MOF-Based Catalysts for Thermal Hydrogenation of CO2 to HCOOH: A Review
Abstract
1. Introduction
2. Conventional Heterogeneous Catalysts
2.1. Noble Catalysts
2.2. Bimetallic Catalysts
2.3. Cu-Based Catalysts
2.4. Metal Oxides
3. MOF-Based Catalysts
3.1. MOF-Supported and MOF-Derived Catalysts
3.2. MOF-Confined Catalysts
3.2.1. Synthesis Strategies
3.2.2. Catalysis
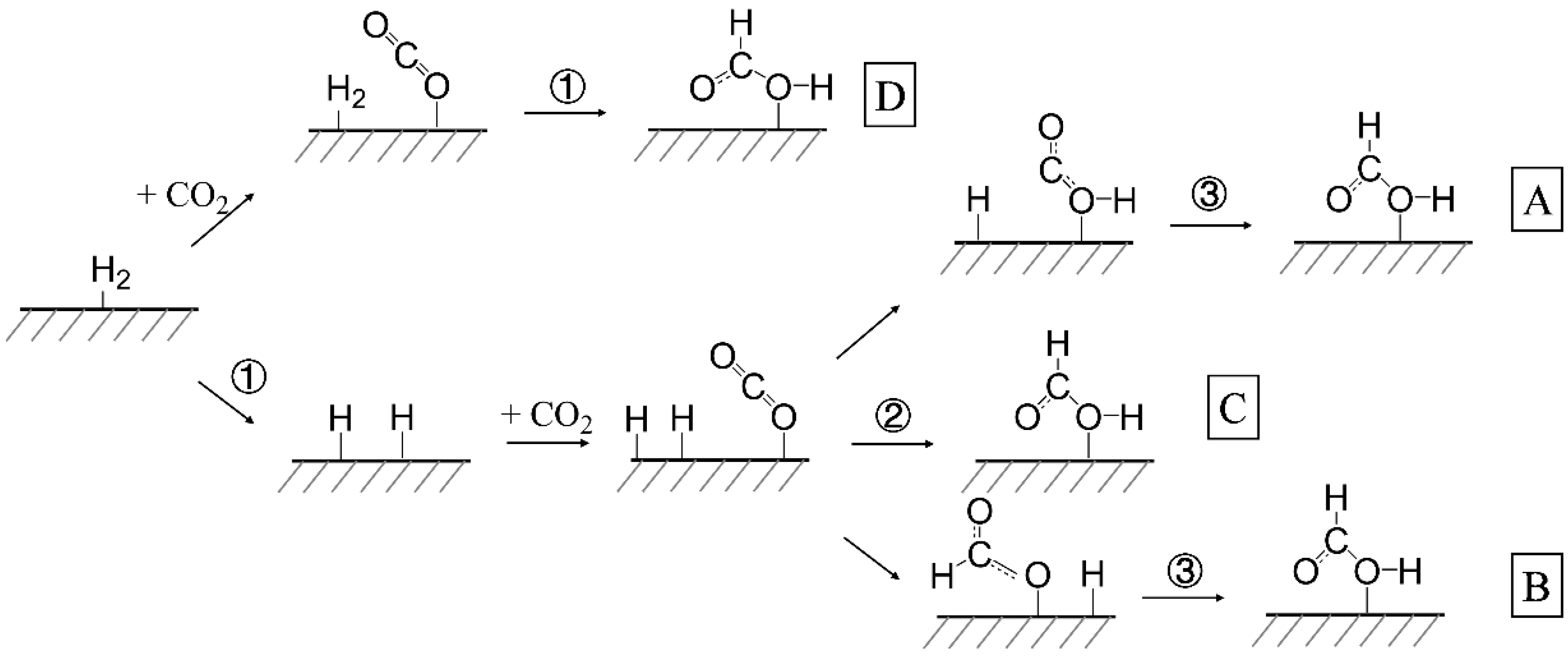
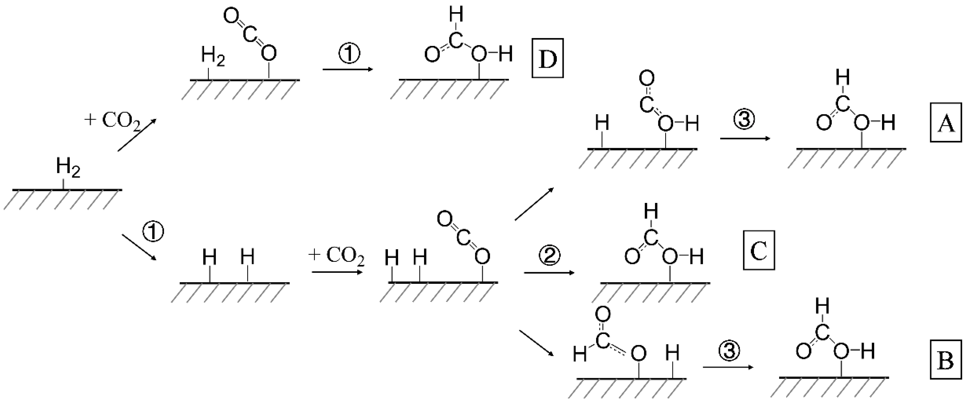
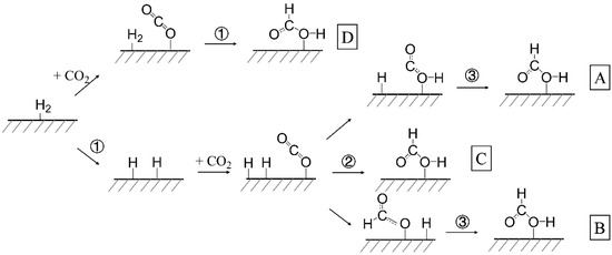
3.3. Reaction Mechanism
4. Conclusions and Perspective
- (i)
- DFT calculations are recommended for an in-depth analysis of synergistic catalysis including the preferred reaction mechanism at the molecular level;
- (ii)
- Design MOFs with hierarchical porosity or controlled framework flexibility to overcome the limitations on the diffusion of reactants or products due to small pore structure;
- (iii)
- As ZIF and MIL series are usually operated at ≤120 °C, far from the industrial level (i.e., 150 °C), hydrophobic functional groups and Zr/Ce nodes are suggested to reconfigure their SBUs to enhance hydrothermal stability.
Author Contributions
Funding
Data Availability Statement
Conflicts of Interest
References
- Mac Dowell, N.; Fennell, P.S.; Shah, N.; Maitland, G.C. The Role of CO2 Capture and Utilization in Mitigating Climate Change. Nat. Clim. Change 2017, 7, 243–249. [Google Scholar] [CrossRef]
- Leitner, W. Carbon Dioxide as a Raw Material: The Synthesis of Formic Acid and Its Derivatives from CO2. Angew. Chem. Int. Ed. Engl. 1995, 34, 2207–2221. [Google Scholar] [CrossRef]
- Inoue, Y.; Izumida, H.; Sasaki, Y.; Hashimoto, H. Catalytic Fixation of Carbon Dioxide to Formic Acid by Transition-Metal Complexes Under Mild Conditions. Chem. Lett. 1976, 5, 863–864. [Google Scholar] [CrossRef]
- Wang, W.-H.; Bao, M.; Feng, X. Transformation of Carbon Dioxide to Formic Acid and Methanol, 1st ed.; SpringerBriefs in Green Chemistry for Sustainability; Springer: Singapore, 2018. [Google Scholar] [CrossRef]
- Vieira, L.H.; Rasteiro, L.F.; Santana, C.S.; Catuzo, G.L.; Da Silva, A.H.M.; Assaf, J.M.; Assaf, E.M. Noble Metals in Recent Developments of Heterogeneous Catalysts for CO2 Conversion Processes. ChemCatChem 2023, 15, e202300493. [Google Scholar] [CrossRef]
- Gunasekar, G.H.; Park, K.; Jung, K.-D.; Yoon, S. Recent Developments in the Catalytic Hydrogenation of CO2 to Formic Acid/Formate Using Heterogeneous Catalysts. Inorg. Chem. Front. 2016, 3, 882–895. [Google Scholar] [CrossRef]
- Jessop, P.G.; Hsiao, Y.; Ikariya, T.; Noyori, R. Homogeneous Catalysis in Supercritical Fluids: Hydrogenation of Supercritical Carbon Dioxide to Formic Acid, Alkyl Formates, and Formamides. J. Am. Chem. Soc. 1996, 118, 344–355. [Google Scholar] [CrossRef]
- Munshi, P.; Main, A.D.; Linehan, J.C.; Tai, C.-C.; Jessop, P.G. Hydrogenation of Carbon Dioxide Catalyzed by Ruthenium Trimethylphosphine Complexes: The Accelerating Effect of Certain Alcohols and Amines. J. Am. Chem. Soc. 2002, 124, 7963–7971. [Google Scholar] [CrossRef]
- Elek, J.; Nádasdi, L.; Papp, G.; Laurenczy, G.; Joó, F. Homogeneous Hydrogenation of Carbon Dioxide and Bicarbonate in Aqueous Solution Catalyzed by Water-Soluble Ruthenium(II) Phosphine Complexes. Appl. Catal. Gen. 2003, 255, 59–67. [Google Scholar] [CrossRef]
- Himeda, Y. Conversion of CO2 into Formate by Homogeneously Catalyzed Hydrogenation in Water: Tuning Catalytic Activity and Water Solubility through the Acid–Base Equilibrium of the Ligand. Eur. J. Inorg. Chem. 2007, 2007, 3927–3941. [Google Scholar] [CrossRef]
- Kipshagen, A.; Baums, J.C.; Hartmann, H.; Besmehn, A.; Hausoul, P.J.C.; Palkovits, R. Formic Acid as H2 Storage System: Hydrogenation of CO2 and Decomposition of Formic Acid by Solid Molecular Phosphine Catalysts. Catal. Sci. Technol. 2022, 12, 5649–5656. [Google Scholar] [CrossRef]
- Jessop, P.G.; Ikariya, T.; Noyori, R. Homogeneous Catalytic Hydrogenation of Supercritical Carbon Dioxide. Nature 1994, 368, 231–233. [Google Scholar] [CrossRef]
- Álvarez, A.; Bansode, A.; Urakawa, A.; Bavykina, A.V.; Wezendonk, T.A.; Makkee, M.; Gascon, J.; Kapteijn, F. Challenges in the Greener Production of Formates/Formic Acid, Methanol, and DME by Heterogeneously Catalyzed CO2 Hydrogenation Processes. Chem. Rev. 2017, 117, 9804–9838. [Google Scholar] [CrossRef]
- Centi, G.; Perathoner, S. Opportunities and Prospects in the Chemical Recycling of Carbon Dioxide to Fuels. Catal. Today 2009, 148, 191–205. [Google Scholar] [CrossRef]
- Wu, H.; Li, H.; Zhao, W.; Sudarsanam, P.; Yang, S. Protophilic Solvent-Impelled Quasi-Catalytic CO2 Valorization to Formic Acid and N-Formamides. Fuel 2022, 326, 125074. [Google Scholar] [CrossRef]
- Franco, F.; Fernández, S.; Lloret-Fillol, J. Advances in the Electrochemical Catalytic Reduction of CO2 with Metal Complexes. Curr. Opin. Electrochem. 2019, 15, 109–117. [Google Scholar] [CrossRef]
- Ra, E.C.; Kim, K.Y.; Kim, E.H.; Lee, H.; An, K.; Lee, J.S. Recycling Carbon Dioxide through Catalytic Hydrogenation: Recent Key Developments and Perspectives. ACS Catal. 2020, 10, 11318–11345. [Google Scholar] [CrossRef]
- Yan, N.; Philippot, K. Transformation of CO2 by Using Nanoscale Metal Catalysts: Cases Studies on the Formation of Formic Acid and Dimethylether. Curr. Opin. Chem. Eng. 2018, 20, 86–92. [Google Scholar] [CrossRef]
- Li, H.; Peng, B.; Lv, S.; Zhou, Q.; Yan, Z.; Luan, X.; Liu, X.; Niu, C.; Liu, Y.; Hou, J. Immobilized Heterogeneous Catalysts for CO2 Hydrogenation to Formic Acid: A Review. Carbon Capture Sci. Technol. 2024, 13, 100322. [Google Scholar] [CrossRef]
- Wang, Y.; Ma, J.-X.; Zhang, Y.; Xu, N.; Wang, X.-L. A Series of Cobalt-Based Coordination Polymer Crystalline Materials as Highly Sensitive Electrochemical Sensors for Detecting Trace Cr(VI), Fe(III) Ions, and Ascorbic Acid. Cryst. Growth Des. 2021, 21, 4390–4397. [Google Scholar] [CrossRef]
- Ye, Z.; Xie, W.; Chen, H. Catalytic Hydrogenation of Carbon Dioxide to Methanol on MOF-Confined Metal Nanoparticles: A Review. Catalysts 2025, 15, 913. [Google Scholar] [CrossRef]
- Yaghi, O.M.; Li, H. Hydrothermal Synthesis of a Metal-Organic Framework Containing Large Rectangular Channels. J. Am. Chem. Soc. 1995, 117, 10401–10402. [Google Scholar] [CrossRef]
- Li, H.; Eddaoudi, M.; O’Keeffe, M.; Yaghi, O.M. Design and Synthesis of an Exceptionally Stable and Highly Porous Metal-Organic Framework. Nature 1999, 402, 276–279. [Google Scholar] [CrossRef]
- Freund, R.; Canossa, S.; Cohen, S.M.; Yan, W.; Deng, H.; Guillerm, V.; Eddaoudi, M.; Madden, D.G.; Fairen-Jimenez, D.; Lyu, H.; et al. 25 Years of Reticular Chemistry. Angew. Chem. Int. Ed. 2021, 60, 23946–23974. [Google Scholar] [CrossRef] [PubMed]
- Lu, X.; Song, C.; Qi, X.; Li, D.; Lin, L. Confinement Effects in Well-Defined Metal–Organic Frameworks (MOFs) for Selective CO2 Hydrogenation: A Review. Int. J. Mol. Sci. 2023, 24, 4228. [Google Scholar] [CrossRef]
- Liu, X.; Qian, B.; Zhang, D.; Yu, M.; Chang, Z.; Bu, X. Recent Progress in Host–Guest Metal–Organic Frameworks: Construction and Emergent Properties. Coord. Chem. Rev. 2023, 476, 214921. [Google Scholar] [CrossRef]
- Wang, W.; Wang, S.; Ma, X.; Gong, J. Recent Advances in Catalytic Hydrogenation of Carbon Dioxide. Chem. Soc. Rev. 2011, 40, 3703. [Google Scholar] [CrossRef]
- Bredig, G.; Carter, S.R. Katalytische Synthese der Ameisensäure unter Druck. Berichte Dtsch. Chem. Ges. 1914, 47, 541–545. [Google Scholar] [CrossRef]
- Sun, R.; Liao, Y.; Bai, S.-T.; Zheng, M.; Zhou, C.; Zhang, T.; Sels, B.F. Heterogeneous Catalysts for CO2 Hydrogenation to Formic Acid/Formate: From Nanoscale to Single Atom. Energy Environ. Sci. 2021, 14, 1247–1285. [Google Scholar] [CrossRef]
- Navarro-Jaén, S.; Virginie, M.; Bonin, J.; Robert, M.; Wojcieszak, R.; Khodakov, A.Y. Highlights and Challenges in the Selective Reduction of Carbon Dioxide to Methanol. Nat. Rev. Chem. 2021, 5, 564–579. [Google Scholar] [CrossRef]
- Lee, J.H.; Ryu, J.; Kim, J.Y.; Nam, S.-W.; Han, J.H.; Lim, T.-H.; Gautam, S.; Chae, K.H.; Yoon, C.W. Carbon Dioxide Mediated, Reversible Chemical Hydrogen Storage Using a Pd Nanocatalyst Supported on Mesoporous Graphitic Carbon Nitride. J. Mater. Chem. A 2014, 2, 9490. [Google Scholar] [CrossRef]
- Wang, F.; Xu, J.; Shao, X.; Su, X.; Huang, Y.; Zhang, T. Palladium on Nitrogen-Doped Mesoporous Carbon: A Bifunctional Catalyst for Formate-Based, Carbon-Neutral Hydrogen Storage. ChemSusChem 2016, 9, 246–251. [Google Scholar] [CrossRef]
- Park, H.; Lee, J.H.; Kim, E.H.; Kim, K.Y.; Choi, Y.H.; Youn, D.H.; Lee, J.S. A Highly Active and Stable Palladium Catalyst on a G-C3N4 Support for Direct Formic Acid Synthesis under Neutral Conditions. Chem. Commun. 2016, 52, 14302–14305. [Google Scholar] [CrossRef]
- Mondelli, C.; Puértolas, B.; Ackermann, M.; Chen, Z.; Pérez-Ramírez, J. Enhanced Base-Free Formic Acid Production from CO2 on Pd/g-C3N4 by Tuning of the Carrier Defects. ChemSusChem 2018, 11, 2859–2869. [Google Scholar] [CrossRef] [PubMed]
- Zhang, Z.; Zhang, L.; Yao, S.; Song, X.; Huang, W.; Hülsey, M.J.; Yan, N. Support-Dependent Rate-Determining Step of CO2 Hydrogenation to Formic Acid on Metal Oxide Supported Pd Catalysts. J. Catal. 2019, 376, 57–67. [Google Scholar] [CrossRef]
- Min, B.K.; Santra, A.K.; Goodman, D.W. Understanding Silica-Supported Metal Catalysts: Pd/Silica as a Case Study. Catal. Today 2003, 85, 113–124. [Google Scholar] [CrossRef]
- Zhang, Y.; Fei, J.; Yu, Y.; Zheng, X. Silica Immobilized Ruthenium Catalyst Used for Carbon Dioxide Hydrogenation to Formic Acid (I): The Effect of Functionalizing Group and Additive on the Catalyst Performance. Catal. Commun. 2004, 5, 643–646. [Google Scholar] [CrossRef]
- Liu, N.; Du, R.J.; Li, W. Hydrogenation CO2 to Formic Acid over Ru Supported on γ-Al2O3 Nanorods. Adv. Mater. Res. 2013, 821–822, 1330–1335. [Google Scholar] [CrossRef]
- Hao, C.; Wang, S.; Li, M.; Kang, L.; Ma, X. Hydrogenation of CO2 to Formic Acid on Supported Ruthenium Catalysts. Catal. Today 2011, 160, 184–190. [Google Scholar] [CrossRef]
- Yu, Y.-M.; Fei, J.-H.; Zhang, Y.-P.; Zheng, X.-M. MCM-41 Bound Ruthenium Complex as Heterogeneous Catalyst for Hydrogenation I: Effect of Support, Ligand and Solvent on the Catalyst Performance. Chin. J. Chem. 2006, 24, 840–844. [Google Scholar] [CrossRef]
- Yu, Y.-M.; Zhang, Y.-P.; Fei, J.-H.; Zheng, X.-M. Silica Immobilized Ruthenium Catalyst for Formic Acid Synthesis from Supercritical Carbon Dioxide Hydrogenation II: Effect of Reaction Conditions on the Catalyst Performance. Chin. J. Chem. 2005, 23, 977–982. [Google Scholar] [CrossRef]
- Zhang, Z.; Xie, Y.; Li, W.; Hu, S.; Song, J.; Jiang, T.; Han, B. Hydrogenation of Carbon Dioxide Is Promoted by a Task-Specific Ionic Liquid. Angew. Chem. Int. Ed. 2008, 47, 1127–1129. [Google Scholar] [CrossRef] [PubMed]
- Zhang, Z.; Hu, S.; Song, J.; Li, W.; Yang, G.; Han, B. Hydrogenation of CO2 to Formic Acid Promoted by a Diamine-Functionalized Ionic Liquid. ChemSusChem 2009, 2, 234–238. [Google Scholar] [CrossRef]
- Srivastava, V. Active Heterogeneous Ru Nanocatalysts for CO2 Hydrogenation Reaction. Catal. Lett. 2016, 146, 2630–2640. [Google Scholar] [CrossRef]
- Zhang, W.; Wang, S.; Zhao, Y.; Ma, X. Hydrogenation of scCO2 to Formic Acid Catalyzed by Heterogeneous Ruthenium(III)/Al2O3 Catalysts. Chem. Lett. 2016, 45, 555–557. [Google Scholar] [CrossRef]
- Zhang, W.; Wang, S.; Zhao, Y.; Ma, X. Hydrogenation of CO2 to Formic Acid Catalyzed by Heterogeneous Ru-PPh3/Al2O3 Catalysts. Fuel Process. Technol. 2018, 178, 98–103. [Google Scholar] [CrossRef]
- Xu, Z.; McNamara, N.D.; Neumann, G.T.; Schneider, W.F.; Hicks, J.C. Catalytic Hydrogenation of CO2 to Formic Acid with Silica-Tethered Iridium Catalysts. ChemCatChem 2013, 5, 1769–1771. [Google Scholar] [CrossRef]
- McNamara, N.D.; Hicks, J.C. CO2 Capture and Conversion with a Multifunctional Polyethyleneimine-Tethered Iminophosphine Iridium Catalyst/Adsorbent. ChemSusChem 2014, 7, 1114–1124. [Google Scholar] [CrossRef]
- Preti, D.; Resta, C.; Squarcialupi, S.; Fachinetti, G. Carbon Dioxide Hydrogenation to Formic Acid by Using a Heterogeneous Gold Catalyst. Angew. Chem. Int. Ed. 2011, 50, 12551–12554. [Google Scholar] [CrossRef] [PubMed]
- Filonenko, G.A.; Vrijburg, W.L.; Hensen, E.J.M.; Pidko, E.A. On the Activity of Supported Au Catalysts in the Liquid Phase Hydrogenation of CO2 to Formates. J. Catal. 2016, 343, 97–105. [Google Scholar] [CrossRef]
- Qadir, M.I.; Weilhard, A.; Fernandes, J.A.; de Pedro, I.; Vieira, B.J.C.; Waerenborgh, J.C.; Dupont, J. Selective Carbon Dioxide Hydrogenation Driven by Ferromagnetic RuFe Nanoparticles in Ionic Liquids. ACS Catal. 2018, 8, 1621–1627. [Google Scholar] [CrossRef]
- Mori, K.; Sano, T.; Kobayashi, H.; Yamashita, H. Surface Engineering of a Supported PdAg Catalyst for Hydrogenation of CO2 to Formic Acid: Elucidating the Active Pd Atoms in Alloy Nanoparticles. J. Am. Chem. Soc. 2018, 140, 8902–8909. [Google Scholar] [CrossRef]
- Mori, K.; Masuda, S.; Tanaka, H.; Yoshizawa, K.; Che, M.; Yamashita, H. Phenylamine-Functionalized Mesoporous Silica Supported PdAg Nanoparticles: A Dual Heterogeneous Catalyst for Formic Acid/CO2-Mediated Chemical Hydrogen Delivery/Storage. Chem. Commun. 2017, 53, 4677–4680. [Google Scholar] [CrossRef]
- Masuda, S.; Mori, K.; Futamura, Y.; Yamashita, H. PdAg Nanoparticles Supported on Functionalized Mesoporous Carbon: Promotional Effect of Surface Amine Groups in Reversible Hydrogen Delivery/Storage Mediated by Formic Acid/CO2. ACS Catal. 2018, 8, 2277–2285. [Google Scholar] [CrossRef]
- Masuda, S.; Mori, K.; Kuwahara, Y.; Yamashita, H. PdAg Nanoparticles Supported on Resorcinol-Formaldehyde Polymers Containing Amine Groups: The Promotional Effect of Phenylamine Moieties on CO2 Transformation to Formic Acid. J. Mater. Chem. A 2019, 7, 16356–16363. [Google Scholar] [CrossRef]
- Nguyen, L.T.M.; Park, H.; Banu, M.; Kim, J.Y.; Youn, D.H.; Magesh, G.; Kim, W.Y.; Lee, J.S. Catalytic CO2 Hydrogenation to Formic Acid over Carbon Nanotube-Graphene Supported PdNi Alloy Catalysts. RSC Adv. 2015, 5, 105560–105566. [Google Scholar] [CrossRef]
- Motokura, K.; Kashiwame, D.; Miyaji, A.; Baba, T. Copper-Catalyzed Formic Acid Synthesis from CO2 with Hydrosilanes and H2O. Org. Lett. 2012, 14, 2642–2645. [Google Scholar] [CrossRef]
- Cauwenbergh, R.; Goyal, V.; Maiti, R.; Natte, K.; Das, S. Challenges and Recent Advancements in the Transformation of CO2 into Carboxylic Acids: Straightforward Assembly with Homogeneous 3d Metals. Chem. Soc. Rev. 2022, 51, 9371–9423. [Google Scholar] [CrossRef]
- Chiang, C.-L.; Lin, K.-S.; Chuang, H.-W. Direct Synthesis of Formic Acid via CO2 Hydrogenation over Cu/ZnO/Al2O3 Catalyst. J. Clean. Prod. 2018, 172, 1957–1977. [Google Scholar] [CrossRef]
- Chiang, C.-L.; Lin, K.-S.; Chuang, H.-W.; Wu, C.-M. Conversion of Hydrogen/Carbon Dioxide into Formic Acid and Methanol over Cu/CuCr2O4 Catalyst. Int. J. Hydrogen Energy 2017, 42, 23647–23663. [Google Scholar] [CrossRef]
- Liu, X.; Zhong, H.; Wang, C.; He, D.; Jin, F. CO2 Reduction into Formic Acid under Hydrothermal Conditions: A Mini Review. Energy Sci. Eng. 2022, 10, 1601–1613. [Google Scholar] [CrossRef]
- Lyu, L.; Zeng, X.; Yun, J.; Wei, F.; Jin, F. No Catalyst Addition and Highly Efficient Dissociation of H2O for the Reduction of CO2 to Formic Acid with Mn. Environ. Sci. Technol. 2014, 48, 6003–6009. [Google Scholar] [CrossRef] [PubMed]
- Yao, G.; Zeng, X.; Jin, Y.; Zhong, H.; Duo, J.; Jin, F. Hydrogen Production by Water Splitting with Al and In-Situ Reduction of CO2 into Formic Acid. Int. J. Hydrogen Energy 2015, 40, 14284–14289. [Google Scholar] [CrossRef]
- Duo, J.; Jin, F.; Wang, Y.; Zhong, H.; Lyu, L.; Yao, G.; Huo, Z. NaHCO3 -Enhanced Hydrogen Production from Water with Fe and in Situ Highly Efficient and Autocatalytic NaHCO3 Reduction into Formic Acid. Chem. Commun. 2016, 52, 3316–3319. [Google Scholar] [CrossRef] [PubMed]
- Jiang, H.; Alezi, D.; Eddaoudi, M. A Reticular Chemistry Guide for the Design of Periodic Solids. Nat. Rev. Mater. 2021, 6, 466–487. [Google Scholar] [CrossRef]
- Eddaoudi, M.; Moler, D.B.; Li, H.; Chen, B.; Reineke, T.M.; O’Keeffe, M.; Yaghi, O.M. Modular Chemistry: Secondary Building Units as a Basis for the Design of Highly Porous and Robust Metal−Organic Carboxylate Frameworks. Acc. Chem. Res. 2001, 34, 319–330. [Google Scholar] [CrossRef]
- Chen, Z.; Kirlikovali, K.O.; Li, P.; Farha, O.K. Reticular Chemistry for Highly Porous Metal–Organic Frameworks: The Chemistry and Applications. Acc. Chem. Res. 2022, 55, 579–591. [Google Scholar] [CrossRef]
- Schukraft, G.E.M.; Ayala, S.; Dick, B.L.; Cohen, S.M. Isoreticular Expansion of polyMOFs Achieves High Surface Area Materials. Chem. Commun. 2017, 53, 10684–10687. [Google Scholar] [CrossRef]
- Bigdeli, F.; Fetzer, M.N.A.; Nis, B.; Morsali, A.; Janiak, C. Coordination Modulation: A Way to Improve the Properties of Metal–Organic Frameworks. J. Mater. Chem. A 2023, 11, 22105–22131. [Google Scholar] [CrossRef]
- Ding, M.; Flaig, R.W.; Jiang, H.-L.; Yaghi, O.M. Carbon Capture and Conversion Using Metal–Organic Frameworks and MOF-Based Materials. Chem. Soc. Rev. 2019, 48, 2783–2828. [Google Scholar] [CrossRef]
- Liu, K.-G.; Sharifzadeh, Z.; Rouhani, F.; Ghorbanloo, M.; Morsali, A. Metal-Organic Framework Composites as Green/Sustainable Catalysts. Coord. Chem. Rev. 2021, 436, 213827. [Google Scholar] [CrossRef]
- Li, S.; Huo, F. Metal–Organic Framework Composites: From Fundamentals to Applications. Nanoscale 2015, 7, 7482–7501. [Google Scholar] [CrossRef]
- Luo, W.; Zhang, Z.; Zhu, G.; Zhang, X.; Huang, G.; Zhou, T.; Lu, X. Precise Pore Regulation Strategies for Constructing High-Performance Metal–Organic Framework (MOF) Membranes for Gas Capture: Frontier Advances. J. Environ. Chem. Eng. 2025, 13, 118229. [Google Scholar] [CrossRef]
- Wen, Y.; Zhang, P.; Sharma, V.K.; Ma, X.; Zhou, H.-C. Metal-Organic Frameworks for Environmental Applications. Cell Rep. Phys. Sci. 2021, 2, 100348. [Google Scholar] [CrossRef]
- Zhang, J.; An, B.; Li, Z.; Cao, Y.; Dai, Y.; Wang, W.; Zeng, L.; Lin, W.; Wang, C. Neighboring Zn–Zr Sites in a Metal–Organic Framework for CO2 Hydrogenation. J. Am. Chem. Soc. 2021, 143, 8829–8837. [Google Scholar] [CrossRef]
- Sabo, M.; Henschel, A.; Fröde, H.; Klemm, E.; Kaskel, S. Solution Infiltration of Palladium into MOF-5: Synthesis, Physisorption and Catalytic Properties. J. Mater. Chem. 2007, 17, 3827. [Google Scholar] [CrossRef]
- Maksimchuk, N.; Timofeeva, M.; Melgunov, M.; Shmakov, A.; Chesalov, Y.; Dybtsev, D.; Fedin, V.; Kholdeeva, O. Heterogeneous Selective Oxidation Catalysts Based on Coordination Polymer MIL-101 and Transition Metal-Substituted Polyoxometalates. J. Catal. 2008, 257, 315–323. [Google Scholar] [CrossRef]
- Mandal, T.; Kumar, R.; Kumar, S.; Choudhury, J. Single-Site Heterogenized Molecular Catalysts towards CO2 Hydrogenation to Formates, Formamides and Methanol. ChemCatChem 2024, 16, e202400272. [Google Scholar] [CrossRef]
- Shao, S.; Cui, C.; Tang, Z.; Li, G. Recent Advances in Metal-Organic Frameworks for Catalytic CO2 Hydrogenation to Diverse Products. Nano Res. 2022, 15, 10110–10133. [Google Scholar] [CrossRef]
- Shi, Y.; Hou, S.; Qiu, X.; Zhao, B. MOFs-Based Catalysts Supported Chemical Conversion of CO2. Top. Curr. Chem. 2020, 378, 11. [Google Scholar] [CrossRef]
- Liu, K.-G.; Bigdeli, F.; Panjehpour, A.; Larimi, A.; Morsali, A.; Dhakshinamoorthy, A.; Garcia, H. Metal Organic Framework Composites for Reduction of CO2. Coord. Chem. Rev. 2023, 493, 215257. [Google Scholar] [CrossRef]
- Liu, M.; Peng, Y.; Chen, W.; Cao, S.; Chen, S.; Lu Meng, F.; Jin, Y.; Hou, C.-C.; Zou, R.; Xu, Q. Metal-Organic Frameworks for Carbon-Neutral Catalysis: State of the Art, Challenges, and Opportunities. Coord. Chem. Rev. 2024, 506, 215726. [Google Scholar] [CrossRef]
- Chuanchuan, D.; Yuling, L.; Hao, S.; Shuaishuai, L.; Qiyuan, S.; Xinzeng, L. Evolutionary Trends and Photothermal Catalytic Reduction Performance of Carbon Dioxide by MOF-Derived MnOx. Fuel 2025, 384, 133949. [Google Scholar] [CrossRef]
- Wu, C.; Irshad, F.; Luo, M.; Zhao, Y.; Ma, X.; Wang, S. Ruthenium Complexes Immobilized on an Azolium Based Metal Organic Framework for Highly Efficient Conversion of CO2 into Formic Acid. ChemCatChem 2019, 11, 1256–1263. [Google Scholar] [CrossRef]
- Xu, L.; Cui, T.; Zhu, J.; Wang, X.; Ji, M. PdAg Alloy Nanoparticles Immobilized on Functionalized MIL-101-NH2: Effect of Organic Amines on Hydrogenation of Carbon Dioxide into Formic Acid. New J. Chem. 2021, 45, 6293–6300. [Google Scholar] [CrossRef]
- Tshuma, P.; Makhubela, B.C.E.; Bingwa, N.; Mehlana, G. Palladium(II) Immobilized on Metal–Organic Frameworks for Catalytic Conversion of Carbon Dioxide to Formate. Inorg. Chem. 2020, 59, 6717–6728. [Google Scholar] [CrossRef]
- Gumbo, M.; Makhubela, B.C.E.; Amombo Noa, F.M.; Öhrström, L.; Al-Maythalony, B.; Mehlana, G. Hydrogenation of Carbon Dioxide to Formate by Noble Metal Catalysts Supported on a Chemically Stable Lanthanum Rod-Metal–Organic Framework. Inorg. Chem. 2023, 62, 9077–9088. [Google Scholar] [CrossRef]
- Nilwanna, K.; Sittiwong, J.; Boekfa, B.; Treesukol, P.; Boonya-udtayan, S.; Probst, M.; Maihom, T.; Limtrakul, J. Aluminum-based Metal-organic Framework Support Metal(II)-Hydride as Catalyst for the Hydrogenation of Carbon Dioxide to Formic Acid: A Computational Study. Mol. Catal. 2023, 541, 113116. [Google Scholar] [CrossRef]
- Dhakshinamoorthy, A.; Navalón, S.; Primo, A.; García, H. Selective Gas-Phase Hydrogenation of CO2 to Methanol Catalysed by Metal-Organic Frameworks. Angew. Chem. Int. Ed. 2024, 63, e202311241. [Google Scholar] [CrossRef] [PubMed]
- Kaishyop, J.; Gahtori, J.; Dalakoti, S.; Gazi, M.J.; Khan, T.S.; Bordoloi, A. Sorption Enhanced CO2 Hydrogenation to Formic Acid over CuZn-MOF Derived Catalysts. J. Mater. Chem. A 2024, 12, 8457–8473. [Google Scholar] [CrossRef]
- Chen, L.; Chen, H.; Luque, R.; Li, Y. Metal−organic Framework Encapsulated Pd Nanoparticles: Towards Advanced Heterogeneous Catalysts. Chem. Sci. 2014, 5, 3708–3714. [Google Scholar] [CrossRef]
- Ge, X.; Wong, R.; Anisa, A.; Ma, S. Recent Development of Metal-Organic Framework Nanocomposites for Biomedical Applications. Biomaterials 2022, 281, 121322. [Google Scholar] [CrossRef]
- Chen, L.; Luque, R.; Li, Y. Controllable Design of Tunable Nanostructures inside Metal–Organic Frameworks. Chem. Soc. Rev. 2017, 46, 4614–4630. [Google Scholar] [CrossRef]
- Li, Y.-M.; Hu, J.; Zhu, M. Confining Atomically Precise Nanoclusters in Metal–Organic Frameworks for Advanced Catalysis. Coord. Chem. Rev. 2023, 495, 215364. [Google Scholar] [CrossRef]
- Zheng, F.; Zhang, W.; Guo, Q.; Yu, B.; Wang, D.; Chen, W. Metal Clusters Confined in Porous Nanostructures: Synthesis, Properties and Applications in Energy Catalysis. Coord. Chem. Rev. 2024, 502, 215603. [Google Scholar] [CrossRef]
- Bavykina, A.; Kolobov, N.; Khan, I.S.; Bau, J.A.; Ramirez, A.; Gascon, J. Metal–Organic Frameworks in Heterogeneous Catalysis: Recent Progress, New Trends, and Future Perspectives. Chem. Rev. 2020, 120, 8468–8535. [Google Scholar] [CrossRef]
- Chen, L.; Xu, Q. Metal-Organic Framework Composites for Catalysis. Matter 2019, 1, 57–89. [Google Scholar] [CrossRef]
- Wang, Y.; Ling, L.; Zhang, W.; Guo, J.; Ding, K.; Duan, W.; Liu, B. “Ship-in-Bottle” Strategy to Encapsulate Shape-Controllable Metal Nanocrystals into Metal–Organic Frameworks: Internal Space Matters. Chem. Mater. 2019, 31, 9546–9553. [Google Scholar] [CrossRef]
- Fernández-Conde, C.; Zheng, Y.; Mon, M.; Ribera, A.; Leyva-Pérez, A.; Martí-Gastaldo, C. Time-Resolved Control of Nanoparticle Integration in Titanium-Organic Frameworks for Enhanced Catalytic Performance. Chem. Sci. 2024, 15, 2351–2358. [Google Scholar] [CrossRef]
- Kim, J.S.; Chang, H.; Kang, S.; Cha, S.; Cho, H.; Kwak, S.J.; Park, N.; Kim, Y.; Kang, D.; Song, C.K.; et al. Critical Roles of Metal–Ligand Complexes in the Controlled Synthesis of Various Metal Nanoclusters. Nat. Commun. 2023, 14, 3201. [Google Scholar] [CrossRef] [PubMed]
- Li, X.; Zeng, Z.; Zeng, G.; Wang, D.; Xiao, R.; Wang, Y.; Zhou, C.; Yi, H.; Ye, S.; Yang, Y. A “Bottle-around-Ship” like Method Synthesized Yolk-Shell Ag3PO4@MIL-53(Fe) Z-Scheme Photocatalysts for Enhanced Tetracycline Removal. J. Colloid Interface Sci. 2020, 561, 501–511. [Google Scholar] [CrossRef]
- Hermes, S.; Schröter, M.-K.; Schmid, R.; Khodeir, L.; Muhler, M.; Tissler, A.; Fischer, R.W.; Fischer, R.A. Metal@MOF: Loading of Highly Porous Coordination Polymers Host Lattices by Metal Organic Chemical Vapor Deposition. Angew. Chem. Int. Ed. 2005, 44, 6237–6241. [Google Scholar] [CrossRef]
- Paparo, A.; Okuda, J. Carbon Dioxide Complexes: Bonding Modes and Synthetic Methods. Coord. Chem. Rev. 2017, 334, 136–149. [Google Scholar] [CrossRef]
- Wang, S.; Hou, S.; Wu, C.; Zhao, Y.; Ma, X. RuCl3 Anchored onto Post-Synthetic Modification MIL-101(Cr)-NH2 as Heterogeneous Catalyst for Hydrogenation of CO2 to Formic Acid. Chin. Chem. Lett. 2019, 30, 398–402. [Google Scholar] [CrossRef]
- Hu, X.; Luo, M.; ur Rehman, M.; Sun, J.; Yaseen, H.A.S.M.; Irshad, F.; Zhao, Y.; Wang, S.; Ma, X. Mechanistic Insight into the Electron-Donation Effect of Modified ZIF-8 on Ru for CO2 Hydrogenation to Formic Acid. J. CO2 Util. 2022, 60, 101992. [Google Scholar] [CrossRef]
- Ohnishi, Y.; Nakao, Y.; Sato, H.; Sakaki, S. Ruthenium(II)-Catalyzed Hydrogenation of Carbon Dioxide to Formic Acid. Theoretical Study of Significant Acceleration by Water Molecules. Organometallics 2006, 25, 3352–3363. [Google Scholar] [CrossRef]
- Wen, M.; Mori, K.; Futamura, Y.; Kuwahara, Y.; Navlani-García, M.; An, T.; Yamashita, H. PdAg Nanoparticles within Core-Shell Structured Zeolitic Imidazolate Framework as a Dual Catalyst for Formic Acid-Based Hydrogen Storage/Production. Sci. Rep. 2019, 9, 15675. [Google Scholar] [CrossRef]
- Wu, C.; Luo, M.; Zhao, Y.; Wang, S.; Ma, X.; Zavabeti, A.; Xiao, P.; Li, G.K. CO2 Hydrogenation Using MOFs Encapsulated PdAg Nano-Catalysts for Formate Production. Chem. Eng. J. 2023, 475, 146411. [Google Scholar] [CrossRef]
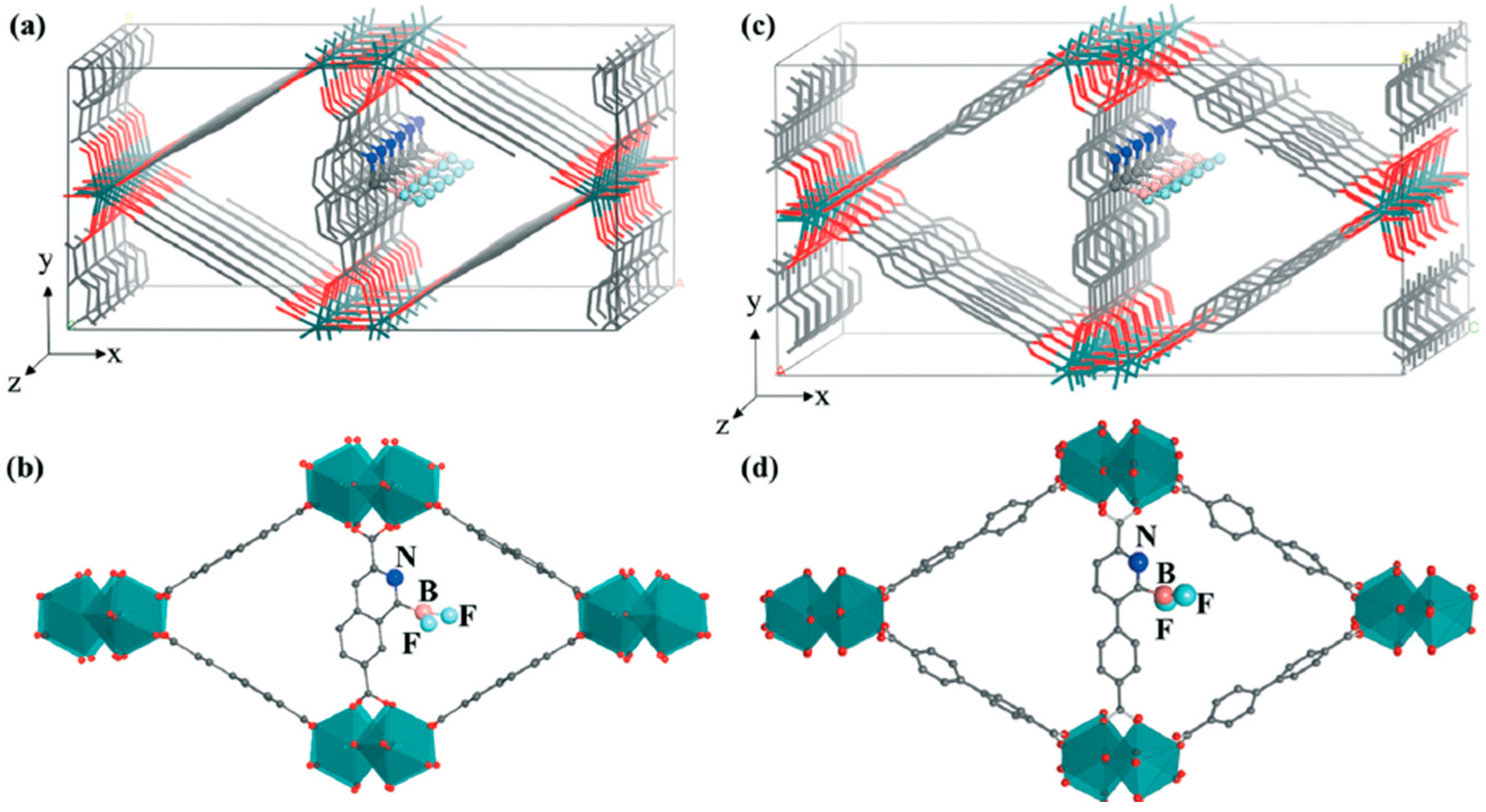
- An, B.; Zeng, L.; Jia, M.; Li, Z.; Lin, Z.; Song, Y.; Zhou, Y.; Cheng, J.; Wang, C.; Lin, W. Molecular Iridium Complexes in Metal–Organic Frameworks Catalyze CO2 Hydrogenation via Concerted Proton and Hydride Transfer. J. Am. Chem. Soc. 2017, 139, 17747–17750. [Google Scholar] [CrossRef] [PubMed]
- Li, Z.; Rayder, T.M.; Luo, L.; Byers, J.A.; Tsung, C.-K. Aperture-Opening Encapsulation of a Transition Metal Catalyst in a Metal–Organic Framework for CO2 Hydrogenation. J. Am. Chem. Soc. 2018, 140, 8082–8085. [Google Scholar] [CrossRef]
- Howarth, A.J.; Liu, Y.; Li, P.; Li, Z.; Wang, T.C.; Hupp, J.T.; Farha, O.K. Chemical, Thermal and Mechanical Stabilities of Metal–Organic Frameworks. Nat. Rev. Mater. 2016, 1, 15018. [Google Scholar] [CrossRef]
- Park, J.; Kim, H.S.; Lee, W.B.; Park, M.-J. Trends and Outlook of Computational Chemistry and Microkinetic Modeling for Catalytic Synthesis of Methanol and DME. Catalysts 2020, 10, 655. [Google Scholar] [CrossRef]
- Odoh, S.O.; Cramer, C.J.; Truhlar, D.G.; Gagliardi, L. Quantum-Chemical Characterization of the Properties and Reactivities of Metal–Organic Frameworks. Chem. Rev. 2015, 115, 6051–6111. [Google Scholar] [CrossRef]
- Jiao, L.; Jiang, H.-L. Metal-Organic Frameworks for Catalysis: Fundamentals and Future Prospects. Chin. J. Catal. 2023, 45, 1–5. [Google Scholar] [CrossRef]
- Coufourier, S.; Gaillard, S.; Clet, G.; Serre, C.; Daturi, M.; Renaud, J.-L. A MOF-Assisted Phosphine Free Bifunctional Iron Complex for the Hydrogenation of Carbon Dioxide, Sodium Bicarbonate and Carbonate to Formate. Chem. Commun. 2019, 55, 4977–4980. [Google Scholar] [CrossRef]
- Rohde, R.C.; Carsch, K.M.; Dods, M.N.; Jiang, H.Z.H.; McIsaac, A.R.; Klein, R.A.; Kwon, H.; Karstens, S.L.; Wang, Y.; Huang, A.J.; et al. High-Temperature Carbon Dioxide Capture in a Porous Material with Terminal Zinc Hydride Sites. Science 2024, 386, 814–819. [Google Scholar] [CrossRef]
- Yang, K.; Jiang, J. Computational Design of a Metal-Based Frustrated Lewis Pair on Defective UiO-66 for CO2 Hydrogenation to Methanol. J. Mater. Chem. A 2020, 8, 22802–22815. [Google Scholar] [CrossRef]
- Ali Akbar Razavi, S.; Morsali, A. Linker Functionalized Metal-Organic Frameworks. Coord. Chem. Rev. 2019, 399, 213023. [Google Scholar] [CrossRef]
- Maihom, T.; Wannakao, S.; Boekfa, B.; Limtrakul, J. Production of Formic Acid via Hydrogenation of CO2 over a Copper-Alkoxide-Functionalized MOF: A Mechanistic Study. J. Phys. Chem. C 2013, 117, 17650–17658. [Google Scholar] [CrossRef]
- Heshmat, M. Alternative Pathway of CO2 Hydrogenation by Lewis-Pair-Functionalized UiO-66 MOF Revealed by Metadynamics Simulations. J. Phys. Chem. C 2020, 124, 10951–10960. [Google Scholar] [CrossRef]
- Krishnan, R.; Yang, K.; Hashem, K.; Jiang, J. Metallated Porphyrinic Metal−organic Frameworks for CO2 Conversion to HCOOH: A Computational Screening and Mechanistic Study. Mol. Catal. 2022, 527, 112407. [Google Scholar] [CrossRef]
- Ye, J.; Li, L.; Johnson, J.K. The Effect of Topology in Lewis Pair Functionalized Metal Organic Frameworks on CO2 Adsorption and Hydrogenation. Catal. Sci. Technol. 2018, 8, 4609–4617. [Google Scholar] [CrossRef]
- Ye, J.; Johnson, J.K. Screening Lewis Pair Moieties for Catalytic Hydrogenation of CO2 in Functionalized UiO-66. ACS Catal. 2015, 5, 6219–6229. [Google Scholar] [CrossRef]
- Ye, J.; Johnson, J.K. Design of Lewis Pair-Functionalized Metal Organic Frameworks for CO2 Hydrogenation. ACS Catal. 2015, 5, 2921–2928. [Google Scholar] [CrossRef]
- Faizan, M.; Pawar, R. Alanine Boronic Acid Functionalized UiO-66 MOF as a Nanoreactor for the Conversion of CO2 into Formic Acid. J. Comput. Chem. 2023, 44, 1624–1633. [Google Scholar] [CrossRef] [PubMed]
- Peng, G.; Sibener, S.J.; Schatz, G.C.; Mavrikakis, M. CO2 Hydrogenation to Formic Acid on Ni(110). Surf. Sci. 2012, 606, 1050–1055. [Google Scholar] [CrossRef]
- Yan, G.; Gao, Z.; Zhao, M.; Yang, W.; Ding, X. CO2 Hydrogenation to Formic Acid over Platinum Cluster Doped Defective Graphene: A DFT Study. Appl. Surf. Sci. 2020, 517, 146200. [Google Scholar] [CrossRef]
- Ye, Z.; Chen, H. Mechanistic Study of CO2 Hydrogenation to HCOOH on Copper Nanocluster. Chem. Phys. Lett. 2025, 878, 142378. [Google Scholar] [CrossRef]
- Naimatullah; Cui, Y.; Yuan, Q.; Cheng, L. Theoretical Calculation of Single-Atom Supported BN Catalyzing CO2 Hydrogenation to Formic Acid: A First Principles Study. Chem. Phys. 2025, 597, 112781. [Google Scholar] [CrossRef]
- Noh, G.; Lam, E.; Bregante, D.T.; Meyet, J.; Šot, P.; Flaherty, D.W.; Copéret, C. Lewis Acid Strength of Interfacial Metal Sites Drives CH3 OH Selectivity and Formation Rates on Cu-Based CO2 Hydrogenation Catalysts. Angew. Chem. Int. Ed. 2021, 60, 9650–9659. [Google Scholar] [CrossRef]
- Wang, J.; Song, Y.; Li, J.; Liu, F.; Wang, J.; Lv, J.; Wang, S.; Li, M.; Bao, X.; Ma, X. Modulation of Al2O3 and ZrO2 Composite in Cu/ZnO-Based Catalysts with Enhanced Performance for CO2 Hydrogenation to Methanol. Appl. Catal. Gen. 2024, 674, 119618. [Google Scholar] [CrossRef]
- Zhang, H.; Yang, J.; Wang, S.; Zhao, N.; Xiao, F.; Wang, Y. Effect of Ni Content on Cu–Mn/ZrO2 Catalysts for Methanol Synthesis from CO2 Hydrogenation. Catal. Sci. Technol. 2024, 14, 2153–2165. [Google Scholar] [CrossRef]
- Pimbaotham, P.; Injongkol, Y.; Jungsuttiwong, S.; Yodsin, N. Advancing CO2 Hydrogenation to Formic Acid: DFT Insights into Frustrated Lewis Pair−Functionalized UiO−67 Catalysts. J. Catal. 2024, 436, 115571. [Google Scholar] [CrossRef]





| Catalyst | T/°C | Solvent | PCO2/PH2 (MPa/MPa) | TON | Ref. |
|---|---|---|---|---|---|
| Ru-PPh3/Al2O | 80 | H2O/EtOH/NEt3 | 2.0/2.0 | 751 | [46] |
| Ir-PN/SBA-15 | 60 | NEt3 aq. | 6.0/6.0 | 2800 | [47] |
| PEI-PN/Ir | 120 | NEt3 aq. | 20.0/20.0 | 1240 | [48] |
| “Si”-(CH2)3NH(CSCH3)-{RuCl3(PPh3)} | 60 | [DAMI][TfO] | 9.0/9.0 | 109 | [43] |
| Ru/MCM-41 | 80 | NEt3 aq. | 20.0/20.0 | 2019 | [44] |
| (Si)-NH2-RuCl3 | 80 | scCO2/EtOH/NEt3 | 12.0/4.0 | 1481.5 | [41] |
| Ru-DBU/Al2O3 | 80 | DMSO/NEt3/KH2PO4/EtOH | 6.0/9.0 | 239 | [45] |
| Ru/γ-Al2O3 | 80 | EtOH/NEt3 | 1.35/0.5 | 12.5 | [38] |
| Pd/CeO2 | 40 | 1 M NaOH/KOH/NEt3 aq. | 7/7 | 909 | [35] |
| Ru/SiO2-(CH2)3NH(CH2)3CH3 | 80 | EtOH | 12/4 | 1384 | [37] |
| Pd/ECN-1h | 40 | H2O | 2.5/2.5 | 1520 | [34] |
| Pd/g-C3N4 | 40 | H2O | 25/25 | 17.7 | [33] |
| Si-(CH2)3NH(CSCH3)-RuCl3- PPh3 | 60 | EtOH/[mammim][TfO] | 5.5/5.5 | 500 | [42] |
| Au/Al2O3 | 70 | EtOH/NEt3 | 4.0/4.0 | 215 | [50] |
| Au/TiO2 | 40 | NEt3 | 2.1/2.1 | 18,040 | [49] |
| PdAg/TiO2 | 100 | 1M NaHCO3 aq. | 1.0/1.0 | 748 | [52] |
| PdAg/SBA-15-phenylamine | 100 | 1M NaHCO3 aq. | 1.0/1.0 | 874 | [53] |
| PdAg/amine-MSC | 100 | 1M NaHCO3 aq. | 1.0/1.0 | 839 | [54] |
| PdAg/amine-RF10 | 100 | 1M NaHCO3 aq. | 1.0/1.0 | 867 | [55] |
| Pd3Ni7/CNT-GR | 40 | H2O | 2.5/2.5 | 5.4 | [56] |
| Cu(OAc)2·H2O-1,2-bis(diphenylphosphino)- benzene | 100 | 1,4-dioxane | 0.1/NA | 8100 | [57] |
| Cu/ZnO/Al2O3 | 140 | H2O | 3.0/3.0 | 6.17 | [59] |
| Cu/CuCr2O4 | 140 | 1M NaHCO3 aq. | 1.5/1.5 | 4.19 | [60] |
| MnO | 300 | 1M NaHCO3 aq. | NA | 0.06 | [62] |
| Al2O3 | 300 | 1M NaHCO3 aq. | NA | 0.11 | [63] |
| Fe3O4 | 300 | 2M NaHCO3 aq. | NA/6.0 | 38 | [64] |
| Catalyst | T/°C | Solvent | PCO2/PH2 (MPa/MPa) | TON | Ref. |
|---|---|---|---|---|---|
| PdAg/TEDA-MIL-101-NH2 | 70 | 1M NaHCO3 aq. | 2.5/2.5 | 1500 | [85] |
| Pd@Mg:JMS-2a | 100 | EtOH | 1.25/3.75 | 7272 | [86] |
| Pd@Mn:JMS-2a | 100 | EtOH | 1.25/3.75 | 9808 | [86] |
| Ir(III)@JMS-5a | 110 | EtOH | 1.25/3.75 | 5473 | [87] |
| Rh(III)@JMS-5a | 110 | EtOH | 1.25/3.75 | 4319 | [87] |
| Ru3-NHC-MOF | 120 | DMF | 4.0/4.0 | 3803 | [84] |
| Ru-CZ | 120 | Base-free aq. | 4.0/4.0 | 11,434 | [90] |
| RuCl3@MIL-101(Cr)-DPPB | 120 | DMSO/H2O/NEt3 | 3.0/3.0 | 831 | [104] |
| RuCl3@ZIF-8-Mtz(0.29) | 120 | EtOH/NEt3 | 4.0/4.0 | 1416 | [105] |
| ZIF-8@Pd1Ag2@ZIF-8 | 100 | 1 M NaHCO3 aq. | 1.0/1.0 | 112 | [107] |
| PdAg@MIL-101-PEI | 120 | Ethanol/NEt3 | 4.0/4.0 | 4968 | [108] |
| mbpyOH-[IrIII]-UiO | 85 | 1 M NaHCO3 aq. | 0.1/0.1 | 6149 | [109] |
| [Ru]@UiO-66 | 129 | DMF/DUB | 0.29/3.45 | 300,000 | [110] |
Disclaimer/Publisher’s Note: The statements, opinions and data contained in all publications are solely those of the individual author(s) and contributor(s) and not of MDPI and/or the editor(s). MDPI and/or the editor(s) disclaim responsibility for any injury to people or property resulting from any ideas, methods, instructions or products referred to in the content. |
© 2025 by the authors. Licensee MDPI, Basel, Switzerland. This article is an open access article distributed under the terms and conditions of the Creative Commons Attribution (CC BY) license (https://creativecommons.org/licenses/by/4.0/).
Share and Cite
Ye, Z.; Xie, W.; Chen, H. MOF-Based Catalysts for Thermal Hydrogenation of CO2 to HCOOH: A Review. Catalysts 2025, 15, 978. https://doi.org/10.3390/catal15100978
Ye Z, Xie W, Chen H. MOF-Based Catalysts for Thermal Hydrogenation of CO2 to HCOOH: A Review. Catalysts. 2025; 15(10):978. https://doi.org/10.3390/catal15100978
Chicago/Turabian StyleYe, Zechen, Wenxuan Xie, and Hongyan Chen. 2025. "MOF-Based Catalysts for Thermal Hydrogenation of CO2 to HCOOH: A Review" Catalysts 15, no. 10: 978. https://doi.org/10.3390/catal15100978
APA StyleYe, Z., Xie, W., & Chen, H. (2025). MOF-Based Catalysts for Thermal Hydrogenation of CO2 to HCOOH: A Review. Catalysts, 15(10), 978. https://doi.org/10.3390/catal15100978

