Solid-Phase Activation During the Degradation of Tetracycline by Modified Activated Carbon–Persulfate Composite
Abstract
1. Introduction
2. Results and Discussion
2.1. Characterization of Materials
2.2. Degradation of TC
2.3. Analysis of TC Degradation Mechanism by Modified Composites
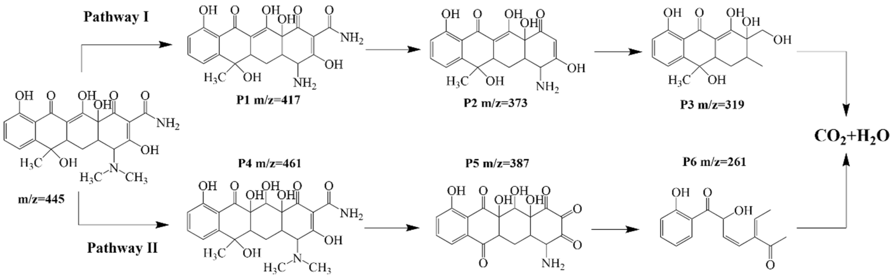
2.4. Degradation Pathways of TC
2.5. Reusability of Materials
3. Experiment
3.1. Reagents and Materials
3.2. Preparation of Materials
3.3. Characterization Methods
3.4. Degradation Experiments
3.5. Analytic Methods
4. Conclusions
Supplementary Materials
Author Contributions
Funding
Data Availability Statement
Conflicts of Interest
References
- Khan, S.; Naushad, M.; Govarthanan, M.; Iqbal, J.; Alfadul, S.M. Emerging contaminants of high concern for the environment: Current trends and future research. Environ. Res. 2022, 207, 112609. [Google Scholar] [CrossRef]
- Thanigaivel, S.; Vinayagam, S.; Gnanasekaran, L.; Suresh, R.; Soto-Moscoso, M.; Chen, W.H. Environmental fate of aquatic pollutants and their mitigation by phycoremediation for the clean and sustainable environment: A review. Environ. Res. 2024, 240, 117460. [Google Scholar] [CrossRef]
- Bhattu, M.; Singh, J. Recent advances in nanomaterials based sustainable approaches for mitigation of emerging organic pollutants. Chemosphere 2023, 321, 138072. [Google Scholar] [CrossRef] [PubMed]
- Scaria, J.; Anupama, K.V.; Nidheesh, P.V. Tetracyclines in the environment: An overview on the occurrence, fate, toxicity, detection, removal methods, and sludge management. Sci. Total Environ. 2021, 771, 145291. [Google Scholar] [CrossRef] [PubMed]
- Lundström, S.V.; Östman, M.; Bengtsson-Palme, J.; Rutgersson, C.; Thoudal, M.; Sircar, T.; Blanck, H.; Eriksson, K.M.; Tysklind, M.; Flach, C.F.; et al. Minimal selective concentrations of tetracycline in complex aquatic bacterial biofilms. Sci. Total Environ. 2016, 553, 587–595. [Google Scholar] [CrossRef] [PubMed]
- Li, Q.; Zheng, Y.; Guo, L.; Xiao, Y.; Li, H.; Yang, P.; Xia, L.; Liu, X.; Chen, Z.; Li, L.; et al. Microbial degradation of tetracycline antibiotics: Mechanisms and environmental implications. J. Agric. Food Chem. 2024, 72, 13523–13536. [Google Scholar] [CrossRef]
- Lu, L.; Liu, J.; Li, Z.; Zou, X.; Guo, J.; Liu, Z.; Yang, J.; Zhou, Y. Antibiotic resistance gene abundances associated with heavy metals and antibiotics in the sediments of Changshou Lake in the three Gorges Reservoir area, China. Ecol. Indic. 2020, 113, 106275. [Google Scholar] [CrossRef]
- Zhang, X.; Hou, J.; Zhang, S.; Cai, T.; Liu, S.; Hu, W.; Zhang, Q. Standardization and micromechanistic study of tetracycline adsorption by biochar. Biochar 2024, 6, 12. [Google Scholar] [CrossRef]
- Nie, Y.; Zhang, T.; Xu, Y.; Du, Y.; Ai, J.; Xue, N. Study on mechanism of removal of sudden Tetracycline by compound modified biological sand filtration process. J. Environ. Manag. 2024, 356, 120709. [Google Scholar] [CrossRef] [PubMed]
- Cevallos-Mendoza, J.E.; Alay-Macias, G.; Figueira, F.; Araujo, A.N.; Amorim, C.G.; Rodríguez-Díaz, J.M.; Montenegro, M.C.B.S.M. Nanocomposite HKUST-1@polysulfone membrane for the adsorptive removal of tetracyclines in waters. Sep. Purif. Technol. 2024, 330, 125568. [Google Scholar] [CrossRef]
- Wang, Y.; Qiao, L.; Zhang, X.; Liu, Z.; Li, T.; Wang, H. Green synthesis of FeCu@biochar nanocomposites through a mechanochemical method for enhanced tetracycline degradation via peroxymonosulfate activation. Sep. Purif. Technol. 2024, 328, 125077. [Google Scholar] [CrossRef]
- Kang, Z.; Jia, X.; Zhang, Y.; Kang, X.; Ge, M.; Liu, D.; Wang, C.; He, Z. A review on application of biochar in the removal of pharmaceutical pollutants through adsorption and persulfate-based AOPs. Sustainability 2022, 14, 10128. [Google Scholar] [CrossRef]
- Liu, Z.; Ren, X.; Duan, X.; Sarmah, A.K.; Zhao, X. Remediation of environmentally persistent organic pollutants (POPs) by persulfates oxidation system (PS): A review. Sci. Total Environ. 2023, 863, 160818. [Google Scholar] [CrossRef]
- Nie, C.; Dai, Z.; Wan, L.; Jing, B.; Duan, X.; Wang, S.; Lai, B.; Ao, Z. Interfacial electric field tuning carbon-catalyzed persulfate activation toward a maneuverable oxidation pathway for enhanced removal of Bisphenol A. ACS EST Water 2023, 3, 3004–3014. [Google Scholar] [CrossRef]
- Chen, N.; Lee, D.; Kang, H.; Cha, D.; Lee, J.; Lee, C. Catalytic persulfate activation for oxidation of organic pollutants: A critical review on mechanisms and controversies. J. Environ. Chem. Eng. 2022, 10, 107654. [Google Scholar] [CrossRef]
- Sun, H.; Liu, S.; Zhou, G.; Ang, H.M.; Tadé, M.O.; Wang, S. Reduced graphene oxide for catalytic oxidation of aqueous organic pollutants. ACS Appl. Mater. Interfaces 2012, 4, 5466–5471. [Google Scholar] [CrossRef]
- Bekris, L.; Frontistis, Z.; Trakakis, G.; Sygellou, L.; Galiotis, C.; Mantzavinos, D. Graphene: A new activator of sodium persulfate for the advanced oxidation of parabens in water. Water Res. 2017, 126, 111–121. [Google Scholar] [CrossRef]
- Oh, W.D.; Lim, T.T. Design and application of heterogeneous catalysts as peroxydisulfate activator for organics removal: An overview. Chem. Eng. J. 2019, 358, 110–133. [Google Scholar] [CrossRef]
- Yao, C.; Zhang, Y.; Du, M.; Du, X.; Huang, S. Insights into the mechanism of non-radical activation of persulfate via activated carbon for the degradation of p-chloroaniline. Chem. Eng. J. 2019, 362, 262–268. [Google Scholar] [CrossRef]
- Zhao, Q.; Mao, Q.; Zhou, Y.; Wei, J.; Liu, X.; Yang, J.; Luo, L.; Zhang, J.; Chen, H.; Chen, H.; et al. Metal-free carbon materials-catalyzed sulfate radical-based advanced oxidation processes: A review on heterogeneous catalysts and applications. Chemosphere 2017, 189, 224–238. [Google Scholar] [CrossRef] [PubMed]
- Qi, F.; Wang, Q.; Zeng, Z.; Wen, Q.; Huang, Z. Insight into the roles of microenvironment and active site on the mechanism regulation in metal-free persulfate activation process coupling with an electric field. J. Hazard. Mater. 2022, 439, 129673. [Google Scholar] [CrossRef] [PubMed]
- Tsai, W.T. Microstructural characterization of calcite-based powder materials prepared by planetary ball milling. Materials 2013, 6, 3361–3372. [Google Scholar] [CrossRef] [PubMed]
- Yuan, R.; Dong, Y.; Hou, R.; Shang, L.; Zhang, J.; Zhang, S.; Chen, X.; Song, H. Structural transformation of porous and disordered carbon during ball-milling. Chem. Eng. J. 2023, 454, 140418. [Google Scholar] [CrossRef]
- Hu, Y.; Li, B.; Yu, C.; Fang, H.; Li, Z. Mechanochemical preparation of single atom catalysts for versatile catalytic applications: A perspective review. Mater. Today 2023, 63, 288–312. [Google Scholar] [CrossRef]
- Song, S.; Liu, W.; Wang, M.; Xue, J.; Yao, M. Beneficial utilization of ball-milled carbon sand to activate peroxymonosulfate oxidation: Quantitation of ROS using probe-based kinetic models and mechanism insights. J. Environ. Manag. 2024, 370, 122568. [Google Scholar] [CrossRef]
- Oh, W.D.; Veksha, A.; Chen, X.; Adnan, R.; Lim, J.W.; Leong, K.H.; Lim, T.T. Catalytically active nitrogen-doped porous carbon derived from biowastes for organics removal via peroxymonosulfate activation. Chem. Eng. J. 2019, 374, 947–957. [Google Scholar] [CrossRef]
- Zhu, J.; Yan, L.; Li, X.; Song, W.; Yan, T.; Li, Y. Ball-milled MoS2/biochar as peroxymonosulfate activator efficiently removes tetracycline: Multiple active sites-triggered radical/non-radical pathways. Ind. Crop. Prod. 2023, 205, 117450. [Google Scholar] [CrossRef]
- Xu, K.; Lin, Q.; Fan, X.; Zheng, J.; Liu, Y.; Ma, Y.; He, J. Enhanced degradation of sulfamethoxazole by activation of peroxodisulfate with red mud modified biochar: Synergistic effect between adsorption and nonradical activation. Chem. Eng. J. 2023, 460, 141578. [Google Scholar] [CrossRef]
- Van Khai, T.; Na, H.G.; Kwak, D.S.; Kwon, Y.J.; Ham, H.; Shim, K.B.; Kim, H.W. Influence of N-doping on the structural and photoluminescence properties of graphene oxide films. Carbon 2012, 50, 3799–3806. [Google Scholar] [CrossRef]
- Caro, J.C.; Lappan, U.; Lunkwitz, K. Insertion of sulfur-containing functional groups into polytetrafluoroethylene (PTFE) by low pressure plasma treatment. Surf. Coat. Technol. 1999, 116–119, 792–795. [Google Scholar] [CrossRef]
- Li, H.; Wen, X.; Shao, F.; Zhou, C.; Zhang, Y.; Hu, N.; Wei, H. Interface covalent bonding endowing high-sulfur-loading paper cathode with robustness for energy-dense, compact and foldable lithium-sulfur batteries. Chem. Eng. J. 2021, 412, 128562. [Google Scholar] [CrossRef]
- Cirtiu, C.M.; Raychoudhury, T.; Ghoshal, S.; Moores, A. Systematic comparison of the size, surface characteristics and colloidal stability of zero valent iron nanoparticles pre- and post-grafted with common polymers. Colloids Surf. A. 2011, 390, 95–104. [Google Scholar] [CrossRef]
- Wen, J.; Fu, W.; Ding, S.; Zhang, Y.; Wang, W. Pyrogallic acid modified nanoscale zero-valent iron efficiently removed Cr(VI) by improving adsorption and electron selectivity. Chem. Eng. J. 2022, 443, 136510. [Google Scholar] [CrossRef]
- Wei, M.; Shi, X.; Xiao, L.; Zhang, H. Synthesis of polyimide-modified carbon nanotubes as catalyst for organic pollutant degradation via production of singlet oxygen with peroxymonosulfate without light irradiation. J. Hazard. Mater. 2020, 382, 120993. [Google Scholar] [CrossRef]
- Zhang, M.Y.; Niu, H.Q.; Wu, D.Z. Polyimide fibers with high strength and high modulus: Preparation, structures, properties, and applications. Macromol. Rapid Commun. 2018, 39, 1800141. [Google Scholar] [CrossRef] [PubMed]
- Wang, Y.; Cui, X.; Yang, Q.; Liu, J.; Gao, Y.; Sun, P.; Lu, G. Preparation of Ag-loaded mesoporous WO3 and its enhanced NO2 sensing performance. Sens. Actuators B 2016, 225, 544–552. [Google Scholar] [CrossRef]
- Hunge, Y.M.; Yadav, A.A.; Mathe, V.L. Ultrasound assisted synthesis of WO3-ZnO nanocomposites for brilliant blue dye degradation. Ultrason. Sonochem. 2018, 45, 116–122. [Google Scholar] [CrossRef] [PubMed]
- Gao, Q.; Ni, L.M.; Rong, S.W.; Liu, S.S.; Zhong, Y.H.; Liu, Z.J. Enhancement effect of potassium ferrate on self-activation: Signifi-cant improvement in pore structure and adsorption performance of activated carbon. Bioresour. Technol. 2024, 413, 131546. [Google Scholar] [CrossRef]
- Wang, Y.; Xu, L.; Wei, F.; Ding, T.; Zhang, M.; Zhu, R. Insights into the adsorption mechanism of tetracycline on hierarchical-lyporous carbon and the effect of nanoporous geometry. Chem. Eng. J. 2022, 437, 135454. [Google Scholar] [CrossRef]
- Wu, J.; Wang, B.; Blaney, L.; Peng, G.; Chen, P.; Cui, Y.; Deng, S.; Wang, Y.; Huang, J.; Yu, G. Degradation of sulfamethazine by persulfate activated with organo-montmorillonite supported nano-zero valent iron. Chem. Eng. J. 2019, 361, 99–108. [Google Scholar] [CrossRef]
- Duan, X.; O’Donnell, K.; Sun, H.; Wang, Y.; Wang, S. Sulfur and nitrogen Co-doped graphene for metal-Free catalytic oxidation reactions. Small 2015, 11, 3036–3044. [Google Scholar] [CrossRef] [PubMed]
- Tan, P.; Meng, N.; Cao, X.; Zhang, X.; Huang, Y.; Li, T.; Wang, W. Synthesis of integrated material with activation and oxidation functions by mechanical milling of activated carbon and persulfate for enhanced tetracycline degradation over non-radical mechanism. Processes 2024, 12, 672. [Google Scholar] [CrossRef]
- Luo, H.; Dimitrov, S.; Daboczi, M.; Kim, J.S.; Guo, Q.; Fang, Y.; Stoeckel, M.A.; Samorì, P.; Fenwick, O.; Jorge Sobrido, A.B.; et al. Nitrogen-doped carbon dots/TiO2 nanoparticle composites for photoelectrochemical water oxidation. ACS Appl. Nano Mater. 2020, 3, 3371–3381. [Google Scholar] [CrossRef]
- Huang, P.; Zhang, P.; Wang, C.; Tang, J.; Sun, H. Enhancement of persulfate activation by Fe-biochar composites: Synergism of Fe and N-doped biochar. Appl. Catal. B Environ. 2022, 303, 120926. [Google Scholar] [CrossRef]
- Chen, X.; Zhong, X.; Yuan, B.; Li, S.; Gu, Y.; Zhang, Q.; Zhuang, G.; Li, X.; Deng, S.; Wang, J.G. Defect engineering of nickel hydroxide nanosheets by Ostwald ripening for enhanced selective electrocatalytic alcohol oxidation. Green Chem. 2019, 21, 578–588. [Google Scholar] [CrossRef]
- Tian, W.; Zhang, H.; Duan, X.; Sun, H.; Tade, M.O.; Ang, H.M.; Wang, S. Nitrogen- and sulfur-codoped hierarchically porous carbon for adsorptive and oxidative removal of pharmaceutical contaminants. ACS Appl. Mater. Interfaces 2016, 8, 7184–7193. [Google Scholar] [CrossRef] [PubMed]
- Guo, Y.; Xuan, K.; Li, Y.; Pu, C.; Zeng, Z.; Huang, Z.; Guo, Y.; Ruan, H.; Li, J. Effect of activation time on sulfur-doped porous carbon for efficient degradation of organic pollutants with persulfate. Colloids Surf. A Physicochem. Eng. Asp. 2022, 651, 129612. [Google Scholar] [CrossRef]
- Xiong, J.; Zhang, D.; Lin, H.; Chen, Y. Amphiprotic cellulose mediated graphene oxide magnetic aerogels for water remediation. Chem. Eng. J. 2020, 400, 125890. [Google Scholar] [CrossRef]
- Yuan, M.; Liu, D.; Song, Z.; Liu, W.; Shang, S.; Cao, H.; Du, J.; Ren, J.; Cui, S. Tannic acid-assisted construction of amino-functionalized cellulose nanofiber composite aerogel for high-performance adsorption of Cr(VI), Cu(II) and Congo red: Experimental and DFT studies. Sep. Purif. Technol. 2024, 350, 127979. [Google Scholar] [CrossRef]
- Huang, W.; Xiao, S.; Zhong, H.; Yan, M.; Yang, X. Activation of persulfates by carbonaceous materials: A review. Chem. Eng. J. 2021, 418, 129297. [Google Scholar] [CrossRef]
- Zhao, C.; Pelaez, M.; Duan, X.; Deng, H.; O’Shea, K.; Fatta-Kassinos, D.; Dionysiou, D.D. Role of pH on photolytic and photocata-lytic degradation of antibiotic oxytetracycline in aqueous solution under visible/solar light: Kinetics and mechanism studies. Appl. Catal. B Environ. 2013, 134, 83–92. [Google Scholar] [CrossRef]
- Li, Z.; Schulz, L.; Ackley, C.; Fenske, N. Adsorption of tetracycline on kaolinite with pH-dependent surface charges. J. Colloid Interface Sci. 2010, 35, 254–260. [Google Scholar] [CrossRef]
- Yue, Y.; Wu, Q.; Zheng, C.; Sun, Y.; Shah, K.J. Study on the degradation effect of tetracycline using a Co-catalyst loaded on red mud. Catalysts 2024, 14, 133. [Google Scholar] [CrossRef]
- Huang, H.X.; Guo, T.; Wang, K.; Li, Y.; Zhang, G.K. Efficient activation of persulfate by a magnetic recyclable rape straw biochar catalyst for the degradation of tetracycline hydrochloride in water. Sci. Total Environ. 2021, 758, 143957. [Google Scholar] [CrossRef] [PubMed]
- Zhong, Q.; Lin, Q.; Huang, R.; Fu, H.; Zhang, X.; Luo, H.; Xiao, R. Oxidative degradation of tetracycline using persulfate activated by N and Cu co-doped biochar. Chem. Eng. J. 2020, 380, 122608. [Google Scholar] [CrossRef]
- Shan, A.; Idrees, A.; Zaman, W.Q.; Abbas, Z.; Ali, M.; Rehman, M.S.U.; Hussain, S.; Danish, M.; Gu, X.; Lyu, S. Synthesis of nZVI-Ni@BC composite as a stable catalyst to activate persulfate: Trichloroethylene degradation and insight mechanism. J. Environ. Chem. Eng. 2021, 9, 104808. [Google Scholar] [CrossRef]
- Yu, J.; Tang, L.; Pang, Y.; Zeng, G.; Feng, H.; Zou, J.; Wang, J.; Feng, C.; Zhu, X.; Ouyang, X.; et al. Hierarchical porous biochar from shrimp shell for persulfate activation: A two-electron transfer path and key impact factors. Appl. Catal. B Environ. 2020, 260, 118160. [Google Scholar] [CrossRef]
- Duan, X.G.; Sun, H.Q.; Shao, Z.P.; Wang, S.B. Nonradical reactions in environmental remediation processes: Uncertainty and challenges. Appl. Catal. B Environ. 2018, 224, 973–982. [Google Scholar] [CrossRef]
- Li, S.; Wang, W.; Wu, H.; Zhang, X.; Liang, R.; Zhang, X.; Song, G.; Jing, J.; Li, S.; Zhou, M. Performance enhancement and mechanism of electroenhanced peroxymonosulfate activation by single-atom Fe catalyst modified electrodes. Proc. Nat. Acad. Sci. USA 2024, 121, e2404965121. [Google Scholar] [CrossRef] [PubMed]
- Li, S.; Wu, L.; Zhao, J.; Li, R.; Yang, H.; Zhao, L.; Jin, R. Nitrogen-doped carbon nanotubes embedded with nitrogen-doped carbon black anchoring Pd nanocrystals to boost ethanol electrooxidation. Green Chem. 2023, 25, 10033–10042. [Google Scholar] [CrossRef]
- Hu, Y.; Zhan, G.; Peng, X.; Liu, X.; Ai, Z.; Jia, F.; Cao, S.; Quan, F.; Shen, W.; Zhang, L. Enhanced Cr(VI) removal of zero-valent iron with high proton conductive FeC2O4·2H2O shell. Chem. Eng. J. 2020, 389, 124414. [Google Scholar] [CrossRef]
- Bohra, D.; Chaudhry, J.H.; Burdyny, T.; Pidko, E.A.; Smith, W.A. Modeling the electrical double layer to understand the reaction environment in a CO2 electrocatalytic system. Energy Environ. Sci. 2019, 12, 3380–3389. [Google Scholar] [CrossRef]
- Ding, S.; Tan, P.; Meng, N.; Cao, X.; Wang, W. WO3/N-CDs photocatalyst with Z-scheme heterojunction for efficient tetracycline degradation under visible and near-infrared light. Colloids Surf. A Physicochem. Eng. Asp. 2023, 675, 132086. [Google Scholar] [CrossRef]
- Cheng, X.; Guo, H.; Zhang, Y.; Wu, X.; Liu, Y. Non-photochemical production of singlet oxygen via activation of persulfate by carbon nanotubes. Water Res. 2017, 113, 80–88. [Google Scholar] [CrossRef] [PubMed]
- Li, B.; Lai, C.; Xu, P.; Zeng, G.; Huang, D.; Qin, L.; Yi, H.; Cheng, M.; Wang, L.; Huang, F.; et al. Facile synthesis of bismuth oxyhalogen-based Z-scheme photocatalyst for visible-light-driven pollutant removal: Kinetics, degradation pathways and mechanism. J. Clean. Prod. 2019, 225, 898–912. [Google Scholar] [CrossRef]
- He, H.; Zhu, Z.; Zheng, J.; Hu, C.; Cui, Y.; Liu, B.; Wang, W. Preparation of dual Z-scheme PDIP/WO3@CN-Br heterojunction photocatalyst and its excellent degradation efficiency of tetracycline under visible light. Colloids Surf. A Physicochem. Eng. Asp. 2022, 654, 130041. [Google Scholar] [CrossRef]
- Li, Y.; Fu, M.; Lu, P.; Hu, X.; Wang, R.; Bai, J.; He, Y. Visible light photocatalytic abatement of tetracycline over unique Z-scheme ZnS/PI composites. Appl. Surf. Sci. 2022, 575, 151798. [Google Scholar] [CrossRef]
- Liang, C.; Huang, C.F.; Mohanty, N.; Kurakalva, R.M. A rapid spectrophotometric determination of persulfate anion in ISCO. Chemosphere 2008, 73, 1540–1543. [Google Scholar] [CrossRef] [PubMed]










| Sample | Surface Area (m2/g) | Pore Volume (cm3/g) | Average Pore Size (nm) |
|---|---|---|---|
| M(AC-PS) | 62.85 | 0.107 | 6.80 |
| M(NAC-PS) | 51.03 | 0.058 | 5.50 |
| M(NSAC-PS) | 16.82 | 0.033 | 7.76 |
| Fitted Peaks | Chemical Bonds | M(NAC-PS) | M(NSAC-PS) |
|---|---|---|---|
| C 1s | C-C | 53.65% | 59.54% |
| C=N | 12.78% | 17.37% | |
| C=O | 8.67% | 5.55% | |
| O-C=O | 16.78% | 11.41% | |
| π-π* | 8.12% | 6.13% | |
| N 1s | Pyrrole N | 57.04% | 43.73% |
| Pyridine N | 42.96% | 56.27% | |
| O 1s | C=O | 67.22% | 70.39% |
| C-OH | 32.78% | 29.61% | |
| S 2p | C-S-C | 0.00% | 12.44% |
| C-SOX-C | 62.91% | 62.90% | |
| SO42− | 37.10% | 24.65% |
Disclaimer/Publisher’s Note: The statements, opinions and data contained in all publications are solely those of the individual author(s) and contributor(s) and not of MDPI and/or the editor(s). MDPI and/or the editor(s) disclaim responsibility for any injury to people or property resulting from any ideas, methods, instructions or products referred to in the content. |
© 2025 by the authors. Licensee MDPI, Basel, Switzerland. This article is an open access article distributed under the terms and conditions of the Creative Commons Attribution (CC BY) license (https://creativecommons.org/licenses/by/4.0/).
Share and Cite
Ding, S.; Tan, P.; Meng, N.; Zhang, X.; Ma, L.; Zhou, M.; Wang, W. Solid-Phase Activation During the Degradation of Tetracycline by Modified Activated Carbon–Persulfate Composite. Catalysts 2025, 15, 169. https://doi.org/10.3390/catal15020169
Ding S, Tan P, Meng N, Zhang X, Ma L, Zhou M, Wang W. Solid-Phase Activation During the Degradation of Tetracycline by Modified Activated Carbon–Persulfate Composite. Catalysts. 2025; 15(2):169. https://doi.org/10.3390/catal15020169
Chicago/Turabian StyleDing, Shihu, Peng Tan, Nuo Meng, Xiguo Zhang, Lin Ma, Minghua Zhou, and Wei Wang. 2025. "Solid-Phase Activation During the Degradation of Tetracycline by Modified Activated Carbon–Persulfate Composite" Catalysts 15, no. 2: 169. https://doi.org/10.3390/catal15020169
APA StyleDing, S., Tan, P., Meng, N., Zhang, X., Ma, L., Zhou, M., & Wang, W. (2025). Solid-Phase Activation During the Degradation of Tetracycline by Modified Activated Carbon–Persulfate Composite. Catalysts, 15(2), 169. https://doi.org/10.3390/catal15020169

