A Review of Catalysts for Synthesis of Dimethyl Carbonate
Abstract
1. Introduction
2. Synthesis of DMC by Methanol Oxidative Carbonylation
2.1. Catalyst for Methanol Liquid-Phase Oxidative Carbonylation Method
2.2. Catalyst for Methanol Gas-Phase Oxidative Carbonylation
3. Gas-Phase Carbonylation of Methyl Nitrite to Synthesize DMC
3.1. Chlorine Containing Catalyst
3.2. Chlorine-Free Catalyst
3.3. Mechanism of Gas-Phase Carbonylation Reaction of Methyl Nitrite
4. Direct Synthesis of DMC from CO2 and Methanol
4.1. Homogeneous Catalyst
4.2. Heterogeneous Catalyst
4.2.1. Supported Catalysts
4.2.2. Heteropoly Acid Catalyst
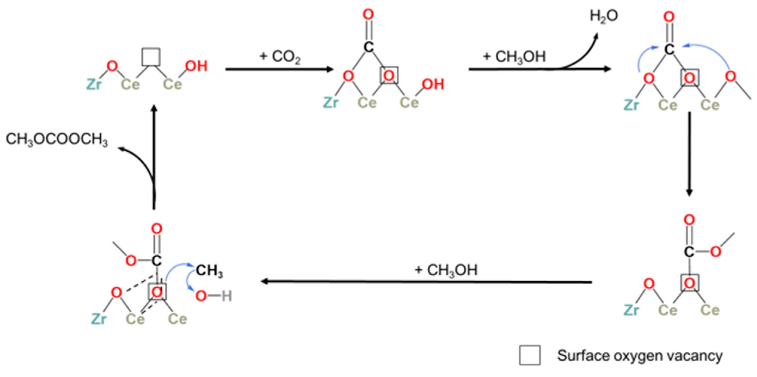
4.2.3. Metal Oxide Catalyst
4.3. Novel Photocatalysts and Electrocatalysts
5. Conclusions
Author Contributions
Funding
Data Availability Statement
Conflicts of Interest
References
- Tan, H.Z.; Wang, Z.Q.; Xu, Z.N.; Sun, J.; Xu, Y.P.; Chen, Q.S.; Chen, Y.; Guo, G.C. Review on the synthesis of dimethyl carbonate. Catal. Today 2018, 316, 2–12. [Google Scholar] [CrossRef]
- Keller, N.; Rebmann, G.; Keller, V. Catalysts, mechanisms and industrial processes for the dimethylcarbonate synthesis. J. Mol. Catal. A Chem. 2010, 317, 1–18. [Google Scholar] [CrossRef]
- Tundo, P.; Selva, M. The chemistry of dimethyl carbonate. Acc. Chem. Res. 2002, 35, 706–716. [Google Scholar] [CrossRef]
- Hong, S.T.; Park, H.S.; Lim, J.S.; Lee, Y.-W.; Anpo, M.; Kim, J.D. Synthesis of dimethyl carbonate from methanol and supercritical carbon dioxide. Res. Chem. Intermed. 2006, 32, 737–747. [Google Scholar] [CrossRef]
- Pyo, S.-H.; Park, J.H.; Chang, T.-S.; Hatti-Kaul, R. Dimethyl carbonate as a green chemical. Curr. Opin. Green Sustain. Chem. 2017, 5, 61–66. [Google Scholar] [CrossRef]
- Tundo, P.; Musolino, M.; Aricò, F. The reactions of dimethyl carbonate and its derivatives. Green Chem. 2018, 20, 28–85. [Google Scholar] [CrossRef]
- Deng, W.; Shi, L.; Yao, J.; Zhang, Z. A review on transesterification of propylene carbonate and methanol for dimethyl carbonate synthesis. Carbon Resour. Convers. 2019, 2, 198–212. [Google Scholar] [CrossRef]
- Kohli, K.; Sharma, B.K.; Panchal, C.B. Dimethyl carbonate: Review of synthesis routes and catalysts Used. Energies 2022, 15, 5133. [Google Scholar] [CrossRef]
- Pacheco, M.A.; Marshall, C.L. Review of dimethyl carbonate (DMC) manufacture and its characteristics as a fuel additive. Energy Fuels 1997, 11, 2–29. [Google Scholar] [CrossRef]
- Ono, Y. Catalysis in the production and reactions of dimethyl carbonate, an environmentally benign building block. Appl. Catal. A Gen. 1997, 155, 133–166. [Google Scholar] [CrossRef]
- Shaikh, A.-A.G.; Sivaram, S. Organic carbonates. Chem. Rev. 1996, 96, 951–976. [Google Scholar] [CrossRef] [PubMed]
- Ono, Y. Dimethyl carbonate for environmentally benign reactions. Catal. Today 1997, 35, 15–25. [Google Scholar] [CrossRef]
- Delledonne, D.; Rivetti, F.; Romano, U. Oxidative carbonylation of methanol to dimethyl carbonate (DMC): A new catalytic system. J. Organomet. Chem. 1995, 488, C15–C19. [Google Scholar] [CrossRef]
- Tundo, P.; Trotta, F.; Moragliob, G. Selective and continuous-flow mono-methylation of arylacetonitriles with dimethyl carbonate under gas-liquid phase-transfer catalysis conditions. J. Chem. Soc. Perkin Trans. 1 1989, 5, 1070–1071. [Google Scholar] [CrossRef]
- Dahiya, S.; Srivastava, V.C.; Kumar, V. Dimethyl carbonate synthesis via transesterification of propylene carbonate using a titanium–praseodymium-based catalyst. Energy Fuels 2022, 36, 13148–13158. [Google Scholar] [CrossRef]
- Shukla, K.; Srivastava, V.C. Diethyl carbonate: Critical review of synthesis routes, catalysts used and engineering aspects. RSC Adv. 2016, 6, 32624–32645. [Google Scholar] [CrossRef]
- Santos, B.A.; Silva, V.M.; Loureiro, J.M.; Rodrigues, A.E. Review for the direct synthesis of dimethyl carbonate. ChemBioEng Rev. 2014, 1, 214–229. [Google Scholar] [CrossRef]
- Romano, U.; Tesel, R.; Mauri, M.M.; Rebora, P. Synthesis of dimethyl carbonate from methanol, carbon monoxide, and oxygen catalyzed by copper compounds. Ind. Eng. Chem. Prod. Res. Dev. 1980, 19, 396–403. [Google Scholar] [CrossRef]
- Figueiredo, J.L.; Pereira, M.F.R. The role of surface chemistry in catalysis with carbons. Catal. Today 2010, 150, 2–7. [Google Scholar] [CrossRef]
- Qi, W.; Su, D. Metal-free carbon catalysts for oxidative dehydrogenation reactions. ACS Catal. 2014, 4, 3212–3218. [Google Scholar] [CrossRef]
- Lee Curnutt, G.; Dale Harley, A. Copper catalyzed oxidative carbonylation of methanol to dimethyl carbonate. In Oxygen Complexes and Oxygen Activation by Transition Metals; Springer: Berlin/Heidelberg, Germany, 1988; pp. 215–232. [Google Scholar]
- Han, M.S.; Lee, B.G.; Ahn, B.S.; Moon, D.J.; Hong, S.I. Surface properties of CuCl2/AC catalysts with various Cu contents: XRD, SEM, TG/DSC and CO-TPD analyses. Appl. Surf. Sci. 2003, 211, 76–81. [Google Scholar] [CrossRef]
- Tomishige, K.; Sakaihori, T.; Sakai, S.-i.; Fujimoto, K. Dimethyl carbonate synthesis by oxidative carbonylation on activated carbon supported CuCl2 catalysts: Catalytic properties and structural change. Appl. Catal. A Gen. 1999, 181, 95–102. [Google Scholar] [CrossRef]
- Yamamoto, Y.; Matsuzaki, T.; Ohdan, K.; Okamoto, Y. Structure and electronic state of PdCl2-CuCl2 catalysts supported on activated carbon. J. Catal. 1996, 161, 577–586. [Google Scholar] [CrossRef]
- Kriventsov, V.; Klimov, O.; Kikhtyanin, O.; Ione, K.; Kochubey, D. EXAFS study of Cu/C catalysts. Nucl. Instrum. Methods Phys. Res. Sect. A Accel. Spectrometers Detect. Assoc. Equip. 2000, 448, 318–322. [Google Scholar] [CrossRef]
- Punnoose, A.; Seehra, M.; Dunn, B.; Eyring, E. Characterization of CuCl2/PdCl2/activated carbon catalysts for the synthesis of diethyl carbonate. Energy Fuels 2002, 16, 182–188. [Google Scholar] [CrossRef]
- Han, M.S.; Lee, B.G.; Suh, I.; Kim, H.S.; Ahn, B.S.; Hong, S.I. Synthesis of dimethyl carbonate by vapor phase oxidative carbonylation of methanol over Cu-based catalysts. J. Mol. Catal. A Chem. 2001, 170, 225–234. [Google Scholar] [CrossRef]
- Zhang, G.; Liang, J.; Yin, J.; Yan, L.; Narkhede, N.; Zheng, H.; Li, Z. An efficient strategy to improve the catalytic activity of CuY for oxidative carbonylation of methanol: Modification of NaY by H4EDTA-NaOH sequential treatment. Microporous Mesoporous Mater. 2020, 307, 110500. [Google Scholar] [CrossRef]
- Zheng, H.-Y.; Wang, J.-Z.; Li, Z.; Yan, L.-F.; Wen, J.Z. Characterization and assessment of an enhanced CuY catalyst for oxidative carbonylation of methanol prepared by consecutive liquid-phase ion exchange and incipient wetness impregnation. Fuel Process. Technol. 2016, 152, 367–374. [Google Scholar] [CrossRef]
- Wang, Y.; Liu, Z.; Tan, C.; Sun, H.; Li, Z. High catalytic activity of CuY catalysts prepared by high temperature anhydrous interaction for the oxidative carbonylation of methanol. RSC Adv. 2020, 10, 3293–3300. [Google Scholar] [CrossRef]
- Zheng, H.; Narkhede, N.; Zhang, G.; Li, Z. Role of metal co-cations in improving CuY zeolite performance for DMC synthesis: A theoretical study. Appl. Organomet. Chem. 2020, 34, e5832. [Google Scholar] [CrossRef]
- Zhou, Y.; Zhang, G.; Song, Y.; Yu, S.; Zhao, J.; Zheng, H. DFT investigations of the reaction mechanism of dimethyl carbonate synthesis from methanol and CO on various Cu species in Y zeolites. Catalysts 2023, 13, 477. [Google Scholar] [CrossRef]
- Yamamoto, Y. Vapor phase carbonylation reactions using methyl nitrite over Pd catalysts. Catal. Surv. Asia 2010, 14, 103–110. [Google Scholar] [CrossRef]
- Nakamura, A.; Matsuzaki, T. A new oxidation system using nitrite oxidants. Res. Chem. Intermed. 1998, 24, 213–225. [Google Scholar] [CrossRef]
- Matsuzaki, T.; Nakamura, A. Dimethyl carbonate synthesis and other oxidative reactions using alkyl nitrites. Catal. Surv. Asia 1997, 1, 77–88. [Google Scholar] [CrossRef]
- Uchiumi, S.-I.; Ataka, K.; Matsuzaki, T. Oxidative reactions by a palladium–alkyl nitrite system. J. Organomet. Chem. 1999, 576, 279–289. [Google Scholar] [CrossRef]
- Lv, D.M.; Xu, Z.N.; Peng, S.Y.; Wang, Z.Q.; Chen, Q.S.; Chen, Y.; Guo, G.C. (Pd-CuCl2)/γ-Al2O3: A high-performance catalyst for carbonylation of methyl nitrite to dimethyl carbonate. Catal. Sci. Technol. 2015, 5, 3333–3339. [Google Scholar] [CrossRef]
- Matuzaki, T.; Simamura, T.; Fujitsu, S.; Toriyahara, Y. Method of Producing Carbonic Acid Diester. U.S. Patent No. EP0503618, 8 March 1992. [Google Scholar]
- Herman, F.L.; Savoca, A.C.; Listemann, M.L. Preparation of Metallated and Substituted Alkynes. U.S. Patent No. 5062998, 10 November 1992. [Google Scholar]
- Cassady, C.; Freiser, B. Gas-phase reactions of transition-metal ions with methyl nitrite and nitromethane. J. Am. Chem. Soc. 1985, 107, 1566–1573. [Google Scholar] [CrossRef]
- Choudhury, T.; He, Y.; Sanders, W.; Lin, M. Carbon monoxide formation in the thermal decomposition of methyl nitrite at high temperatures: Kinetic modeling of the methoxy decomposition rate. J. Phys. Chem. 1990, 94, 2394–2398. [Google Scholar] [CrossRef]
- Zhuo, G.L.; Jiang, X.Z. An attractive synthetic approach to methyl formate from methanol via methyl nitrite. Catal. Lett. 2002, 80, 171–174. [Google Scholar] [CrossRef]
- Zhuo, G.L.; Jiang, X.Z. Catalytic decompostiton of methyl nitrite over supported palladium catalysts in vapor phase. React. Kinet. Catal. Lett. 2002, 77, 219–226. [Google Scholar] [CrossRef]
- Zhuo, G.L.; Jiang, X.Z. Catalytic decomposition of ethyl nitrite over supported palladium catalyst. Chin. J. Catal. 2003, 24, 509–512. [Google Scholar]
- Matsuzaki, T.; Hitaka, M.; Tanaka, S.; Nishihira, K. Vapor Phase Dimethyl Carbonate Synthesis from Methyl Nitrite and Carbon Monoxide over Porous Lithium Aluminate Spinel Supported Palladium Catalyst. Nippon Kagaku Kaishi J. Chem. Soc. Jpn. Chem. Ind. Chem. 1999, 5, 347–354. [Google Scholar]
- Ge, Y.; Dong, Y.; Wang, S.; Zhao, Y.; Lv, J.; Ma, X. Influence of crystalline phase of Li-Al-O oxides on the activity of Wacker-type catalysts in dimethyl carbonate synthesis. Front. Chem. Sci. Eng. 2012, 6, 415–422. [Google Scholar] [CrossRef]
- Manada, N.; Murakami, M.; Yamamoto, Y.; Kurafuji, T. Preparation of dimethyl carbonate in the gas-phase reaction-release of Cl-compound from PdCl2 catalyst and effect of methyl chloroformate. Nippon Kagaku Kaishi 1994, 11, 985–991. [Google Scholar] [CrossRef]
- Matsuzaki, T.; Ohdan, K.; Asano, M.; Tanaka, S.; Nishihira, K.; Chiba, Y. Preparation method of dimethyl carbonate using methyl nitrite. Nippon Kagaku Kaishi 1999, 1, 15–24. [Google Scholar] [CrossRef][Green Version]
- Yamamoto, Y.; Matsuzaki, T.; Tanaka, S.; Nishihira, K.; Ohdan, K.; Nakamura, A.; Okamoto, Y. Catalysis and characterization of Pd/NaY for dimethyl carbonate synthesis from methyl nitrite and CO. J. Chem. Soc. Faraday Trans. 1997, 93, 3721–3727. [Google Scholar] [CrossRef]
- Zhang, Z.; Mestl, G.; Knözinger, H.; Sachtler, W. Effects of calcination program and rehydration on palladium dispersion in zeolites NaY and 5A. Appl. Catal. A Gen. 1992, 89, 155–168. [Google Scholar] [CrossRef]
- Bergeret, G.; Tri, T.M.; Gallezot, P. X-ray study of palladium location in Y zeolite during in situ hydrogen reduction, benzene adsorption and benzene hydrogenation. J. Phys. Chem. 1983, 87, 1160–1165. [Google Scholar] [CrossRef]
- Bergeret, G.; Gallezot, P.; Imelik, B. X-ray study of the activation, reduction, and reoxidation of palladium in Y-type zeolites. J. Phys. Chem. 1981, 85, 411–416. [Google Scholar] [CrossRef]
- Zhang, Z.; Sachtler, W.M.; Chen, H. Identification by diffuse reflectance and EXAFS of the changes in coordination of NaY entrapped Pd (NH3)x2+ ion during calcination. Zeolites 1990, 10, 784–789. [Google Scholar] [CrossRef]
- Zhang, Z.; Chen, H.; Sachtler, W.M. Migration and coalescence of Pd carbonyl clusters in zeolite Y. J. Chem. Soc. Faraday Trans. 1991, 87, 1413–1418. [Google Scholar] [CrossRef]
- Sheu, L.L.; Knoezinger, H.; Sachtler, W.M. Palladium carbonyl clusters entrapped in NaY zeolite cages: Ligand dissociation and cluster-wall interactions. J. Am. Chem. Soc. 1989, 111, 8125–8131. [Google Scholar] [CrossRef]
- Beutel, T.; Zhang, Z.; Sachtler, W.; Knözinger, H. Temperature dependence of palladium cluster formation in NaY and 5A zeolites. J. Phys. Chem. 1993, 97, 3579–3583. [Google Scholar] [CrossRef]
- Tan, H.Z.; Chen, Z.N.; Xu, Z.N.; Sun, J.; Wang, Z.Q.; Si, R.; Zhuang, W.; Guo, G.-C. Synthesis of high-performance and high-stability Pd(II)/nay catalyst for co direct selective conversion to dimethyl carbonate by rational design. ACS Catal. 2019, 9, 3595–3603. [Google Scholar] [CrossRef]
- Dong, Y.; Huang, S.; Wang, S.; Zhao, Y.; Gong, J.; Ma, X. Synthesis of dimethyl carbonate through vapor-phase carbonylation catalyzed by Pd-doped zeolites: Interaction of lewis acidic sites and Pd species. Communications 2013, 1, 1. [Google Scholar] [CrossRef]
- Guo, R.; Hou, Z.; Chen, J.; Qin, Y.; Chai, G.; Yao, Y. Improved catalytic performance of Pd-Cu/NaY zeolite by tunning Al distribution for the synthesis of dimethyl carbonate. Fuel 2022, 330, 125484. [Google Scholar] [CrossRef]
- Wang, C.; Liu, B.; Liu, P.; Huang, K.; Xu, N.; Guo, H.; Bai, P.; Ling, L.; Liu, X.; Mintova, S. Elucidation of the reaction mechanism of indirect oxidative carbonylation of methanol to dimethyl carbonate on Pd/NaY catalyst: Direct identification of reaction intermediates. J. Catal. 2022, 412, 30–41. [Google Scholar] [CrossRef]
- Wang, C.; Xu, N.; Huang, K.; Liu, B.; Zhang, P.; Yang, G.; Guo, H.; Bai, P.; Mintova, S. Emerging co-synthesis of dimethyl oxalate and dimethyl carbonate using Pd/silicalite-1 catalyst with synergistic interactions of Pd and silanols. Chem. Eng. J. 2023, 466, 143136. [Google Scholar] [CrossRef]
- Tan, H.Z.; Chen, Z.N.; Jing, K.Q.; Sun, J.; Xu, Y.P.; Zhang, N.N.; Xu, Z.N.; Guo, G.C. Paired-Pd(II) centers embedded in HKUST-1 framework: Tuning the selectivity from dimethyl carbonate to dimethyl oxalate. J. Energy Chem. 2022, 67, 233–240. [Google Scholar] [CrossRef]
- Wang, C.; Xu, W.; Qin, Z.; Guo, H.; Liu, X.; Mintova, S. Highly active Pd containing EMT zeolite catalyst for indirect oxidative carbonylation of methanol to dimethyl carbonate. J. Energy Chem. 2021, 52, 191–201. [Google Scholar] [CrossRef]
- Wu, S.; Guo, R.; Chen, J.; Ye, R.; Qin, Y.; Wu, H.; Zong, S.; Liu, Y.; Yao, Y. Rational design of Ga-substituted NaY zeolites with controllable acidity for remarkable carbonylation of methyl nitrite to dimethyl carbonate. Fuel 2023, 342, 127756. [Google Scholar] [CrossRef]
- Wang, C.; Xu, N.; Liu, T.-T.; Xu, W.; Guo, H.; Li, Y.; Bai, P.; Wu, X.-P.; Gong, X.-Q.; Liu, X. Mechanical pressure-mediated Pd active sites formation in NaY zeolite catalysts for indirect oxidative carbonylation of methanol to dimethyl carbonate. J. Catal. 2021, 396, 269–280. [Google Scholar] [CrossRef]
- Xu, Y.-P.; Wang, Z.-Q.; Tan, H.-Z.; Jing, K.-Q.; Xu, Z.-N.; Guo, G.-C. Lewis acid sites in MOFs supports promoting the catalytic activity and selectivity for CO esterification to dimethyl carbonate. Catal. Sci. Technol. 2020, 10, 1699–1707. [Google Scholar] [CrossRef]
- Hu, S.; Xie, C.; Xu, Y.P.; Chen, X.; Gao, M.L.; Wang, H.; Yang, W.; Xu, Z.N.; Guo, G.C.; Jiang, H.L. Selectivity control in the direct CO esterification over Pd@UiO-66: The Pd location matters. Angew. Chem. 2023, 135, e202311625. [Google Scholar] [CrossRef]
- Ji, S.; Chen, Y.; Zhao, G.; Wang, Y.; Sun, W.; Zhang, Z.; Lu, Y.; Wang, D. Atomic-level insights into the steric hindrance effect of single-atom Pd catalyst to boost the synthesis of dimethyl carbonate. Appl. Catal. B Environ. 2022, 304, 120922. [Google Scholar] [CrossRef]
- Xie, C.; Xu, Y.-P.; Gao, M.-L.; Xu, Z.-N.; Jiang, H.-L. MOF-stabilized Pd single sites for CO esterification to dimethyl carbonate. Acta Chim. Sin. 2022, 80, 867–873. [Google Scholar] [CrossRef]
- Wu, H.-Y.; Qin, Y.-Y.; Xiao, Y.-H.; Chen, J.-S.; Guo, R.; Wu, S.-Q.; Zhang, L.; Zhang, J.; Yao, Y.-G. Synergistic Lewis acid and Pd active sites of metal–organic frameworks for highly efficient carbonylation of methyl nitrite to dimethyl carbonate. Inorg. Chem. Front. 2022, 9, 2379–2388. [Google Scholar] [CrossRef]
- Wu, H.-Y.; Qin, Y.-Y.; Xiao, Y.-H.; Chen, J.-S.; Ye, R.; Guo, R.; Yao, Y.-G. Boosting activity and selectivity of UiO-66 through acidity/alkalinity functionalization in dimethyl carbonate catalysis. Small 2023, 19, 2208238. [Google Scholar] [CrossRef]
- Zhang, Y.; Khalid, M.S.; Wang, M.; Li, G. New strategies on green synthesis of dimethyl carbonate from carbon dioxide and methanol over oxide composites. Molecules 2022, 27, 5417. [Google Scholar] [CrossRef]
- Kumar, P.; Srivastava, V.C.; Štangar, U.L.; Mušič, B.; Mishra, I.M.; Meng, Y. Recent progress in dimethyl carbonate synthesis using different feedstock and techniques in the presence of heterogeneous catalysts. Catal. Rev. 2021, 63, 363–421. [Google Scholar] [CrossRef]
- Shi, D.; Heyte, S.; Capron, M.; Paul, S. Catalytic processes for the direct synthesis of dimethyl carbonate from CO2 and methanol: A review. Green Chem. 2022, 24, 1067–1089. [Google Scholar] [CrossRef]
- Ballivet-Tkatchenko, D.; Jerphagnon, T.; Ligabue, R.; Plasseraud, L.; Poinsot, D. The role of distannoxanes in the synthesis of dimethyl carbonate from carbon dioxide. Appl. Catal. A Gen. 2003, 255, 93–99. [Google Scholar] [CrossRef]
- Choi, J.-C.; Kohno, K.; Ohshima, Y.; Yasuda, H.; Sakakura, T. Tin-or titanium-catalyzed dimethyl carbonate synthesis from carbon dioxide and methanol: Large promotion by a small amount of triflate salts. Catal. Commun. 2008, 9, 1630–1633. [Google Scholar] [CrossRef]
- Poor Kalhor, M.; Chermette, H.; Ballivet-Tkatchenko, D. Dimethyl carbonate synthesis from CO2 and dimethoxytin (IV) complexes: The anatomy of the alkylation step viewed from DFT modeling. Ind. Eng. Chem. Res. 2019, 59, 6867–6873. [Google Scholar] [CrossRef]
- De Andrade, K.N.; da Costa, L.M.; Carneiro, J.W.D.M. Formation of dimethyl carbonate from CO2 and methanol catalyzed by Me2SnO: A density functional theory approach. J. Phys. Chem. A 2021, 125, 2413–2424. [Google Scholar] [CrossRef] [PubMed]
- Fang, S.; Fujimoto, K. Direct synthesis of dimethyl carbonate from carbon dioxide and methanol catalyzed by base. Appl. Catal. A Gen. 1996, 142, L1–L3. [Google Scholar] [CrossRef]
- Khokarale, S.G.; Bui, T.Q.; Mikkola, J.-P. One-pot, metal-free synthesis of dimethyl carbonate from CO2 at room temperature. Sustain. Chem. 2020, 1, 298–314. [Google Scholar] [CrossRef]
- Khokarale, S.; Shelke, G.; Mikkola, J.-P. Integrated and metal free synthesis of dimethyl carbonate and glycidol from glycerol derived 1,3-dichloro-2-propanol via CO2 capture. Clean Technol. 2021, 3, 685–698. [Google Scholar] [CrossRef]
- Zhao, T.; Han, Y.; Sun, Y. Novel reaction route for dimethyl carbonate synthesis from CO2 and methanol. Fuel Process. Technol. 2000, 62, 187–194. [Google Scholar] [CrossRef]
- Fan, B.; Zhang, J.; Li, R.; Fan, W. In situ preparation of functional heterogeneous organotin catalyst tethered on SBA-15. Catal. Lett. 2008, 121, 297–302. [Google Scholar] [CrossRef]
- Fan, B.; Li, H.; Fan, W.; Zhang, J.; Li, R. Organotin compounds immobilized on mesoporous silicas as heterogeneous catalysts for direct synthesis of dimethyl carbonate from methanol and carbon dioxide. Appl. Catal. A Gen. 2010, 372, 94–102. [Google Scholar] [CrossRef]
- Ballivet-Tkatchenko, D.; Bernard, F.; Demoisson, F.; Plasseraud, L.; Sanapureddy, S.R. Tin-based mesoporous silica for the conversion of CO2 into dimethyl carbonate. ChemSusChem 2011, 4, 1316–1322. [Google Scholar] [CrossRef] [PubMed]
- Fan, B.; Li, H.; Fan, W.; Qin, Z.; Li, R. Direct synthesis of dimethyl carbonate from methanol and carbon dioxide over organotin-functionalized mesoporous benzene-silica. Pure Appl. Chem. 2011, 84, 663–673. [Google Scholar] [CrossRef]
- Wu, X.; Meng, Y.; Xiao, M.; Lu, Y. Direct synthesis of dimethyl carbonate (DMC) using Cu-Ni/VSO as catalyst. J. Mol. Catal. A Chem. 2006, 249, 93–97. [Google Scholar] [CrossRef]
- Bian, J.; Xiao, M.; Wang, S.; Wang, X.; Lu, Y.; Meng, Y. Highly effective synthesis of dimethyl carbonate from methanol and carbon dioxide using a novel copper–nickel/graphite bimetallic nanocomposite catalyst. Chem. Eng. J. 2009, 147, 287–296. [Google Scholar] [CrossRef]
- Zhang, M.; Alferov, K.A.; Xiao, M.; Han, D.M.; Wang, S.J.; Meng, Y.Z. Continuous dimethyl carbonate synthesis from CO2 and methanol using Cu-Ni@VSiO as catalyst synthesized by a novel sulfuration method. Catalysts 2018, 8, 142. [Google Scholar] [CrossRef]
- Han, D.M.; Chen, Y.; Wang, S.J.; Xiao, M.; Lu, Y.X.; Meng, Y.Z. Effect of in-situ dehydration on activity and stability of Cu-Ni-K2O/diatomite as catalyst for direct synthesis of dimethyl carbonate. Catalysts 2018, 8, 343. [Google Scholar] [CrossRef]
- Xuan, K.; Pu, Y.F.; Li, F.; Li, A.X.; Luo, J.; Li, L.; Wang, F.; Zhao, N.; Xiao, F.K. Direct synthesis of dimethyl carbonate from CO2 and methanol over trifluoroacetic acid modulated UiO-66. J. CO2 Util. 2018, 27, 272–282. [Google Scholar] [CrossRef]
- Xu, W.; Xu, Z.H.; Yao, W.X.; Hu, L.H.; Ding, K.Q.; Wu, G.D.; Xiao, G.M.; Gao, L.J. Directly synthesis of dimethyl carbonate from CO2 and methanol over UiO-66@CeO2 Catalyst. Appl. Catal. A Gen. 2023, 662, 119262. [Google Scholar] [CrossRef]
- Huo, L.; Wang, L.; Li, J.; Pu, Y.; Xuan, K.; Qiao, C.; Yang, H. Cerium doped Zr-based metal-organic framework as catalyst for direct synthesis of dimethyl carbonate from CO2 and methanol. J. CO2 Util. 2023, 68. [Google Scholar] [CrossRef]
- Xuan, K.; Pu, Y.F.; Li, F.; Luo, J.; Zhao, N.; Xiao, F.K. Metal-organic frameworks MOF-808-X as highly efficient catalysts for direct synthesis of dimethyl carbonate from CO2 and methanol. Chin. J. Catal. 2019, 40, 553–566. [Google Scholar] [CrossRef]
- Hu, L.H.; Wnag, X.; Hu, K.R.; Chen, C.; Xu, Z.H.; Xu, W. Direct synthesis of dimethyl carbonate from CO2 and methanol over ZIF-67/CeO2. Chin. J. Inorg. Chem. 2023, 39, 1315–1324. [Google Scholar]
- Jiang, C.; Guo, Y.; Wang, C.; Hu, C.; Wu, Y.; Wang, E. Synthesis of dimethyl carbonate from methanol and carbon dioxide in the presence of polyoxometalates under mild conditions. Appl. Catal. A Gen. 2003, 256, 203–212. [Google Scholar] [CrossRef]
- Chiang, C.L.; Lin, K.S.; Yu, S.H. Preparation and characterization of H3PW12O40/ZrO2 catalyst for carbonation of methanol into dimethyl carbonate. Res. Chem. Intermed. 2018, 44, 3797–3811. [Google Scholar] [CrossRef]
- Aouissi, A.; Al-Deyab, S.S. Comparative study between gas phase and liquid phase for the production of DMC from methanol and CO2. J. Nat. Gas Chem. 2012, 21, 189–193. [Google Scholar] [CrossRef]
- La, K.W.; Jung, J.C.; Kim, H.; Baeck, S.-H.; Song, I.K. Effect of acid–base properties of H3PW12O40/CexTi1−xO2 catalysts on the direct synthesis of dimethyl carbonate from methanol and carbon dioxide: A TPD study of H3PW12O40/CexTi1−xO2 catalysts. J. Mol. Catal. A Chem. 2007, 269, 41–45. [Google Scholar] [CrossRef]
- Lee, H.J.; Park, S.; Jung, J.C.; Song, I.K. Direct synthesis of dimethyl carbonate from methanol and carbon dioxide over H3PW12O40/CeXZr1−XO2 catalysts: Effect of acidity of the catalysts. Korean J. Chem. Eng. 2011, 28, 1518–1522. [Google Scholar] [CrossRef]
- Chiang, C.L.; Lin, K.S.; Yu, S.H.; Lin, Y.G. Synthesis and characterization of H3PW12O40/Ce0.1Ti0.9O2 for dimethyl carbonate formation via Methanol carbonation. Int. J. Hydrogen Energy 2017, 42, 22108–22122. [Google Scholar] [CrossRef]
- Akune, T.; Morita, Y.; Shirakawa, S.; Katagiri, K.; Inumaru, K. ZrO2 nanocrystals as catalyst for synthesis of dimethylcarbonate from methanol and carbon dioxide: Catalytic activity and elucidation of active sites. Langmuir 2018, 34, 23–29. [Google Scholar] [CrossRef]
- Bansode, A.; Urakawa, A. Continuous DMC synthesis from CO2 and methanol over a CeO2 catalyst in a fixed bed reactor in the presence of a dehydrating agent. ACS Catal. 2014, 4, 3877–3880. [Google Scholar] [CrossRef]
- Tomishige, K.; Furusawa, Y.; Ikeda, Y.; Asadullah, M.; Fujimoto, K. CeO2–ZrO2 solid solution catalyst for selective synthesis of dimethyl carbonate from methanol and carbon dioxide. Catal. Lett. 2001, 76, 71–74. [Google Scholar] [CrossRef]
- Tomishige, K.; Sakaihori, T.; Ikeda, Y.; Fujimoto, K. A novel method of direct synthesis of dimethyl carbonate from methanol and carbon dioxide catalyzed by zirconia. Catal. Lett. 1999, 58, 225–229. [Google Scholar] [CrossRef]
- Jung, K.T.; Bell, A.T. An in situ infrared study of dimethyl carbonate synthesis from carbon dioxide and methanol over zirconia. J. Catal. 2001, 204, 339–347. [Google Scholar] [CrossRef]
- Wang, X.; Zhao, J.; Sun, W.; Pei, Y.; An, J.; Li, Z.; Ren, J. A DFT study of dimethyl carbonate synthesis from methanol and CO2 on zirconia: Effect of crystalline phases. Comput. Mater. Sci. 2019, 159, 210–221. [Google Scholar] [CrossRef]
- Wu, X.; Xiao, M.; Meng, Y.; Lu, Y. Direct synthesis of dimethyl carbonate on H3PO4 modified V2O5. J. Mol. Catal. A Chem. 2005, 238, 158–162. [Google Scholar] [CrossRef]
- Liu, B.; Li, C.; Zhang, G.; Yao, X.; Chuang, S.S.; Li, Z. Oxygen vacancy promoting dimethyl carbonate synthesis from CO2 and methanol over Zr-doped CeO2 nanorods. ACS Catal. 2018, 8, 10446–10456. [Google Scholar] [CrossRef]
- Daniel, C.; Farrusseng, D.; Schuurman, Y. Investigating the reaction mechanism of dimethyl carbonate synthesis through isotopic labeling experiments. Catal. Commun. 2023, 179, 106697. [Google Scholar] [CrossRef]
- Gu, Y.; Cheng, Q.; Li, X.; Zhang, S.; Wang, Z.; Wang, Y. Direct synthesis of dimethyl carbonate from methanol and carbon dioxide catalyzed by cerium-based high-entropy oxides. Catal. Lett. 2024, 154, 513–523. [Google Scholar] [CrossRef]
- Wang, X.; Xiao, M.; Wang, S.; Lu, Y.; Meng, Y. Direct synthesis of dimethyl carbonate from carbon dioxide and methanol using supported copper (Ni, V, O) catalyst with photo-assistance. J. Mol. Catal. A Chem. 2007, 278, 92–96. [Google Scholar] [CrossRef]
- Yuan, D.; Yan, C.; Lu, B.; Wang, H.; Zhong, C.; Cai, Q. Electrochemical activation of carbon dioxide for synthesis of dimethyl carbonate in an ionic liquid. Electrochim. Acta 2009, 54, 2912–2915. [Google Scholar] [CrossRef]
- Chen, S.; Wang, H.; Kang, Z.; Jin, S.; Zhang, X.; Zheng, X.; Qi, Z.; Zhu, J.; Pan, B.; Xie, Y. Oxygen vacancy associated single-electron transfer for photofixation of CO2 to long-chain chemicals. Nat. Commun. 2019, 10, 788. [Google Scholar] [CrossRef] [PubMed]
- Jin, S.; Guan, X.; Zhang, X.; Zhang, C.; Liu, J.; Wang, Y.; Wang, Y.; Li, R.; Li, Z.; Fan, C. CeO2 nanorods with bifunctional oxygen vacancies for promoting low-pressure photothermocatalytic CO2 conversion with CH3OH to dimethyl carbonate. J. Environ. Chem. Eng. 2023, 11, 111374. [Google Scholar] [CrossRef]
- Bai, J.Q.; Lv, L.; Liu, J.; Wang, Q.; Cheng, Q.; Cai, M.; Sun, S. Control of CeO2 defect sites for photo-and thermal-synergistic catalysis of CO2 and methanol to DMC. Catal. Lett. 2023, 153, 3209–3218. [Google Scholar] [CrossRef]




Disclaimer/Publisher’s Note: The statements, opinions and data contained in all publications are solely those of the individual author(s) and contributor(s) and not of MDPI and/or the editor(s). MDPI and/or the editor(s) disclaim responsibility for any injury to people or property resulting from any ideas, methods, instructions or products referred to in the content. |
© 2024 by the authors. Licensee MDPI, Basel, Switzerland. This article is an open access article distributed under the terms and conditions of the Creative Commons Attribution (CC BY) license (https://creativecommons.org/licenses/by/4.0/).
Share and Cite
Wang, D.; Shi, F.; Wang, L. A Review of Catalysts for Synthesis of Dimethyl Carbonate. Catalysts 2024, 14, 259. https://doi.org/10.3390/catal14040259
Wang D, Shi F, Wang L. A Review of Catalysts for Synthesis of Dimethyl Carbonate. Catalysts. 2024; 14(4):259. https://doi.org/10.3390/catal14040259
Chicago/Turabian StyleWang, Dong, Feng Shi, and Lingtao Wang. 2024. "A Review of Catalysts for Synthesis of Dimethyl Carbonate" Catalysts 14, no. 4: 259. https://doi.org/10.3390/catal14040259
APA StyleWang, D., Shi, F., & Wang, L. (2024). A Review of Catalysts for Synthesis of Dimethyl Carbonate. Catalysts, 14(4), 259. https://doi.org/10.3390/catal14040259
