Next Article in Journal
Microwave-Assisted Degradation of Azo Dyes Using NiO Catalysts
Next Article in Special Issue
Current Progress in the Biosynthesis of Metal Sulfide Nanomaterials for the Degradation of Dyes: A Review
Previous Article in Journal
Mechanistic Behavior of Basicity of Bimetallic Ni/ZrO2 Mixed Oxides for Stable Oxythermal Reforming of CH4 with CO2
Previous Article in Special Issue
Photocatalytic Degradation of Environmental Contaminants: Transformation Products and Effects on Photocatalytic Performance
 
 
Font Type:
Arial Georgia Verdana
Font Size:
Aa Aa Aa
Line Spacing:
Column Width:
Background:
Article

Tailoring TiO2/TiN Bi-Layer Interfaces via Nitrogen Diffusion and Gold Functionalization for Advanced Photocatalysis

Department of Atomic Physics, INS Vinča—National Institute of the Republic of Serbia, University of Belgrade, Mike Petrovića Alasa 12-14, 11351 Belgrade, Serbia
*
Author to whom correspondence should be addressed.
Catalysts 2025, 15(8), 701; https://doi.org/10.3390/catal15080701
Submission received: 13 June 2025 / Revised: 12 July 2025 / Accepted: 17 July 2025 / Published: 23 July 2025
(This article belongs to the Special Issue Recent Advances in Photocatalysis for Environmental Applications)

Abstract

100 nm thick TiO2/TiN bilayers with varying thickness ratios were deposited via reactive sputtering of a Ti target in controlled oxygen and nitrogen atmospheres. Post-deposition annealing in air at 600 °C was performed to induce nitrogen diffusion through the oxygen-deficient TiO2 layer. The resulting changes in morphology and chemical environment were investigated in detail using transmission electron microscopy (TEM), scanning electron microscopy (SEM), X-ray photoelectron spectroscopy (XPS), and UV-Vis spectroscopy. Detailed TEM and XPS analyses have confirmed nitrogen diffusion across the TiO2 layer, with surface nitrogen concentration and the ratio of interstitial to substitutional nitrogen dependent on the TiO2/TiN mass ratio. Optical studies demonstrated modifications in optical constants and a reduction of the effective bandgap from 3.2 eV to 2.6 eV due to new energy states introduced by nitrogen doping. Changes in surface free energy induced by nitrogen incorporation showed a correlation to nitrogen doping sites on the surface, which had positive effects on overall photocatalytic activity. Photocatalytic activity, assessed through methylene blue degradation, showed enhancement attributed to nitrogen doping. Additionally, deposition of a 5 nm gold layer on the annealed sample enabled investigation of synergistic effects between nitrogen doping and gold incorporation, resulting in further improved photocatalytic performance. These findings establish the TiO2/TiN bilayer as a versatile platform for supporting thin gold films with enhanced photocatalytic properties.

1. Introduction

Clean water is essential for human health, environmental preservation, and sustainable development. However, the presence of various pollutants poses a serious threat to the quality of surface and groundwater sources [1]. Organic contaminants are particularly persistent, as they are difficult to degrade and can disrupt aquatic ecosystems. Conventional treatment methods, including physical, chemical, and biological approaches, often fall short due to inefficiency, high costs, or secondary pollution. As a result, developing advanced and sustainable water purification technologies has become a global priority. In this context, heterogeneous photocatalysis using semiconductor materials has emerged as an effective, environmentally friendly, and potentially low-cost strategy for the degradation and removal of a broad range of organic pollutants from water systems [2].
Titanium dioxide (TiO2) is a transition metal oxide widely studied for photocatalytic applications due to its semiconducting properties, good chemical stability, non-toxicity, and abundance [3]. As a semiconductor, TiO2 can generate electron-hole pairs when exposed to light with energy greater than its band gap. However, its relatively wide band gap (~3.2 eV) limits its absorption to the UV region of the spectrum. Since UV light accounts for only about 5% of the solar spectrum, this significantly restricts the practical use of TiO2 in solar-driven photocatalytic applications. Therefore, TiO2-based materials must be modified to enable visible light absorption and enhance photocatalytic performance [4]. The efficiency of TiO2 in photocatalysis strongly depends on its morphology, crystal structure, and chemical composition, which includes doping with metal and non-metal dopants and the presence of structural defects [5]. Furthermore, the rapid recombination of photogenerated charge carriers significantly reduces its photocatalytic efficiency. These limitations have prompted research into doping strategies and heterostructure formation to enhance visible light response and improve charge separation [6]. In particular, TiO2-based heterojunctions with materials such as g-C3N4 [7] and Cu2O [8] have demonstrated enhanced photocatalytic activity through improved charge separation and extended light absorption.
One promising approach to enhance the visible-light activity of TiO2 involves coupling it with titanium nitride (TiN), a conductive and thermally stable material that exhibits plasmonic properties similar to those of noble metals such as gold and silver [9]. These plasmonic characteristics enhance visible light absorption [10] and can facilitate charge carrier separation at the TiN/TiO2 interface, thereby reducing electron-hole recombination and improving overall photocatalytic efficiency [11]. Additionally, the combination of TiN and TiO2 offers the possibility of nitrogen incorporation into the TiO2 lattice during post-deposition annealing, creating N-doped TiO2 with improved photocatalytic performance. Research results summarized in the review by Chakraborty et al. [12] indicate that nitrogen doping can significantly enhance the photocatalytic activity of TiO2 in the visible region; however, the extent of this enhancement varies considerably depending on the synthesis method, nature of the pollutant, and testing conditions. Nitrogen can easily integrate into the TiO2 structure due to its atomic size being comparable to oxygen, along with its low ionization energy and high stability [13]. Producing N-doped TiO2 by magnetron sputtering is usually performed by tuning the ratio between O2 and N2 reactive gases during the material growth [14,15,16,17,18]. Other methods for producing N-doped TiO2 thin films include electrochemical anodization of TiN [19], nitrogen ion implantation [20], plasma nitriding [21], pulsed laser deposition [22], among others.
Although literature suggests that deposition of noble metals increases photocatalytic activity [23], it is possible that in some cases Au acts as a recombination center [24]. The addition of gold is intended to improve visible-light photocatalysis through multiple mechanisms. Gold can form a Schottky junction at the metal–semiconductor interface, where its lower Fermi level enables it to trap conduction band electrons from TiO2 [25]. This facilitates charge separation by suppressing recombination and enhancing electron transfer to reducible species, such as dissolved oxygen or organic pollutants [26]. Additionally, the plasmonic properties of gold nanoparticles can increase visible light absorption [27], while their interface with TiO2 can create localized surface and quantum size effects that influence charge carrier dynamics [28]. However, literature reports show that the photocatalytic activity of Au/TiO2 systems is highly sensitive to deposition method, particle size, and gold loading, as Cojocaru et al. [29] demonstrated that reactive sputtering allows precise control of Au layer thickness and nanoparticle size, with photocatalytic activity for acetone oxidation strongly depending on both Au content and the underlying titania phase. Similarly, Jung et al. [30] reported that gold-buffered TiO2 thin films, prepared by magnetron sputtering, exhibited enhanced photocatalytic performance compared to pure anatase films due to improved charge separation at the Au interface. Based on these insights, our study aims to examine how gold modification affects TiN/TiO2 bilayer systems, particularly in the context of plasmonic enhancement and interfacial charge dynamics.
A particular focus of this research is on the use of thin films as photocatalytic materials, due to their numerous advantages for real-world applications. Thin films deposited by physical methods such as reactive sputtering offer strong adhesion to substrates, precise control over film thickness, high homogeneity, excellent reproducibility, and the ability to be deposited on various substrates and over large areas [31]. In addition, thin films can be reused multiple times without removal from the reaction medium, which presents a significant advantage over nanoparticle-based systems that are difficult to separate from solution and may contribute to secondary pollution [32]. Although thin films generally possess a lower specific surface area and fewer active sites compared to nanoparticles, these limitations can be overcome through careful optimization of synthesis conditions. Controlling layer thickness, tailoring material structure, introducing dopants, and modifying surface and electronic properties can all contribute to improved photocatalytic performance and enhanced degradation rates of organic pollutants [5].
This study extends our previous investigations into the photocatalytic properties of TiO2-based thin films. Our earlier works explored the influence of nitrogen doping via annealing on TiO2-N thin films [17] and the effect of surface-formed gold structures on TiO2 thin films deposited by DC sputtering [33]. In the present work, we introduce a bilayer system in which sub-stoichiometric TiO2 films are deposited directly onto TiN thin film substrates, enabling diffusion-driven nitrogen doping during annealing and creating an engineered heterostructure not previously explored in our studies. Comprehensive structural and optical analyses were performed to shed more light on the influence of N doping and N diffusion in TiO2/TiN composites and its influence on the photocatalytic activity of these films. The presence of vacancies in the structure is expected to positively affect on nitrogen diffusion through the layer structure, and they can be a tool for tailoring the presence of nitrogen species at the surface. The consensus across experimental and theoretical studies indicates that nitrogen atomic concentrations between 1 at% and 3 at% optimize the visible-light photocatalytic activity of TiO2 [34]. Deviations from this range may lead to either insufficient bandgap narrowing or defect-dominated recombination. The photocatalytic properties were assessed by studying the degradation of methylene blue dye (MB). MB is a synthetic dye commonly used in various industries, making its presence in wastewater a significant environmental concern, particularly in developing countries. Due to its known toxicity, the development of effective removal methods has been widely studied [35]. Another reason for selecting MB is its well-established degradation behavior under photocatalytic conditions, which allows for detailed kinetic studies. For example, Houas et al. [36] investigated the degradation pathway and identified intermediate products, showing that hydroxyl radicals (•OH) attack the C–S+=C functional group, while ring-opening requires the presence of heteroatoms such as S and N. This suggests that photocatalysts capable of degrading MB may also be effective against structurally similar pollutants, including sulfur heterocycles present in pharmaceuticals [37] and agrochemicals [38]. Furthermore, to enhance the photocatalytic degradation rate of MB, a thin film of gold (5 nm) was deposited as a buffer 3 nm below the TiO2 surface, as described in our earlier paper [33] on the annealed TiN/TiO2 films, to demonstrate the synergistic effect of gold on different TiO2/TiN bilayer structures.

2. Results

2.1. Structural and Morphological Characterization

In order to gather detailed information on the microstructure of the as-prepared samples, transmission electron microscopy (TEM) was employed. The results of this analysis are displayed as representative micrographs (Figure 1) taken from the pure TiO2 film and from the film containing N75 (see Table 1 for information regarding sample naming) as an example. Low-magnification bright field micrographs of the selected samples are presented in Figure 1a,d, revealing the general microstructure of the films. It can be noticed that both films exhibit similar morphology, characterized by the irregularly positioned grains, various in size and shape. The observed surface roughness may be the result of the strong effect of the FIB during the preparation of the sample. The thickness of the films was measured to be around 110 nm, measuring from the end of the Silicone substrate to the protective Pt layer. The presence of numerous voids characterizing the nanostructured morphology was observed. The voids are mostly situated directly on top of the underlying Si substrate. It can be noticed that the number of voids rises as the quantity of deposited TiN phase increases, indicating the influence of the film composition and/or preparation procedure on the sample morphology.
To achieve a closer inspection of the microstructure, images were acquired at higher magnification, for the highly ordered lattice planes to be distinctly observed. Interplanar spacing distances were measured, revealing the presence of TiO2 phase, and/or TiN phases, depending on the observed sample. Figure 1b,e represent enlarged parts of a few selected grains, clearly showing the crystalline nature of the deposited films induced by annealing. The d-spacing value for an isolated grain from pure TiO2 film (Figure 1b) was measured to be 0.352 nm, corresponding well with the plane (101) for anatase TiO2 (PDF card no. 21-1272). The estimated interplanar spacing for N75 (Figure 1e) was 0.160 nm, which is in agreement with the reference value for the plane with Miller index (220) for TiN (PDF card no. 2-1159). Moreover, attained FFT images (presented as insets in Figure 1b,e) show highly oriented bright spots, validating the existence of the ordered lattice stripes, which is an additional confirmation that the samples possess a crystalline structure.
To further investigate the crystalline nature of the deposited films, selected area electron diffraction analysis was performed, and the results are demonstrated in Figure 1c,f. SAED images consist of numerous fragments of diverse diffraction rings, revealing the polycrystalline structure of the samples. Measuring the radii of the rings, interplanar spacing distances can be calculated for the various planes, thus verifying the presence of existing phases in the sample. For TiO2 film (Figure 1c), d-spacing values were found to be 0.238, 0.196, 0.139, 0.125, 0.115, and 0.083 nm, which corresponds well with planes (112), (200), (211), (224), (305), and (415) for the TiO2 anatase phase, respectively. Moreover, planes (202) and (018) were measured with the spacing of 0.210 and 0.162 nm, corresponding to the Ti2O3 phase (PDF card no. 10-0063), respectively. The formation of the Ti2O3 phase can be a consequence of oxygen vacancies that usually occur in TiO2 structures. The outer ring fragments originate from the reflections of high index planes of the titania phases. Additionally, the first inner ring was measured to have a d-spacing of 0.302 nm, which can be attributed to the Si phase (PDF card no. 01-075-0841) originating from the Si substrate. For the TiO2/TiN film, the SAED image (Figure 1f) exhibits a similar diffraction pattern to that observed for the pure TiO2 film. Interplanar spacings were determined to have the values of 0.239, 0.197, 0.139, and 0.085 nm, which correspond well to the crystallographic planes with Miller indices (112), (200), (211), and (415) for TiO2 anatase, respectively. Moreover, the Ti2O3 phase was also discovered in the form of plane (211), having an interplanar spacing distance of 0.205 nm. The formation of TiN was evidenced by the d-spacing values of 0.217, 0.156, and 0.112 nm which can be ascribed to the planes (200), (220), and (400), respectively. Accomplished results clearly point to a polycrystalline structure of the as-deposited films, revealing firm evidence for the presence of different TiO2 and TiN phases formed during the chosen preparation method.
Morphological changes of the surface caused by annealing and N diffusion were examined using scanning electron microscopy (SEM). Following the sequential deposition of TiN and TiO2 thin films by reactive sputtering without substrate heating, the samples were subjected to annealing in air at 600 °C. SEM images acquired after annealing are shown in Figure 2 and reveal significant morphological differences between the samples as a function of the TiN/TiO2 ratio. The surface of the pure TiO2 film exhibits a uniform and compact morphology with well-defined faceted grains, characteristic of polycrystalline anatase. With increasing TiN content, the differences in grain size become visible. At 25% TiN, the grain size appears larger, indicating that the influence of N diffusion through the TiO2 upper layer influences crystal growth. The 50% TiN sample shows morphological distortion with smaller or irregular grains. In the sample containing 75% TiN, the surface becomes highly rough and non-uniform.
Despite these morphological changes, the anatase phase is retained, implying that the oxygen-deficient TiO2 top layer transforms into anatase even at that temperature because of the influence of N incorporation into the TiO2 lattice. The presence of TiN during deposition and its transformation during annealing appear to affect the crystallization kinetics of TiO2, leading to notable changes in surface texture that could influence optical, electrical, or catalytic properties.
Energy-dispersive X-ray spectroscopy (EDS) mapping confirmed the presence and distribution of the main elements in the obtained TiO2/TiN–Au bilayer systems. Figure 3a shows the elemental mapping of Si, Ti, O, N, C, and Au, with different colors representing each element. The Au signal appears to be homogeneously distributed, which indicates the presence of Au on the subsurface in the form of an ultrathin film. A more detailed analysis of the elemental weight and atomic percentages is presented in the EDS spectrum shown in Figure 3b, where Au incorporation is measured at approximately 0.74 at%.

2.2. Surface Chemical Composition

Understanding the chemical state of elements in thin films is essential for explaining both light absorption in the visible spectrum and photocatalytic activity. These properties in TiO2 thin films depend on the introduced chemical species, particularly nitrogen atoms, and their corresponding states after doping. Additionally, the chemical state is strongly influenced by the preparation methods, which will be discussed in this section. The survey spectra of all the samples show the presence of Ti 2s, 2p, 3s, and 3p lines, O 1s and 2s lines, and N 1s from the samples, along with a C 1s signal attributed to organic contamination after deposition, as seen in Figure 4. Additionally, on survey spectra for Au-buffered thin films, the presence of Au 4d and Au 4f lines was detected.
Table 1. XPS composition of the surface for TiO2/TiN composites.
Table 1. XPS composition of the surface for TiO2/TiN composites.
SampleTiO2/TiN [nm]Ti 2p
[at%]
O 1s
[at%]
Ov
[%]
N 1s
[at%]
Nsub [%]Nint [%]Nch [%]
N00/10026.569.915.43.616.714.169.2
N2525/10027.170.19.22.831.723.644.7
N5050/502672.58.81.516.714.568.8
N7575/2524.874.48.70.81422.263.8
From survey spectra, nitrogen incorporation of 3.6 at% was observed on the surface of the pure TiO2 sample. This value decreased gradually to 0.77 at% as the TiN contribution increased in the samples (see Table 1). We have previously described the phenomenon of nitrogen incorporation on the surface of TiO2 during the annealing process in air, in our earlier work [17], and the underlying mechanism is detailed by Guillen et al. [18]. Table 1 presents the atomic percentages of Ti, N, and O derived from survey spectra. Additionally, percentages of oxygen vacancies and nitrogen incorporation sites, calculated from high-resolution spectra, are included. Oxygen vacancy concentrations were determined from the contribution areas in deconvoluted high-resolution O 1s spectra (Figure S1), while nitrogen contributions were derived from high-resolution N 1s spectra (Figure 6). The observed concentration of oxygen atoms is higher than expected for stoichiometric TiO2 layers. This is attributed to the presence of C-O and C=O bonds on the surface, originating from adventitious carbon (Figure S2).
The high-resolution XPS spectra of the Ti 2p photoelectron line, shown in Figure 5, were analyzed for all samples, revealing a Ti 2p doublet with binding energies of 464.2 ± 0.2 eV and 458.5 ± 0.2 eV. Orbital splitting of 5.7 eV and the position of the peaks corelate to Ti4+ contribution [39]. It is evident that nitrogen doping does not cause any significant shift in the binding energy of the Ti 2p peaks across the samples, which implies no formation of Ti-N bonds on the surface, for which concentration of N atoms on the surface is crucial.
A well-documented fact is that exposing TiOx films to air results in surface oxidation, forming a few nanometers thick TiO2 layer. This phenomenon is supported by studies showing that titanium oxide films readily oxidize in ambient conditions, with TiO2 forming as the stable surface phase due to oxygen interaction, as observed by surface analysis techniques such as XPS and AES [40,41]. To analyze the subsurface region (>5 nm) of the TiO2 layer, the surface of the material was sputtered with 4 KeV Ar+ ions for 20 s. Analysis showed a non-stoichiometric structure characterized by the presence of Ti3+ species. Sputtering parameters during preparation of all TiO2/TiN heterostructures were optimized for obtaining TiO2−x films rich in oxygen vacancies to enhance nitrogen diffusion during subsequent annealing. Indeed, we have found with surface analysis that the presence of N1s bonds in annealed samples varied between 0.8 and 3.6 at%. Nitrogen was partially incorporated as substitutional in place of oxygen vacancies, while part of the nitrogen was found in interstitial positions, as can be seen in Figure 6, where N1s high-resolution spectra for all heterostructures are presented. The concentration of substitutional nitrogen was found to be dependent on the ratio between TiN and TiO2 layers. The most substitutional nitrogen was found in heterostructures with 25% TiN, while as the mass ratio of the TiN phase increased, the interstitial and chemiabsorbed nitrogen rate is larger. One can conclude that the smallest amount of the TiN phase was enough to fill oxygen vacancies by N diffusion in the TiO2 lattice as substitutional nitrogen, while with further increases in the mass ratio of TiN, the interstitial and chemisorbed portions of nitrogen at the surface grow.
The inverse relationship between TiN content and surface nitrogen concentration occurs because higher TiN portions lead to more extensive thermal oxidation at 600 °C, which releases nitrogen as gas through newly formed pores and voids rather than allowing it to accumulate at the surface. The pure TiO2 sample shows the highest N1s concentration because it lacks the nitrogen-depleting oxidation mechanism present in bi-layer systems and instead retains nitrogen from ambient adsorption or initial contamination during the annealing process. These conclusions are in agreement with observed TEM and SEM analysis.
The high-resolution XPS spectra of O 1s for all samples reveal a peak that can be deconvoluted into three to four components, as shown in Figure S1 in the Supplementary Materials. The most intense peak, located at 529.9 ± 0.1 eV, corresponds to oxygen in the TiO2 lattice. The component at 531.2 ± 0.2 eV is attributed to oxygen vacancies and/or adsorbed hydroxyl (–OH) groups on the metal oxide surface. Analysis of the intensity of this peak demonstrates a significant decrease between pristine TiO2 film and films with TiN as a substrate. This reduction may occur from nitrogen diffusion leading to a decrease in oxygen vacancies, either through substitutional doping of nitrogen atoms or by compensating electron-deficient vacancies with interstitial nitrogen. While N-doping is often suggested to induce oxygen vacancies [42], there is also evidence that post-annealing nitridation of TiO2 can reduce surface oxygen vacancies [43]. In the case presented here, increasing the mass percentage of TiN in the composite material did not affect noticeable Ov concentrations, confirming once again that the lowest concentration of TiN, as a substrate, was enough to fill oxygen vacancy spots in the TiO2 lattice and further increases of the TiN component affected only Nint and Nch concentrations and overall N presence on the surface. The remaining two components on O1s spectra above 532 eV are attributed to the presence of carbon contamination species and adsorbed water.

2.3. Optical Properties

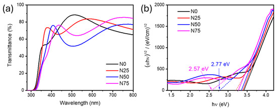
The efficiency of TiO2 thin films for photocatalytic applications strongly depends on their optical properties, as increased light absorption can lead to a higher generation of electron-hole pairs [44]. UV-Vis spectroscopy was used to measure the transmission of TiO2/TiN thin films with various contributions of TiN and TiO2 after annealing. In samples N0, N25, N50, and N75, the percentage of TiN contribution increases, and the absorption edge shifts to a longer wavelength.
In Figure 7a, the transmittance of the samples measured in the UV-Vis wavelength range (280–800 nm) is shown. The N25 and N75 samples exhibit high transmittance (65–85%), while the N50 sample shows a drop to 50–60% within the 450–600 nm range. The reduced transmittance of the N50 and N75 samples in the 450–600 nm range can be attributed to their higher optical absorption, likely due to a favorable density of defect states and more effective nitrogen incorporation and achieving a balance between interstitial and substitutional nitrogen species within the TiO2 lattice and the formation of new sub-bandgap states [45]. Outside this range, the transmittance of the N50 sample aligns with that of N25 and N75. These results are for annealed samples, and it is worth mentioning that they show an increase in optical transmittance compared to the non-annealed samples (~10–40%). However, since the non-annealed samples were not used in the further experiments, their data are not presented.
The bandgap energy ( E g ) of a semiconductor represents the minimum energy needed to excite an electron from the valence band (VB) to the conduction band (CB). The bandgap plays a crucial role in determining the ability of a material to absorb light and initiate photocatalytic reactions. Doping TiO2 with N atoms has been shown to affect the bandgap, which can also be modified by annealing N-doped TiO2 thin films [18]. The bandgap value is estimated from a Tauc plot using the relation:
α h ν 1 / 2 = A h ν E g
Here, α represents the optical absorption coefficient, calculated using the equation α = 1 d l n 1 T , where d denotes the thickness of the thin films, and T is the transmittance. The plot of α h ν 1 / 2 as a function of photon energy h ν is presented in Figure 7b. The values of E g were obtained by extrapolating the linear part of the graph down to the photon energy axis. From Figure 7b, it can be seen that increasing the TiN content leads to a slight reduction in the band gap, from 3.40 eV for N25 to 3.26 eV for N75. Additionally, in the absorption edge region of all samples, two distinct slopes are observed, indicating the presence of additional energy levels within the forbidden band gap of the TiN/TiO2 samples. These additional energy levels are located at 3.21 eV, 2.77 eV, and 2.57 eV for N25, N50, and N75, respectively.
To complement the optical analyses, we also observed the effect of the TiO2/TiN ratio on the optical constants n and k, which affect overall optical properties. Detailed analyses and conclusions can be found in Supplementary Materials.

2.4. Contact-Angle Measurements

Surface free energy (SFE) can be defined as the excess energy of the surface compared to the bulk of the material. In a practical sense, it characterizes the interaction of the material’s surface with different liquids. Using both deionized water and diiodomethane as reference liquids, as shown in Figure 8, for a–d for water and e–h for diiodomethane, for contact angle measurements, it was found that the water contact angle decreases for samples with higher TiN content.
This trend indicates an increase in surface hydrophilicity, which is favorable for photocatalytic applications. These findings are consistent with previous reports on N-doped TiO2 surfaces [46], where a strong correlation between photocatalytic activity and surface wettability has been established. A more hydrophilic surface can provide additional active sites for pollutant adsorption and facilitate photocatalytic degradation. Both the wettability and photocatalytic activity of TiO2 films are known to be influenced by film morphology, chemical composition, and the presence of surface defects, all of which are dependent on the deposition and post-treatment conditions. The influence of surface nitrogen content on the SFE of the films is summarized in Table 2.
The increase, from 6.3 for N0 to 12.3 for N75, in the polar component of the SFE for samples containing TiN indicates that the surface becomes more hydrophilic compared to unmodified TiO2. The dispersive component also slightly increased with increasing TiN content. This change suggests a higher presence of surface hydroxyl groups and/or nitrogen-containing species. Enhanced surface hydrophilicity is beneficial for photocatalytic activity, as it facilitates stronger interactions between water-dissolved pollutants (such as MB) and the surface while also promoting more efficient generation of reactive oxygen species (e.g., •OH).

2.5. Photocatalytic Measurements

The photocatalytic activity (PA) of TiN/TiO2 thin films was studied to assess the effect of nitrogen doping on the surface of TiO2. The degradation of MB dye was monitored using UV-Vis spectroscopy by measuring the absorbance in the wavelength range of 200–800 nm. The first aliquot was collected immediately after immersing the film sample in the MB dye solution. A second aliquot was taken after 30 min in the dark to ensure adsorption-desorption equilibrium. Subsequent aliquots were collected at 0.5, 1, 2, 3, and 4 h during light exposure. The absorbance spectra of all TiN/TiO2 samples are presented in Figure 9. A characteristic absorbance peak of MB dye at 663 nm is observed, which decreases over time with illumination. Although the peak intensity diminishes with increasing exposure time, the characteristic shape of the peak remains unchanged. To compare the PA of different samples, the graph on the left side in Figure 11 presents the absorbance ratio (C/C0) for N0, N25, N50, and N75 measured at 663 nm as a function of illumination time.
From the comparative kinetic curves in Figure 11a, it is clearly observed that all samples exhibit some degree of photocatalytic activity and that the incorporation of nitrogen (via TiN) into TiO2 thin films can enhance the PA by up to 30%. However, it is also evident that nitrogen incorporation does not necessarily guarantee improved performance. For instance, the N25 sample, which contains the lowest amount of TiN, showed no significant improvement in PA compared to pure TiO2. This is despite the presence of both substitutional and interstitial nitrogen species on the surface, as confirmed by XPS analysis.
In contrast, the N50 and N75 samples demonstrated enhanced photocatalytic performance, clearly surpassing that of pure TiO2. This suggests that nitrogen incorporation can lead to increased photocatalytic activity, but only when it is effectively integrated into the structure. The observed improvement in PA can be attributed to two main factors. Firstly, the presence of both substitutional and interstitial nitrogen in appropriate proportions can narrow the bandgap or introduce mid-gap states, thereby enhancing visible-light absorption. Secondly, the formation of a heterojunction between the conductive TiN and semiconducting TiO2 may facilitate more efficient separation of photogenerated charge carriers, thus reducing recombination losses.
Because of annealing after the deposition of TiN/TiO2 heterostructures, nitrogen diffusion is induced, and a small amount of N is detected at the surface (as confirmed by XPS and SEM). Based on XPS analysis, nitrogen is present in interstitial and substitutional positions, along with chemisorbed N2. These N species introduce additional energy states within the bandgap: substitutional N typically leads to shallow acceptor levels above the valence band, while interstitial N contributes to more localized mid-gap states [42,47]. As shown by Yang et al. [34], such localized N 2p states can enhance visible-light absorption and photocatalytic activity at low doping levels. In our case, the thermally induced N diffusion likely contributes to bandgap narrowing and surface modification, which correlates with improved photoactivity under visible light. This supports the concept of an optimal N-doping concentration, beyond which further doping has limited benefits or even detrimental effects due to increased recombination.
Furthermore, Zeng et al. [48] emphasized the importance of avoiding excess oxygen during synthesis in order to retain substitutional nitrogen and surface hydroxyl groups, both of which significantly enhance photocatalytic activity. Their findings also suggest that the photocatalytic activity of samples containing substitutional nitrogen is higher than that of those with predominantly interstitial nitrogen.
Interestingly, in our study, the highest photocatalytic activity was observed in the N50 sample, where the concentrations of interstitial and substitutional nitrogen are comparable to annealed TiO2 thin film (N0). This indicates that overall nitrogen concentration on the surface plays a key role in PA, while the place of their incorporation has secondary effects if the concentration of N atoms on the surface is in optimal ranges.
As shown in Table 2, the polar component of the SFE rises from 6.3 mJ cm−2 for N0 to 11.1 mJ cm−2 for N50 and 12.3 mJ cm−2 for N75, reflecting progressively greater hydrophilicity. Higher polar SFE implies a higher density of polar functional groups (–OH and nitrogen species) on the surface, which serve as active sites for MB adsorption. XPS results (Table 1) reveal that the N50 sample combines a low oxygen-vacancy content (8.8%) with a nearly balanced ratio of substitutional (16.7%) and interstitial (14.5%) nitrogen. Our present work identifies this as optimal for bandgap narrowing and charge-separation efficiency. This synergy of surface wettability and beneficial N incorporation yields the highest MB degradation rates for N50 (Figure 11).
Although N75 has an even higher polar SFE, its much lower total surface N (0.8 at%) limits the number of truly active N-centers, so its photocatalytic rate to fall slightly below N50. Conversely, N25, while rich in surface N, exhibits lower polar SFE (10.1 mJ cm−2) and higher oxygen vacancies (9.2%), resulting in intermediate activity. N0, with the lowest polar SFE and no intentional N-doping, shows the poorest MB degradation.
Additionally, the formation of the TiO2/TiN heterostructure itself may contribute to the enhanced photocatalytic performance, suggesting that interfacial engineering combined with controlled nitrogen incorporation is essential for optimizing activity. Results of reproducibility tests, shown in Figure 11c, confirm that these materials are stable during illumination and photocatalytic degradation of MB.
Overall, the results indicate that both the chemical state of nitrogen and the structural configuration of the TiO2/TiN interface play crucial roles in determining photocatalytic efficiency. Optimal nitrogen doping and heterostructure design are therefore key to maximizing performance.

Functionalization of TiO2/TiN Thin Films with Gold

The effect of gold deposition on TiO2/TiN thin films was examined in the second set of photocatalytic experiments, where all TiO2/TiN heterostructures were further modified by depositing a thin gold layer (~5 nm), followed by an additional TiO2 overlayer (~3 nm). The introduction of Au was intended to act as a co-catalyst to improve visible-light absorption and facilitate charge carrier separation. However, the photocatalytic behavior after this modification revealed notable differences among the samples. The absorption spectra of photocatalytic degradation for N0-Au, N25-Au, N50-Au, and N75-Au are presented in Figure 10, with comparative kinetic curves presented in Figure 11. Similar to the TiN/TiO2 heterostructures, in the case of incorporation of Au, there are no additional peaks at lower wavelength values in the visible part of the MB absorption spectra that could be ascribed to de-ethylated forms of MB. So, we can conclude that in the systems presented here, degradation (not decolorization) of MB is the main process. Additional reproducibility measurements confirm the stability of our material, as demonstrated in Figure 11c.
The pure TiO2 sample modified with gold (N0-Au) exhibited a decrease in photocatalytic activity compared to the unmodified N0. This suggests that in the absence of an effective heterojunction (i.e., no underlying TiN), the presence of Au may have introduced recombination centers or partially blocked active TiO2 sites, thus reducing the efficiency of the photocatalytic process. The thin TiO2 overlayer may also have been insufficient to maintain optimal photocatalytic activity in this configuration.
On the other hand, the N50-Au and N75-Au samples, which contain higher TiN content underneath the Au/TiO2 surface layers, demonstrated significantly improved photocatalytic activity. Their kinetic curves indicate very similar and enhanced performance, confirming a beneficial synergistic effect. In these cases, the TiO2/TiN heterojunction likely facilitates efficient electron transfer, while the Au layer further improves charge separation and may serve as an electron sink or plasmonic enhancer. The final TiO2 overlayer may stabilize surface reactions and preserve photocatalytic functionality.
These results indicate that the photocatalytic efficiency of TiO2-based heterostructures can be further enhanced by incorporating noble metal nanoparticles such as gold, but only in systems where the underlying structure supports efficient charge transfer. In particular, the combination of TiN (as a conductive scaffold), Au (as a plasmonic sensitizer), and TiO2 (as a photocatalytic surface) offers a promising architecture for visible-light-driven degradation of organic pollutants.
Understanding the mechanism behind this photocatalytic activity in TiO2/TiN structures was part of one of our group’s previous works [49]. In that work, we demonstrated through photoluminescence analysis that Au particles on the surface and near-surface regions significantly reduce electron-hole recombination in the TiN/TiO2 systems. In Figure S3, positions of calculated valence and conduction bands for the TiN/TiO2 system with positions of MB highest occupied molecular orbital (HOMO) and lowest unoccupied molecular orbital (LUMO), and possible charge transfer processes in the illuminated system are presented. In forementioned paper it was suggested that photogenerated electrons can engage in reduction processes, either directly reducing the dye or interacting with electron acceptors such as dissolved O2, leading to the formation of superoxide radical anions (O2•). Concurrently, photogenerated holes can oxidize the organic molecule to generate R+ or react with OH or H2O to produce hydroxyl radicals (OH•) [49].
Table 3 presents a comprehensive comparison of TiO2-based and gold-enhanced TiO2 photocatalysts, focusing on materials with similar gold content that demonstrate photocatalytic activity under UV and visible light illumination. Comparing different systems is challenging because photocatalytic activity depends on many factors, including dye concentration, light source and intensity, structural defects, gold content and morphology, illumination time, and others. Therefore, the data in this table should be interpreted with these variables in mind. The comparison includes both nanopowder and thin film formulations, evaluating their effectiveness in degrading organic pollutants through various synthesis methods such as hydrothermal synthesis, photoreduction, RF sputtering, magnetron sputtering, and sol-gel techniques. The analysis shows that nanopowders generally exhibit superior photocatalytic performance compared to thin films, with decomposition efficiencies reaching 75–80%, while thin films achieve 20–64%. The most efficient nanopowder systems include chitosan-assisted UV photoreduction and hydrothermal nanoshells, which achieve high degradation rates in relatively short times [50,51]. Among thin films, seven different material compositions are considered, including RF-sputtered TiO2/WOx achieving 20% methylene blue decomposition in 9 h under visible light [52], magnetron-sputtered TiO2-Au with 5 nm nanoclusters reaching 40% decomposition in 6 h [53], interfacial pyrolytic assembly with 5 nm nanoparticles with 64% decomposition in 3 h under visible light [54], and various DC sputtering techniques yielding morphologies from buffered continuous films to nanoparticles, with decomposition rates ranging from 33% to 44.5% under solar simulation conditions [33,50,55].

3. Materials and Methods

TiN/TiO2 thin films were deposited using a DC reactive sputtering system (Balzers Sputtron II, Oerlikon Balzers Coating AG; Balzers, Liechtenstein). Four series of samples (denoted as N0, N25, N50, and N75 and detailed in Table 1) were prepared in oxygen and nitrogen atmospheres during deposition, respectively. A high-purity titanium target (99.99%) was used for sputtering. Before starting the deposition, the base vacuum was maintained at 5 × 10−6 Torr. The partial pressure of argon was 10−3 Torr for all sample series, while the partial pressures of nitrogen and oxygen were kept constant at 3 × 10−4 Torr and 6 × 10−4 Torr, respectively. The deposition times of titanium in nitrogen and oxygen atmospheres were varied to obtain different thickness ratios of the TiN and TiO2 layers: 0/100, 25/75, 50/50, and 75/25 nm for the N0, N25, N50, and N75 samples, respectively. The oxygen pressure during TiO2 deposition was selected to be lower than that pressure required for stoichiometric TiO2 formation. After deposition, all TiN and TiO2 films had an approximate thickness of 100 nm. No substrate heating was applied during the deposition process. Following deposition, all samples were annealed at 600 °C in an air atmosphere to modify the film structure through nitrogen diffusion into the non-stoichiometric TiO2 structure.
All thin film series were simultaneously deposited onto two types of substrates: microscope glass and Si wafers. The glass substrates were used for optical and photocatalytic measurements, as well as for determining the surface free energy of the thin films, while the Si substrates were used for structural characterization by SEM, TEM, and XPS analyses.
Microstructural analysis of as-deposited thin films was completed on an FEI Talos F200X microscope (Thermo Fisher Scientific, Waltham, MA, USA) equipped with an X-FEG source, operating at 200 kV. Conventional and high-resolution transmission electron microscopy (TEM and HRTEM) were carried out along with the selected area diffraction (SAED) method combined with Fast Fourier Transform (FFT) analysis. The samples were prepared in the form of an electron-transparent lamella, using focused ion beam (FIB) on an FEI SCIOS2 Dual beam microscope. Study of the micrographs and determination of the interplanar spacing of the characteristic crystalline planes were completed by using ImageJ software version 1.54g (National Institutes of Health (NIH), Bethesda, MD, USA).
The morphology and qualitative chemical composition of the samples were investigated using field emission scanning electron microscopy equipped with an energy-dispersive X-ray spectrometer (FESEM-EDS, FEI SCIOS 2 Dual Beam, Hillsboro, OR, USA). All measurements were conducted under high vacuum conditions at an acceleration voltage of 20 kV.
The chemical composition of the samples was analyzed using X-ray photoelectron spectroscopy (XPS) with a SPECS system equipped with an XP50M X-ray source (for Focus 500) and a PHOIBOS 100/150 analyzer (SPECS Gmbh, Berlin, Germany). For this study, an Al Kα source (1486.74 eV) at 12.5 kV and 32 mA was used. Survey spectra were recorded over the 0–800 eV binding energy range using a constant pass energy of 40 eV, a step size of 0.5 eV, and a dwell time of 0.2 s in fixed analyzer transmission (FAT) mode. High-resolution spectra for C 1s, N 1s, O 1s, and Ti 2p regions were acquired with a pass energy of 20 eV, a step size of 0.1 eV, and a dwell time of 2 s, also in FAT mode. Spectra were obtained at a pressure of 5 × 10−8 Pa. All the peak positions were referenced to C 1s at 284.8 eV.
UV-Vis measurements were performed using a UV-2600i spectrophotometer (Shimadzu, Kyoto, Japan). Transmittance spectra were recorded in the wavelength range of 200–800 nm at a scanning speed of 300 nm/min, using bare microscope glass as the baseline reference.
Wettability measurements were performed using a device equipped with a CCD camera and a blue LED lamp (Kingbright Electronic Co., Ltd., Taipei, Taiwan) for sample illumination. All samples were evaluated under identical conditions. SFE of our samples was calculated using the Owens–Wendt 2 liquids model [56]. Deionized water (polar liquid) and diiodomethane (non-polar liquid) were used as reference liquids for contact angle measurements. Contact angles were determined by applying three droplets of each liquid to the sample surface. According to this model, the SFE (γs) can be expressed as a sum of 2 components, dispersive γsd (Lifshitz-Van der Waals interactions) and polar γsp (hydrogen bonding): γs = γsp + γsd. The adhesion between a liquid and a solid material is related to the contact angle between the droplet and the surface of a material, θ, by the following equation: γ L 1 + cos θ = 2 ( γ s d γ L d + γ s p γ L p ), where γL is the liquid surface energy, γ L d is the dispersive component of the liquid surface energy, and γ L p is the polar component of the liquid surface energy. The values of the components of surface energy for the test liquids are known from the literature, so that by measuring contact angles of two different liquids, two equations could be expressed, and values of γsp and γsd retrieved from them, as well as the value of γs.
To evaluate the photocatalytic degradation efficiency of the synthesized thin films, 50 mL of 3 ppm methylene blue (MB) solution in distilled water was prepared; the solution pH was 6.2. Thin films with dimensions of 2.5 cm × 2.5 cm were immersed in this solution, which was then exposed to simulated solar light using an Osram Vitalux lamp, Osram GmbH, Munich, Germany (300 W, simulating sunlight). The light source, positioned 30 cm above the solution, emitted white light, including UVB radiation (280–315 nm, 3.0 W) and UVA radiation (315–400 nm, 13.6 W), with the remaining spectrum comprising visible light and infrared. The MB solution was kept at the constant temperature of 8 °C. Aliquots of 2 cm3 were collected at regular intervals, and the absorption spectra of the extracted samples were recorded.

4. Conclusions

This study demonstrates the successful development of nitrogen-doped TiO2/TiN bilayer systems with enhanced visible-light photocatalytic activity through controlled nitrogen diffusion and gold functionalization. By depositing TiO2/TiN bilayers via reactive sputtering and annealing at 600 °C in air, nitrogen diffusion through the oxygen-deficient TiO2 layer was achieved, as confirmed by TEM and XPS analyses. The nitrogen incorporation occurred in both interstitial and substitutional forms, with surface nitrogen concentration and distribution dependent on the initial TiO2/TiN mass ratio. Structural characterization revealed a polycrystalline anatase TiO2 phase coexisting with TiN and Ti2O3 phases, while SEM imaging showed morphological changes correlated with TiN content; higher TiN ratios induced surface roughening and irregular grain growth. Nitrogen diffusion during annealing at 600 °C in air introduced doping effects critical to photocatalytic performance. XPS analysis demonstrated that surface nitrogen concentration, dependent on the initial TiO2/TiN mass ratio, plays a primary role in enhancing activity, while nitrogen incorporation sites (interstitial vs. substitutional) become secondary factors when concentrations remain within the optimal 1–3% range. Optical studies demonstrated a significant reduction in the effective bandgap from 3.2 eV to 2.6 eV, attributed to nitrogen-induced mid-gap states, which expanded light absorption into the visible spectrum. Photocatalytic testing using methylene blue degradation highlighted the role of nitrogen doping in enhancing charge separation and reducing electron-hole recombination. Further improvement was achieved by depositing a 5 nm gold layer.
The tunability of nitrogen doping via TiN content and annealing conditions provides a pathway to optimize photocatalytic efficiency, with nitrogen concentrations in the optimal range, identified as optimal for balancing bandgap narrowing and defect minimization. Future research should focus on refining annealing protocols to precisely control nitrogen distribution, exploring alternative noble metals for cost-effective plasmonic enhancement, and expanding pollutant degradation studies to assess real-world applicability. This work establishes a foundation for designing multifunctional photocatalytic systems tailored to sustainable environmental remediation.

Supplementary Materials

The following supporting information can be downloaded at: https://www.mdpi.com/article/10.3390/catal15080701/s1, Figure S1: Comparision of O1s spectra for TiO2 and TiO2/TiN heterostructures after annealing on 600 °C for 4 h; Figure S2: Deconvolution of high resolution XPS of C 1s line region; Figure S3: Schematic illustration of possible charge transfer processes in an illuminated Si/TiN/TiO2 system. Reproduced from ref. [49]. Copyright (2024) Elsevier, with permission from the publisher; Figure S4: The refractive index and extinction coefficient of as deposited (N0_ad) and annealed (N0) TiO2 thin film; Figure S5: Optical constants of as deposited TiN in system substrate/TiN/TiO2; Calculating optical constants n and k [57,58,59,60,61,62].

Author Contributions

Conceptualization, D.P.; methodology, D.P., J.P.G. and T.S.; validation, D.P. and J.P.G.; formal analysis, D.P., J.P.G., T.S., T.Đ. and D.K.; investigation, D.P., V.R., T.S. and D.K.; writing—original draft preparation, J.P.G. and D.P.; writing—review and editing, D.P.; visualization, J.P.G. and T.S.; supervision, D.P.; project administration, D.P. and T.S.; funding acquisition, D.P. All authors have read and agreed to the published version of the manuscript.

Funding

This work was financially supported by the Ministry of Science, Technological Development and Innovation of the Republic of Serbia, contract number 451-03-66/2024-03/200017.

Data Availability Statement

The data presented in this study are available on request from the corresponding author.

Conflicts of Interest

The authors declare no conflicts of interest.

References

  1. Zhao, L.; Deng, J.; Sun, P.; Liu, J.; Ji, Y.; Nakada, N.; Qiao, Z.; Tanaka, H.; Yang, Y. Nanomaterials for treating emerging contaminants in water by adsorption and photocatalysis: Systematic review and bibliometric analysis. Sci. Total. Environ. 2018, 627, 1253–1263. [Google Scholar] [CrossRef] [PubMed]
  2. Ajmal, A.; Majeed, I.; Malik, R.N.; Idriss, H.; Nadeem, M.A. Principles and mechanisms of photocatalytic dye degradation on TiO2 based photocatalysts: A comparative overview. RSC Adv. 2014, 4, 37003–37026. [Google Scholar] [CrossRef]
  3. Schneider, J.; Matsuoka, M.; Takeuchi, M.; Zhang, J.; Horiuchi, Y.; Anpo, M.; Bahnemann, D.W. Understanding TiO2 Photocatalysis: Mechanisms and Materials. Chem. Rev. 2014, 114, 9919–9986. [Google Scholar] [CrossRef] [PubMed]
  4. D’arienzo, M.; Siedl, N.; Sternig, A.; Scotti, R.; Morazzoni, F.; Bernardi, J.; Diwald, O. Solar Light and Dopant-Induced Recombination Effects: Photoactive Nitrogen in TiO2 as a Case Study. J. Phys. Chem. C 2010, 114, 18067–18072. [Google Scholar] [CrossRef]
  5. Wang, Y.-H.; Rahman, K.H.; Wu, C.-C.; Chen, K.-C. A Review on the Pathways of the Improved Structural Characteristics and Photocatalytic Performance of Titanium Dioxide (TiO2) Thin Films Fabricated by the Magnetron-Sputtering Technique. Catalysts 2020, 10, 598. [Google Scholar] [CrossRef]
  6. Lettieri, S.; Pavone, M.; Fioravanti, A.; Amato, L.S.; Maddalena, P. Charge Carrier Processes and Optical Properties in TiO2 and TiO2-Based Heterojunction Photocatalysts: A Review. Materials 2021, 14, 1645. [Google Scholar] [CrossRef] [PubMed]
  7. Yang, F.; Zhang, H.; Wu, Z.-H.; Xiang, L.; Yu, Y.-X. Formation of monodispersed anatase TiO2 spheres from TiOSO4 for enhanced hydrogen evolution of TiO2/g-C3N4 photocatalysts. J. Environ. Chem. Eng. 2024, 12, 114888. [Google Scholar] [CrossRef]
  8. Abidi, M.; Assadi, A.A.; Aouida, S.; Tahraoui, H.; Khezami, L.; Zhang, J.; Amrane, A.; Hajjaji, A. Photocatalytic Activity of Cu2O-Loaded TiO2 Heterojunction Composites for the Simultaneous Removal of Organic Pollutants and Bacteria in Indoor Air. Catalysts 2025, 15, 360. [Google Scholar] [CrossRef]
  9. Popović, M.; Novaković, M.; Pjević, D.; Vaňa, D.; Jugović, D.; Tošić, D.; Noga, P. Investigating on the microstructure and optical properties of Au, Ag and Cu implanted TiN thin films: The effects of surface oxidation and ion-induced defects. J. Alloys Compd. 2023, 976, 173046. [Google Scholar] [CrossRef]
  10. Mohamed, S.; Zhao, H.; Romanus, H.; El-Hossary, F.; El-Kassem, M.A.; Awad, M.; Rabia, M.; Lei, Y. Optical, water splitting and wettability of titanium nitride/titanium oxynitride bilayer films for hydrogen generation and solar cells applications. Mater. Sci. Semicond. Process. 2020, 105, 104704. [Google Scholar] [CrossRef]
  11. Chang, C.-C.; Nogan, J.; Yang, Z.-P.; Kort-Kamp, W.J.M.; Ross, W.; Luk, T.S.; Dalvit, D.A.R.; Azad, A.K.; Chen, H.-T. Highly Plasmonic Titanium Nitride by Room-Temperature Sputtering. Sci. Rep. 2019, 9, 15287. [Google Scholar] [CrossRef] [PubMed]
  12. Chakraborty, A.K.; Ganguli, S.; Sabur, A. Nitrogen doped titanium dioxide (N-TiO2): Electronic band structure, visible light harvesting and photocatalytic applications. J. Water Process Eng. 2023, 55, 104183. [Google Scholar] [CrossRef]
  13. Pelaez, M.; Nolan, N.T.; Pillai, S.C.; Seery, M.K.; Falaras, P.; Kontos, A.G.; Dunlop, P.S.M.; Hamilton, J.W.J.; Byrne, J.A.; O’Shea, K.; et al. A review on the visible light active titanium dioxide photocatalysts for environmental applications. Appl. Catal. B Environ. 2012, 125, 331–349. [Google Scholar] [CrossRef]
  14. Khwansungnoen, P.; Chaiyakun, T.; Suwanboon, S.; Rattana, T. The influence of nitrogen partial pressure on visible-light-driven photocatalytic activity of sputtered titanium oxynitride thin films. Vacuum 2021, 193, 110540. [Google Scholar] [CrossRef]
  15. Sarra-Bournet, C.; Haberl, B.; Charles, C.; Boswell, R. Characterization of nanocrystalline nitrogen-containing titanium oxide obtained by N2/O2/Ar low-field helicon plasma sputtering. J. Phys. D Appl. Phys. 2011, 44, 455202. [Google Scholar] [CrossRef]
  16. Pustovalova, A.; Boytsova, E.; Aubakirova, D.; Bruns, M.; Tverdokhlebov, S.; Pichugin, V. Formation and structural features of nitrogen-doped titanium dioxide thin films grown by reactive magnetron sputtering. Appl. Surf. Sci. 2020, 534, 147572. [Google Scholar] [CrossRef]
  17. Pjević, D.; Savić, T.; Petrović, S.; Peruško, D.; Čomor, M.; Kovač, J. Influence of Nitrogen Incorporation Sites on Structural and Optical Properties of Sputtered TiO2-N Thin Films with Improved Visible Light Activity. ECS J. Solid State Sci. Technol. 2021, 10, 053002. [Google Scholar] [CrossRef]
  18. Guillén, C.; Montero, J.; Herrero, J. Influence of N-doping and air annealing on the structural and optical properties of TiO2 thin films deposited by reactive DC sputtering at room temperature. J. Alloys Compd. 2015, 647, 498–506. [Google Scholar] [CrossRef]
  19. Merenda, A.; Rana, A.; Guirguis, A.K.; Zhu, D.M.; Kong, L.; Dumée, L.F. Enhanced Visible Light Sensitization of N-Doped TiO2 Nanotubes Containing Ti-Oxynitride Species Fabricated via Electrochemical Anodization of Titanium Nitride. J. Phys. Chem. C 2018, 123, 2189–2201. [Google Scholar] [CrossRef]
  20. Ramos, R.; Scoca, D.; Merlo, R.B.; Marques, F.C.; Alvarez, F.; Zagonel, L.F. Study of nitrogen ion doping of titanium dioxide films. Appl. Surf. Sci. 2018, 443, 619–627. [Google Scholar] [CrossRef]
  21. Pisarek, M.; Krawczyk, M.; Hołdyński, M.; Lisowski, W. Plasma Nitriding of TiO2 Nanotubes: N-Doping in Situ Investigations Using XPS. ACS Omega 2020, 5, 8647–8658. [Google Scholar] [CrossRef] [PubMed]
  22. Mirzaei, A.; Eddah, M.; Roualdes, S.; Ma, D.; Chaker, M. Multiple-homojunction gradient nitrogen doped TiO2 for photocatalytic degradation of sulfamethoxazole, degradation mechanism, and toxicity assessment. Chem. Eng. J. 2021, 422, 130507. [Google Scholar] [CrossRef]
  23. Chen, Y.; Wang, Y.; Li, W.; Yang, Q.; Hou, Q.; Wei, L.; Liu, L.; Huang, F.; Ju, M. Enhancement of photocatalytic performance with the use of noble-metal-decorated TiO2 nanocrystals as highly active catalysts for aerobic oxidation under visible-light irradiation. Appl. Catal. B Environ. 2017, 210, 352–367. [Google Scholar] [CrossRef]
  24. Subramanian, V.; Wolf, E.; Kamat, P.V. Semiconductor–Metal Composite Nanostructures. To What Extent Do Metal Nanoparticles Improve the Photocatalytic Activity of TiO2 Films? J. Phys. Chem. B 2001, 105, 11439–11446. [Google Scholar] [CrossRef]
  25. Manuel, A.P.; Shankar, K. Hot Electrons in TiO2–Noble Metal Nano-Heterojunctions: Fundamental Science and Applications in Photocatalysis. Nanomaterials 2021, 11, 1249. [Google Scholar] [CrossRef] [PubMed]
  26. Dozzi, M.V.; Prati, L.; Canton, P.; Selli, E. Effects of gold nanoparticles deposition on the photocatalytic activity of titanium dioxide under visible light. Phys. Chem. Chem. Phys. 2009, 11, 7171–7180. [Google Scholar] [CrossRef] [PubMed]
  27. Afriani, F.; Tiandho, Y.; Hapidin, D.A.; Dwivany, F.M.; Khairurrijal, K. Optical absorption enhancement of TiO2 via plasmonic effect of gold nanoparticles in volatile organic compounds medium. Comput. Mater. Sci. 2023, 230, 112462. [Google Scholar] [CrossRef]
  28. Stevanovic, A.; Ma, S.; Yates, J.J.T. Effect of Gold Nanoparticles on Photoexcited Charge Carriers in Powdered TiO2–Long Range Quenching of Photoluminescence. J. Phys. Chem. C 2014, 118, 21275–21280. [Google Scholar] [CrossRef]
  29. Cojocaru, B.; Neaţu, Ş.; Sacaliuc-Pârvulescu, E.; Lévy, F.; Pârvulescu, V.I.; Garcia, H. Influence of gold particle size on the photocatalytic activity for acetone oxidation of Au/TiO2 catalysts prepared by dc-magnetron sputtering. Appl. Catal. B Environ. 2011, 107, 140–149. [Google Scholar] [CrossRef]
  30. Jung, J.M.; Wang, M.; Kim, E.J.; Park, C.; Hahn, S.H. Enhanced photocatalytic activity of Au-buffered TiO2 thin films prepared by radio frequency magnetron sputtering. Appl. Catal. B Environ. 2008, 84, 389–392. [Google Scholar] [CrossRef]
  31. Vahl, A.; Veziroglu, S.; Henkel, B.; Strunskus, T.; Polonskyi, O.; Aktas, O.C.; Faupel, F. Pathways to Tailor Photocatalytic Performance of TiO2 Thin Films Deposited by Reactive Magnetron Sputtering. Materials 2019, 12, 2840. [Google Scholar] [CrossRef] [PubMed]
  32. Thakur, S.; Ojha, A.; Kansal, S.K.; Gupta, N.K.; Swart, H.C.; Cho, J.; Kuznetsov, A.; Sun, S.; Prakash, J. Advances in powder nano-photocatalysts as pollutant removal and as emerging contaminants in water: Analysis of pros and cons on health and environment. Adv. Powder Mater. 2024, 3, 100233. [Google Scholar] [CrossRef]
  33. Milićević, N.; Novaković, M.; Potočnik, J.; Milović, M.; Rakočević, L.; Abazović, N.; Pjević, D. Influencing surface phenomena by Au diffusion in buffered TiO2-Au thin films: Effects of deposition and annealing processing. Surf. Interfaces 2022, 30, 101811. [Google Scholar] [CrossRef]
  34. Yang, K.; Dai, Y.; Huang, B. Study of the Nitrogen Concentration Influence on N-Doped TiO2 Anatase from First-Principles Calculations. J. Phys. Chem. C 2007, 111, 12086–12090. [Google Scholar] [CrossRef]
  35. Oladoye, P.O.; Ajiboye, T.O.; Omotola, E.O.; Oyewola, O.J. Methylene blue dye: Toxicity and potential elimination technology from wastewater. Results Eng. 2022, 16, 100678. [Google Scholar] [CrossRef]
  36. Houas, A.; Lachheb, H.; Ksibi, M.; Elaloui, E.; Guillard, C.; Herrmann, J.M. Photocatalytic degradation pathway of methylene blue in water. Appl. Catal. B Environ. 2001, 31, 145–157. [Google Scholar] [CrossRef]
  37. Golonko, A.; Lewandowska, H.; Świsłocka, R.; Jasińska, U.; Priebe, W.; Lewandowski, W. Curcumin as tyrosine kinase inhibitor in cancer treatment. Eur. J. Med. Chem. 2019, 181, 111512. [Google Scholar] [CrossRef] [PubMed]
  38. Jeanguenat, A.; Lamberth, C. Sulfur-based functional groups in agrochemistry. Pest Manag. Sci. 2023, 79, 2647–2663. [Google Scholar] [CrossRef] [PubMed]
  39. Biesinger, M.C.; Payne, B.P.; Grosvenor, A.P.; Lau, L.W.M.; Gerson, A.R.; Smart, R.S.C. Resolving surface chemical states in XPS analysis of first row transition metals, oxides and hydroxides: Cr, Mn, Fe, Co and Ni. Appl. Surf. Sci. 2011, 257, 2717–2730. [Google Scholar] [CrossRef]
  40. Atrei, A.; Bardi, U.; Rovida, G. Structure and composition of the titanium oxide layers formed by low-pressure oxidation of the Ni94Ti6(110) surface. Surf. Sci. 1997, 391, 216–225. [Google Scholar] [CrossRef]
  41. Mendoza, S.M.; Vergara, L.I.; Passeggi, M.C.G., Jr.; Ferrón, J. Metal–metal and metal–oxide interaction effects on thin film oxide formation: The Ti/TiO2 and TiO2/Ti cases. Appl. Surf. Sci. 2003, 211, 236–243. [Google Scholar] [CrossRef]
  42. Di Valentin, C.; Finazzi, E.; Pacchioni, G.; Selloni, A.; Livraghi, S.; Paganini, M.C.; Giamello, E. N-doped TiO2: Theory and experiment. Chem. Phys. 2007, 339, 44–56. [Google Scholar] [CrossRef]
  43. Chen, X.; Wang, X.; Hou, Y.; Huang, J.; Wu, L.; Fu, X. The effect of postnitridation annealing on the surface property and photocatalytic performance of N-doped TiO2 under visible light irradiation. J. Catal. 2008, 255, 59–67. [Google Scholar] [CrossRef]
  44. Sittishoktram, M.; Ketsombun, E.; Jutarosaga, T. Optical properties of DC sputtered titanium dioxide/gold thin films. In Proceedings of the Siam Physics Congress 2017 (SPC2017), Rayong, Thailand, 24–26 May 2017. [Google Scholar]
  45. Irie, H.; Watanabe, Y.; Hashimoto, K. Nitrogen-Concentration Dependence on Photocatalytic Activity of TiO2−xNx Powders. J. Phys. Chem. B 2003, 107, 5483–5486. [Google Scholar] [CrossRef]
  46. Sun, Z.; Pichugin, V.; Evdokimov, K.; Konishchev, M.; Syrtanov, M.; Kudiiarov, V.; Li, K.; Tverdokhlebov, S. Effect of nitrogen-doping and post annealing on wettability and band gap energy of TiO2 thin film. Appl. Surf. Sci. 2020, 500, 144048. [Google Scholar] [CrossRef]
  47. Khan, S.; Ruwer, T.L.; Khan, N.; Köche, A.; Lodge, R.W.; Coelho-Júnior, H.; Sommer, R.L.; Santos, M.J.L.; Malfatti, C.F.; Bergmann, C.P.; et al. Revealing the true impact of interstitial and substitutional nitrogen doping in TiO2 on photoelectrochemical applications. J. Mater. Chem. A 2021, 9, 12214–12224. [Google Scholar] [CrossRef]
  48. Zeng, L.; Song, W.; Li, M.; Jie, X.; Zeng, D.; Xie, C. Comparative study on the visible light driven photocatalytic activity between substitutional nitrogen doped and interstitial nitrogen doped TiO2. Appl. Catal. A Gen. 2014, 488, 239–247. [Google Scholar] [CrossRef]
  49. Novaković, M.; Pjević, D.; Vaňa, D.; Noga, P.; Rajić, V.; Popović, M. Enhancement of photocatalytic activity by thermal annealing of Au, Ag, and Cu implanted TiN thin films. Ceram. Int. 2024, 50, 46069–46080. [Google Scholar] [CrossRef]
  50. Fukina, D.; Koryagin, A.; Titaev, D.; Suleimanov, E.; Smirnova, L. Preparation and photocatalytic properties of titanium dioxide modified with gold or silver nanoparticles. J. Environ. Chem. Eng. 2021, 9, 106078. [Google Scholar] [CrossRef]
  51. Liu, L.; He, A. Optical and Electrochemical Study on the Performance of Au@TiO2 core-shell Heterostructured Nanoparticles as Photocatalyst for Photodegradation of Methylene Blue under Solar-light Irradiation. Int. J. Electrochem. Sci. 2022, 17, 220636. [Google Scholar] [CrossRef]
  52. Miyagi, T.; Takahashi, Y.; Akimoto, Y. Characterization of photocatalytic hybrid TiO2–WOX thin films deposited via co-sputtering. Thin Solid Films 2023, 789, 140195. [Google Scholar] [CrossRef]
  53. Zhou, D.; Liu, Y.; Zhang, W.; Liang, W.; Yang, F. Au-TiO2 nanofilms for enhanced photocatalytic activity. Thin Solid Films 2017, 636, 490–498. [Google Scholar] [CrossRef]
  54. Zhang, S.; Yang, J.; Wu, R.; Li, D.; Zhang, X.; Zheng, M.; Jiang, Y.; Ma, H.; Yang, D.; Yu, X. Scalable single-step deposition of recyclable TiO2@Au monolayer coatings for enhanced visible-light photocatalysis of methylene blue dye. RSC Adv. 2025, 15, 14264–14272. [Google Scholar] [CrossRef] [PubMed]
  55. Naas, L.-A.; Bouaouina, B.; Bensouici, F.; Mokeddem, K.; Abaidia, S.E. Effect of TiN thin films deposited by oblique angle sputter deposition on sol-gel coated TiO2 layers for photocatalytic applications. Thin Solid Films 2024, 793, 140275. [Google Scholar] [CrossRef]
  56. Owens, D.K.; Wendt, R.C. Estimation of the surface free energy of polymers. J. Appl. Polym. Sci. 1969, 13, 1741–1747. [Google Scholar] [CrossRef]
  57. Manley, P.; Yin, G.; Schmid, M. A method for calculating the complex refractive index of inhomogeneous thin films. J. Phys. D Appl. Phys. 2014, 47, 205301. [Google Scholar] [CrossRef]
  58. Yin, G.; Manley, P.; Schmid, M. Influence of substrate and its temperature on the optical constants of CuIn1−xGaxSe2 thin films. J. Phys. D Appl. Phys. 2014, 47, 135101. [Google Scholar] [CrossRef][Green Version]
  59. Yin, G.; Merschjann, C.; Schmid, M. The effect of surface roughness on the determination of optical constants of CuInSe2 and CuGaSe2 thin films. J. Appl. Phys. 2013, 113, 213510. [Google Scholar] [CrossRef]
  60. Wang, Z.; Helmersson, U.; Käll, P.-O. Optical properties of anatase TiO2 thin films prepared by aqueous sol–gel process at low temperature. Thin Solid Films 2002, 405, 50–54. [Google Scholar] [CrossRef]
  61. BioGnost Ltd. Microscopy and Laboratory Diagnostics. Available online: https://www.biognost.com/wp-content/uploads/2020/03/Microscopy-and-laboratory-diagnostics-2020.pdf (accessed on 1 June 2025).
  62. Patsalas, P.; Kalfagiannis, N.; Kassavetis, S. Optical Properties and Plasmonic Performance of Titanium Nitride. Materials 2015, 8, 3128–3154. [Google Scholar] [CrossRef]
Figure 1. Cross-sectional TEM micrographs, HR-TEM micrographs with corresponding FFTs as insets, and SAED patterns of as-deposited pure TiO2 (ac) and N75 (df) thin films.
Figure 1. Cross-sectional TEM micrographs, HR-TEM micrographs with corresponding FFTs as insets, and SAED patterns of as-deposited pure TiO2 (ac) and N75 (df) thin films.
Catalysts 15 00701 g001
Figure 2. SEM images of thin films after annealing at 600 °C in air, showing the influence of the TiO2/TiN ratio on surface morphology: (a) N0, (b) N25, (c) N50, and (d) N75.
Figure 2. SEM images of thin films after annealing at 600 °C in air, showing the influence of the TiO2/TiN ratio on surface morphology: (a) N0, (b) N25, (c) N50, and (d) N75.
Catalysts 15 00701 g002
Figure 3. EDS mapping of the surface of the annealed TiO2/TiN-Au layer (N75-Au) (a) and obtained EDS spectra with atomic concentration table (b).
Figure 3. EDS mapping of the surface of the annealed TiO2/TiN-Au layer (N75-Au) (a) and obtained EDS spectra with atomic concentration table (b).
Catalysts 15 00701 g003
Figure 4. Survey spectrum of (a) N50 and (b) N50-Au.
Figure 4. Survey spectrum of (a) N50 and (b) N50-Au.
Catalysts 15 00701 g004
Figure 5. Deconvoluted spectra of Ti 2p line for surface (a) and subsurface (b) regions on TiO2 (N50) sample.
Figure 5. Deconvoluted spectra of Ti 2p line for surface (a) and subsurface (b) regions on TiO2 (N50) sample.
Catalysts 15 00701 g005
Figure 6. Deconvoluted high-resolution N1s spectra for TiO2/TiN heterostructures: (a) N0, (b) N25, (c) N50, and (d) N75 after annealing at 600 °C for 4 h.
Figure 6. Deconvoluted high-resolution N1s spectra for TiO2/TiN heterostructures: (a) N0, (b) N25, (c) N50, and (d) N75 after annealing at 600 °C for 4 h.
Catalysts 15 00701 g006
Figure 7. Transmission spectra of annealed TiO2/TiN thin films on glass substrates (a) and corresponding Tauc plots for TiO2/TiN thin films, denoted as N0, N25, N50, and N75 (b).
Figure 7. Transmission spectra of annealed TiO2/TiN thin films on glass substrates (a) and corresponding Tauc plots for TiO2/TiN thin films, denoted as N0, N25, N50, and N75 (b).
Catalysts 15 00701 g007
Figure 8. Water droplets on samples (a) N0, (b) N25, (c) N50, (d) N75, and diiodomethane droplets on samples (e) N0, (f) N25, (g) N50, and (h) N75.
Figure 8. Water droplets on samples (a) N0, (b) N25, (c) N50, (d) N75, and diiodomethane droplets on samples (e) N0, (f) N25, (g) N50, and (h) N75.
Catalysts 15 00701 g008
Figure 9. Temporal changes in the UV-Vis absorption spectra of MB (3 ppm) for (a) N0, (b) N25, (c) N50, and (d) N75 samples.
Figure 9. Temporal changes in the UV-Vis absorption spectra of MB (3 ppm) for (a) N0, (b) N25, (c) N50, and (d) N75 samples.
Catalysts 15 00701 g009
Figure 10. Temporal changes in the UV-Vis absorption spectra of MB (3 ppm) for (a) N0-Au, (b) N25-Au, (c) N50-Au, and (d) N75-Au samples.
Figure 10. Temporal changes in the UV-Vis absorption spectra of MB (3 ppm) for (a) N0-Au, (b) N25-Au, (c) N50-Au, and (d) N75-Au samples.
Catalysts 15 00701 g010
Figure 11. Comparative kinetic curves of photocatalytic degradation of 3 ppm MB dye under solar-simulated light: (a) Curves for N0, N25, N50, and N75 layers. (b) Curves for Au-functionalized layers: N0-Au, N25-Au, N50-Au, and N75-Au. (c) Reproducibility of photocatalytic activity for N50 over 3 cycles of 4 h tests.
Figure 11. Comparative kinetic curves of photocatalytic degradation of 3 ppm MB dye under solar-simulated light: (a) Curves for N0, N25, N50, and N75 layers. (b) Curves for Au-functionalized layers: N0-Au, N25-Au, N50-Au, and N75-Au. (c) Reproducibility of photocatalytic activity for N50 over 3 cycles of 4 h tests.
Catalysts 15 00701 g011
Table 2. Contact angle values and surface energy for TiN/TiO2 thin films.
Table 2. Contact angle values and surface energy for TiN/TiO2 thin films.
SampleContact Angle (Water)/°Contact Angle (Diiodomethane)/°Surface Energy/mJcm−1
Polar ComponentDispersive Component
N073.041.76.338.7
N2564.339.110.140.0
N5060.833.811.142.5
N7558.834.912.342.0
Table 3. Comparison of photocatalytic performance of Au-modified TiO2 nanopowders and thin films under visible light.
Table 3. Comparison of photocatalytic performance of Au-modified TiO2 nanopowders and thin films under visible light.
MaterialPreparation MethodAu MorphologyAu Montent (NPs Size)PollutantDecompositionIllumination TimeRef
Nanopowders
TiO2-Au (powder)TiO2 + UV photored.NPs5 nmMB80%2 h (UV light)[50]
TiO2-Au (nanoshell)HydrothermalNPs5 nmMB90%60 min (solar simulated)[51]
ThinFilms
TiO2/WOxRF sputtering--MB20% 9 h (visible light)[52]
TiO2-AuMagnetron sputteringNanoclusters5 nmMB40% 6 h (visible light)[53]
TiO2-AuInterfacial pyrolytic assemblyNP5–20 nmMB64%3 h (visible light)[54]
TiO2/TiN Sol-gel dip coating/sputtering--MB55%4 h (UV light)[55]
TiO2-Au DC sputteringBuffered continuous film15 nmRdB37%4 h (solar simulated)[33]
TiN/TiO2-Au DC sputtering+ ion implantationNanoclusters5–10 nmMB33%4 h (solar simulated)[50]
TiO2/TiN-Au (thin film)DC sputteringBuffered continuous film5 nm MB44.5%4 h (solar simulated)Present work
Disclaimer/Publisher’s Note: The statements, opinions and data contained in all publications are solely those of the individual author(s) and contributor(s) and not of MDPI and/or the editor(s). MDPI and/or the editor(s) disclaim responsibility for any injury to people or property resulting from any ideas, methods, instructions or products referred to in the content.

Share and Cite

MDPI and ACS Style

Georgijević, J.P.; Stamenković, T.; Đorđević, T.; Kisić, D.; Rajić, V.; Pjević, D. Tailoring TiO2/TiN Bi-Layer Interfaces via Nitrogen Diffusion and Gold Functionalization for Advanced Photocatalysis. Catalysts 2025, 15, 701. https://doi.org/10.3390/catal15080701

AMA Style

Georgijević JP, Stamenković T, Đorđević T, Kisić D, Rajić V, Pjević D. Tailoring TiO2/TiN Bi-Layer Interfaces via Nitrogen Diffusion and Gold Functionalization for Advanced Photocatalysis. Catalysts. 2025; 15(8):701. https://doi.org/10.3390/catal15080701

Chicago/Turabian Style

Georgijević, Jelena P., Tijana Stamenković, Tijana Đorđević, Danilo Kisić, Vladimir Rajić, and Dejan Pjević. 2025. "Tailoring TiO2/TiN Bi-Layer Interfaces via Nitrogen Diffusion and Gold Functionalization for Advanced Photocatalysis" Catalysts 15, no. 8: 701. https://doi.org/10.3390/catal15080701

APA Style

Georgijević, J. P., Stamenković, T., Đorđević, T., Kisić, D., Rajić, V., & Pjević, D. (2025). Tailoring TiO2/TiN Bi-Layer Interfaces via Nitrogen Diffusion and Gold Functionalization for Advanced Photocatalysis. Catalysts, 15(8), 701. https://doi.org/10.3390/catal15080701

Note that from the first issue of 2016, this journal uses article numbers instead of page numbers. See further details here.

Article Metrics

Back to TopTop