Next Article in Journal
Supported TiO2 Photocatalysis of Spiked Contaminants in Water and Municipal Wastewater
Previous Article in Journal
Evaluation of Vacuum Residue Decomposition Kinetics with a Catalyst by Thermogravimetric Analysis
 
 
Font Type:
Arial Georgia Verdana
Font Size:
Aa Aa Aa
Line Spacing:
Column Width:
Background:
Article

Mild and Effective Decatungstate-Catalyzed Degradation of Methyl Orange Under Visible Light

1
College of Materials Science and Engineering, Guiyang University, Guiyang 550003, China
2
School of Pharmaceutical Sciences, Hunan University of Medicine, Huaihua 418000, China
3
School of Pharmacy, Xi’an Jiaotong University, Xi’an 710049, China
*
Authors to whom correspondence should be addressed.
These authors contributed equally to this work.
Catalysts 2025, 15(5), 494; https://doi.org/10.3390/catal15050494
Submission received: 7 April 2025 / Revised: 29 April 2025 / Accepted: 9 May 2025 / Published: 20 May 2025
(This article belongs to the Section Photocatalysis)

Abstract

Decatungstate (DT) is a highly promising photocatalyst for dioxygen (O2)-based reactions but has hardly been applied in the photocatalytic degradation technology of dye. Here, we synthesized hydrophilic DT–SO3H salts by incorporating tetra-alkyl cations with sulfonic acid groups, aiming to enhance both the water solubility and catalytic efficiency of DT under visible light. Comprehensive characterization of DT–SO3H using ultraviolet–visible spectroscopy (UV–Vis), Fourier Transform Infrared Spectroscopy (FT-IR), X-ray photoelectron spectroscopy (XPS), Photocurrent (PTC), and Electrochemical Impedance Spectroscopy (EIS) confirmed its improved properties. DT–SO3H demonstrated outstanding photocatalytic performance, achieving 90% degradation of methyl orange within 25 min under continuous visible light irradiation. This study presents a cost-effective and efficient method for degrading methyl orange, representing a significant advancement in the development of high-performance photocatalysts and opening new avenues for the study and application of photocatalytic dye degradation technologies.

Graphical Abstract

1. Introduction

The utilization of molecular oxygen (O2) in photocatalytic oxidation systems has increasingly fascinated researchers due to its exceptional characteristics, such as cleanliness, minimal energy consumption, high efficiency, and absence of secondary pollution [1]. Among them, decatungstate (DT), distinguished by its unique photophysical and chemical properties [2,3,4,5], has significantly advanced the field of photocatalysis in recent years. Notably, DT has demonstrated remarkable efficacy in facilitating the synthesis of diverse organic compounds under mild photocatalytic conditions, including the photocatalyzed oxidation of aliphatic and aromatic alcohols [6,7,8,9,10], alkanes [11,12,13,14,15,16], and alkenes [17,18,19,20]. Despite its promising properties, the application of DT in organic synthesis is hindered by inherent limitations such as structural instability, low excitation efficiency, and limited visible light absorption. In response to these problems, various strategies have been devised to enhance DT-based photocatalytic systems. These include impregnating DT onto solid matrices [17,18], incorporating DT into sol–gel networks [21,22], binding DT onto silica surfaces [23,24], attaching DT to ion-exchange resins [25], encapsulating DT within polymer membranes [26,27,28], etc. Collectively, continued research into optimizing DT-based systems will contribute to more sophisticated and versatile applications in organic synthesis.
Methyl orange (MO) is a commonly utilized azo dye in the textile industry, known for its intense coloration, resistance to photolysis, and chemical stability [29]. While these properties enhance its utility as a dye, they also pose significant challenges for wastewater treatment, as it is difficult to decompose once it enters the environment [30]. Traditional methods, such as physical precipitation, filtration, chemical precipitation, chemical oxidation, and biological processes, often prove inadequate for the efficient and economical degradation of MO [31]. Thus, finding efficient and cost-effective ways to degrade MO in wastewater has become a pressing issue for the textile industry. For instance, Zhu et al. utilized sodium DT as a catalyst for the UV-induced degradation of MO, achieving notable efficiency (30 min, pH = 2, 100%) in breaking down the dye (20 mg/L) [32]. Niu et al. developed titanium dioxide–DT nanocomposite films in the presence of H2O2, which demonstrated high degradation rates (90 min, 88.8%) of MO (20 mg/L) under UV light [33]. Nevertheless, the dependence on UV light in these systems presents a significant constraint and poses practical challenges for large-scale industrial applications. Consequently, developing more effective and scalable solutions for MO degradation that can operate under visible light conditions would reduce energy consumption and enhance feasibility for industrial use.
Despite significant progress having been made in utilizing DT for the oxidation of organic compounds in organic media, the water solubility of DT is still far from satisfactory, and its application in aqueous photocatalytic systems has been rarely reported. Therefore, it is markedly challenging and of great importance to incorporate its excellent water solubility and strong catalytic performance into a DT-catalyzed photocatalytic system. In this work, we synthesized hydrophilic DT–SO3H salts using tetra-alkyl cations with sulfonic acid groups. This novel approach aims to enhance both the water solubility and robust catalytic efficiency of DT in aqueous environments. The selection of Na4DT as the benchmark material is based on its status as the prototypical decatungstate salt widely reported in photocatalytic studies [32]. As an unmodified tungsten–oxo cluster with aqueous solubility, Na4DT provides a critical baseline for evaluating the efficacy of our sulfonic acid functionalization strategy. By systematically comparing DT–SO3H with this conventional counterpart, we aim to establish structure–property relationships between cation modification and photocatalytic activity. This comparative framework ensures the meaningful evaluation of our functionalization approach. We characterized the photophysical properties of DT–SO3H using UV–Vis, FT-IR, XPS, TPC, and EIS. Under continuous visible light irradiation, DT–SO3H demonstrated remarkable catalytic efficiency, achieving 90% decolorization of methyl orange within 25 min. Our study presents an efficient and cost-effective method for the photocatalytic degradation of methyl orange under visible light. This innovative method, combining both inter- and intramolecular aggregation, represents a certain breakthrough in creating high-performance photocatalysts for environmental applications.

2. Results and Discussion

2.1. Photocatalytic Oxidation Degradation of Methyl Orange by O2

Figure 1 illustrates the removal efficiency of methyl orange as a function of reaction time for experiments conducted with Na4DT (details of the synthesis process are provided in Supplementary Materials) and DT–SO3H under visible light irradiation. It was found that there is a negligible loss of methyl orange in the control experiment conducted without a catalyst. In contrast, the DT–SO3H catalyst demonstrated a significantly higher degradation rate compared to Na4DT; the removal efficiency of the DT–SO3H catalyst reaches 90% after 25 min of reaction, while the same reaction degree requires a reaction time of more than 50 min for Na4DT.

2.2. Characterization of Catalysts

FT-IR spectra: The FT-IR spectrum of DT–SO3H is shown in Figure 2A. The spectrum features three prominent peaks in the 800–1000 cm−1 range, specifically at 960 cm−1, 860 cm−1, and 804 cm−1. These peaks belong to stretching vibrations of W=Ot (terminal oxygen), W–Ob–W (Ob: bridged oxygen), and W–Oc–W (Oc: central oxygen), respectively, reflecting the structural characteristics of the DT anion [34]. Notably, the second peak at 860 cm−1 appears at a lower wavelength compared to the standard decatungstate signatures reported in literature, suggesting that the presence of tetra-alkyl cations with sulfonic acid groups influences the DT anion structure due to their strong electron-withdrawing effect. Further, the spectrum exhibits four characteristic peaks of the -SO3H group at 1160 cm−1, 1068 cm−1, 620 cm−1, and 535 cm−1 [35], indicating the successful synthesis of the novel hydrophilic DT–SO3H compound.
Liquid UV–Vis spectra: Figure 2B displays the UV–Vis spectrum of DT–SO3H in MeCN. In that, the curve exhibited two characteristic bands at 320 nm and 267 nm. The band at 320 nm is assigned to the charge transitions (CT) of O to W of four linear W–O–W bridge bonds in the photo-active species [W10O32]4− [24]. Meanwhile, the band at 267 nm is attributed to the CT process from oxygen to tungsten in the unstable structural subunit [W5O16]2− [25]. The spectral features observed in UV–Vis analyses suggest the successful synthesis of the DT–SO3H photocatalyst, consistent with the above FT-IR spectrum result.
XPS spectra: To investigate the influence of cations on the DT anion, the XPS spectra for the surface W and O elements of the Na4DT and DT–SO3H catalysts are shown in Figure 3. In Na4DT, the O1s peaks deconvolute into two distinct energy levels at 531.8 eV and 530.5 eV, which are assigned to the W–O–W and W=O groups [36,37], respectively. In contrast, the O1s peaks in the DT–SO3H are shifted to slightly higher binding energies, appearing at 532.1 eV and 530.9 eV (see curve 2 in Figure 3A). Figure 3B displays the W4f spectrum for DT–SO3H, showing peaks at 35.8 eV (W4f7/2), 37.9 eV (W4f5/2), and 41.4 eV (W4f loss feature). These peaks are also shifted to higher energies compared to the corresponding peaks in Na4DT, which appear at 35.6 eV, 37.7 eV, and 41.2 eV, respectively. This upward shift in binding energy for both the W and O elements in DT–SO3H can be attributed to the electrophilic effect of the tetra-alkyl cation with the -SO3H group. The increased binding energy suggests a reduction in electron density and a weakened electron screening effect [38,39,40].
Photocurrent and electrochemical impedance: Photocurrent (PTC) and electrochemical impedance (EIS) measurements of Na4DT and DT–SO3H were tested, and the obtained curves are displayed in Figure 4. Obviously, Na4DT exhibits a low PTC response (curve 1, Figure 4A), attributed to the rapid recombination of photo-generated electron–hole pairs [41]. In contrast, DT–SO3H demonstrates a significantly higher PTC response, attributed to the enhanced effect of the tetra-alkyl cation with -SO3H on the separation and migration efficiency of photo-generated charge pairs, acting as excellent electron acceptors. Additionally, EIS measurements were employed to further elucidate the charge transfer kinetics for them. The impedance radius of DT–SO3H is smaller than that of Na4DT to some extent (Figure 4B), suggesting a reduction in interface resistance between the working electrode and the catalyst film for the DT anion [42]. This reduction in the impedance radius correlates with lower resistance in the charge transfer process, indicating the beneficial influence of the tetra-alkyl cation with -SO3H [43].
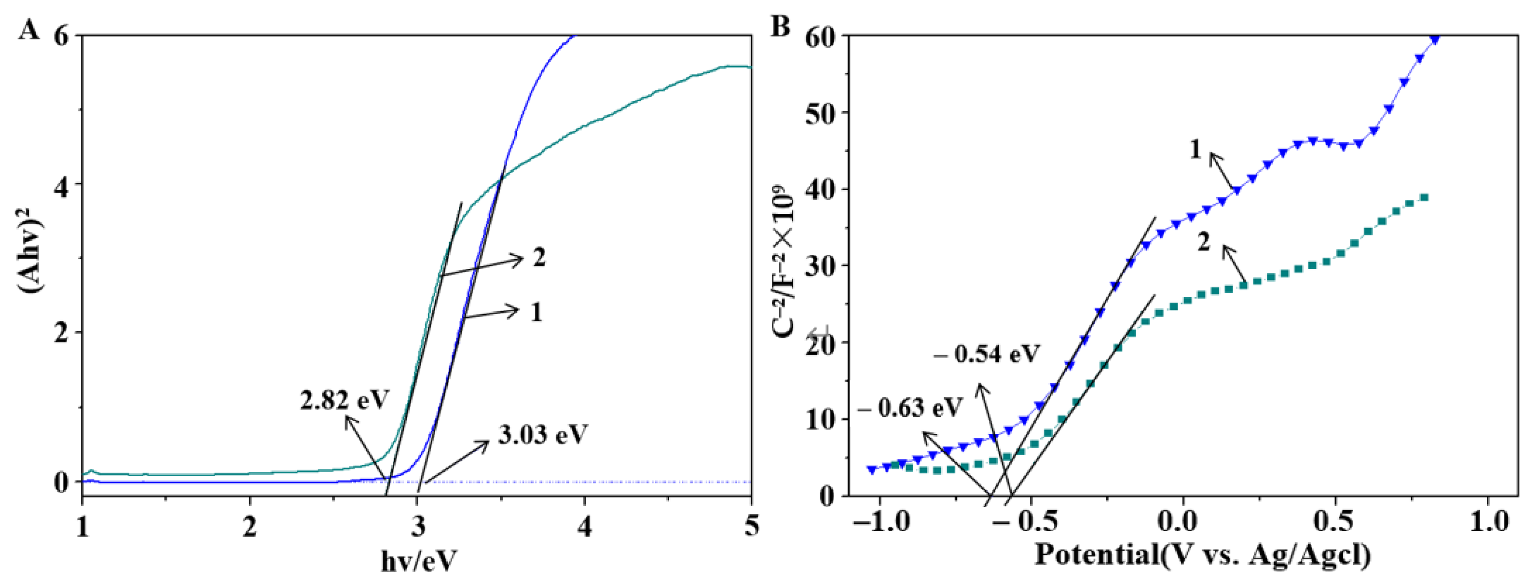
Frontier Orbital Energy Levels: To explore the effect of the tetra-alkyl cation on the frontier orbital energy levels of DT anions, Mott–Schottky and UV–Vis diffuse reflectance spectroscopy were conducted on two catalysts: Na4DT and DT–SO3H. The relationship between the absorption coefficient (A) and the incident photon energy (hν) is Ahν = C1 (hν − Eg) [44,45], where C1 is the light absorption constant and Eg is the band gap energy of the photocatalyst. By applying this formula to analyze the UV–Vis diffuse reflectance data, Tauc curves were obtained (Figure 5A). Subsequent tangent processing of these curves enabled the analysis of the energy bands for Na4DT and DT–SO3H; the gap energies Eg are 3.03 eV and 2.82 eV. The smaller band gap energy observed for DT–SO3H compared to Na4DT suggests that the tetra-alkyl cation with -SO3H contributes to improved utilization of visible light by DT. The flat band potential (EFB) of photocatalysts is typically derived from the Mott–Schottky curve [46]. Figure 5B illustrates the Schottky curves for the aforementioned DTs. It is evident that all DT catalysts exhibit n-type semiconductor behavior [47]. The EFB values for Na4DT and DT–SO3H are determined to be −0.63 eV and −0.54 eV, respectively, while the EFB of n-type semiconductors is equal to the Fermi level (EF), and ECB is approximately equal to EF [48]. Thus, the ECB of the above several DTs is approximately equal to EFB, and the calculated EVB of Na4DT and DT–SO3H is 2.40 eV and 2.28 eV, respectively, combined with the value of Eg (Eg = EVB − ECB). This indicates that the tetra-alkyl cation can affect the frontier orbital energy levels of DT.

3. Experimental

3.1. Preparation of the Photocatalysts

All chemicals used were of analytical reagent (AR) grade and were utilized directly without any further treatment.
Synthesis of the novel decatungstate: According to the previously reported methods [49,50], the synthesis of DT salt is described as follows: 3.2 g Na2WO4·2H2O was dissolved with 20 mL of water in a three-necked flask (100 mL), and the solution was heated at 85 °C. Subsequently, a certain amount of 3 M HCl aqueous solution was added, reducing the pH to 2.1~2.3. After approximately 5 min, an aqueous solution of 4-(triethylammonio)butane-1-sulfonate bromide (2 M, 2 mL) was gradually added under continuous stirring and stable pH value. Then, the mixture was left to react at 90 °C for 30 min. After, the mixture was concentrated and the white solids (DT–SO3H) were dried at 85 °C under vacuum.

3.2. Characterization

UV–Vis spectra of the samples were dissolved in MeCN and recorded from 200 to 800 nm on an UV-2450 spectrophotometer (Shimadzu, Tokyo, Japan). UV–Vis diffuse reflectance spectra (DRS) were obtained with a U-3310 spectrophotometer (HITACHI). Transmission FT-IR spectra of the samples were collected in the range of 400 to 4000 cm−1 on a Nicolet Nexus 510 P FT-IR spectroscope using a KBr disk (Madison, WI, USA). X-ray photoelectron spectroscopy (XPS) measurements were conducted on a VG Multi Lab 2000 system with a monochromatic Mg-Kα source operated at 20 kV. The photoelectric current curve of the samples was measured in 0.5 M Na2SO4 solution with 0.3 V bias potential using a three-electrode system and CHI 660E workstation. Electrochemical impedance spectroscopy (EIS) was performed using the same photoelectrochemical test equipment, with the electrolyte replaced by a 0.1 M KCl solution containing 5 mM Fe(CN)63−/4−. In this equipment, platinum wire was the counter electrode and Ag–AgCl was the reference electrode. The working electrode was prepared as follows: 20 mg of the catalyst was ultrasonically dispersed in 1 mL ethanol for 20 min, followed by the addition of 10 µL of Nafion to create a stable slurry. This slurry was then drop-cast onto ITO slices (0.4 mL per slice), forming a working electrode with an effective illumination area of 1 cm2 after the ethanol had completely evaporated. A 300 W xenon lamp equipped with a 420 nm cutoff filter was used to provide visible light for photocurrent measurements.

3.3. Photocatalytic Evaluation Experiments

The photocatalytic oxidation experiments were performed using a custom-designed photoreactor equipped with an ethanol-cooled condenser and an oxygen storage vessel maintained at 1 atm pressure (see Figure S1 in Supporting Information (SI)). A 35 W tungsten–bromine lamp (with an UV light filter; light intensity, 535 mW/cm2) was used as a light source. The whole lighting reaction was operated in the closed reactor under normal temperature and pressure. The detailed operating conditions and analytical method for the oxygenated products can be found in our recent publications [49].

4. Conclusions

To summarize, we obtained hydrophilic DT salts utilizing tetra-alkyl cations with a sulfonic acid group, which were developed for application in the degradation of methyl orange, which has the following merits: (i) photocatalysis is simple and effective; (ii) the DT–SO3H sample possesses improved photophysical and chemical properties compared with Na4DT; (iii) as a green photocatalyst in a homogeneous system, the novel catalyst has a very good degradation effect on simulated methyl orange, which provides a new way for the study of the photocatalytic degradation technology of dyes.

Supplementary Materials

The following supporting information can be downloaded at: https://www.mdpi.com/article/10.3390/catal15050494/s1. Figure S1. The self–assembled photo–reactor used this work. Figure S2 is the structure of the DT–SO3H. Figure S3 Left: (A) The light reaction device with built-in bromine-tungsten lamp. (B) The Electronic transformer (C). The lamp. (D) The lamp holder. Right: The emission spectra of 35 W bromine-tungsten lamp(400–1000 nm). Figure S4 is the UV–vis of Na4DT (9.6 × 10−6 M). Figure S5 is the FT–IR spectrum of Na4DT. Figure S6 is the UV–vis of Na4DT (9.6 × 10−3 M) in a visible region.

Author Contributions

L.Y., X.L., F.H., J.M. and H.Z. carried out the experiments, design, and definition of intellectual content. L.Z. and O.W. conducted a literature search. W.W. and J.C. finished the data acquisition, data analysis, and manuscript preparation. X.C., S.Y. and M.L. provided assistance for data acquisition, data analysis, and statistical analysis. L.-L.Y. carried out a literature search, data acquisition, manuscript editing, and manuscript review. All authors have read and agreed to the published version of the manuscript.

Funding

This work was supported by the National Natural Science Foundation (22065004, 52463018), the Science and Technology Management Plan Foundation of Guizhou Province (ZK[2021]040), the Seventh Batch of Guizhou Province High-level Innovative Talent Training Program [2023], the Guizhou Provincial Department of Education Youth Science and Technology Talent Development Project (Qianjiaoji (2024)196), the scientific research funds of Guiyang University (GYU-KY-(2024)), the Youth Guidance Science and Technology Fund Project of Guizhou (2024), and the Youth Guidance Science and Technology Fund Project of Guizhou (Qiankehe (2024)084).

Data Availability Statement

The datasets used and/or analyzed during this current study are available from the corresponding author upon reasonable request.

Conflicts of Interest

The authors declare that they have no known competing financial interests or personal relationships that could have appeared to influence the work reported in this paper.

References

  1. Maldotti, A.; Molinari, A.; Amadelli, R. Photocatalysis with Organized Systems for the Oxofunctionalization of Hydrocarbons by O2. Chem. Rev. 2002, 102, 3811–3836. [Google Scholar] [CrossRef] [PubMed]
  2. Yue, B.; Tang, L.; Zhu, S.; Lin, X. Studies on White Powdery Tungstic Acid-Stability and Photochmistry of Decatungstic Acid in Aqueous Soulution Containing Polyvinyl Alcohol. Chem. J. Chin. Univ. 1998, 19, 1453–1456. [Google Scholar]
  3. Duncan, D.C.; Netzel, T.L.; Hill, C.L. Early-Time Dynamics and Reactivity of Polyoxometalate Excited States. Identification of a Short-Lived LMCT Excited State and a Reactive Long-Lived Charge-Transfer Intermediate following Picosecond Flash Excitation of [W10O32]4− in Acetonitrile. Inorg. Chem. 1995, 34, 4640–4646. [Google Scholar] [CrossRef]
  4. Texier, I.; Giannotti, C.; Malato, S.; Richter, C.; Delaire, J. Solar photodegradation of pesticides in water by sodium decatungstate. Catal. Today 1999, 54, 297–307. [Google Scholar] [CrossRef]
  5. Tanielian, C.; Duffy, K.; Jones, A. Kinetic and Mechanistic Aspects of Photocatalysis by Polyoxotungstates:  A Laser Flash Photolysis, Pulse Radiolysis, and Continuous Photolysis Study. J. Phys. Chem. B 1997, 101, 4276–4282. [Google Scholar] [CrossRef]
  6. Nomiya, K.; Sugie, Y.; Miyazaki, T.; Miwa, M. Catalysis by heteropolyacids-ix. Photocatalytic oxidation of isopropyl alcohol to acetone under oxygen using tetrabutylammonium decatungstate. Polyhedron 1986, 5, 1267–1271. [Google Scholar] [CrossRef]
  7. Nomiya, K.; Sugie, Y.; Amimoto, K.; Miwa, M. Charge-transfer absorption spectra of some tungsten (VI) and molybdenum (VI) polyoxoanions. Polyhedron 1987, 6, 519–524. [Google Scholar] [CrossRef]
  8. Lykakis, I.N.; Tanielian, C. Orfanopoulos, Decatungstate Photocatalyzed Oxidation of Aryl Alkanols. Electron Transfer or Hydrogen Abstraction Mechanism? Org. Lett. 2003, 5, 2875–2878. [Google Scholar] [CrossRef]
  9. Lykakis, I.N.; Tanielian, C.; Seghrouchni, M. Orfanopoulos, Mechanism of decatungstate photocatalyzed oxygenation of aromatic alcohols: Part II. Kinetic isotope effects studies. J. Mol. Catal. A Chem. 2007, 262, 176–184. [Google Scholar] [CrossRef]
  10. Yang, B.; Hu, W.; Wan, F.; Zhang, C.; Liu, Y. Adjusting effect of additives on decatungstate-photocatalyzed HMF oxidation with molecular oxygen under visible light illumination. Chem. Eng. J. 2020, 396, 125345. [Google Scholar] [CrossRef]
  11. Su, A.; Chen, M.; Fu, Z.; Yang, B.; She, J.; Wan, F.; Zhang, C.; Liu, Y. Hybridizing Engineering Strategy of Decatungstate. 2. Regulated Effect of Doping Transition Metal Ions on Photocatalytic Oxidation Performance of (nBu4N)4W10O32. Inorg. Chem. 2020, 59, 7520–7530. [Google Scholar] [CrossRef]
  12. Yang, B.; Zhu, J.; Hu, S.; Deng, Y.; Luo, M.; She, J.; Liu, Y.; Zhang, C.; Tang, S.; Fu, Z. Hybridizing strategy of decatungstate by Au nanoparticles for enhanced photo-catalytic oxidation of hydrocarbons by dioxygens. Appl. Catal. A Gen. 2022, 630, 118473. [Google Scholar] [CrossRef]
  13. Yang, B.; Zhang, H.; Wan, F.; Deng, Y.; Jiang, D.; Zhang, Q.; Liu, Y.; Zhang, C.; Fu, Z. Molybdenum Isomorphously Substituted Decatungstates as Robust and Renewable Photocatalysts for Visible Light-Driven Oxidation of Hydrocarbons by Molecular Oxygen. ChemCatChem 2021, 13, 2253–2261. [Google Scholar] [CrossRef]
  14. Lykakis, I.N.; Orfanopoulos, M. Deuterium kinetic isotope effects in homogeneous decatungstate catalyzed photooxygenation of 1, 1-diphenylethane and 9-methyl-9H-fluorene: Evidence for a hydrogen abstraction mechanism. Tetrahedron Lett. 2005, 46, 7835–7839. [Google Scholar] [CrossRef]
  15. Lykakis, I.N. Orfanopoulos, Photooxidation of aryl alkanes by a decatungstate/triethylsilane system in the presence of molecular oxygen. Tetrahedron Lett. 2004, 45, 7645–7649. [Google Scholar] [CrossRef]
  16. Lykakis, I.N. Orfanopoulos, Decatungstate-Catalyzed Photooxygenation of S-2-Phenylbutane and Cumene via a Free Carbon-Radical Intermediate. Curr. Org. Chem. 2009, 13, 1737–1745. [Google Scholar] [CrossRef]
  17. Molinari, A.; Amadelli, R.; Mazzacani, A.; Sartori, G.; Maldotti, A. Tetralkylammonium and Sodium Decatungstate Heterogenized on Silica:  Effects of the Nature of Cations on the Photocatalytic Oxidation of Organic Substrates. Langmuir 2002, 18, 5400–5405. [Google Scholar] [CrossRef]
  18. Maldotti, A.; Molinari, A.; Varani, G.; Lenarda, M.; Storaro, L.; Bigi, F.; Maggi, R.; Mazzacani, A.; Sartori, G. Immobilization of (n-Bu4N)4W10O32 on Mesoporous MCM-41 and Amorphous Silicas for Photocatalytic Oxidation of Cycloalkanes with Molecular Oxygen. J. Catal. 2002, 209, 210–216. [Google Scholar] [CrossRef]
  19. Lykakis, I.N.; Orfanopoulos, M. Lone Selectivity of the Decatungstate-Sensitized Photooxidation of 1-Substituted Cycloalkenes. Synlett 2004, 12, 2131–2134. [Google Scholar]
  20. Lykakis, I.; Vougioukalakis, G.; Orfanopoulos, M. Homogeneous decatungstate-catalyzed photooxygenation of tetrasubstituted alkenes: A deuterium kinetic isotope effect study. J. Org. Chem. 2006, 71, 8740–8747. [Google Scholar] [CrossRef]
  21. Guo, Y.; Hu, C.; Wang, X.; Wang, Y.; Wang, E.; Zou, Y.; Ding, H.; Feng, S. Microporous Decatungstates:  Synthesis and Photochemical Behavior. Chem. Mater. 2001, 13, 4058–4064. [Google Scholar] [CrossRef]
  22. Molinari, A.; Bratovcic, A.; Magnacca, G.; Maldotti, A. Matrix effects on the photocatalytic oxidation of alcohols by [nBu4N]4W10O32 incorporated into sol-gel silica. Dalton Trans. 2010, 39, 7826–7833. [Google Scholar] [CrossRef] [PubMed]
  23. Maldotti, A.; Molinari, A.; Bigi, F. Selective photooxidation of diols with silica bound W10O324−. J. Catal. 2008, 253, 312–317. [Google Scholar] [CrossRef]
  24. Ni, L.; Ni, J.; Lv, Y.; Yang, P.; Cao, Y. Photooxygenation of hydrocarbons over efficient and reusable decatungstate heterogenized on hydrophobically-modified mesoporous silica. Chem. Commun. 2009, 2171–2173. [Google Scholar] [CrossRef]
  25. Fornal, E.; Giannotti, C. Photocatalyzed oxidation of cyclohexane with heterogenized decatungstate. J. Photochem. Photobiol. A Chem. 2007, 188, 279–286. [Google Scholar] [CrossRef]
  26. Moriguchi, I.; Orishikida, K.; Tokuyama, Y.; Watabe, H.; Kagawa, S.; Teraoka, Y. Photocatalytic Property of a Decatungstate-Containing Bilayer System for the Conversion of 2-Propanol to Acetone. Chem. Mater. 2001, 13, 2430–2435. [Google Scholar] [CrossRef]
  27. Carraro, M.; Gardan, M.; Scorrano, G.; Drioli, E.; Fontananova, E.; Bonchio, M. Solvent-free, heterogeneous photooxygenation of hydrocarbons by Hyflon® membranes embedding a fluorous-tagged decatungstate. Chem. Commun. 2006, 4533–4535. [Google Scholar] [CrossRef]
  28. Su, A.; Chen, M.; Fu, Z.; Yang, B.; She, J.; Wan, F.; Zhang, C.; Liu, Y. Hybridizing engineering strategy of non-lacunary (nBu4N)4W10O32 by carbon quantum dot with remarkably enhanced visible-light-catalytic oxidation performance. Appl. Catal. A Gen. 2019, 587, 117261. [Google Scholar] [CrossRef]
  29. LXu, Y.; Tian, Q.P.; Xu, M.; Xie, S.; Huang, H. Preparation of small of small sand garins/TiO2 and its photocatalytic behaviors in degradation of methylene blue. Ind. Catal. 2022, 30, 45–47. [Google Scholar]
  30. Tao, J.Q.; Wang, Y.Q.; Zhang, Z.M.; Lang, D. Study on the technology of electro Fenton reaction by using MoS2 as co-catalyst. Appl. Chem. Ind. 2020, 49, 3361–3371. [Google Scholar]
  31. Matilainen, A.; Vepsalainen, M.; Sillanpaa, M. Natural organic matter removal by coagulation during drinking water treatment: A review. Adv. Colloid Interface Sci. 2010, 159, 189–197. [Google Scholar] [CrossRef]
  32. Zhuang, H.S.; He, N. Preparation of sodium decatungastate and photocatalytic degradation of methyl orange solution. Ind. Water Treat. 2006, 26, 53–56. [Google Scholar]
  33. Niu, P.; Hao, J.C. Photocatalytic degradation of methyl orange by titanium dioxide-decatungstate nanocomposite films supported on glass slides. Colloids Surf. A Physicochem. Eng. Asp. 2013, 431, 127–132. [Google Scholar] [CrossRef]
  34. Shi, D.; Zhao, J.-W.; Chen, L.; Ma, P.; Wang, J.; Niu, J. Four types of 1D or 2D organic-inorganic hybrids assembled by arsenotungstates and CuII-LnIII/IV heterometals. CrystEngComm 2012, 14, 3108–3119. [Google Scholar] [CrossRef]
  35. Wilson, K.; Lee, A.F.; Macquarrie, D.J.; Clark, J.H. Structure and reactivity of sol–gel sulphonic acid silicas. Appl. Catal. A Gen. 2002, 228, 127–133. [Google Scholar] [CrossRef]
  36. Ženíšek, J.; Ondračka, P.; Čechal, J.; Souček, P.; Holec, D.; Vašina, P. W 4f electron binding energies in amorphous W-B-C systems. Appl. Surf. Sci. 2022, 586, 152824. [Google Scholar] [CrossRef]
  37. Chenakin, S.; Kruse, N. XPS characterization of transition metal oxalates. Appl. Surf. Sci. 2020, 515, 146041. [Google Scholar] [CrossRef]
  38. Zhang, Z.; Huang, J.; Zhang, M.; Yuan, Q.; Dong, B. Ultrathin hexagonal SnS2 nanosheets coupled with g-C3N4 nanosheets as 2D/2D heterojunction photocatalysts toward high photocatalytic activity. Appl. Catal. B-Environ. 2015, 163, 298–305. [Google Scholar] [CrossRef]
  39. Deng, Y.; Tang, L.; Feng, C.; Zeng, G.; Chen, Z.; Wang, J.; Feng, H.; Peng, B.; Liu, Y.; Zhou, Y. Insight into the dual-channel charge-charrier transfer path for nonmetal plasmonic tungsten oxide based composites with boosted photocatalytic activity under full-spectrum light. Appl. Catal. B Environ. 2018, 235, 225–237. [Google Scholar] [CrossRef]
  40. Lei, Z.N.; Wang, W.Q.; Sun, T.; Liu, E.Z.; Gao, T. Efficient photocatalytic H2 evolution over SnS2/twinned Mn0.5Cd0.5S hetero-homojunction with double S-scheme charge transfer routes. J. Mater. Sci. Technol. 2025, 216, 81–92. [Google Scholar] [CrossRef]
  41. Ingrosso, C.; Corricelli, M.; Disha, A.; Fanizza, E.; Bianco, G.V.; Depalo, N.; Panniello, A.; Agostiano, A.; Striccoli, M.; Curri, M.L. Solvent dispersible nanocomposite based on Reduced Graphene Oxide and in-situ decorated gold nanoparticles. Carbon 2019, 152, 777–787. [Google Scholar] [CrossRef]
  42. Shiraishi, Y.; Yasumoto, N.; Imai, J.; Sakamoto, H.; Tanaka, S.; Ichikawa, S.; Ohtani, B.; Hirai, T. Quantum tunneling injection of hot electrons in Au/TiO2 plasmonic photocatalysts. Nanoscale 2017, 9, 8349–8361. [Google Scholar] [CrossRef] [PubMed]
  43. Zou, Y.; Shi, J.-W.; Ma, D.; Fan, Z.; Lu, L.; Niu, C. In situ synthesis of C-doped TiO2@g-C3N4 core-shell hollow nanospheres with enhanced visible-light photocatalytic activity for H2 evolution. Chem. Eng. J. 2017, 322, 435–444. [Google Scholar] [CrossRef]
  44. Aragon-Martinez, O.H.; Isiordia-Espinoza, M.A.; Galicia, O.; Romo, S.A.; Gómez, A.G.; Romano-Moreno, S.; Martinez-Morales, F. Measurement of levofloxacin in human plasma samples for a reliable and accessible drug monitoring. Clin. Biochem. 2017, 50, 73–79. [Google Scholar] [CrossRef]
  45. Zheng, J.; Chang, F.; Jiao, M.; Xu, Q.; Deng, B.; Hu, X. A visible-light-driven heterojuncted composite WO3/Bi12O17Cl2: Synthesis, characterization, and improved photocatalytic performance. J. Colloid Interface Sci. 2018, 510, 20–31. [Google Scholar] [CrossRef] [PubMed]
  46. Lin, X.; Sun, M.; Gao, B.; Ding, W.; Zhang, Z.; Anandan, S.; Umar, A. Hydrothermally regulating phase composition of TiO2 nanocrystals toward high photocatalytic activity. J. Alloys Compd. 2021, 850, 156653. [Google Scholar] [CrossRef]
  47. Mao, C.; Zuo, F.; Hou, Y.; Bu, X.; Feng, P. In Situ Preparation of a Ti3+ Self-Doped TiO2 Film with Enhanced Activity as Photoanode by N2H4 Reduction. Angew. Chem. Int. Ed. 2014, 53, 10485–10489. [Google Scholar] [CrossRef] [PubMed]
  48. Liu, Z.; Wang, B.; Wu, J.; Dong, Q.; Zhang, X.; Xu, H. Effects of Hydroxylation on PbS Quantum Dot Sensitized TiO2 Nanotube Array Photoelectrodes. Electrochim. Acta 2016, 187, 480–487. [Google Scholar] [CrossRef]
  49. Wu, W.; Fu, Z.; Tang, S.; Zou, S.; Wen, X.; Meng, Y.; Sun, S.; Deng, J.; Liu, Y.; Yin, D. (nBu4N)4W10O32-catalyzed selective oxygenation of cyclohexane by molecular oxygen under visible light irradiation. Appl. Catal. B-Environ. 2015, 164, 113–119. [Google Scholar] [CrossRef]
  50. Yang, B.; Fu, Z.; Su, A.; She, J.; Chen, M.; Tang, S.; Hu, W.; Zhang, C.; Liu, Y. Influence of tetraalkylammonium cations on quality of decatungstate and its photocatalytic property in visible light-triggered selective oxidation of organic compounds by dioxygens. Appl. Catal. B Environ. 2019, 242, 249–257. [Google Scholar] [CrossRef]
Figure 1. Degradation of methyl orange (20 mg/L) under visible light irradiation at room temperature, catalyst (8.5 × 10−4 M).
Figure 1. Degradation of methyl orange (20 mg/L) under visible light irradiation at room temperature, catalyst (8.5 × 10−4 M).
Catalysts 15 00494 g001
Figure 2. FT–IR (A) and UV–Vis (B) of DT–SO3H (9.6 × 10−6 M).
Figure 2. FT–IR (A) and UV–Vis (B) of DT–SO3H (9.6 × 10−6 M).
Catalysts 15 00494 g002
Figure 3. High-resolution (HR) XPS spectrum of Na4DT (A) and DT–SO3H (B).
Figure 3. High-resolution (HR) XPS spectrum of Na4DT (A) and DT–SO3H (B).
Catalysts 15 00494 g003
Figure 4. Photocurrent response (A) and electrochemical impedance spectroscopy (B) of Na4DT (1.0 × 10−5 M) and DT–SO3H (1.0 × 10−5 M).
Figure 4. Photocurrent response (A) and electrochemical impedance spectroscopy (B) of Na4DT (1.0 × 10−5 M) and DT–SO3H (1.0 × 10−5 M).
Catalysts 15 00494 g004
Figure 5. Tauc (A) curves obtained from the UV–Vis DRS spectra and Mott–Schottky curves (B) of samples. 1: Na4DT (1.0 × 10−5 M); 2: DT–SO3H (1.0 × 10−5 M).
Figure 5. Tauc (A) curves obtained from the UV–Vis DRS spectra and Mott–Schottky curves (B) of samples. 1: Na4DT (1.0 × 10−5 M); 2: DT–SO3H (1.0 × 10−5 M).
Catalysts 15 00494 g005
Disclaimer/Publisher’s Note: The statements, opinions and data contained in all publications are solely those of the individual author(s) and contributor(s) and not of MDPI and/or the editor(s). MDPI and/or the editor(s) disclaim responsibility for any injury to people or property resulting from any ideas, methods, instructions or products referred to in the content.

Share and Cite

MDPI and ACS Style

Wu, W.; Yu, L.; Zha, L.; He, F.; Ma, J.; Wu, O.; Zhang, H.; Chen, X.; Yu, S.; Lei, M.; et al. Mild and Effective Decatungstate-Catalyzed Degradation of Methyl Orange Under Visible Light. Catalysts 2025, 15, 494. https://doi.org/10.3390/catal15050494

AMA Style

Wu W, Yu L, Zha L, He F, Ma J, Wu O, Zhang H, Chen X, Yu S, Lei M, et al. Mild and Effective Decatungstate-Catalyzed Degradation of Methyl Orange Under Visible Light. Catalysts. 2025; 15(5):494. https://doi.org/10.3390/catal15050494

Chicago/Turabian Style

Wu, Wenfeng, Lin Yu, Lei Zha, Feifei He, Jiajia Ma, Ouyang Wu, Huanhuan Zhang, Xinlan Chen, Shuyin Yu, Mengjing Lei, and et al. 2025. "Mild and Effective Decatungstate-Catalyzed Degradation of Methyl Orange Under Visible Light" Catalysts 15, no. 5: 494. https://doi.org/10.3390/catal15050494

APA Style

Wu, W., Yu, L., Zha, L., He, F., Ma, J., Wu, O., Zhang, H., Chen, X., Yu, S., Lei, M., Yang, L.-L., Chen, J., & Luo, X. (2025). Mild and Effective Decatungstate-Catalyzed Degradation of Methyl Orange Under Visible Light. Catalysts, 15(5), 494. https://doi.org/10.3390/catal15050494

Note that from the first issue of 2016, this journal uses article numbers instead of page numbers. See further details here.

Article Metrics

Back to TopTop