Binuclear Dioxomolybdenum(VI) Complex Based on Bis(2-pyridinecarboxamide) Ligand as Effective Catalyst for Fuel Desulfurization
Abstract
1. Introduction
2. Results and Discussion
2.1. Catalyst Characterization
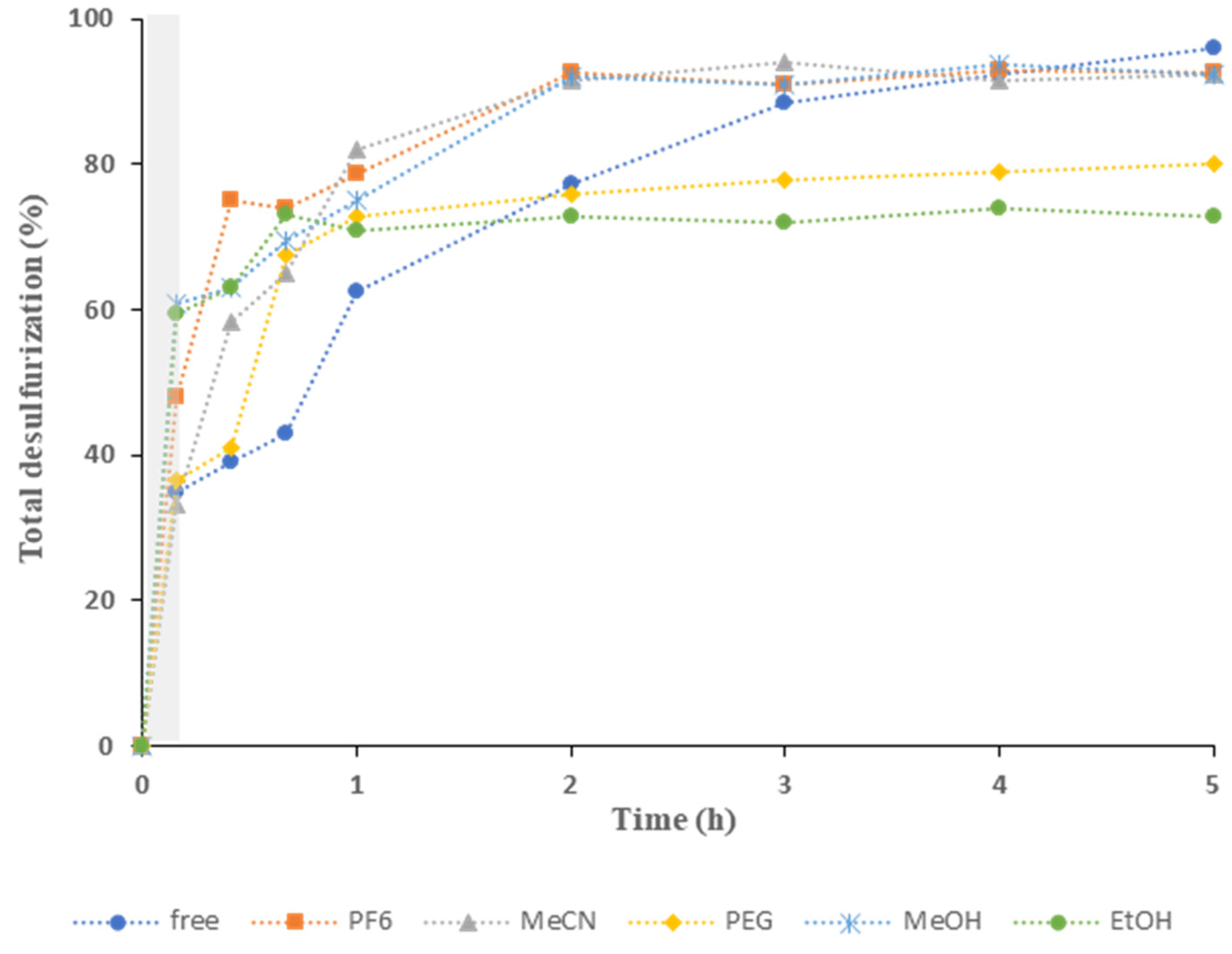
2.2. Desulfurization Studies
2.3. Reusing Tests
3. Materials and Methods
3.1. Chemicals
3.2. Instrumentation
3.3. Catalyst Synthesis
3.4. Oxidative Desulfurization Studies (ODS)
4. Conclusions
Author Contributions
Funding
Institutional Review Board Statement
Informed Consent Statement
Data Availability Statement
Acknowledgments
Conflicts of Interest
References
- Zhang, Y.; Wang, R. Synthesis of silica@C-dots/phosphotungstates core-shell microsphere for effective oxidative-adsorptive desulfurization of dibenzothiophene with less oxidant. Appl. Catal. B Environ. 2018, 234, 247–259. [Google Scholar] [CrossRef]
- Gu, Y.; Xu, W.; Sun, Y. Enhancement of catalytic performance over MOF-808(Zr) by acid treatment for oxidative desulfurization of dibenzothiophene. Catal. Today 2021, 377, 213–220. [Google Scholar] [CrossRef]
- Albayrak, A.T.; Tavman, A. Sono-oxidative desulfurization of fuels using heterogeneous and homogeneous catalysts: A comprehensive review. Ultrason. Sonochem. 2022, 83, 105845. [Google Scholar] [CrossRef] [PubMed]
- Ho, T.C.; McConnachie, J.M. Ultra-deep hydrodesulfurization on MoS2 and Co0.1MoS2: Intrinsic vs. environmental factors. J. Catal. 2011, 277, 117–122. [Google Scholar]
- Rangarajan, S.; Mavrikakis, M. On the Preferred Active Sites of Promoted MoS2 for Hydrodesulfurization with Minimal Organonitrogen Inhibition. ACS Catal. 2017, 7, 501–509. [Google Scholar]
- Tu, Y.; Li, T.; Yu, G.; Wei, L.; Ta, L.; Zhou, Z.; Ren, Z. Study on Modification and Desulfurization Performance of a Molybdenum-Based Catalyst. Energy Fuels 2019, 33, 8503–8510. [Google Scholar] [CrossRef]
- El-Gendy, N.S.; Speight, J.G. Handbook of Refinery Desulfurization; CRC Press: Boca Raton, FL, USA, 2015; Volume 140. [Google Scholar]
- Boshagh, F.; Rahmani, M.; Zhu, W.S. Key Factors Affecting the Development of Oxidative Desulfurization of Liquid Fuels: A Critical Review. Energy Fuels 2022, 36, 98–132. [Google Scholar] [CrossRef]
- Haghighi, M.; Gooneh-Farahani, S. Insights to the oxidative desulfurization process of fossil fuels over organic and inorganic heterogeneous catalysts: Advantages and issues. Environ. Sci. Pollut. Res. 2020, 27, 39923–39945. [Google Scholar] [CrossRef] [PubMed]
- Li, J.R.; Yang, Z.; Li, S.W.; Jin, Q.P.; Zhao, J.S. Review on oxidative desulfurization of fuel by supported heteropolyacid catalysts. J. Ind. Eng. Chem. 2020, 82, 1–16. [Google Scholar] [CrossRef]
- Liu, F.; Yu, J.; Qazi, A.B.; Zhang, L.; Liu, X.K. Metal-Based Ionic Liquids in Oxidative Desulfurization: A Critical Review. Environ. Sci. Technol. 2021, 55, 1419–1435. [Google Scholar] [CrossRef]
- Mjalli, F.S.; Ahmed, O.U.; Al-Wahaibi, T.; Al-Wahaibi, Y.; AlNashef, I.M. Deep oxidative desulfurization of liquid fuels. Rev. Chem. Eng. 2014, 30, 337–378. [Google Scholar] [CrossRef]
- Sahraei, S. Assessment of Reaction Parameters in the Oxidative Desulfurization Reaction. Energy Fuels 2023, 37, 15373–15393. [Google Scholar] [CrossRef]
- Taghizadeh, M.; Mehrvarz, E.; Taghipour, A. Polyoxometalate as an effective catalyst for the oxidative desulfurization of liquid fuels: A critical review. Rev. Chem. Eng. 2020, 36, 831–858. [Google Scholar] [CrossRef]
- Zhao, H.; Baker, G.A. Oxidative Desulfurization of Fuels Using Ionic Liquids: A Review. Front. Chem. Sci. Eng. 2015, 9, 262–279. [Google Scholar] [CrossRef] [PubMed]
- Juliao, D.; Gomes, A.C.; Cunha-Silva, L.; Pillinger, M.; Gonçalves, I.S.; Balula, S.S. Dichloro and dimethyl dioxomolybdenum(VI)-bipyridine complexes as catalysts for oxidative desulfurization of dibenzothiophene derivatives under extractive conditions. J. Organomet. Chem. 2022, 967, 122336. [Google Scholar] [CrossRef]
- Juliao, D.; Gomes, A.C.; Cunha-Silva, L.; Pillinger, M.; Lopes, A.D.; Valença, R.; Ribeiro, J.C.; Gonçalves, I.S.; Balula, S.S. Dichlorodioxomolybdenum(VI) complexes bearing oxygen-donor ligands as catalysts for oxidative desulfurization of simulated and real diesel. Catal. Commun. 2019, 128, 105704. [Google Scholar] [CrossRef]
- Juliao, D.; Gomes, A.C.; Pillinger, M.; Gonçalves, I.S.; Balula, S.S. Desulfurization and Denitrogenation Processes to Treat Diesel Using Mo(VI)-Bipyridine Catalysts. Chem. Eng. Technol. 2020, 43, 1774–1783. [Google Scholar] [CrossRef]
- Juliao, D.; Gomes, A.C.; Pillinger, M.; Lopes, A.D.; Valença, R.; Ribeiro, J.C.; Gonçalves, I.S.; Balula, S.S. Desulfurization of diesel by extraction coupled with Mo-catalyzed sulfoxidation in polyethylene glycol-based deep eutectic solvents. J. Mol. Liq. 2020, 309, 113093. [Google Scholar] [CrossRef]
- Juliao, D.; Gomes, A.C.; Pillinger, M.; Valenca, R.; Ribeiro, J.C.; Goncalves, I.S.; Balula, S.S. Desulfurization of model and real fuels by extraction and oxidation processes using an indenylmolybdenum tricarbonyl pre-catalyst. Appl. Organomet. Chem. 2020, 34, e5490. [Google Scholar] [CrossRef]
- Juliao, D.; Gomes, A.C.; Pillinger, M.; Valença, R.; Ribeiro, J.C.; Gonçalves, I.S.; Balula, S.S. A recyclable ionic liquid-oxomolybdenum(VI) catalytic system for the oxidative desulfurization of model and real diesel fuel. Dalton Trans. 2016, 45, 15242–15248. [Google Scholar] [CrossRef]
- Faria, R.G.; Silva, D.; Mirante, F.; Gago, S.; Cunha-Silva, L.; Balula, S.S. Advanced Technologies Conciliating Desulfurization and Denitrogenation to Prepare Clean Fuels. Catalysts 2024, 14, 137. [Google Scholar] [CrossRef]
- Gao, Y.; Granadeiro, C.M.; Cunha-Silva, L.; Zhao, J.S.; Balula, S.S. Peroxomolybdate@MOFs as effective catalysts for oxidative desulfurization of fuels: Correlation between MOF structure and catalytic activity. Catal. Sci. Technol. 2023, 13, 4785–4801. [Google Scholar] [CrossRef]
- Silva, D.F.; Faria, R.G.; Santos-Vieira, I.; Cunha-Silva, L.; Granadeiro, C.M.; Balula, S.S. Simultaneous sulfur and nitrogen removal from fuel combining activated porous MIL-100(Fe) catalyst and sustainable solvents. Catal. Today 2023, 423, 114250. [Google Scholar] [CrossRef]
- Ferella, F.; Biancalana, L.; Marchetti, F.; Crucianelli, M. Oxidative desulfurization of benzothiophene derivatives with cis-dioxomolybdenum(VI) catalyst precursors, under extractive conditions. Catal. Today 2020, 357, 646–654. [Google Scholar] [CrossRef]
- Juliao, D.; Gomes, A.C.; Pillinger, M.; Valença, R.; Ribeiro, J.C.; Gonçalves, I.S.; Balula, S.S. Desulfurization of liquid fuels by extraction and sulfoxidation using H2O2 and [CpMo(CO)3R] as catalysts. Appl. Catal. B-Environ. 2018, 230, 177–183. [Google Scholar] [CrossRef]
- Belda, O.; Moberg, C. Bispyridylamides—Coordination chemistry and applications in catalytic reactions. Coord. Chem. Rev. 2005, 249, 727–740. [Google Scholar] [CrossRef]
- Palucki, M.; Um, J.; Yasuda, N.; Conlon, D.; Tsay, F.-R.; Hartner, F.; Hsiao, Y.; Marcune, B.; Karady, S.; Hughes, D.; et al. Development of a New and Practical Route to Chiral 3,4-Disubstituted Cyclopentanones: Asymmetric Alkylation and Intramolecular Cyclopropanation as Key C−C Bond-Forming Steps. Org. Chem. 2002, 67, 5508–5516. [Google Scholar] [CrossRef]
- Krska, S.W.; Hughes, D.L.; Reamer, R.A.; Mathre, D.J.; Sun, Y.; Trost, B.M. The Unusual Role of CO Transfer in Molybdenum-Catalyzed Asymmetric Alkylations. J. Am. Chem. Soc. 2002, 124, 12656–12657. [Google Scholar] [CrossRef]
- Chapman, R.L.; Vagg, R.S. Studies on the metal-amide bond. I. Metal complexes of the bis-amide tetradentate ligand N,N′-bis(2′-pyridinecarboxamide)-1,2-benzene. Inorg. Chim. Acta 1979, 33, 227–234. [Google Scholar] [CrossRef]
- Zafiropoulos, T.F.; Perlepes, S.P.; Ioannou, P.V.; Tsangaris, J.M.; Galinos, A.G. Non Deprotonated Metal Complexes of the Bis-amide Tetradentate Ligand N,N′-(Dipicolyl)-1,8-naphthylenediamine. Z. Für Naturforschung B 1981, 36, 87–93. [Google Scholar] [CrossRef][Green Version]
- Gago, S.; Rodríguez-Borges, J.E.; Teixeira, C.; Santos, A.M.; Zhao, J.; Pillinger, M.; Nunes, C.D.; Petrovski, Ž.; Santos, T.M.; Kühn, F.E.; et al. Synthesis, characterization and catalytic studies of bis(chloro)dioxomolybdenum(VI)-chiral diimine complexes. J. Mol. Catal. A Chem. 2005, 236, 1–6. [Google Scholar] [CrossRef]
- Kühn, F.E.; Santos, A.M.; Lopes, A.D.; Gonçalves, I.S.; Rodríguez-Borges, J.E.; Pillinger, M.; Romão, C.C. Chiral bis(oxazoline) and pyridyl alcoholate dioxo-molybdenum(VI) complexes: Synthesis, characterization and catalytic examinations. J. Organomet. Chem. 2001, 621, 207–217. [Google Scholar] [CrossRef]
- Coelho, A.C.; Nolasco, M.; Balula, S.S.; Antunes, M.M.; Pereira, C.C.L.; Paz, F.A.A.; Valente, A.A.; Pillinger, M.; Ribeiro-Claro, P.; Klinowski, J.; et al. Chemistry and Catalytic Activity of Molybdenum(VI)-Pyrazolylpyridine Complexes in Olefin Epoxidation. Crystal Structures of Monomeric Dioxo, Dioxo-μ-oxo, and Oxodiperoxo Derivatives. Inorg. Chem. 2011, 50, 525–538. [Google Scholar] [CrossRef] [PubMed]
- Bullock, C.X.; Jamieson, C.S.; Moënne-Loccoz, P.; Taylor, B.; Gonzalez, J.A.M.; Draves, E.A.; Kuo, L.Y. Sulfide Oxidation by 2,6-Bis[hydroxyl(methyl)amino]-4-morpholino-1,3,5-triazinatodioxomolybdenum(VI): Mechanistic Implications with DFT Calculations for a New Class of Molybdenum(VI) Complex. Inorg. Chem. 2021, 60, 7762–7772. [Google Scholar] [CrossRef] [PubMed]
- Wang, R.; Zhang, G.; Zhao, H. Polyoxometalate as effective catalyst for the deep desulfurization of diesel oil. Catal. Today 2010, 149, 117–121. [Google Scholar] [CrossRef]
- Chen, Y.; Tian, Q.; Tian, Y.; Cui, J.; Wang, G. Ultra-Deep Oxidative Desulfurization of Fuel with H2O2 Catalyzed by Mesoporous Silica-Supported Molybdenum Oxide Modified by Ce. Appl. Sci. 2021, 11, 2018. [Google Scholar] [CrossRef]
- Kozhevnikov, I. Catalysts for Fine Chemical Synthesis, Catalysis by Polyoxometalates; Wiley: Hoboken, NJ, USA, 2002; Volume 2. [Google Scholar]











Disclaimer/Publisher’s Note: The statements, opinions and data contained in all publications are solely those of the individual author(s) and contributor(s) and not of MDPI and/or the editor(s). MDPI and/or the editor(s) disclaim responsibility for any injury to people or property resulting from any ideas, methods, instructions or products referred to in the content. |
© 2024 by the authors. Licensee MDPI, Basel, Switzerland. This article is an open access article distributed under the terms and conditions of the Creative Commons Attribution (CC BY) license (https://creativecommons.org/licenses/by/4.0/).
Share and Cite
Mirante, F.; Dias, C.N.; Silva, A.; Gago, S.; Balula, S.S. Binuclear Dioxomolybdenum(VI) Complex Based on Bis(2-pyridinecarboxamide) Ligand as Effective Catalyst for Fuel Desulfurization. Catalysts 2024, 14, 305. https://doi.org/10.3390/catal14050305
Mirante F, Dias CN, Silva A, Gago S, Balula SS. Binuclear Dioxomolybdenum(VI) Complex Based on Bis(2-pyridinecarboxamide) Ligand as Effective Catalyst for Fuel Desulfurization. Catalysts. 2024; 14(5):305. https://doi.org/10.3390/catal14050305
Chicago/Turabian StyleMirante, Fátima, Catarina N. Dias, André Silva, Sandra Gago, and Salete S. Balula. 2024. "Binuclear Dioxomolybdenum(VI) Complex Based on Bis(2-pyridinecarboxamide) Ligand as Effective Catalyst for Fuel Desulfurization" Catalysts 14, no. 5: 305. https://doi.org/10.3390/catal14050305
APA StyleMirante, F., Dias, C. N., Silva, A., Gago, S., & Balula, S. S. (2024). Binuclear Dioxomolybdenum(VI) Complex Based on Bis(2-pyridinecarboxamide) Ligand as Effective Catalyst for Fuel Desulfurization. Catalysts, 14(5), 305. https://doi.org/10.3390/catal14050305

