Generating Strongly Basic Sites on C/Fe3O4 Core–Shell Structure: Preparation of Magnetically Responsive Mesoporous Solid Strong Bases Catalysts
Abstract
1. Introduction
2. Results and Discussion
2.1. Structural Characteristics
2.2. Magnetic Properties
2.3. Basicity and Catalytic Performances
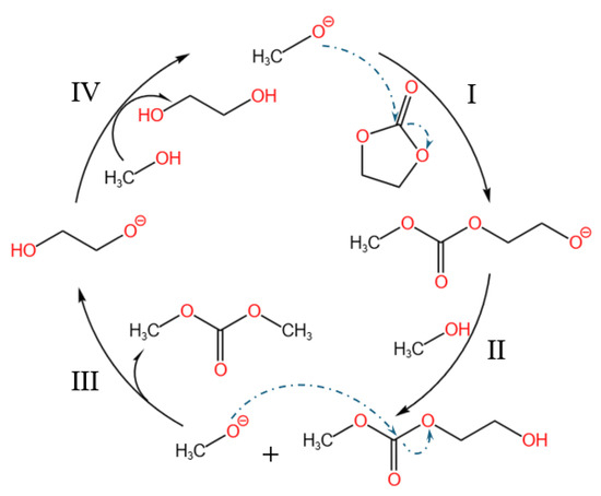
2.4. Mechanism of Stable Basic Site Formation
3. Experimental Section
3.1. Synthesis of Fe3O4 Nanoparticles
3.2. Synthesis of C/Fe3O4 Nanoparticles
3.3. Synthesis of K/C/Fe3O4 Nanoparticles
3.4. Characterization
3.4.1. Structural and Morphological Analysis
3.4.2. Magnetic and Basicity Characterization
3.5. Catalytic Performances
4. Conclusions
Supplementary Materials
Author Contributions
Funding
Data Availability Statement
Conflicts of Interest
References
- Tao, Y.; Guan, J.; Zhang, J.; Hu, S.; Ma, R.; Zheng, H.; Gong, J.; Zhuang, Z.; Liu, S.; Ou, H.; et al. Ruthenium single atomic sites surrounding the support pit with exceptional photocatalytic activity, Angew. Chem. Int. Ed. 2024, 63, e202400625. [Google Scholar] [CrossRef]
- Zhao, Z.; Wang, P.; Song, C.; Zhang, T.; Zhan, S.; Li, Y. Enhanced interfacial electron transfer by asymmetric Cu-Ov-In Sites on In2O3 for efficient peroxymonosulfate activation, Angew. Chem. Int. Ed. 2023, 62, e202216403. [Google Scholar] [CrossRef] [PubMed]
- Wang, B.; Zhu, X.; Pei, X.; Liu, W.; Leng, Y.; Yu, X.; Wang, C.; Hu, L.; Su, Q.; Wu, C.; et al. Room-temperature laser planting of high-loading single-atom catalysts for high-efficiency electrocatalytic hydrogen evolution. J. Am. Chem. Soc. 2023, 145, 13788–13795. [Google Scholar] [CrossRef]
- Peng, S.S.; Liu, S.; Shao, X.B.; Zhang, K.; Liu, Y.; Wang, Y.; Tan, P.; Yan, J.T.; Sun, L.B. Calcium single atoms stabilized by nitrogen coordination in metal–organic frameworks as efficient solid base catalysts. J. Colloid Interface Sci. 2025, 678, 88–94. [Google Scholar] [CrossRef]
- Shao, X.B.; Song, X.R.; Peng, S.S.; Zheng, X.Q.; Qi, S.C.; Tan, P.; Liu, X.Q.; Sun, L.B. Low-temperature fabrication of potassium single-atom solid base catalysts with high activity in transesterification. Chem. Eng. J. 2024, 481, 148398. [Google Scholar] [CrossRef]
- Ren, X.; Zhao, J.; Li, X.; Shao, J.; Pan, B.; Salam, A.; Boutin, E.; Groizard, T.; Wang, S.; Ding, J.; et al. In-situ spectroscopic probe of the intrinsic structure feature of single-atom center in electrochemical CO/CO2 reduction to methanol. Nat. Commun. 2023, 14, 3401. [Google Scholar] [CrossRef]
- Li, G.; Wang, R.; Pang, J.; Wang, A.; Li, N.; Zhang, T. Production of renewable hydrocarbon biofuels with lignocellulose and its derivatives over heterogeneous catalysts. Chem. Rev. 2024, 124, 2889–2954. [Google Scholar] [CrossRef]
- Gao, Y.; Liu, B.; Wang, D. Microenvironment engineering of single/dual-atom catalysts for electrocatalytic application. Adv. Mater. 2023, 35, 2209654. [Google Scholar] [CrossRef]
- Zhu, L.; Liu, X.Q.; Jiang, H.L.; Sun, L.B. Metal-organic frameworks for heterogeneous basic catalysis. Chem. Rev. 2017, 117, 8129–8176. [Google Scholar] [CrossRef]
- Liang, J.; Liang, Z.B.; Zou, R.Q.; Zhao, Y.L. Heterogeneous catalysis in zeolites, mesoporous silica, and metal-organic frameworks. Adv. Mater. 2017, 29, 1701139. [Google Scholar] [CrossRef]
- Sun, L.B.; Liu, X.Q.; Zhou, H.C. Design and fabrication of mesoporous heterogeneous basic catalysts. Chem. Soc. Rev. 2015, 44, 5092–5147. [Google Scholar] [CrossRef]
- Shao, X.B.; Liu, S.; Xing, Z.W.; Tang, J.X.; Li, P.; Liu, C.; Chi, R.Z.; Tan, P.; Sun, L.B. Atomically dispersed magnesium with unusual catalytic activity for transesterification reaction. AIChE J. 2024, 70, e18567. [Google Scholar] [CrossRef]
- Jiao, L.; Wan, G.; Zhang, R.; Zhou, H.; Yu, S.; Jiang, H. From metal–organic frameworks to single-atom Fe implanted N-doped porous carbons: Efficient oxygen reduction in both alkaline and acidic media. Angew. Chem. Int. Ed. 2018, 130, 8661–8665. [Google Scholar] [CrossRef]
- Liu, W.; Zhu, L.; Jiang, Y.; Liu, X.Q.; Sun, L.B. Direct fabrication of strong basic sites on ordered nanoporous materials: Exploring the possibility of metal–organic frameworks. Chem. Mater. 2018, 30, 1686–1694. [Google Scholar] [CrossRef]
- Kou, J.; Lu, C.; Wang, J.; Chen, Y.; Xu, Z.; Varma, R.S. Selectivity enhancement in heterogeneous photocatalytic transformations. Chem. Rev. 2017, 117, 1445–1514. [Google Scholar] [CrossRef] [PubMed]
- Sun, J.; Baylon, R.A.; Liu, C.; Mei, D.; Martin, K.J.; Venkitasubramanian, P.; Wang, Y. Key roles of lewis acid-base pairs on ZnxZryOz in direct ethanol/acetone to isobutene conversion. J. Am. Chem. Soc. 2016, 138, 507–517. [Google Scholar] [CrossRef] [PubMed]
- Li, T.T.; Shao, M.Q.; Gu, C.; Peng, S.S.; Liu, X.Q.; Sun, L.B. Low-temperature conversion of base precursor KNO3 on core–shell structured Fe3O4@C: Fabrication of magnetically responsive solid strong bases. Catal. Today 2021, 374, 200–207. [Google Scholar] [CrossRef]
- Sun, L.B.; Yang, J.; Kou, J.H.; Gu, F.N.; Chun, Y.; Wang, Y.; Zhu, J.H.; Zou, Z.G. One-pot synthesis of potassium-functionalized mesoporous γ-alumina: A solid superbase. Angew. Chem. Int. Ed. 2008, 47, 3418–3421. [Google Scholar] [CrossRef]
- Zhao, J.W.; Wang, H.Y.; Feng, L.; Zhu, J.Z.; Liu, J.X.; Li, W.X. Crystal-phase engineering in heterogeneous catalysis. Chem. Rev. 2023, 124, 164–209. [Google Scholar] [CrossRef]
- Buss, F.; Mehlmann, P.; Muck-Lichtenfeld, C.; Bergander, K.; Dielmann, F. Reversible carbon dioxide binding by simple lewis base adducts with electron-rich phosphines. J. Am. Chem. Soc. 2016, 138, 1840–1843. [Google Scholar] [CrossRef]
- Mondal, B.; Acharyya, K.; Howlader, P.; Mukherjee, P.S. Molecular cage impregnated palladium nanoparticles: Efficient, additive-free heterogeneous catalysts for cyanation of aryl halides. J. Am. Chem. Soc. 2016, 138, 1709–1716. [Google Scholar] [CrossRef]
- Wu, G.; Jiang, S.; Li, L.; Guan, N. Nitridation of BaO supported on mesoporous materials: Basicity characterization and catalytic properties. Appl. Catal. A Gen. 2011, 391, 225–233. [Google Scholar] [CrossRef]
- Shao, X.B.; Xu, H.C.; Xing, Z.W.; Liu, S.; Song, X.R.; Pen, S.S.; Tan, P.; Sun, L.B. Calcium single atom catalyst with unusual activity and stability for the synthesis of dimethyl carbonate. J. Colloid Interface Sci. 2025, 691, 137386. [Google Scholar] [CrossRef]
- Peng, S.S.; Shao, X.B.; Gu, M.X.; Zhang, G.S.; Gu, C.; Nian, Y.; Jia, Y.M.; Han, Y.; Liu, X.Q.; Sun, L.B. Catalytically Stable Potassium Single-Atom Solid Superbases. Angew. Chem. Int. Ed. 2022, 61, e202215157. [Google Scholar] [CrossRef] [PubMed]
- Li, T.T.; Gao, X.J.; Qi, S.C.; Huang, L.; Peng, S.S.; Liu, W.; Liu, X.Q.; Sun, L.B. Potassium- incorporated mesoporous carbons: Strong solid bases with enhanced catalytic activity and stability. Catal. Sci. Technol. 2018, 8, 2794–2801. [Google Scholar] [CrossRef]
- Zhang, W.M.; Wu, X.L.; Hu, J.S.; Guo, Y.G.; Wan, L.J. Carbon coated Fe3O4 nanospindles as a superior anode material for lithium-ion batteries. Adv. Funct. Mater. 2008, 18, 3941–3946. [Google Scholar] [CrossRef]
- Lei, C.; Han, F.; Li, D.; Li, W.C.; Sun, Q.; Zhang, X.Q.; Lu, A.H. Dopamine as the coating agent and carbon precursor for the fabrication of N-doped carbon coated Fe3O4 composites as superior lithium ion anodes. Nanoscale 2013, 3, 1168–1175. [Google Scholar] [CrossRef]
- Li, L.; Wang, T.T.; Zhang, L.Y.; Su, Z.M.; Wang, C.G.; Wang, R.S. Selected-control synthesis of monodisperse Fe3O4 @C core-shell spheres, chains, and rings as high-performance anode materials for lithium-ion batteries. Chem.-Eur. J. 2012, 18, 11417–11422. [Google Scholar] [CrossRef]
- Sead, F.F.; Jain, V.; R, R.; Devi, A.; Kashyap, A.; Sharma, G.C.; Bhakuni, P.N.; Kazemi, M.; Javahershenas, R. New and robust magnetically recoverable catalyst for the green synthesis of benzothiazoles and benzoxazoles. Polyhedron 2025, 276, 117564. [Google Scholar] [CrossRef]
- Li, X.N.; Peng, S.S.; Feng, L.N.; Lu, S.Q.; Ma, L.J.; Yue, M.B. One-pot synthesis of acidic and basic bifunctional catalysts to promote the conversion of ethanol to 1-butanol. Microporous Mesoporous Mater. 2018, 261, 44–50. [Google Scholar] [CrossRef]
- Peng, S.S.; Yang, M.H.; Zhang, W.K.; Li, X.N.; Wang, C.; Yue, M.B. Fabrication of ordered mesoporous solid super base with high thermal stability from mesoporous carbons. Microporous Mesoporous Mater. 2017, 242, 18–24. [Google Scholar] [CrossRef]
- Mulik, S.; Sotiriou-Leventis, C.; Leventis, N. Time-efficient acid-catalyzed synthesis of resorcinol-formaldehyde aerogels. Chem. Mater. 2007, 19, 6138–6144. [Google Scholar] [CrossRef]
- Wang, Y.; Zhu, J.H.; Huang, W.Y. Synthesis and characterization of potassium- modified alumina superbases. Phys. Chem. Chem. Phys. 2001, 3, 2537–2543. [Google Scholar] [CrossRef]
- Li, T.T.; Sun, L.B.; Liu, X.Y.; Sun, Y.H.; Song, X.L.; Liu, X.Q. Isolated lithium sites supported on mesoporous silica: A novel solid strong Base with high catalytic activity. Chem.Commun. 2012, 48, 6423–6425. [Google Scholar] [CrossRef]
- Tian, J.; Chen, W.; Wu, P.; Zhu, Z.; Li, X. Cu-Mg-Zr/SiO2 catalyst for selective hydrogenation of ethylene carbonate to methanol and ethylene glycol. Catal. Sci. Technol. 2018, 8, 2624–2635. [Google Scholar] [CrossRef]
- Liu, J.; Chen, F.; Yang, W.; Guo, J.; Xu, G.; Jia, F.; Shi, L. Excess soluble alkalis to prepare highly efficient MgO with relative low surface oxygen content applied in DMC synthesis. Sci. Rep. 2021, 11, 20931. [Google Scholar] [CrossRef]
- Shao, X.B.; Xing, Z.W.; Liu, S.Y.; Miao, K.X.; Qi, S.C.; Peng, S.S.; Liu, X.Q.; Sun, L.B. Atomically Dispersed Calcium as Solid Strong Base Catalyst with High Activity and Stability. Green Energy Environ. 2024, 9, 1619–1626. [Google Scholar] [CrossRef]
- Peng, S.S.; Zhang, G.S.; Shao, X.B.; Gu, C.; Liu, X.Q.; Sun, L.B. Generation of Strong Basicity in Metal–Organic Frameworks: How Do Coordination Solvents Matter? ACS Appl. Mater. Interfaces 2022, 14, 8058–8065. [Google Scholar] [CrossRef]
- Xu, J.; Long, K.Z.; Wu, F.; Xue, B.; Li, Y.X.; Cao, Y. Efficient synthesis of dimethyl carbonate via transesterification of ethylene carbonate over a new mesoporous ceria catalyst. Appl. Catal. A Gen. 2014, 484, 1–7. [Google Scholar] [CrossRef]
- Shao, X.B.; Nian, Y.; Peng, S.S.; Zhang, G.S.; Gu, M.X.; Han, Y.; Liu, X.Q.; Sun, L.B. Magnesium single-atom catalysts with superbasicity. Sci. China Chem. 2023, 66, 1737–1743. [Google Scholar] [CrossRef]
- Peng, S.S.; Shao, X.B.; Gu, C.; Xing, Z.W.; Qi, S.C.; Han, Y.; Liu, X.Q.; Sun, L.B. Graphene-anchored sodium single atoms: A highly active and stable catalyst for transesterification reaction. Nano Res. 2024, 17, 4979–4985. [Google Scholar] [CrossRef]
- Ryoo, R.; Joo, S.H.; Kruk, M.; Jaroniec, M. Ordered mesoporous carbons. Adv. Mater. 2001, 13, 677–681. [Google Scholar] [CrossRef]
- Geng, J.C.; Xue, D.M.; Liu, X.Q.; Shi, Y.Q.; Sun, L.B. N-doped porous carbons for CO2 capture: Rational choice of N-containing polymer with high phenyl density as precursor. AIChE J. 2017, 63, 1648–1658. [Google Scholar] [CrossRef]
- Enterría, M.; García, F.S.; Martínez Alonso, A.; Tascón, J.M.D. Synthesis of ordered micro–mesoporous carbons by activation of SBA-15 carbon replicas. Microporous Mesoporous Mater. 2012, 151, 390–396. [Google Scholar] [CrossRef]
- Sun, R.Q.; Sun, L.B.; Chun, Y.; Xu, Q.H. Catalytic performance of porous carbons obtained by chemical activation. Carbon 2008, 46, 1757–1764. [Google Scholar] [CrossRef]
- Wang, H.L.; Gao, Q.M.; Hu, J. High Hydrogen Storage Capacity of Porous Carbons Prepared by Using Activated. Carbon J. Am. Chem. Soc. 2009, 131, 7016–7022. [Google Scholar] [CrossRef]
- Xue, R.; Shen, Z. Formation of graphite-potassium intercalation compounds during activation of MCMB with KOH. Carbon 2003, 41, 1862–1864. [Google Scholar] [CrossRef]
- Li, T.T.; Liu, Y.; Qi, S.C.; Liu, X.Q.; Huang, L.; Sun, L.B. Calcium oxide-modified mesoporous silica loaded onto ferriferrous oxide core: Magnetically responsive mesoporous solid strong base. J. Colloid Interface Sci. 2018, 526, 366–373. [Google Scholar] [CrossRef]
- Gu, C.; Li, T.T.; Tan, P.; Peng, S.S.; Jiang, Y.; Liu, X.Q.; Sun, L.B. Generating Strongly Basic Sites on Magnetic Nano-Stirring Bars: Multifunctional Integrated Catalysts for Transesterification Reaction. Sci. China Mater. 2022, 65, 2721–2728. [Google Scholar] [CrossRef]












| Sample | Composition (wt%) a | SBETb (m2·g−1) | Vp b (cm3·g−1) | Micropore Size (nm) | Mesopore Size (nm) | Amount of Basic Sites (mmol∙g−1) | |
|---|---|---|---|---|---|---|---|
| Fe3O4 | K2O | ||||||
| Fe3O4 | 99.6 | 0 | 59 | 0.07 | - | - | 0.03 |
| C/Fe3O4 | 51.4 | 0 | 264 | 0.17 | 1.2 | 2.0/3.5 | 0.07 |
| K/C/Fe3O4 | 48.6 | 5.5 | 258 | 0.17 | 1.1 | 4.8/7.1 | 1.03 |
| 1.17 c | |||||||
| The leachate | 0.024 d | ||||||
| Catalyst | Reaction Conditions | DMC Yield (%) | TOF (h−1) | Ref. |
|---|---|---|---|---|
| K/C/Fe3O4 | 0.50 mol methanol, 0.10 mol EC, catalyst (0.5 wt% of methanol), 65 °C, 6 h | 30.7 | 54.6 | This work |
| MgO | 0.50 mol methanol, 0.10 mol EC, catalyst (0.5 wt% of methanol), 65 °C, 6 h | 7.6 | 0.95 | [36] |
| MgO/NPC | 0.50 mol methanol, 0.10 mol EC, catalyst (0.5 wt% of methanol), 65 °C, 6 h | 11.4 | / | [12] |
| Na2O/Al2O3 | 0.50 mol methanol, 0.10 mol EC, catalyst (0.5 wt% of methanol), 65 °C, 6 h | 28.2 | 36.2 | [24] |
| CaO/G | 0.50 mol methanol, 0.10 mol EC, catalyst (0.35 wt% of methanol), 65 °C, 6h | 13.5 | 46.2 | [37] |
| CaO/NPC | 0.50 mol methanol, 0.10 mol EC, catalyst (0.5 wt% of methanol), 65 °C, 6 h | 13.5 | 36.2 | [23] |
| CsX | 0.50 mol methanol, 0.10 mol EC, catalyst (0.5 wt% of methanol), 65 °C, 6 h | 6.1 | 2.9 | [38] |
| KNO3/C | 0.50 mol methanol, 0.10 mol EC, catalyst (0.1 g), 65 °C, 6 h | 32.5 | 35.2 | [25] |
| CeO-meso-400 | 0.50 mol methanol, 0.10 mol EC, catalyst (0.5 wt% of methanol), 65 °C, 6 h | 33.6 | 16.5 | [39] |
| MgO/G | 0.50 mol methanol, 0.10 mol EC, catalyst (0.5 wt% of methanol), 65 °C, 4 h | 16.1 | 12.7 | [40] |
| Na2O/G | 0.50 mol methanol, 0.10 mol EC, catalyst (0.5 wt% of methanol), 65 °C, 4 h | 25.8 | 38.1 | [41] |
| K2O/C/SBA-15 | 0.50 mol methanol, 0.10 mol EC, catalyst (0.5 wt% of methanol), 65 °C, 4 h | 33.1 | 34.5 | [24] |
Disclaimer/Publisher’s Note: The statements, opinions and data contained in all publications are solely those of the individual author(s) and contributor(s) and not of MDPI and/or the editor(s). MDPI and/or the editor(s) disclaim responsibility for any injury to people or property resulting from any ideas, methods, instructions or products referred to in the content. |
© 2025 by the authors. Licensee MDPI, Basel, Switzerland. This article is an open access article distributed under the terms and conditions of the Creative Commons Attribution (CC BY) license (https://creativecommons.org/licenses/by/4.0/).
Share and Cite
Li, T.; Li, X.; Shi, G.; Gao, Y.; Guan, Q.; Kang, G.; Zeng, Y.; Xue, D. Generating Strongly Basic Sites on C/Fe3O4 Core–Shell Structure: Preparation of Magnetically Responsive Mesoporous Solid Strong Bases Catalysts. Catalysts 2025, 15, 743. https://doi.org/10.3390/catal15080743
Li T, Li X, Shi G, Gao Y, Guan Q, Kang G, Zeng Y, Xue D. Generating Strongly Basic Sites on C/Fe3O4 Core–Shell Structure: Preparation of Magnetically Responsive Mesoporous Solid Strong Bases Catalysts. Catalysts. 2025; 15(8):743. https://doi.org/10.3390/catal15080743
Chicago/Turabian StyleLi, Tiantian, Xiaowen Li, Guangxia Shi, Yajun Gao, Qiang Guan, Guodong Kang, Yizhi Zeng, and Dingming Xue. 2025. "Generating Strongly Basic Sites on C/Fe3O4 Core–Shell Structure: Preparation of Magnetically Responsive Mesoporous Solid Strong Bases Catalysts" Catalysts 15, no. 8: 743. https://doi.org/10.3390/catal15080743
APA StyleLi, T., Li, X., Shi, G., Gao, Y., Guan, Q., Kang, G., Zeng, Y., & Xue, D. (2025). Generating Strongly Basic Sites on C/Fe3O4 Core–Shell Structure: Preparation of Magnetically Responsive Mesoporous Solid Strong Bases Catalysts. Catalysts, 15(8), 743. https://doi.org/10.3390/catal15080743

