Nitrone or Oxaziridine? Further Insights into the Selectivity of Imine Oxidation Catalyzed by Methyltrioxorhenium
Abstract
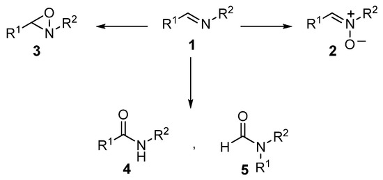
1. Introduction
2. Results
3. Discussion and Conclusions
4. Materials and Methods
Supplementary Materials
Author Contributions
Funding
Data Availability Statement
Acknowledgments
Conflicts of Interest
References
- Ogata, Y.; Sawaki, Y. Peracid Oxidation of Imines. Kinetics of Oxazirane Formation from Benzylidene-tert-butylamines and Perbenzoic Acid. J. Am. Chem. Soc. 1973, 95, 4687–4692. [Google Scholar] [CrossRef]
- Christensen, D.; Jørgensen, K.A. Oxidation of Imines to Nitrones by the Permanganate Ion. J. Org. Chem. 1989, 54, 126–131. [Google Scholar] [CrossRef]
- Boyd, D.R.; Coulter, P.B.; McGuckin, M.R.; Sharma, N.D.; Jennings, W.B.; Wilson, V.E. Imines and derivatives. Part 24. Nitrone synthesis by imine oxidation using either a peroxyacid or dimethyldioxirane. J. Chem. Soc. Perkin Trans. 1 1990, 1990, 301–306. [Google Scholar] [CrossRef]
- Kitagawa, O.; Vander Velde, D.; Dutta, D.; Morton, M.; Takusagawa, F.; Aubé, J. Structural Analysis of β-Tum Mimics Containing a Substituted 6-Aminocaproic Acid Linker. J. Am. Chem. Soc. 1995, 117, 5169–5178. [Google Scholar] [CrossRef]
- Davis, F.A.; Chattopadhyay, S.; Towson, J.C.; Lal, S.; Reddy, T. Chemistry of Oxaziridines. 9. Synthesis of 2-Sulfonyl- and 2-Sulfamyloxaziridines Using Potassium Peroxymonosulfate (Oxone). J. Org. Chem. 1988, 53, 2087–2089. [Google Scholar] [CrossRef]
- Hajipour, A.R.; Pyne, S.G. A rapid and efficient synthesis of oxaziridines and diaryl nitrones using Oxone. J. Chem. Res. (S) 1992, 24, 388. [Google Scholar] [CrossRef]
- Mohajer, D.; Iranpoor, N.; Rezaeifard, A. Simple and highly efficient synthesis of oxaziridines by tetrabutylammonium Oxone®. Tetrahedron Lett. 2004, 45, 631–634. [Google Scholar] [CrossRef]
- Kluge, R.; Schulz, M.; Liebsch, S. Sulfonic Peracids—III. Heteroatom Oxidation and Chemoselectivity. Tetrahedron 1996, 52, 5773–5782. [Google Scholar] [CrossRef]
- Damavandi, J.A.; Karami, B.; Zolfigol, M.A. Selective Oxidation of N-Alkyl Imines to Oxaziridines using UHP/Maleic Anhydride System. Synlett 2002, 6, 933–934. [Google Scholar] [CrossRef]
- Kraïem, J.; Ben Othman, R.; Ben Hassine, B. Synthesis of oxaziridines by oxidation of imines with the trichloroacetonitrile–hydrogen peroxide system. Comptes Rendus Chim. 2004, 7, 1119–1126. [Google Scholar] [CrossRef]
- Shailaja, M.; Manjula, A.; Rao, B.V. An inexpensive and selective oxygenation of N-alkyl imines to oxaziridines. Synlett 2005, 7, 1176–1178. [Google Scholar] [CrossRef]
- Singhal, S.; Jain, S.L.; Prasad, V.V.D.N.; Sain, B. An Environmentally Friendly Oxidation System for the Selective Oxygenation of Aldimines to Oxaziridines with Anhydrous TBHP and Alumina-SupportedMoO3 as a Recyclable Heterogeneous Catalyst. Eur. J. Org. Chem. 2007, 2007, 2051–2054. [Google Scholar] [CrossRef]
- Martiny, L.; Jørgensen, K.A. Oxidation of imines to oxaziridines catalysed by transition metal complexes using molecular oxygen as the terminal oxidant. J. Chem. Soc. Perkin Trans. 1 1995, 1995, 699–704. [Google Scholar] [CrossRef]
- Lin, Y.-M.; Miller, M.J. Oxidation of Primary Amines to Oxaziridines Using Molecular Oxygen (O2) as the Ultimate Oxidant. J. Org. Chem. 2001, 66, 8282–8285. [Google Scholar] [CrossRef]
- Larsen, J.; Jørgensen, K.A.; Christensen, D. Duality of the permanganate ion in the oxidation of imines. Oxidation of imines to amides. J. Chem. Soc. Perkin Trans. 1 1991, 1991, 1187–1190. [Google Scholar] [CrossRef]
- Busqué, F.; de March, P.; Figueredo, M.; Font, J.; Gallagher, T.; Milán, S. Efficient synthesis of (S)-3,4-dihydro-2-pivaloyloxymethyl-2H-pyrrole 1-oxide. Tetrahedron Asymmetry 2002, 13, 437–445. [Google Scholar] [CrossRef]
- Nongkunsarn, P.; Ramsden, C.A. Oxidative Rearrangement of Imines to Formamides using Sodium Perborate. Tetrahedron 1997, 53, 3805–3830. [Google Scholar] [CrossRef]
- An, G.-I.; Kim, M.; Kim, J.Y.; Rhee, H. Oxidation of aldimines to amides by m-CPBA and BF3·OEt2. Tetrahedron Lett. 2003, 44, 2183–2186. [Google Scholar] [CrossRef]
- Llopis, N.; Gisbert, P.; Baeza, A. Direct Synthesis of N,N-Disubstituted Formamides by Oxidation of Imines Using an HFIP/UHP System. J. Org. Chem. 2020, 85, 11072–11079. [Google Scholar] [CrossRef]
- Murahashi, S.-I.; Imada, Y. Synthesis and Transformations of Nitrones for Organic Synthesis. Chem. Rev. 2019, 119, 4684–4716. [Google Scholar] [CrossRef]
- Breuer, E. Nitrones and nitronic acid derivatives: Their structure and their roles in synthesis. In The Chemistry of Amino, Nitroso and Nitro Compounds and Their Derivatives—Part 1; Patai, S., Ed.; Wiley Interscience: New York, NY, USA, 1982; pp. 460–564. [Google Scholar]
- Grigor’ev, I.A. Nitrones: Novel Strategies in Synthesis. In Nitrile Oxides, Nitrones, and Nitronates in Organic Synthesis; Feuer, H., Ed.; John Wiley & Sons: Hoboken, NJ, USA, 2008; pp. 129–434. [Google Scholar]
- Tufariello, J.J. Nitrones. In 1,3-Dipolar Cycloaddition Chemistry; Padwa, A., Ed.; John Wiley & Sons: New York, NY, USA, 1984; Volume 2, pp. 83–168. [Google Scholar]
- Frederickson, M. Optically active isoxazolidines via asymmetric cycloaddition reactions of nitrones with alkenes: Applications in organic synthesis. Tetrahedron 1997, 53, 403–425. [Google Scholar] [CrossRef]
- Gothelf, K.V.; Jørgensen, K.A. Asymmetric 1,3-Dipolar Cycloaddition Reactions. Chem. Rev. 1998, 98, 863–909. [Google Scholar] [CrossRef] [PubMed]
- Goti, A.; Cicchi, S.; Cordero, F.M.; Fedi, V.; Brandi, A. A Straightforward Route to Enantiopure Pyrrolizidines and Indolizidines by Cycloaddition to Pyrroline N-Oxides Derived from the Chiral Pool. Molecules 1999, 4, 1–12. [Google Scholar] [CrossRef]
- Jones, R.C.F.; Martin, J.N. Nitrones. In Synthetic Applications of 1,3-Dipolar Cycloaddition Chemistry Toward Heterocycles and Natural Products; The Chemistry of Heterocyclic Compounds; Padwa, A., Pearson, W.H., Eds.; John Wiley & Sons: New York, NY, USA, 2002; Volume 59, pp. 1–81. [Google Scholar] [CrossRef]
- Brandi, A.; Cardona, F.; Cicchi, S.; Cordero, F.M.; Goti, A. [3 + 2] Dipolar Cycloadditions of Cyclic Nitrones with Alkenes. Org. React. 2017, 94, 1–529. [Google Scholar] [CrossRef]
- Koumbis, A.E.; Gallos, J.K. 1,3-Dipolar Cycloadditions in the Synthesis of Carbohydrate Mimics. Part 2: Nitrones and Oximes. Curr. Org. Chem. 2003, 7, 585–628. [Google Scholar] [CrossRef]
- Bilodeau, D.A.; Margison, K.D.; Serhan, M.; Pezacki, J.P. Bioorthogonal Reactions Utilizing Nitrones as Versatile Dipoles in Cycloaddition Reactions. Chem. Rev. 2021, 121, 6699–6717. [Google Scholar] [CrossRef]
- Brandi, A.; Cardona, F.; Cicchi, S.; Cordero, F.M.; Goti, A. Stereocontrolled Cyclic Nitrone Cycloaddition Strategy for the Synthesis of Pyrrolizidine and Indolizidine Alkaloids. Chem. Eur. J. 2009, 15, 7808–7821. [Google Scholar] [CrossRef]
- Bloch, R. Additions of Organometallic Reagents to C = N Bonds: Reactivity and Selectivity. Chem. Rev. 1998, 98, 1407–1438. [Google Scholar] [CrossRef]
- Enders, D.; Reinhold, U. Asymmetric synthesis of amines by nucleophilic 1,2-addition of organometallic reagents to the CN-double bond. Tetrahedron Asymmetry 1997, 8, 1895–1946. [Google Scholar] [CrossRef]
- Lombardo, M.; Trombini, C. Nucleophilic Additions to Nitrones. Synthesis 2000, 2000, 759–774. [Google Scholar] [CrossRef]
- Merino, P.; Franco, S.; Merchán, F.L.; Tejero, T. Nucleophilic Additions to Chiral Nitrones: New Approaches to Nitrogenated Compounds. Synlett 2000, 2000, 442–454. [Google Scholar] [CrossRef]
- Lombardo, M.; Trombini, C. The Reaction of Nitrones with Organometallic Compounds: Scope, Limitations and Synthetic Applications. Curr. Org. Chem. 2002, 6, 695–713. [Google Scholar] [CrossRef]
- Merino, P. New developments in nucleophilic additions to nitrones. Comptes Rendus Chim. 2005, 8, 775–788. [Google Scholar] [CrossRef]
- Cardona, F.; Goti, A. The Discovery of Novel Metal-Induced Reactions of Nitrones: Not Only Electrophiles and Reagents for [3+2]Cycloadditions. Angew. Chem. Int. Ed. 2005, 44, 7832–7835. [Google Scholar] [CrossRef]
- Janzen, E.G. A critical review of spin trapping in biological systems. In Free Radicals in Biology; Pryor, W.A., Ed.; Academic Press: New York, NY, USA, 1980; pp. 115–154. [Google Scholar]
- Janzen, E.G.; Haire, D.L. Two decades of spin-trapping. In Advances in Free Radical Chemistry; Tanner, D.D., Ed.; JAI Press: Greenwich, CT, USA, 1990; Volume 1, pp. 253–295. [Google Scholar]
- Frejaville, C.; Karoui, H.; Tuccio, B.; Le Moigne, F.; Culcasi, M.; Pietri, S.; Lauricella, R.; Tordo, P. 5-(Diethoxyphosphoryl)-5-methyl-l-pyrroline N-Oxide: A New Efficient Phosphorylated Nitrone for the in Vitro and in Vivo Spin Trapping of Oxygen-Centered Radicals. J. Med. Chem. 1995, 38, 258–265. [Google Scholar] [CrossRef]
- Fevig, T.L.; Bowen, S.M.; Janowick, D.A.; Jones, B.K.; Munson, H.R.; Ohlweiler, D.F.; Thomas, C.E. Design, Synthesis, and in Vitro Evaluation of Cyclic Nitrones as Free Radical Traps for the Treatment of Stroke. J. Med. Chem. 1996, 39, 4988–4996. [Google Scholar] [CrossRef]
- Morozov, D.A.; Kirilyuk, I.A.; Komarov, D.A.; Goti, A.; Bagryanskaya, I.Y.; Kuratieva, N.V.; Grigor’ev, I.A. Synthesis of a Chiral C2-Symmetric Sterically Hindered Pyrrolidine Nitroxide Radical via Combined Iterative Nucleophilic Additions and Intramolecular 1,3-Dipolar Cycloadditions to Cyclic Nitrones. J. Org. Chem. 2012, 77, 10688–10698. [Google Scholar] [CrossRef]
- Floyd, R.A.; Kopke, R.D.; Choi, C.-H.; Foster, S.B.; Doblas, S.; Towner, R.A. Nitrones as therapeutics. Free Radic. Biol. Med. 2008, 45, 1361–1374. [Google Scholar] [CrossRef]
- Villamena, F.A.; Das, A.; Nash, K.M. Potential implication in the chemical properties and bioactivity of nitrone spin traps for therapeutics. Future Med. Chem. 2012, 4, 1171–1207. [Google Scholar] [CrossRef]
- Rosselin, M.; Poeggeler, B.; Durand, G. Nitrone Derivatives as Therapeutics: From Chemical Modification to Specific-targeting. Curr. Top. Med. Chem. 2017, 17, 2006–2022. [Google Scholar] [CrossRef]
- Floyd, R.A. Nitrones as therapeutics in age-related diseases. Aging Cell 2006, 5, 51–57. [Google Scholar] [CrossRef] [PubMed]
- Marco-Contelles, J. Recent Advances on Nitrones Design for Stroke Treatment. J. Med. Chem. 2020, 63, 13413–13427. [Google Scholar] [CrossRef] [PubMed]
- Soldaini, G.; Cardona, F.; Goti, A. Catalytic Oxidation of Imines Based on Methyltrioxorhenium/Urea Hydrogen Peroxide: A Mild and Easy Chemo- and Regioselective Entry to Nitrones. Org. Lett. 2007, 9, 473–476. [Google Scholar] [CrossRef] [PubMed]
- Heaney, H. Novel Organic Peroxygen Reagents for Use in Organic Synthesis. Top. Curr. Chem. 1993, 164, 1–19. [Google Scholar] [CrossRef]
- Herrmann, W.A.; Kühn, F.E. Organorhenium Oxides. Acc. Chem. Res. 1997, 30, 169–180. [Google Scholar] [CrossRef]
- Espenson, J.H. Atom-transfer reactions catalyzed by methyltrioxorhenium(VII)—Mechanisms and applications. Chem. Commun. 1999, 1999, 479–488. [Google Scholar] [CrossRef]
- Nannelli, L.; Goti, A. Synthesis of Nitrones by Methyltrioxorhenium Catalyzed Direct Oxidation of Secondary Amines. Tetrahedron Lett. 1996, 37, 6025–6028. [Google Scholar] [CrossRef]
- Saladino, R.; Neri, V.; Cardona, F.; Goti, A. Oxidation of N,N-Disubstituted Hydroxylamines to Nitrones with Hydrogen Peroxide Catalyzed by Polymer-Supported Methylrhenium Trioxide Systems. Adv. Synth. Catal. 2004, 346, 639–647. [Google Scholar] [CrossRef]
- Cardona, F.; Bonanni, M.; Soldaini, G.; Goti, A. One-Pot Synthesis of Nitrones from Primary Amines and Aldehydes Catalyzed by Methyltrioxorhenium. ChemSusChem 2008, 1, 327–332. [Google Scholar] [CrossRef]
- Jain, S.L.; Singhal, S.; Sain, B. [Bmim]BF4-immobilized rhenium-catalyzed highly efficient oxygenation of aldimines to oxaziridines using solid peroxides as oxidants. J. Organomet. Chem. 2007, 692, 2930–2935. [Google Scholar] [CrossRef]
- Kamath, V.P.; Xue, J.; Juarez-Brambila, J.J.; Morris, C.B.; Ganorkar, R.; Morris, P.E., Jr. Synthesis of analogs of forodesine HCl, a human purine nucleoside phosphorylase inhibitor—Part I. Bioorg. Med. Chem. Lett. 2009, 19, 2624–2626. [Google Scholar] [CrossRef] [PubMed]
- Diez-Martinez, A.; Gultekin, Z.; Delso, I.; Tejero, T.; Merino, P. Synthesis of N-(Benzyloxyethyl)- and N-(Alkoxycarbonylmethyl)nitrones. Synthesis 2010, 4, 678–688. [Google Scholar] [CrossRef]
- Davis, F.A.; Theddu, N.; Edupuganti, R. Asymmetric Total Synthesis of (S)-(+)-Cocaine and the First Synthesis of Cocaine C-1 Analogs from N-Sulfinyl β-Amino Ester Ketals. Org. Lett. 2010, 12, 4118–4121. [Google Scholar] [CrossRef]
- Dong, C.; Dickie, D.A.; Maio, W.A.; Manz, T.A. Synthesis and Characterization of N,N′-Bismesityl Phenanthrene-9,10-diimine and Imine−Nitrone. ACS Omega 2018, 3, 16858–16865. [Google Scholar] [CrossRef]
- Biyani, S.A.; Lytle, C.; Hyun, S.-H.; McGuire, M.A.; Pendyala, R.; Thompson, D.H. Development of a Continuous Flow Synthesis of Lorazepam. Org. Process Res. Dev. 2022, 26, 2715–2727. [Google Scholar] [CrossRef]
- Najjar, R.; Safa, K.D. Methyltrioxorhenium Catalyzed Synthesis of Dinitrones from Primary Diamines and Non-Enolizable Aldehydes. Lett. Org. Chem. 2011, 8, 495–499. [Google Scholar] [CrossRef]
- Merino, P.; Greco, G.; Tejero, T.; Hurtado-Guerrero, R.; Matute, R.; Chiacchio, U.; Corsaro, A.; Pistarà, V.; Romeo, R. Stereoselective 1,3-dipolar cycloadditions of nitrones derived from amino acids. Asymmetric synthesis of N-(alkoxycarbonylmethyl)-3-hydroxypyrrolidin-2-ones. Tetrahedron 2013, 69, 9381–9390. [Google Scholar] [CrossRef]
- Xue, F.; Lu, H.; He, L.; Li, W.; Zhang, D.; Liu, X.-Y.; Qin, Y. Formal Total Syntheses of (−)- and (+)-Actinophyllic Acid. J. Org. Chem. 2018, 83, 754–764. [Google Scholar] [CrossRef]
- Clemente, F.; Matassini, C.; Giachetti, S.; Goti, A.; Morrone, A.; Martínez-Bailén, M.; Orta, S.; Merino, P.; Cardona, F. Piperidine Azasugars Bearing Lipophilic Chains: Stereoselective Synthesis and Biological Activity as Inhibitors of Glucocerebrosidase (GCase). J. Org. Chem. 2021, 86, 12745–12761. [Google Scholar] [CrossRef]
- Singh, B.; Jain, S.L.; Rana, B.S.; Khatri, P.K.; Sinha, A.K.; Sain, B. Silica-Immobilized Highly Dispersed Oxo–Rhenium and its Catalytic Activity for the Direct Synthesis of Nitrones. ChemCatChem 2010, 2, 1260–1264. [Google Scholar] [CrossRef]
- Leung, C.H.; Voutchkova, A.M.; Crabtree, R.H.; Balcells, D.; Eisenstein, O. Atom economic synthesis of amides via transition metal catalyzed rearrangement of oxaziridines. Green Chem. 2007, 9, 976–979. [Google Scholar] [CrossRef]
- Pews, R.G. A Novel Synthesis of 3-Phenyloxaziridines. J. Org. Chem. 1967, 32, 1628. [Google Scholar] [CrossRef]
- Karami, B.; Montazerozohori, M.; Moghadam, M.; Farahi, M. Iron and manganese (III)—Porphyrins as new applicable catalysts for selective oxidation of imines with urea–hydrogen peroxide. J. Chem. Res. 2007, 2007, 275–277. [Google Scholar] [CrossRef]
- Chen, S.; Zhao, K.; Chen, G. Synthesis and Application of Phenyl Nitrone Derivatives as Acidic and Microbial Corrosion Inhibitors. J. Chem. 2015, 2015, 201259. [Google Scholar] [CrossRef]
- Colonna, S.; Pironti, V.; Carrea, G.; Pasta, P.; Zambianchi, F. Oxidation of secondary amines by molecular oxygen and cyclohexanone monooxygenase. Tetrahedron 2004, 60, 569–575. [Google Scholar] [CrossRef]
- Ballard, N.; Aguirre, M.; Simula, A.; Agirre, A.; Leiza, J.R.; Asua, J.M.; van Es, S. New Class of Alkoxyamines for Efficient Controlled Homopolymerization of Methacrylates. ACS Macro Lett. 2016, 5, 1019–1022. [Google Scholar] [CrossRef]
- Chan, K.S.; Yeung, M.L.; Chan, W.-k.; Wang, R.-J.; Mak, T.C.W. Chromium and Tungsten Pentacarbonyl Groups as Reactivity and Selectivity Auxiliaries in [3 + 2] Cycloaddition of Alkynyl Fischer Carbene Complexes with N-Alkyl Nitrones. J. Org. Chem. 1995, 60, 1741–1747. [Google Scholar] [CrossRef]
- Dias, A.G.; Santos, C.E.V.; Cyrino, F.Z.G.A.; Bouskela, E.; Costa, P.R.R. N-tert-Butyl and N-methyl nitrones derived from aromatic aldehydes inhibit macromolecular permeability increase induced by ischemia/reperfusion in hamsters. Bioorg. Med. Chem. 2009, 17, 3995–3998. [Google Scholar] [CrossRef]
- Poulsen, P.H.; Vergura, S.; Monleón, A.; Jørgensen, D.K.B.; Jørgensen, K.A. Controlling Asymmetric Remote and Cascade 1,3-Dipolar Cycloaddition Reactions by Organocatalysis. J. Am. Chem. Soc. 2016, 138, 6412–6415. [Google Scholar] [CrossRef]
- Hammami, R.; Maldivi, P.; Philouze, C.; Carret, S.; Darses, B.; Touil, S.; Poisson, J.-F. Synthesis of 4-Phosphinylpyrrolidin-3-ones via [3+2] Cycloaddition of Nitrones with Phosphinylallenes. Adv. Synth. Catal. 2023, 365, 1385–1390. [Google Scholar] [CrossRef]
- Li, T.-Z.; Liu, S.-J.; Sun, Y.-W.; Deng, S.; Tan, W.; Jiao, Y.; Zhang, Y.-C.; Shi, F. Regio- and Enantioselective (3+3) Cycloaddition of Nitrones with 2-Indolylmethanols Enabled by Cooperative Organocatalysis. Angew. Chem. Int. Ed. 2021, 60, 2355–2363. [Google Scholar] [CrossRef] [PubMed]
- Boudou, C.; Berges, M.; Sagnes, C.; Sopkova-De Oliveira Santos, J.; Perrio, S.; Metzner, P. trans-(±)-2-tert-Butyl-3-phenyloxaziridine: A Unique Reagent for the Oxidation of Thiolates into Sulfenates. J. Org. Chem. 2007, 72, 5403–5406. [Google Scholar] [CrossRef] [PubMed]
- Jo, Y.; Ju, J.; Choe, J.; Song, K.H.; Lee, S. The Scope and Limitation of Nickel-Catalyzed Aminocarbonylation of Aryl Bromides from Formamide Derivatives. J. Org. Chem. 2009, 74, 6358–6361. [Google Scholar] [CrossRef]
- Xia, Q.; Liu, X.; Zhang, Y.; Chen, C.; Chen, W. Copper-Catalyzed N-Methylation of Amides and O-Methylation of Carboxylic Acids by Using Peroxides as the Methylating Reagents. Org. Lett. 2013, 15, 3326–3329. [Google Scholar] [CrossRef]
- Scott, G.D. Method Using Lifespan-Altering Compounds for Altering the Lifespan of Eukaryotic Organisms, and Screening for such Compounds. US20090163545 A1, 25 June 2009. [Google Scholar]
- Wen, X.; Chen, W.; Chen, J. Nickel-catalyzed aminocarbonylation of aryl halides with carbamoylsilanes: Efficient synthesis of secondary (primary) aromatic amides. Appl. Organomet. Chem. 2019, 33, e5174. [Google Scholar] [CrossRef]




| Entry | R | Imine | Solvent (Conc., M) | UHP (Equiv.) | MTO (mol%) | T (°C) | Time (h) | Conversion (%) * | Products (Ratio) * |
|---|---|---|---|---|---|---|---|---|---|
| 1 | Me | 1a | MeOH (0.5) | 3 | 4 | 20 | 24 | 100 | 2a § |
| 2 | MeOH (0.5) | 3 | 2 | 50 | 4 | 100 | 2a ç | ||
| 3 | MeOH (6.0) | 2 | 1 | 20 | 18 | 100 | 4a/2a (1.2:1) ç | ||
| 4 | [bmim]BF4 (6.0) | 2 | 1 | 50 | 3.5 | 74 | 4a ç | ||
| 5 | [bmim]BF4 (6.0) | 2 | 1 | 50 | 18 | 100 | 4a | ||
| 6 | [bmim]BF4 (6.0) | 2 | 1 | 50 | 1 | 39 | 4a ç | ||
| 7 | [bmim]BF4 (0.5) | 3 | 2 | 20 | 18 | 100 | 4a | ||
| 8 | [bmim]BF4 (0.5) | 2 # | 1 | 20 | 20 | 57 | 4a | ||
| 9 | [bmim]PF6 (0.5) | 3 | 2 | 20 | 18 | 100 | 4a/2a (3.8:1) ç | ||
| 10 | nBu | 1b | MeOH (0.5) | 3 | 2 | 20 | 4 | 100 | 2b |
| 11 | MeOH (0.5) | 3 | 2 | 50 | 4 | 62 | 2b | ||
| 12 | [bmim]BF4 (6.0) | 2 | 1 | 50 | 20 | 0 | _ | ||
| 13 | [bmim]PF6 (0.5) | 3 | 2 | 50 | 4 | 80 | 2b | ||
| 14 | iPr | 1c | MeOH (0.5) | 3 | 2 | 20 | 18 | 67 | 2c |
| 15 | MeOH (0.5) | 3 | 4 | 20 | 24 | 100 | 2c $ | ||
| 16 | MeOH (0.5) | 3 | 2 | 50 | 1 | 39 | 2c | ||
| 17 | [bmim]BF4 (6.0) | 2 | 1 | 50 | 20 | 0 | _ | ||
| 18 | cHex | 1d | MeOH (0.5) | 3 | 2 | 20 | 4 | 82 | 2d |
| 19 | MeOH (0.5) | 3 | 4 | 20 | 40 | 100 | 2d & | ||
| 20 | MeOH (0.5) | 3 | 2 | 50 | 4 | 67 | 2d | ||
| 21 | [bmim]BF4 (6.0) | 2 | 1 | 20 | 7 | 0 | _ | ||
| 22 | [bmim]BF4 (6.0) | 2 | 1 | 50 | 20 | 0 | _ | ||
| 23 | [bmim]PF6 (0.5) | 3 | 2 | 20 | 18 | 33 | 2d | ||
| 24 | tBu | 1e | MeOH (0.5) | 3 | 2 | 0 | 5 | 0 | _ |
| 25 | MeOH (0.5) | 3 | 2 | 20 | 5 | 0 | _ | ||
| 26 | MeOH (0.5) | 3 | 2 | 50 | 5 | 0 | _ | ||
| 27 | [bmim]BF4 (6.0) | 2 | 1 | 50 | 20 | 11 | 3e |
| Entry | Ar | Imine | Solvent (Conc., M) | UHP (Equiv.) | MTO (mol%) | T (°C) | Time (h) | Conversion (%) * | Products (Ratio) * |
|---|---|---|---|---|---|---|---|---|---|
| 1 | 4-MeOC6H4 | 1f | MeOH (0.5) | 3 | 2 | 20 | 48 | 100 | 2f |
| 2 | [bmim]BF4 (6.0) | 2 | 1 | 50 | 4 | 45 | 4f | ||
| 3 | [bmim]BF4 (6.0) | 2 | 2 | 50 | 48 | 46 | 4f | ||
| 4 | [bmim]BF4 (0.5) | 3 | 2 | 20 | 20 | 30 | 4f | ||
| 5 | 4-BrC6H4 | 1g | MeOH (0.5) | 3 | 2 | 20 | 20 | 100 | 2g |
| 6 | [bmim]BF4 (6.0) | 2 | 2 | 50 | 48 | 10 | 4g | ||
| 7 | 3-MeO,4-BnOC6H3 | 1h | MeOH (0.5) | 3 | 2 | 20 | 20 | 100 | 2h |
| 8 | [bmim]BF4 (6.0) | 2 | 2 | 50 | 48 | 24 | 4h | ||
| 9 | 2-MeC6H4 | 1i | MeOH (0.5) | 3 | 2 | 20 | 48 | 100 | 2i |
| 10 | [bmim]BF4 (6.0) | 2 | 2 | 50 | 48 | 27 | 4i | ||
| 11 | 4-O2NC6H4 | 1j | MeOH (0.5) | 3 | 2 | 20 | 20 | 82 | 2j/4j (12.7:1) |
| 12 | [bmim]BF4 (6.0) | 2 | 2 | 50 | 48 | 9 | 4j | ||
| 13 | 2-Naphth | 1k | MeOH (0.5) | 3 | 2 | 20 | 20 | 100 | 2k/4k (15.7:1) |
| 14 | [bmim]BF4 (6.0) | 2 | 2 | 50 | 48 | 23 | 4k |
Disclaimer/Publisher’s Note: The statements, opinions and data contained in all publications are solely those of the individual author(s) and contributor(s) and not of MDPI and/or the editor(s). MDPI and/or the editor(s) disclaim responsibility for any injury to people or property resulting from any ideas, methods, instructions or products referred to in the content. |
© 2025 by the authors. Licensee MDPI, Basel, Switzerland. This article is an open access article distributed under the terms and conditions of the Creative Commons Attribution (CC BY) license (https://creativecommons.org/licenses/by/4.0/).
Share and Cite
Matassini, C.; Bonanni, M.; Cardona, F.; Goti, A. Nitrone or Oxaziridine? Further Insights into the Selectivity of Imine Oxidation Catalyzed by Methyltrioxorhenium. Catalysts 2025, 15, 344. https://doi.org/10.3390/catal15040344
Matassini C, Bonanni M, Cardona F, Goti A. Nitrone or Oxaziridine? Further Insights into the Selectivity of Imine Oxidation Catalyzed by Methyltrioxorhenium. Catalysts. 2025; 15(4):344. https://doi.org/10.3390/catal15040344
Chicago/Turabian StyleMatassini, Camilla, Marco Bonanni, Francesca Cardona, and Andrea Goti. 2025. "Nitrone or Oxaziridine? Further Insights into the Selectivity of Imine Oxidation Catalyzed by Methyltrioxorhenium" Catalysts 15, no. 4: 344. https://doi.org/10.3390/catal15040344
APA StyleMatassini, C., Bonanni, M., Cardona, F., & Goti, A. (2025). Nitrone or Oxaziridine? Further Insights into the Selectivity of Imine Oxidation Catalyzed by Methyltrioxorhenium. Catalysts, 15(4), 344. https://doi.org/10.3390/catal15040344

