed NH3/MeOH = 1.1 and W/FMeOH ≈ 160 gcat·h·mol−1.
Catalysts 16 00210 g011
Figure 12. Effect of outlet pressure Pout on the required inlet pressure Pin for the base-case 30 mm/2 mm tube at the design HCN production rate (10,000 t·a−1, Nt = 4000).
Figure 12. Effect of outlet pressure Pout on the required inlet pressure Pin for the base-case 30 mm/2 mm tube at the design HCN production rate (10,000 t·a−1, Nt = 4000).
Catalysts 16 00210 g012
Figure 13. Pressure drop ΔP = PinPout as a function of outlet pressure Pout for the 30 mm/2 mm tube at a fixed HCN production capacity.
Figure 13. Pressure drop ΔP = PinPout as a function of outlet pressure Pout for the 30 mm/2 mm tube at a fixed HCN production capacity.
Catalysts 16 00210 g013
Figure 14. Effect of outlet pressure Pout on the outlet HCN yield YHCN,out and selectivity SHCN,out for the base-case 30 mm/2 mm geometry at fixed total HCN capacity (10,000 t·a−1).
Figure 14. Effect of outlet pressure Pout on the outlet HCN yield YHCN,out and selectivity SHCN,out for the base-case 30 mm/2 mm geometry at fixed total HCN capacity (10,000 t·a−1).
Catalysts 16 00210 g014
Disclaimer/Publisher’s Note: The statements, opinions and data contained in all publications are solely those of the individual author(s) and contributor(s) and not of MDPI and/or the editor(s). MDPI and/or the editor(s) disclaim responsibility for any injury to people or property resulting from any ideas, methods, instructions or products referred to in the content.

Share and Cite

MDPI and ACS Style

Wang, B.; Zhao, Y. Conceptual Design of a Multitubular Fixed-Bed Reactor for Methanol Ammoxidation to Hydrogen Cyanide over FeMo/SiO2 Using a Mars–van Krevelen Kinetic Model. Catalysts 2026, 16, 210. https://doi.org/10.3390/catal16030210

AMA Style

Wang B, Zhao Y. Conceptual Design of a Multitubular Fixed-Bed Reactor for Methanol Ammoxidation to Hydrogen Cyanide over FeMo/SiO2 Using a Mars–van Krevelen Kinetic Model. Catalysts. 2026; 16(3):210. https://doi.org/10.3390/catal16030210

Chicago/Turabian Style

Wang, Bo, and Yuhuan Zhao. 2026. "Conceptual Design of a Multitubular Fixed-Bed Reactor for Methanol Ammoxidation to Hydrogen Cyanide over FeMo/SiO2 Using a Mars–van Krevelen Kinetic Model" Catalysts 16, no. 3: 210. https://doi.org/10.3390/catal16030210

APA Style

Wang, B., & Zhao, Y. (2026). Conceptual Design of a Multitubular Fixed-Bed Reactor for Methanol Ammoxidation to Hydrogen Cyanide over FeMo/SiO2 Using a Mars–van Krevelen Kinetic Model. Catalysts, 16(3), 210. https://doi.org/10.3390/catal16030210

Note that from the first issue of 2016, this journal uses article numbers instead of page numbers. See further details here.

Article Metrics

Back to TopTop