Ultrasound-Assisted Photocatalytic Degradation of Azo Dyes under Visible Light Irradiation Using Polythiophene-Decorated CoFe2O4 Nanohybrids
Abstract
1. Introduction
2. Results
2.1. Confirmation of Loading of PTh via Thermogravimetric Analysis (TGA) Studies
2.2. XRD Analysis
2.3. XPS Analysis
2.4. SEM with Elemental Mapping
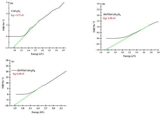
2.5. Analysis of Bandgap
2.6. Photocatalytic Activity
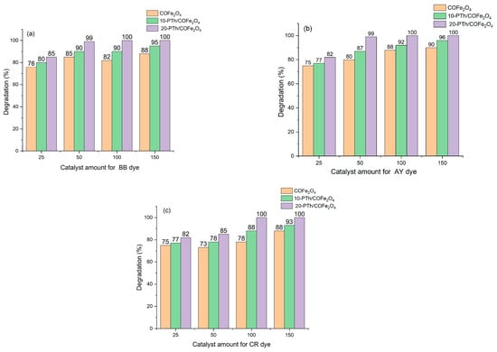
2.7. Effect of Catalyst Concentration and Dye Concentration
2.8. Radical Scavenging Experiments
2.9. Mechansim of Degradation
- CP + ℎυ (visible light) →CP (e− (LUMO) ….ℎ+ (HOMO);
- Electron (e−) + O2 →O2−● (superoxide radical);
- O2−● + H+ (from H2O) →●OOH;
- 2●OOH → O2 + H2O2;
- H2O2 + O2−● → ●OH + OH− + O2;
- H2O2+ h+ →2 HO●.

3. Experimental Methods and Characterization
3.1. Synthesis of Polythiophene
3.2. Synthesis of CoFe2O4
3.3. Preparation of Nanohybrids
3.4. UV–Visible Studies
3.5. XPS Analysis
3.6. XRD Studies
3.7. SEM Studies
3.8. Adsorption Studies
3.9. Dye Degradation Studies
3.10. Radical Scavenging Experiments and Recyclability Tests
4. Conclusions
Supplementary Materials
Author Contributions
Funding
Data Availability Statement
Conflicts of Interest
References
- Karajz, D.A.; Szilágyi, I.M. Review of photocatalytic ZnO nanomaterials made by atomic layer deposition. Surf. Interfaces 2023, 40, 103094. [Google Scholar] [CrossRef]
- Riaz, U.; Ashraf, S.M.; Kashyap, J. Role of Conducting Polymers in Enhancing TiO2-based Photocatalytic Dye Degradation: A Short Review. Polym.-Plast. Technol. Eng. 2015, 54, 1850–1870. [Google Scholar] [CrossRef]
- Chiam, S.L.; Pung, S.Y.; Yeoh, F.Y. Recent developments in MnO2-based photocatalysts for organic dye removal: A review. Environ. Sci. Pollut. Res. 2020, 27, 5759–5778. [Google Scholar] [CrossRef] [PubMed]
- Kangralkar, M.V.; Momin, N.; Manjanna, J. Cu2O nanoparticles for adsorption and photocatalytic degradation of methylene blue dye from aqueous medium. Environ. Nanotechnol. Mon. Manag. 2019, 12, 100265. [Google Scholar]
- Ajmal, A.; Majeed, I.; Malik, R.N.; Iqbal, M.; Nadeem, M.A.; Hussain, I.; Zeshan, Y.S.; Mustafa, G.; Zafar, M.I.; Nadeem, M.A. Photocatalytic degradation of textile dyes on Cu2O-CuO/TiO2 anatase powders. J. Environ. Chem. Eng. 2016, 4, 2138–2146. [Google Scholar] [CrossRef]
- Halfadji, A.; Chougui, A.; Djeradi, R.; Ouabad, F.Z.; Aoudia, H.; Rajendrachari, S. TiO2-Decorated by Nano-γ-Fe2O3 as a Catalyst for Efficient Photocatalytic Degradation of Orange G Dye under Eco-friendly White LED Irradiation. ACS Omega 2023, 8, 39907–39916. [Google Scholar] [CrossRef] [PubMed]
- Amrin, A.R. Photocatalytic oxidation of Congo Red dye by using Co2O3–Cr2O3 as a Photocatalyst. Mesop. Environ. J. 2016, 2, 66–74. [Google Scholar]
- Far, H.; Hamici, M.; Brihi, N.; Haddadi, K.; Boudissa, C.; Chihi, T.; Fatmi, M. High-performance photocatalytic degradation of NiO nanoparticles embedded on α-Fe2O3 nanoporous layers under visible light irradiation. J. Mater. Res. Technol. 2022, 19, 1944–1960. [Google Scholar] [CrossRef]
- Raizada, P.; Sudhaik, A.; Patial, S.; Hasija, V.; Khan, A.A.P.; Singh, P.; Gautam, S.; Kaur, M.; Nguyen, V.-H. Engineering nanostructures of CuO-based photocatalysts for water treatment: Current progress and future challenges. Arab. J. Chem. 2020, 13, 8424–8457. [Google Scholar] [CrossRef]
- Krishnan, A.; Swarnalal, A.; Das, D.; Krishnan, M.; Saji, V.S.; Shibli, S.M.A. A review on transition metal oxides based photocatalysts for degradation of synthetic organic pollutants. J. Environ. Sci. 2024, 139, 389–417. [Google Scholar] [CrossRef]
- Gaffar, S.; Kumar, A.; Riaz, U. Synthesis techniques and advance applications of spinel ferrites: A short review. J. Electroceram. 2023, 51, 246–257. [Google Scholar] [CrossRef]
- Shah, P.; Unnarkat, A.; Patel, F.; Shah, M.; Shah, P. A comprehensive review on spinel based novel catalysts for visible light assisted dye degradation. Proc. Saf. Environ. Protect. 2022, 161, 703–722. [Google Scholar] [CrossRef]
- Fouladi, A.A.; Falak, P.; Tabrizi, S.A.H. The photodegradation of antibiotics on nano cubic spinel ferrites photocatalytic systems: A review. J. Alloys Compd. 2023, 961, 171075. [Google Scholar] [CrossRef]
- Riaz, U.; Ashraf, S.M.; Aqib, M. Microwave-assisted degradation of acid orange using a conjugated polymer, polyaniline, as catalyst. Arab. J. Chem. 2014, 7, 79–86. [Google Scholar] [CrossRef]
- Riaz, U.; Ashraf, S.M.; Budhiraja, V.; Aleem, S. Comparative studies of the photocatalytic and microwave–assisted degradation of alizarin red using ZnO/poly (1-naphthylamine) nanohybrids. J. Mol. Liq. 2016, 216, 259–267. [Google Scholar] [CrossRef]
- Zia, J.; Riaz, U. Photocatalytic degradation of anti-inflammatory drug using POPD/Sb2O3 organic-inorganic nanohybrid under solar light. J. Mater. Res. Technol. 2019, 8, 4079–4093. [Google Scholar] [CrossRef]
- Zia, J.; Fatima, F.; Riaz, U. A comprehensive review on the photocatalytic activity of polythiophene-based nanocomposites against degradation of organic pollutants. Catal. Sci. Technol. 2021, 11, 6630–6648. [Google Scholar] [CrossRef]
- Zia, J.; Riaz, U. Photocatalytic degradation of water pollutants using conducting polymer-based nanohybrids: A review on recent trends and future prospects. J. Mol. Liq. 2021, 340, 117162. [Google Scholar] [CrossRef]
- Zia, J.; Rafi, M.; Aazam, E.S.; Riaz, U. Microwave—Assisted catalytic degradation efficiency of non-steroidal anti-inflammatory drug (NSAIDs) using magnetically separable magnesium ferrite (MgFe2O4) nanoparticles. Clean Technol. Environ. Policy 2024, 1–14. [Google Scholar] [CrossRef]
- Hassadee, A.; Jutarosaga, T.; Onreabroy, W. Effect of zinc substitution on structural and magnetic properties of cobalt ferrite. Procedia Eng. 2012, 32, 597–602. [Google Scholar] [CrossRef]
- Sajjia, M.; Oubaha, M.; Hasanuzzaman, M.; Olabi, A.G. Developments of cobalt ferrite nanoparticles prepared by the sol–gel process. Ceram. Int. 2014, 40, 1147–1154. [Google Scholar] [CrossRef]
- Sajjia, M.; Oubaha, M.; Prescott, T.; Olabi, A.G. Development of cobalt ferrite powder preparation employing the sol–gel technique and its structural characterization. J. Alloys Compd. 2010, 506, 400–406. [Google Scholar] [CrossRef]
- Jeevanantham, B.; Song, Y.; Choe, H.; Shobana, M.K. Structural and optical characteristics of cobalt ferrite nanoparticles. Mater. Lett. X 2021, 12, 100105. [Google Scholar] [CrossRef]
- Banerjee, S.; John, V.T.; McPherson, G.L.; O’Connor, C.J.; Buisson, Y.S.L.; Akkarra, J.A.; Kaplan, D.L. Polymer microsphere and polymer-ferrite nanocomposite preparation by precipitation from water-in-oil microemulsions. Coll. Polym. Sci. 1997, 275, 930–937. [Google Scholar] [CrossRef]
- Riaz, U.; Ashraf, S.M.; Raza, R.; Kohli, K.; Kashyap, J. Sonochemical Facile Synthesis of Self-Assembled Poly(o-phenylenediamine)/Cobalt Ferrite Nanohybrid with Enhanced Photocatalytic Activity. Ind. Eng. Chem. Res. 2016, 55, 6300–6309. [Google Scholar] [CrossRef]
- Vinosha, P.A.; Das, J. Investigation on the role of pH for the structural, optical and magnetic properties of cobalt ferrite nanoparticles and its effect on the photo-fenton activity. Mater. Today Proceed. 2018, 5, 8662–8671. [Google Scholar] [CrossRef]
- Le, T.-H.; Kim YYoon, H. Electrical and electrochemical properties of conducting polymers. Polymers 2017, 9, 150. [Google Scholar] [CrossRef] [PubMed]
- Xiong, P.; Chen, Q.; He, M.; Sun, X.; Wang, X. Cobalt ferrite–polyaniline heteroarchitecture: A magnetically recyclable photocatalyst with highly enhanced performances. J. Mater. Chem. 2012, 22, 17485. [Google Scholar] [CrossRef]
- Ghosh, S.; Mallik, A.K.; Basu, R.N. Enhanced photocatalytic activity and photoresponse of poly(3,4-ethylenedioxythiophene) nanofibers decorated with gold nanoparticles under visible light. Sol. Energy 2018, 159, 548–560. [Google Scholar] [CrossRef]
- Ghosh, S.; Kouame, N.A.; Remita, S.; Ramos, L.; Goubard, F.; Aubert, P.-H.; Dazzi, A.; Deniset-Besseau, A.; Remita, H. Visible-light active conducting polymer nanostructures with superior photocatalytic activity. Sci. Rep. 2015, 5, 18002. [Google Scholar] [CrossRef]
- Zhou, Q.; Shi, G. Conducting polymer-based catalysts. J. Am. Chem. Soc. 2016, 138, 2868–2876. [Google Scholar] [CrossRef] [PubMed]
- Wang, D.; Zhang, J.; Luo, Q.; Li, X.; Duan, Y.; An, J. Characterization and photocatalytic activity of poly(3-hexylthiophene)-modified TiO2 for degradation of methyl orange under visible light. J. Hazard. Mater. 2009, 169, 546–550. [Google Scholar] [CrossRef] [PubMed]
- Jana, B.; Bhattacharyya, S.; Patra, A. Conjugated polymer P3HT–Au hybrid nanostructures for enhancing photocatalytic activity. Phys. Chem. Chem. Phys. 2015, 17, 15392–15399. [Google Scholar] [CrossRef] [PubMed]
- Leng, C.; Wei, J.; Liu, Z.; Xiong, R.; Pan, C.; Shi, J. Facile synthesis of PANI-modified CoFe2O4–TiO2 hierarchical flower-like nanoarchitectures with high photocatalytic activity. J. Nanopart. Res. 2013, 15, 1643. [Google Scholar] [CrossRef]
- Sadeghpour, F.; Nabiyouni, G.; Ghanbari, D. Simple synthesis of conductive poly aniline/cobalt ferrite magnetic nanocomposite: Its radio waves absorption and photo catalyst ability. J. Clust. Sci. 2022, 33, 1257–1266. [Google Scholar] [CrossRef]
- Jung, H.-R.; Kim, K.N.; Lee, W.-J. Heterostructured Co0.5Mn0.5Fe2O4-polyaniline nanofibers: Highly efficient photocatalysis for photodegradation of methyl orange. Korean J. Chem. Eng. 2019, 36, 807–815. [Google Scholar] [CrossRef]








| Adsorption Parameters | CoFe2O4 | 10-PTh/CoFe2O4 | 20-PTh-CoFe2O4 |
|---|---|---|---|
| AY-dye | |||
| Qm | 0.103 | 0.111 | 0.115 |
| Qe | 0.032 | 0.038 | 0.042 |
| KsQe2 | 0.041 | 0.044 | 0.048 |
| CR-dye | |||
| Qm | 0.112 | 0.120 | 0.135 |
| Qe | 0.045 | 0.058 | 0.062 |
| KsQe2 | 0.051 | 0.064 | 0.068 |
| BB-dye | |||
| Qm | 0.005 | 0.112 | 0.131 |
| Qe | 0.015 | 0.018 | 0.020 |
| KsQe2 | 0.012 | 0.016 | 0.022 |
| Photocatalyst (Concentration) | Pollutant (Concentration) | Light Source | Duration | Degradation (%) |
|---|---|---|---|---|
| PANI-CoFe2O4-TiO2 (1 g/L) [34] | Methylene Blue (50 mg/L MB) | UV light Light visible 500 W Xe for Visible and 11 W, 0.8 mW/cm2 for UV | 60 min 180 min | >99% (UV) 99% (visible_) |
| CoFe2O4/PANI (0.5 g) [35] | Acid Black, Congo Red Acid Blue, Acid Violet (20 mL) | UV and visible light | 30 min | 80% 90% 85% 90% |
| CoFe2O4/poly(o-phenylenediamine) (POPD) (200 mg) [25]. | MG dye (200 ppm) | Visble light | 100 min | 100% |
| Co0.5Mn0.5Fe2O4- PANI (0.02 g) [36] | Methyl orange 0.02 g L−1. (100 mL) | Visble light | 120 min | 92% |
| PTh/CoFe2O4 our work | BB,AY,CR (20 ppm 300 mL) | Visible light | 30 min | 99% |
Disclaimer/Publisher’s Note: The statements, opinions and data contained in all publications are solely those of the individual author(s) and contributor(s) and not of MDPI and/or the editor(s). MDPI and/or the editor(s) disclaim responsibility for any injury to people or property resulting from any ideas, methods, instructions or products referred to in the content. |
© 2024 by the authors. Licensee MDPI, Basel, Switzerland. This article is an open access article distributed under the terms and conditions of the Creative Commons Attribution (CC BY) license (https://creativecommons.org/licenses/by/4.0/).
Share and Cite
Hauser, K.; Hassou, S.O.; Riaz, U. Ultrasound-Assisted Photocatalytic Degradation of Azo Dyes under Visible Light Irradiation Using Polythiophene-Decorated CoFe2O4 Nanohybrids. Catalysts 2024, 14, 495. https://doi.org/10.3390/catal14080495
Hauser K, Hassou SO, Riaz U. Ultrasound-Assisted Photocatalytic Degradation of Azo Dyes under Visible Light Irradiation Using Polythiophene-Decorated CoFe2O4 Nanohybrids. Catalysts. 2024; 14(8):495. https://doi.org/10.3390/catal14080495
Chicago/Turabian StyleHauser, Kristen, Sara Ou Hassou, and Ufana Riaz. 2024. "Ultrasound-Assisted Photocatalytic Degradation of Azo Dyes under Visible Light Irradiation Using Polythiophene-Decorated CoFe2O4 Nanohybrids" Catalysts 14, no. 8: 495. https://doi.org/10.3390/catal14080495
APA StyleHauser, K., Hassou, S. O., & Riaz, U. (2024). Ultrasound-Assisted Photocatalytic Degradation of Azo Dyes under Visible Light Irradiation Using Polythiophene-Decorated CoFe2O4 Nanohybrids. Catalysts, 14(8), 495. https://doi.org/10.3390/catal14080495
