Electron Beam Irradiation-Assisted Synthesis of MIL-88A(Fe) Toward Efficient Periodate Activation for Tetracycline Degradation
Abstract
1. Introduction
2. Results and Discussion
2.1. Characterization of MIL-88A(Fe)
2.2. Catalytic Performance of MIL-88A(Fe)-X
2.2.1. Effect of Different Catalysts and Reaction Conditions
2.2.2. Effect of Coexistence Substances
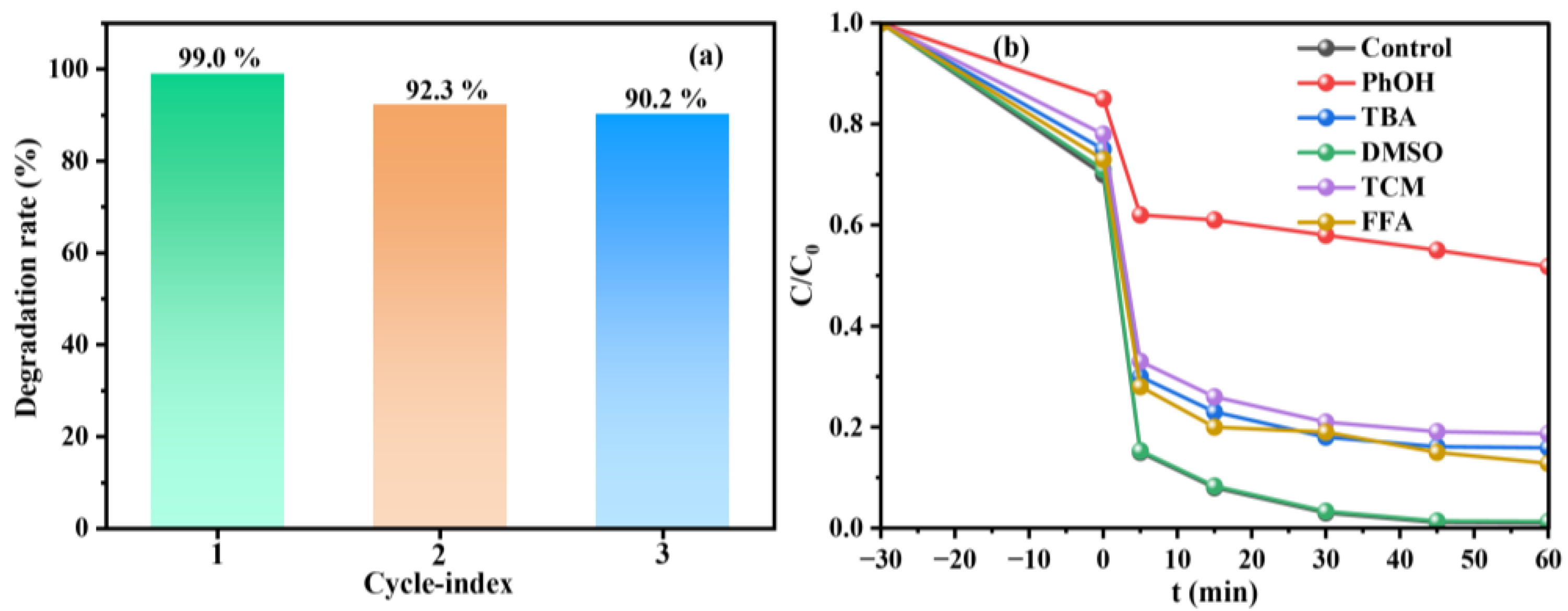
2.2.3. The Stability and Recyclability of Catalyst
2.3. Reaction Mechanisms
2.3.1. Identification of Reactive Species
2.3.2. Degradation Pathways of TC
2.3.3. Possible Mechanism
3. Experimental Section
3.1. Preparation of Catalysts
3.2. Characterization
3.3. Experimental Procedure
3.4. Analytic Methods
4. Conclusions
Supplementary Materials
Author Contributions
Funding
Data Availability Statement
Conflicts of Interest
References
- Gao, M.; Li, B.; Liu, J.; Hu, Y.; Cheng, H. Adsorption Behavior and Mechanism of Modified Fe-Based Metal–Organic Framework for Different Kinds of Arsenic Pollutants. J. Colloid Interface Sci. 2024, 654, 426–436. [Google Scholar] [CrossRef]
- Tran, D.-T.; Bui, T.-T.-U.; Phan, A.-T.; Pham, T.-B. Boosting Tetracycline Degradation by Integrating MIL-88A (Fe) with CoFe2O4 Persulfate Activators. Environ. Technol. Innov. 2024, 33, 103502. [Google Scholar] [CrossRef]
- Hamid, I.; Khanday, W.A. Recent Advances in Antibiotic Removal Methods from Wastewater: A Comprehensive Review. Sep. Purif. Technol. 2026, 381, 135478. [Google Scholar] [CrossRef]
- Jia, W.-L.; Song, C.; He, L.-Y.; Wang, B.; Gao, F.-Z.; Zhang, M.; Ying, G.-G. Antibiotics in Soil and Water: Occurrence, Fate, and Risk. Curr. Opin. Environ. Sci. Health 2023, 32, 100437. [Google Scholar] [CrossRef]
- Liu, N.; Tian, M.; Zhang, Y.; Yang, J.; Wang, Z.; Dai, W.; Quan, G.; Lei, J.; Zhang, X.; Tang, L. Three-Dimensional MIL-88A(Fe)-Derived α-Fe2O3 and Graphene Composite for Efficient Photo-Fenton-like Degradation of Ciprofloxacin. Chin. Chem. Lett. 2025, 36, 111063. [Google Scholar] [CrossRef]
- Yu, Y.; Chen, X.; Tao, L.; Li, Y.; Wu, L.; Chen, Z.; He, X.; Luo, Y.; Yang, L. Fe-Mn Bimetallic Loaded Sludge Biochar as a Novel Periodate Activator for Sulfamethoxazole Removal: The Combination of Radical and Non-Radical Mechanisms. Environ. Res. 2025, 285, 122515. [Google Scholar] [CrossRef] [PubMed]
- Yang, J.; Guo, S.; Dong, H.; Liu, Y.; Wang, J.; Quan, G.; Zhang, X.; Lei, J.; Liu, N. Enhanced Visible-Light-Driven Photocatalysis of Ibuprofen by NH2 Modified MIL-53(Fe) Graphene Aerogel: Performance, Mechanism, Pathway and Toxicity Assessment. Colloids Surf. A Physicochem. Eng. Asp. 2025, 726, 137769. [Google Scholar] [CrossRef]
- Chen, X.; Zhuo, Y.; Huang, X.; Qin, T.; Peng, H.; Yang, J.; Zhou, Y. Applications of Periodate Activation for Emerging Contaminants Treatment in Water: Activation Methods, Reaction Parameters and Mechanism. Environ. Res. 2025, 271, 121088. [Google Scholar] [CrossRef]
- Zhang, M.; Lin, T.; Chen, H. Exploration of Low-Dose Ozone-Activated Periodate (O3/IO4−) for Rapid Degradation of the β-Blocker Pindolol: Efficiency and Radical Mechanism. Water Res. 2025, 285, 124116. [Google Scholar] [CrossRef]
- Sukhatskiy, Y.; Shepida, M.; Sozanskyi, M.; Znak, Z.; Gogate, P.R. Periodate-Based Advanced Oxidation Processes for Wastewater Treatment: A Review. Sep. Purif. Technol. 2023, 304, 122305. [Google Scholar] [CrossRef]
- Zong, Y.; Zhang, H.; Shao, Y.; Ji, W.; Zeng, Y.; Xu, L.; Wu, D. Surface-Mediated Periodate Activation by Nano Zero-Valent Iron for the Enhanced Abatement of Organic Contaminants. J. Hazard. Mater. 2022, 423, 126991. [Google Scholar] [CrossRef]
- Bendjama, H.; Merouani, S.; Hamdaoui, O.; Bouhelassa, M. Efficient Degradation Method of Emerging Organic Pollutants in Marine Environment Using UV/Periodate Process: Case of Chlorazol Black. Mar. Pollut. Bull. 2018, 126, 557–564. [Google Scholar] [CrossRef]
- Qian, J.; Zhang, Y.; Chen, Z.; Yu, R.; Ye, Y.; Ma, R.; Li, K.; Wang, L.; Wang, D.; Ni, B.-J. Sulfur-Decorated Fe/C Composite Synthesized from MIL-88A(Fe) for Peroxymonosulfate Activation towards Tetracycline Degradation: Multiple Active Sites and Non-Radical Pathway Dominated Mechanism. J. Environ. Manag. 2023, 344, 118440. [Google Scholar] [CrossRef]
- Gong, Y.; Ding, Y.; Tang, Q.; Lian, F.; Bai, C.; Xie, R.; Xie, H.; Zhao, X. Plasmonic Ag Nanoparticles Decorated MIL-101(Fe) for Enhanced Photocatalytic Degradation of Bisphenol A with Peroxymonosulfate under Visible-Light Irradiation. Chin. Chem. Lett. 2024, 35, 108475. [Google Scholar] [CrossRef]
- Xu, J.; Zhang, Z.; Yang, J.; Ma, Y.; Han, T.; Quan, G.; Zhang, X.; Lei, J.; Liu, N. Treatment of Pharmaceuticals and Personal Care Products (PPCPs) Using Periodate-Based Advanced Oxidation Technology: A Review. Chem. Eng. J. 2025, 512, 162355. [Google Scholar] [CrossRef]
- Zhou, D.; Zhang, Z.; Dong, H.; Liu, Y.; Hu, B.; Huang, S.; Zhang, X.; Lei, J.; Liu, N. In Situ Electronic Modulation of G-C3N4/UiO66 Composites via N Species Functionalized Ligands for Enhanced Photocatalytic CO2 Reduction. Sep. Purif. Technol. 2025, 379, 134964. [Google Scholar] [CrossRef]
- Bi, F.; Feng, X.; Huang, J.; Wei, J.; Wang, H.; Du, Q.; Liu, N.; Xu, J.; Liu, B.; Huang, Y.; et al. Unveiling the Influence Mechanism of Impurity Gases on Cl-Containing Byproducts Formation during VOC Catalytic Oxidation. Environ. Sci. Technol. 2025, 59, 15526–15537. [Google Scholar] [CrossRef] [PubMed]
- Zhang, Z.; Dong, H.; Zhou, D.; Tang, K.; Ma, Y.; Han, T.; Lei, J.; Huang, S.; Zhang, X.; Tang, L.; et al. Electron Beam- Induced Defect Engineering Construction in MIL-68(In) for Enhanced CO2 Photoreduction: Unravelling Organic Framework Defects. J. Colloid Interface Sci. 2026, 702, 138990. [Google Scholar] [CrossRef]
- Huang, W.; Zhang, Z.; Xu, J.; Cui, H.; Tang, K.; Crawshaw, D.; Wu, J.; Zhang, X.; Tang, L.; Liu, N. Highly Selective CO2 Conversion to CH4 by a N-Doped HTiNbO5/NH2-UiO-66 Photocatalyst without a Sacrificial Electron Donor. JACS Au 2025, 5, 1184–1195. [Google Scholar] [CrossRef]
- Channab, B.-E.; Ouardi, M.E.; Layachi, O.A.; Marrane, S.E.; Idrissi, A.E.; BaQais, A.; Ahsaine, H.A. Recent Trends on MIL-Fe Metal–Organic Frameworks: Synthesis Approaches, Structural Insights, and Applications in Organic Pollutant Adsorption and Photocatalytic Degradation. Environ. Sci. Nano 2023, 10, 2957–2988. [Google Scholar] [CrossRef]
- Niu, L.; Lin, J.; Chen, W.; Zhang, Q.; Yu, X.; Feng, M. Ferrate(VI)/Periodate System: Synergistic and Rapid Oxidation of Micropollutants via Periodate/Iodate-Modulated Fe(IV)/Fe(V) Intermediates. Environ. Sci. Technol. 2023, 57, 7051–7062. [Google Scholar] [CrossRef] [PubMed]
- Hamedi, A.; Zarandi, M.B.; Nateghi, M.R. Highly Efficient Removal of Dye Pollutants by MIL-101(Fe) Metal-Organic Framework Loaded Magnetic Particles Mediated by Poly L-Dopa. J. Environ. Chem. Eng. 2019, 7, 102882. [Google Scholar] [CrossRef]
- Julien, P.A.; Mottillo, C.; Friščić, T. Metal–Organic Frameworks Meet Scalable and Sustainable Synthesis. Green Chem. 2017, 19, 2729–2747. [Google Scholar] [CrossRef]
- Rubio-Martinez, M.; Avci-Camur, C.; Thornton, A.W.; Imaz, I.; Maspoch, D.; Hill, M.R. New Synthetic Routes towards MOF Production at Scale. Chem. Soc. Rev. 2017, 46, 3453–3480. [Google Scholar] [CrossRef] [PubMed]
- Doustkhah, E.; Hassandoost, R.; Khataee, A.; Luque, R.; Assadi, M.H.N. Hard-Templated Metal–Organic Frameworks for Advanced Applications. Chem. Soc. Rev. 2021, 50, 2927–2953. [Google Scholar] [CrossRef] [PubMed]
- Jamalzadeh, M.; Sobkowicz, M.J. Review of the Effects of Irradiation Treatments on Poly(Ethylene Terephthalate). Polym. Degrad. Stab. 2022, 206, 110191. [Google Scholar] [CrossRef]
- Chen, C.; Zhang, Y.; Hu, C.; Jiang, Z.; Ma, J. Scalable Upgrading Metal–Organic Frameworks through Ambient and Controllable Electron-Beam Irradiation for CO2 Capture and Conversion. Sep. Purif. Technol. 2025, 363, 132270. [Google Scholar] [CrossRef]
- Tian, X.; Li, F.; Tang, Z.; Wang, S.; Weng, K.; Liu, D.; Lu, S.; Liu, W.; Fu, Z.; Li, W.; et al. Crosslinking-Induced Patterning of MOFs by Direct Photo- and Electron-Beam Lithography. Nat. Commun. 2024, 15, 2920. [Google Scholar] [CrossRef]
- Fu, H.; Song, X.-X.; Wu, L.; Zhao, C.; Wang, P.; Wang, C.-C. Room-Temperature Preparation of MIL-88A as a Heterogeneous Photo-Fenton Catalyst for Degradation of Rhodamine B and Bisphenol a under Visible Light. Mater. Res. Bull. 2020, 125, 110806. [Google Scholar] [CrossRef]
- Wang, H.; Chen, T.; Liu, H.; Zou, X.; Chen, D.; Chu, Z.; Hu, J.; Bentel, M.J.; Hao, J.; Zhang, J.; et al. Hexagonal Prism-like Fe1−xS@SC Nanorod Derived from MIL-88A (Fe) as Peroxydisulfate Activator for Tetracycline Degradation: Performance and Mechanism. Sep. Purif. Technol. 2024, 335, 125962. [Google Scholar] [CrossRef]
- Guo, Z.; Yang, J.; Luan, Y.; Yin, Y.; Zhang, F.; Liu, C. MIL-88A(Fe) Modified Carriers Induced Iron Autotrophic Denitrification in Intermittently-Aerated MBBR for Low C/N Wastewater Treatment. Int. Biodeterior. Biodegrad. 2025, 198, 106009. [Google Scholar] [CrossRef]
- Xia, M.; Zhang, S.; Xu, K.; Zhang, C.; Wang, X. Synergistic Effects of Adsorption and Photocatalysis in MIL-88A(Fe) Catalyst for Remediation of Phenanthrene-Contaminated Saline-Alkaline Soils. Appl. Catal. A Gen. 2025, 689, 120010. [Google Scholar] [CrossRef]
- Liu, N.; Tang, K.; Wang, D.; Fei, F.; Cui, H.; Li, F.; Lei, J.; Crawshaw, D.; Zhang, X.; Tang, L. Enhanced Photocatalytic CO2 Reduction by Integrating an Iron Based Metal-Organic Framework and a Photosensitizer. Sep. Purif. Technol. 2024, 332, 125873. [Google Scholar] [CrossRef]
- Wang, H.; Zhang, C.; Zheng, L.; Tang, M.; Ge, M. Activation of Peroxydisulfate by MIL-88A(Fe) under Visible Light toward Tetracycline Degradation: Effect of Synthesis Temperature on Catalytic Performance. J. Solid State Chem. 2023, 323, 124051. [Google Scholar] [CrossRef]
- Wang, Y.; Xu, J.; Sheng, G.; Wang, J.; Yang, B.; Jiang, H.; Liu, N.; Zhang, X. LaFeO3 Anchoring on ZIF-67 for the Activation of Peroxymonosulfate toward Ofloxacin Degradation: Radical and Non-Radical Reaction Pathways. Sep. Purif. Technol. 2025, 362, 131846. [Google Scholar] [CrossRef]
- Liu, R.; Chen, Q.; Qiu, J.; Liu, C.; Wu, J.; Yu, J.C.; Wu, L. Cu Mediated Defect Manipulation in MIL-88A(Fe) for Boosting Photocatalytic N2 Fixation. J. Colloid Interface Sci. 2025, 692, 137504. [Google Scholar] [CrossRef] [PubMed]
- Shao, S.; Wang, J.; Li, P.; Zhou, R.; Zhang, M. Enhanced Tetracycline Elimination through Periodate Activation via Biochar-Loaded Crystallographic Manganese Dioxide –Electron Transfer Mechanism Facilitated by Oxygen Vacancies. Sep. Purif. Technol. 2025, 378, 134788. [Google Scholar] [CrossRef]
- Liu, N.; Xu, J.; Zhai, Y.; Zhang, Z.; Dang, Y.; Cao, Y.; Li, Z.; Huang, W.; Zhang, X.; Tang, L. Structure–Activity Relationship in Periodate Activation by Fe-MOFs: Why MIL-101(Fe) Outperforms Other MIL-Series in Antibiotic Degradation. Green Energy Environ. 2025; in press. [Google Scholar] [CrossRef]
- Xu, J.; Jiao, G.; Sheng, G.; Lin, N.; Yang, B.; Wang, J.; Jiang, H.; Wang, Y.; Zhang, X. Microwave-Assisted PMS Activation Ti3C2/LaFe0.5Cu0.5O3-P Catalysts for Efficient Degradation of CIP: Enhancement of Catalytic Performance by Phosphoric Acid Etching. Sep. Purif. Technol. 2025, 354, 129357. [Google Scholar] [CrossRef]
- Chen, T.; Sun, Y.; Dong, H.; Chen, J.; Yu, Y.; Ao, Z.; Guan, X. Understanding the Importance of Periodate Species in the pH-Dependent Degradation of Organic Contaminants in the H2O2/Periodate Process. Environ. Sci. Technol. 2022, 56, 10372–10380. [Google Scholar] [CrossRef]
- Wang, Y.; Xia, W.; Jiao, G.; Wang, J.; Gong, Y.; Yin, Q.; Jiang, H.; Zhang, X. Boosting Catalytic Activity of Fe-Based Perovskite by Compositing with Co Oxyhydroxide for Peroxymonosulfate Activation and Ofloxacin Degradation. Colloids Surf. A Physicochem. Eng. Asp. 2025, 705, 135706. [Google Scholar] [CrossRef]
- Yan, S.; Zhang, X.; Shi, Y.; Zhang, H. Natural Fe-Bearing Manganese Ore Facilitating Bioelectro-Activation of Peroxymonosulfate for Bisphenol A Oxidation. Chem. Eng. J. 2018, 354, 1120–1131. [Google Scholar] [CrossRef]
- Hu, L.; Ren, X.; Yang, M.; Guo, W. Facet-Controlled Activation of Persulfate by Magnetite Nanoparticles for the Degradation of Tetracycline. Sep. Purif. Technol. 2021, 258, 118014. [Google Scholar] [CrossRef]
- Wang, M.; Liu, X.; Li, K.; Huo, W.; Wei, H.; Jiang, H.-Y. 2,3-Pyridinedicarboxylic Acid-Modified MIL-88A(Fe) for Enhanced Peroxymonosulfate Activation to Degrade Organic Contaminants. J. Water Process Eng. 2024, 65, 105779. [Google Scholar] [CrossRef]
- Zhang, H.; Zhou, C.; Zeng, H.; Shi, Z.; Wu, H.; Deng, L. Novel Sulfur Vacancies Featured MIL-88A(Fe)@CuS Rods Activated Peroxymonosulfate for Coumarin Degradation: Different Reactive Oxygen Species Generation Routes under Acidic and Alkaline pH. Process Saf. Environ. Prot. 2022, 166, 11–22. [Google Scholar] [CrossRef]
- Xue, B.; Du, L.; Jin, J.; Meng, H.; Mi, J. In Situ Growth of MIL-88A into Polyacrylate and Its Application in Highly Efficient Photocatalytic Degradation of Organic Pollutants in Water. Appl. Surf. Sci. 2021, 564, 150404. [Google Scholar] [CrossRef]
- Li, M.; Li, C.; Chunrui, Z.; Li, T.; Jiang, J.; Han, Z.; Zhang, C.; Sun, H.; Dong, S. Citric Acid-Modified MIL-88A(Fe) for Enhanced Photo-Fenton Oxidation in Water Decontamination. Sep. Purif. Technol. 2023, 308, 122945. [Google Scholar] [CrossRef]
- Masoumeh, G.; Babak, K.; Mehdi, A.; Minoo, A. Photocatalytic Activation of Peroxymonosulfate by TiO2 Anchored on Cupper Ferrite (TiO2@CuFe2O4) into 2,4-D Degradation: Process Feasibility, Mechanism and Pathway. J. Hazard. Mater. 2018, 359, 325–337. [Google Scholar]
- Bilgin Simsek, E.; Tuna, Ö. Unravelling the Synergy of Ce Dopant and Surface Oxygen Vacancies Confined in FeTiO3 Perovskite for Peroxymonosulfate Activated Degradation of Wide Range of Pollutants. J. Phys. Chem. Solids 2023, 176, 111276. [Google Scholar] [CrossRef]
- Guo, W.; Cui, L.; Xu, H.; Gong, C. Selective Dissolution of A-Site Cations of La0.6Sr0.4Co0.8Fe0.2O3 Perovskite Catalysts to Enhance the Oxygen Evolution Reaction. Appl. Surf. Sci. 2020, 529, 147165. [Google Scholar] [CrossRef]
- Li, X.; Liu, X.; Lin, C.; Zhou, Z.; He, M.; Ouyang, W. Catalytic Oxidation of Contaminants by Fe0 Activated Peroxymonosulfate Process: Fe(IV) Involvement, Degradation Intermediates and Toxicity Evaluation. Chem. Eng. J. 2020, 382, 123013. [Google Scholar] [CrossRef]
- Wang, Z.; Su, J.; Huang, T.; Liu, Y.; Zhao, T.; Li, J.; Zhang, L. Biocrystal-Encased Manganese Ferrite Coupling with Peroxydisulfate: Synergistic Mechanism of Adsorption and Catalysis towards Tetracycline Removal. Chem. Eng. J. 2023, 468, 143580. [Google Scholar] [CrossRef]
- Wang, Q.; Zhou, H.; Qian, J.; Xue, B.; Du, H.; Hao, D.; Ji, Y.; Li, Q. Ti3C2-Assisted Construction of Z-Scheme MIL-88A(Fe)/Ti3C2/RF Heterojunction: Multifunctional Photocatalysis-in-Situ-Self-Fenton Catalyst. J. Mater. Sci. Technol. 2024, 190, 67–75. [Google Scholar] [CrossRef]
- Sun, X.; Yang, H.; Xie, J.; Teng, G.; He, J.; Zhao, Z.; Zhang, C. A Photocatalyst Combined of Copper Doped ZnO and Graphdiyne (Cu/ZnO@GDY) for Photocatalytic Degradation of Tetracycline: Mechanism and Application. Water Res. 2025, 278, 123345. [Google Scholar] [CrossRef] [PubMed]
- Xu, M.; Yang, S.; Guo, C.; DuBois, D.; Chen, S.; Meng, F. Bubble-Triggered Piezocatalytic Generation of Hydrogen Peroxide by Copper Nanosheets-Modified Polyvinylidene Fluoride Films for Organic Pollutant Degradation and Water Disinfection. Water Res. 2025, 283, 123865. [Google Scholar] [CrossRef]
- Wang, L.; Zhang, L.D.; Wang, J.H.; Feng, Y.J.; Feng, K.M.; Yang, J.J.; Liao, J.L.; Yang, Y.Y.; Liu, N. The Effect of Electron Irradiation and Post-Irradiation Annealing on α-Al2O3 Coating Prepared by MOD Method. Nucl. Instrum. Methods Phys. Res. Sect. B Beam Interact. Mater. At. 2017, 406, 600–605. [Google Scholar] [CrossRef]
- Vazirov, R.A.; Shkuro, A.E.; Buryndin, V.G.; Zakharov, P.S.; Shishlov, O.F.; Vazirova, E.N. The Effect of High-Energy Electron Beam Irradiation on the Physicochemical Properties of PET Material. Radiat. Phys. Chem. 2025, 227, 112392. [Google Scholar] [CrossRef]









Disclaimer/Publisher’s Note: The statements, opinions and data contained in all publications are solely those of the individual author(s) and contributor(s) and not of MDPI and/or the editor(s). MDPI and/or the editor(s) disclaim responsibility for any injury to people or property resulting from any ideas, methods, instructions or products referred to in the content. |
© 2026 by the authors. Licensee MDPI, Basel, Switzerland. This article is an open access article distributed under the terms and conditions of the Creative Commons Attribution (CC BY) license.
Share and Cite
Liang, H.; Wen, J.; Lu, H.; Xue, J.; Han, T.; Shao, H. Electron Beam Irradiation-Assisted Synthesis of MIL-88A(Fe) Toward Efficient Periodate Activation for Tetracycline Degradation. Catalysts 2026, 16, 36. https://doi.org/10.3390/catal16010036
Liang H, Wen J, Lu H, Xue J, Han T, Shao H. Electron Beam Irradiation-Assisted Synthesis of MIL-88A(Fe) Toward Efficient Periodate Activation for Tetracycline Degradation. Catalysts. 2026; 16(1):36. https://doi.org/10.3390/catal16010036
Chicago/Turabian StyleLiang, Huanhuan, Jingming Wen, Hongying Lu, Jiarui Xue, Tao Han, and Haiyang Shao. 2026. "Electron Beam Irradiation-Assisted Synthesis of MIL-88A(Fe) Toward Efficient Periodate Activation for Tetracycline Degradation" Catalysts 16, no. 1: 36. https://doi.org/10.3390/catal16010036
APA StyleLiang, H., Wen, J., Lu, H., Xue, J., Han, T., & Shao, H. (2026). Electron Beam Irradiation-Assisted Synthesis of MIL-88A(Fe) Toward Efficient Periodate Activation for Tetracycline Degradation. Catalysts, 16(1), 36. https://doi.org/10.3390/catal16010036
