Fabrication of Platinum-Decorated NiCo-Layered Double Hydroxide Nanoflowers for Electrocatalytic Ammonia Oxidation Reaction
Abstract
1. Introduction
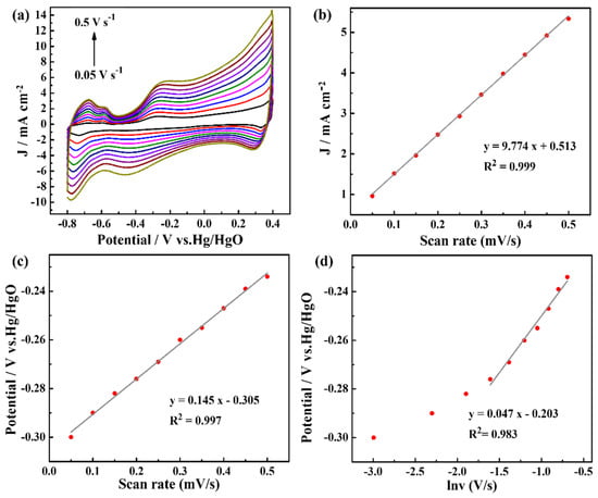
2. Results and Discussion
3. Experimental
The Synthesis of Pt-NiCo-LDH-Ni Foam
4. Conclusions
Author Contributions
Funding
Data Availability Statement
Conflicts of Interest
References
- Lyu, Z.H.; Fu, J.J.; Tang, T.; Zhang, J.N.; Hu, J.S. Design of ammonia oxidation electrocatalysts for efficient direct ammonia fuel cells. EnergyChem 2023, 5, 1000093. [Google Scholar] [CrossRef]
- Kim, H.; Hong, S.; Kim, H.; Jun, Y.J.; Kim, S.Y.; Ahn, S.H. Recent progress in Pt-based electrocatalysts for ammonia oxidation reaction. Appl. Mater. Today 2022, 29, 101640. [Google Scholar] [CrossRef]
- Tran, D.T.; Nguyen, T.H.; Jeong, H.; Tran, P.K.L.; Malhotra, D.; Jeong, K.U.; Kim, N.H.; Lee, J.H. Recent engineering advances in nanocatalysts for NH3-to-H2 conversion technologies. Nano Energy 2022, 94, 106929. [Google Scholar] [CrossRef]
- Park, D.C.; Hwang, S.; Kim, D.H. Designing ammonia oxidation catalysts via physical mixing of Pt/SiO2 and Cu/ZSM-5. Catal. Today 2024, 437, 114769. [Google Scholar] [CrossRef]
- Reddy, K.S.S.V.P.; Chung, J.S.; Kang, S.G. Electrochemical Ammonia Oxidation Reaction over Mn/CeO2 (M = Pt, Ir; n = 3, 4) Catalysts. J. Phys. Chem. C 2024, 128, 10317–10323. [Google Scholar] [CrossRef]
- Tang, H.; Gu, Y.F.; Luo, J.B.; Zhang, W.; Zhang, J.; Zhou, Y. Controlled synthesis of bead-like Pt as an efficient electrocatalyst for electrocatalytic ammonia oxidation. ChemistrySelect 2024, 9, e202400482. [Google Scholar] [CrossRef]
- Fang, H.H.; Liao, C.; Cai, Q.Y.; Zhong, F.L.; Lin, L.; Chen, C.Q.; Luo, Y.; Jiang, L.L. Tuning surficial atomic configuration of Pt-Ir catalysts for efficient ammonia oxidation and low-temperature direct ammonia fuel cells. Chem. Eng. Sci. 2023, 280, 118836. [Google Scholar] [CrossRef]
- Matin, M.A.; Kim, S.; Kim, Y.Y.; Han, C.; Byun, S.; Kim, H.C. PtZn alloy nanoparticles with enhanced activity and stability synthesized by a simplified polyol process for electro-oxidation of ammonia. J. Power Sources 2024, 591, 233885. [Google Scholar] [CrossRef]
- Zhang, W.Q.; Wang, X.C.; Tan, M.H.; Liu, H.Y.; Ma, Q.; Xu, Q.; Pollet, B.G.; Su, H.N. Electrodeposited platinum with various morphologies on carbon paper as efficient and durable self-supporting electrode for methanol and ammonia oxidation reactions. Int. J. Hydrogen Energy 2023, 48, 2617–2627. [Google Scholar] [CrossRef]
- Liu, Y.X.; Bai, Y.; Yang, W.W.; Ma, J.H.; Sun, K.N. Self-supported electrode of NiCo-LDH/NiCo2S4/CC with enhanced performance for oxygen evolution reaction and hydrogen evolution reaction. Electrochim. Acta 2021, 367, 137534. [Google Scholar] [CrossRef]
- Zhang, C.Y.; Du, X.Q.; Zhang, X.S.; Wang, Y.H. Ni3S2/MxSy–NiCo LDH (M = Cu, Fe, V, Ce, Bi) heterostructure nanosheet arrays on Ni foam as high-efficiency electrocatalyst for electrocatalytic overall water splitting and urea splitting. Dalton Trans. 2023, 52, 763. [Google Scholar] [CrossRef] [PubMed]
- Baruah, S.; Kumar, A.; Peela, N.R. Activated carbon supported Ni-Co layered double hydroxides nanowires: An effective and low-cost electrocatalyst for ethanol electro-oxidation in alkaline media. J. Electrochem. Soc. 2023, 170, 034509. [Google Scholar] [CrossRef]
- Wang, J.Y.; Qing, S.J.; Tong, X.L.; Zhang, K.; Luo, G.N.; Ding, J.; Xu, L.J. Boron nanoclusters endowed NiFe layered double hydroxides with efficient bifunction toward ammonia oxidation reaction and hydrogen evolution reaction. Appl. Surf. Sci. 2023, 640, 158330. [Google Scholar] [CrossRef]
- Wang, H.M.; Yuan, Y.Q.; Wang, G.Q.; Miao, Z. Preparation of nickel-copper layered double hydroxide on nickel foam as a non-noble catalyst for efficient electrooxidation of ammonia. J. Phys. Conf. Ser. 2022, 2390, 012072. [Google Scholar] [CrossRef]
- Zhu, L.H.; Zheng, T.; Yu, C.L.; Zheng, J.B.; Tang, Z.B.; Zhang, N.W.; Shu, Q.; Chen, B.H. Platinum-nickel alloy nanoparticles supported on carbon for 3-pentanone hydrogenation. Applied Surface Science. 2017, 409, 29–34. [Google Scholar] [CrossRef]
- Wang, J.M.; Wei, X.F.; Wang, P.P.; Miao, J.; Zhang, R.C.; Zhang, N.; Zhou, X.Q.; Xu, H.; Zhang, J.; Li, H.S.; et al. Insights into the enhanced performance of NiCo-LDH modified Pd/NF cathode for electrocatalytic hydrodechlorination. Fuel 2023, 341, 127689. [Google Scholar] [CrossRef]
- Zhang, L.; Ma, X.Y.; Liu, J.L.; Gu, J.L.; Suo, H.; Zhao, C.; Wang, X.Y. Achieving Ni@(Pt/Ni(OH)2) ternary nanoflowers derived from Ni nanoflowers for electrochemical ammonia-nitrogen detection in the aqueous environment. Microchem. J. 2024, 200, 110401. [Google Scholar] [CrossRef]
- Zhang, L.; Yuan, M.; Wang, X.Y.; Gu, J.L. Enhanced electrocatalytic oxidation activity of platinum-poly(methylene blue) as a sensitive sensor for ammonia-nitrogen detection. Microchem. J. 2024, 199, 110238. [Google Scholar] [CrossRef]
- Zhang, C.; Hwang, S.Y.; Peng, Z. Shape-enhanced ammonia electro-oxidation property of a cubic platinum nanocrystal catalyst prepared by surfactant-free synthesis. J. Mater. Chem. A 2013, 1, 14402–14408. [Google Scholar] [CrossRef]
- Jin, H.; Lee, S.; Sohn, Y.; Lee, S.H.; Kim, P.; Yoo, S.J. Capping agent-free synthesis of surface engineered Pt nanocube for direct ammonia fuel cell. Int. J. Energy Res. 2021, 45, 18281–18291. [Google Scholar] [CrossRef]
- Cunci, L.; Velez, C.A.; Perez, I.; Suleiman, A.; Larios, E.; Jose-Yacaman, M.; Watkins, J.J.; Cabrera, C.R. Platinum electrodeposition at unsupported electrochemically reduced nanographene oxide for enhanced ammonia oxidation. ACS Appl. Mater. Interfaces 2014, 6, 2137–2145. [Google Scholar] [CrossRef] [PubMed]
- Achrai, B.; Zhao, Y.; Wang, T.; Tamir, G.; Abbasi, R.; Setzler, B.P.; Page, M.; Yan, Y.; Gottesfeld, S. A direct ammonia fuel cell with a KOH-free anode feed generating 180 mW cm−2 at 120 °C. J. Electrochem. Soc. 2020, 167, 134518. [Google Scholar] [CrossRef]
- Silva, J.C.M.; Ntais, S.; Teixeira-Neto, É.; Spinacé, E.V.; Cui, X.; Neto, A.O.; Baranova, E.A. Evaluation of carbon supported platinum-ruthenium nanoparticles for ammonia electro-oxidation: Combined fuel cell and electrochemical approach. Int. J. Hydrogen Energy 2017, 42, 193–201. [Google Scholar] [CrossRef]
- Endo, K.; Nakamura, K.; Katayama, Y.; Miura, T. Pt-Me (Me = Ir, Ru, Ni) binary alloys as an ammonia oxidation anode. Electrochim. Acta. 2004, 49, 2503–2509. [Google Scholar] [CrossRef]
- Xue, Q.; Zhao, Y.; Zhu, J.; Ding, Y.; Wang, T.; Sun, H.; Li, F.; Chen, P.; Jin, P.; Yin, S.; et al. PtRu nanocubes as bifunctional electrocatalysts for ammonia electrolysis. J. Mater. Chem. A 2021, 9, 8444–8451. [Google Scholar] [CrossRef]






| Electrode | Onset Potential /V | Current Density /mA cm−2 | Electrolyte | Stability | Refs |
|---|---|---|---|---|---|
| PtNC/C | 0.480 VRHE | - | 0.1 M NH3 + 1.0 M KOH | at 0.600 VRHE for 1800 s | [19] |
| Pt cubesH-S | 0.450 VRHE | 5.240 at 0.700 VRHE | 0.5 M NH4OH + 0.5 M KOH | at −0.220 VHg/HgO for 1000 s | [20] |
| er-GOx/Pt hydrid materials | −0.300 VAg/AgCl | 0.255 at −0.075 VAg/AgCl | 1.0 M NH4OH | - | [21] |
| PtIr/C | 0.470 VRHE | - | 1.0 M NH3 | - | [22] |
| Pt90Ru10/C | - | 0.920 at −0.210 VHg/HgO | 1.0 M NH4OH + 1.0 M KOH | at −0.250 VHgHgO for 2.0 h | [23] |
| Pt0.2Ir0.8 | −0.600 VAgAgCl | 0.470 at −0.350 VAg/AgCl | 1.0 M NH3 + 1.0 M KOH | −0.500 VAgAgCl for 900 s | [24] |
| Pt6Ru-NCs | 0.500 VRHE | - | 1.0 M NH3 + 1.0 M KOH | at −0.670 VRHE for 7000 s | [25] |
| Pt-NiCo-LDH-Ni foam-3 | −0.573 VHg/HgO | 17.75 at −0.197 VHg/HgO | 0.1 M NH4Cl + 1.0 M KOH | at −0.197 VHg/HgO for 5000 s | This work |
Disclaimer/Publisher’s Note: The statements, opinions and data contained in all publications are solely those of the individual author(s) and contributor(s) and not of MDPI and/or the editor(s). MDPI and/or the editor(s) disclaim responsibility for any injury to people or property resulting from any ideas, methods, instructions or products referred to in the content. |
© 2024 by the authors. Licensee MDPI, Basel, Switzerland. This article is an open access article distributed under the terms and conditions of the Creative Commons Attribution (CC BY) license (https://creativecommons.org/licenses/by/4.0/).
Share and Cite
Wang, X.; Gong, Y.; Cai, H.; Han, Y.; Gu, J.; Zhang, L.; Zhao, C. Fabrication of Platinum-Decorated NiCo-Layered Double Hydroxide Nanoflowers for Electrocatalytic Ammonia Oxidation Reaction. Catalysts 2024, 14, 559. https://doi.org/10.3390/catal14090559
Wang X, Gong Y, Cai H, Han Y, Gu J, Zhang L, Zhao C. Fabrication of Platinum-Decorated NiCo-Layered Double Hydroxide Nanoflowers for Electrocatalytic Ammonia Oxidation Reaction. Catalysts. 2024; 14(9):559. https://doi.org/10.3390/catal14090559
Chicago/Turabian StyleWang, Xinyue, Yujie Gong, Hongli Cai, Yue Han, Jiali Gu, Liang Zhang, and Chun Zhao. 2024. "Fabrication of Platinum-Decorated NiCo-Layered Double Hydroxide Nanoflowers for Electrocatalytic Ammonia Oxidation Reaction" Catalysts 14, no. 9: 559. https://doi.org/10.3390/catal14090559
APA StyleWang, X., Gong, Y., Cai, H., Han, Y., Gu, J., Zhang, L., & Zhao, C. (2024). Fabrication of Platinum-Decorated NiCo-Layered Double Hydroxide Nanoflowers for Electrocatalytic Ammonia Oxidation Reaction. Catalysts, 14(9), 559. https://doi.org/10.3390/catal14090559
