DABCO/Amberlyst® 15-Cocatalysed One-Pot Three-Component Aza-Morita–Baylis–Hillman Reaction Under Green Conditions
Abstract
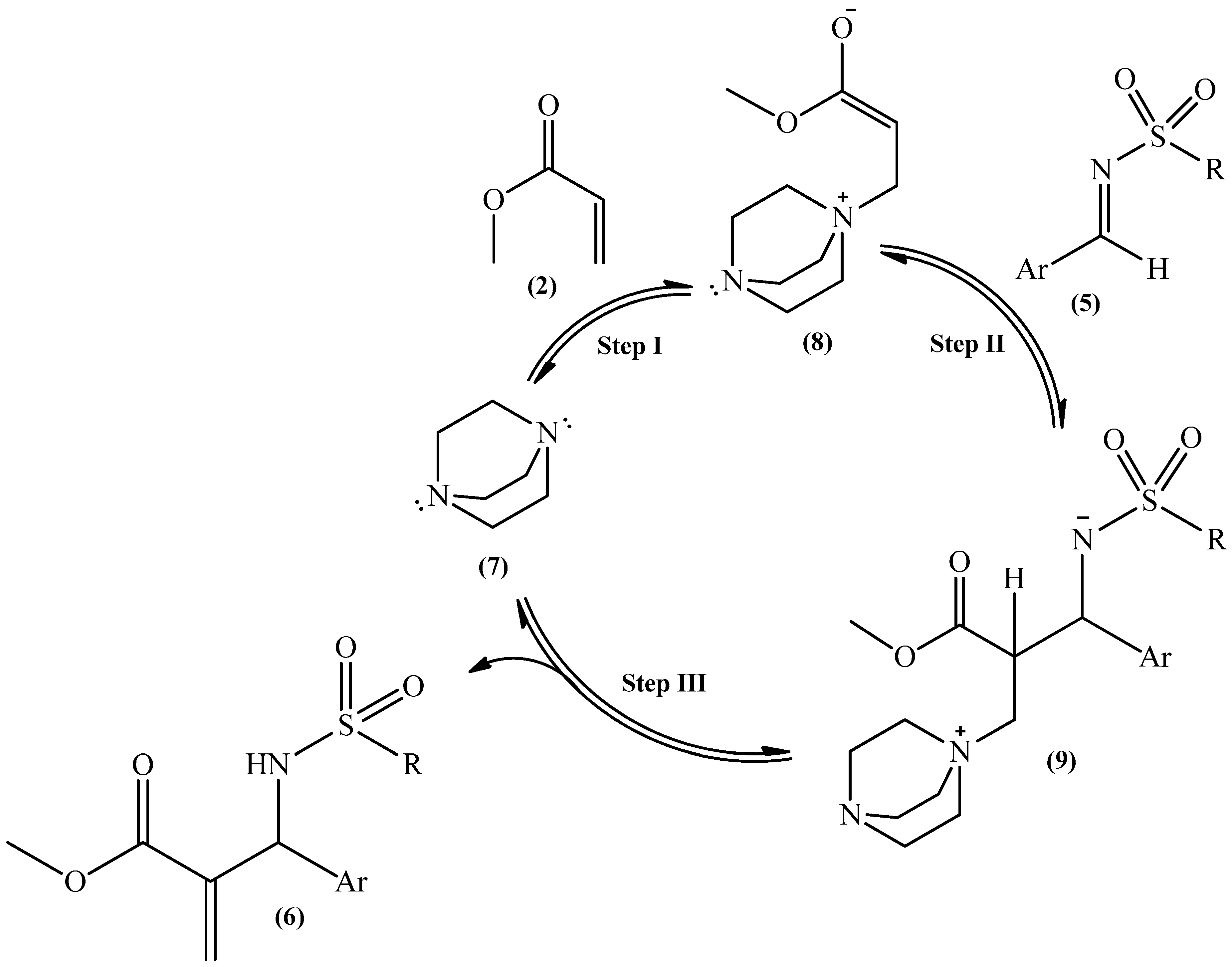
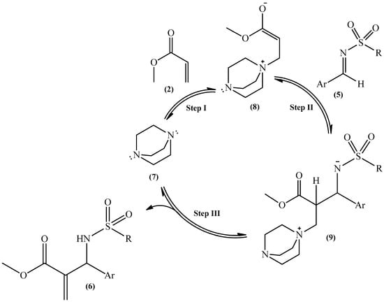
1. Introduction
2. Results
2.1. Catalyst Screening and Condition Optimisation
2.2. Substrate Screening
2.3. Catalyst Recycling Test
2.4. Green Metrics
3. Materials and Methods
3.1. General
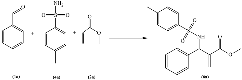
3.2. General Method for the Three-Component aza-MBH Reaction
3.3. Analytical Information
- Methyl 2-[{[(4-methylphenyl)sulfonyl]amino}(phenyl)methyl]acrylate (6a) [6]. MF: C18H19NO4S; MW: 345.4 g/mol. White solid recrystallized from hexane. Yield = 75%; Rf = 0.27 (hexane/acetone, 7.5:2.5 v/v); Mp. = 76–78 °C; 1H-NMR (500 MHz, CDCl3, ppm): δH 7.68 (d, 2H, J = 8.3 Hz), 7.25–7.20 (m, 5H), 7.18–7.12 (m, 2H), 6.22 (s, 1H), 5.83 (s, 1H), 5.58 (d, 1H, J = 8.8 Hz), 5.30 (d, 1H, J = 8.6 Hz), 3.61 (s, 3H), 2.41 (s, 3H). 13C-NMR (100 MHz, CDCl3, ppm) δ 165.8, 143.4, 138.60, 137.7, 129.5, 128.6, 127.9, 127.8, 127.2, 126.5, 59.0, 52.0, 21.5. IR (KBr, cm−1) 3383 (s), 3308 (w), 3258 (w), 3059 (w), 2960 (w), 2923 (w), 2853 (w), 1709 (s), 1627 (m), 1599 (m), 1494 (m), 1439 (s), 1408 (m), 1334 (s), 1164 (s), 1093 (s), 1069 (m), 969 (m), 929 (m), 813 (s), 754 (s), 705 (s), 670 (s). MS(ES+): m/z (%) = 344.16, 312.10, 270.16, 190.09, 175.05, 154.97.
- Methyl 2-[(4-methoxyphenyl){[(4-methylphenyl)sulfonyl]amino}methyl]acrylate (6b) [6]. MF: C19H21NO5S MW: 375.4 g/mol. Colourless solid. Yield = 75%; Rf = 0.20 (hexa ne/acetone, 7.5:2.5 v/v); Mp. = 112–113 °C; 1H-NMR (500 MHz, CDCl3, ppm): δH 7.67 (d, 2H, J = 8.3 Hz), 7.24 (d, 2H, J = 8.0 Hz), 7.04 (d, 2H, J = 8.4 Hz), 6.75 (d, 2H, J = 8.8 Hz), 6.21 (s, 1H), 5.83 (s, 1H), 5.51 (d, 1H, J = 8.6 Hz), 5.25 (d, 1H, J = 8.6 Hz), 3.75 (s, 3H), 3.61 (s, 3H), 2.41 (s, 3H). 13C-NMR (100 MHz, CDCl3, ppm) δ 165.0, 159.2, 143.5, 138.9, 137.7, 130.8, 129.5, 127.9, 127.5, 127.4, 114.1, 58.6, 55.3, 52.1, 21.6. IR (KBr, cm−1) 3264 (s), 3018 (w), 2953 (w), 2839 (w), 1717 (s), 1633(m), 1609 (m), 1501 (s), 1437 (m), 1403 (m), 1326 (s), 1246 (s), 1162 (s), 1073 (m), 1022 (m), 966 (m), 818 (s), 694 (s)
- Methyl 2-[(4-methylphenyl){[(4-methylphenyl)sulfonyl]amino}methyl]acrylate (6c) [29] MF: C19H21NO4S MW: 359.4 g/mol. Colourless solid. Yield = 81%; Rf = 0.29 (hexane/acetone, 7.5:2.5 v/v); Mp. = 130–132 °C; 1H-NMR (500 MHz, CDCl3, ppm): δH 7.68 (d, 2H, J = 8.3 Hz), 7.24 (d, 2H, J = 8.0 Hz), 7.02 (m, 4H), 6.21 (s, 1H), 5.83 (1H, s), 5.51 (d, 1H, J = 8.6 Hz), 5.26 (d, 1H, J = 8.6 Hz), 3.60 (3H, s), 2.41(3H, s), 2.28 (s, 3H). 13C-NMR (100 MHz, CDCl3, ppm) δ 165.9, 143.5, 138.8, 137.8, 137.6, 135.8, 129.6, 129.4, 127.7, 127.4, 126.5, 58.9, 52.1, 21.6, 21.1. IR (KBr, 1 cm−1) 3239 (s), 3047 (w), 2958 (w), 2918 (w), 1721 (s), 1684 (m), 1653 (m), 1507 (m), 1437 (m), 1327 (s), 1282 (s), 1167 (s), 1096 (w), 1051 (m), 933(m), 816 (m), 727 (w), 667 (w).
- Methyl 2-[(4-biphenyl){[(4-methylphenyl)sulfonyl]amino}methyl]acrylate (6d) MF: C24H23NO4S MW: 421.5 g/mol. Colourless solid. Yield = 81%; Rf = 0.3 (hexane/acetone, 7:3, v/v); Mp. = 165–166 °C; 1H-NMR (500 MHz, CDCl3, ppm): δH 7.69 (d, 2H, J = 8.3 Hz), 7.54–7.50 (m, 2H), 7.45 (d, 2H, J = 8.3 Hz), 7.42 (t, 2H, J = 7.6 Hz), 7.33 (t, 1H, J = 7.3, Hz), 7.24 (d, 2H, J = 8.1 Hz), 7.27–7.20 (d, 2H, J = 8.2 Hz), 6.25 (s, 1H), 5.86 (s, 1H), 5.65 (d, 1H, J = 8.9 Hz), 5.35 (d, 1H, J = 8.7 Hz), 3.63 (3H, s), 2.40 (s, 3H). 13C-NMR (100 MHz, CDCl3, ppm) δ 165.9, 143.5, 140.8, 140.6, 138.7, 137.8, 137.7, 129.6, 128.9, 128.0, 127.6, 127.40, 127.37, 127.2, 127.1, 59.0, 52.2, 21.6. IR (KBr, cm−1) 3270 (m), 3030 (w), 2956 (w), 1718 (s), 1627 (w), 1486 (m), 1446 (m), 1399 (w), 1325 (s), 1159 (s), 1074 (m), 948 (w), 819 (m), 766 (m), 703 (m), 689 (m), 668 (s). MS(ES+): m/z (%) = 267.29, 266.14, 251.16, 154.97.
- Methyl 2-[(4-furanyl){[(4-methylphenyl)sulfonyl]amino}methyl]acrylate (6e) [6] MF: C16H17NO5S MW: 335.4 g/mol. Orange oil. Yield = 74%; Rf = 0.23 (hexane/acetone, 7.5:2.5 v/v); 1H-NMR (500 MHz, CDCl3, ppm): δH 7.69 (d, 2H, J = 8.3 Hz), 7.24 (d, 2H, J = 8.0 Hz), 7.22–7.20 (m, 1H), 6.24 (s, 1H), 6.21 (dd, 1H, J = 3.3, 1.8 Hz), 6.06 (dt, 1H, J = 3.3, 0.8 Hz), 5.84 (s, 1H), 5.63 (d, 1H, J = 9.1 Hz), 5.39 (d, 1H, J = 9.1 Hz), 3.68 (s, 3H), 2.41 (s, 3H). 13C-NMR (100 MHz, CDCl3, ppm) δ 165.7, 151.3, 143.5, 142.4, 137.6, 137.0, 129.6, 128.5, 127.3, 110.6, 107.6, 53.6, 52.2, 21.6. IR (NaCl, cm−1) 3279 (s), 2990 (w), 2953 (m), 2926 (w), 1721 (s), 1635 (m), 1597 (m), 1496 (m), 1439 (s), 1333 (s), 1268 (s), 1159 (s), 1067 (m), 1013 (m), 962 (m), 918 (m), 816 (s), 743 (s), 679 (s).
- Methyl 2-[(1-naphthyl){[(4-methylphenyl)sulfonyl]amino}methyl]acrylate (6f) MF: C22H21NO4S MW: 359.5 g/mol. White solid. Yield = 62%; Rf = 0.24 (hexane/acetone, 7.5:2.5 v/v); Mp. = 152–159 °C; 1H-NMR (500 MHz, CDCl3, ppm): δH 7.81 (dd, 2H, J = 8.3, 2.9 Hz), 7.74 (d, 1H, J = 7.7 Hz), 7.65 (d, 2H, J = 8.3 Hz), 7.48–7.43 (m, 1H), 7.40–7.35 (m, 1H), 7.34–7.28 (m, 2H), 7.20 (d, 2H, J = 7.6 Hz), 6.39 (s, 1H), 6.21 (d, 1H, J = 7.3 Hz), 5.94 (s, 1H), 5.08 (d, 1H, J = 7.3 Hz), 3.58 (s, 3H). 2.41 (s, 3H). 13C-NMR (100 MHz, CDCl3, ppm) δ 166.2, 143.5, 139.5, 137.4, 134.4, 134.1, 130.6, 129.6, 129.1, 128.8, 127.7, 127.5, 126.7, 126.0, 125.2, 125.1, 123.0, 54.1, 52.1, 21.6. IR (KBr, cm−1), 3276 (s), 3030 (w), 2952 (w), 2853 (w), 1721 (s), 1597 (w), 1508 (w), 1435 (m), 1321 (s), 1294 (m), 1264 (m), 1155 (s), 1060 (s), 955 (w), 811 (m), 778 (m). MS(ES+): m/z (%) = 240.13, 225.09, 155.04.
- Methyl 2-[(2-chlorophenyl){[(4-methylphenyl)sulfonyl]amino}methyl]acrylate (6g) [29] MF: C18H18ClNO4S MW: 379.9 g/mol. White solid. Yield = 60%; Rf = 0.32 (hexane/acetone, 7.5:2.5 v/v); Mp. = 119–120 °C; 1H-NMR (500 MHz, CDCl3, ppm): δH 7.65 (d, 2H, J = 8.3 Hz), 7.32 (dd, 1H, J = 7.1, 2.3 Hz), 7.26–7.23 (m, 1H), 7.18 (d, 2H, J = 8.0 Hz), 7.16–7.09 (m, 2H), 6.29 (s, 1H), 5.89 (s, 1H), 5.74 (d, 1H, J = 8.6 Hz), 5.68 (d, 1H, J = 8.5 Hz), 3.63 (s, 3H), 2.37 (s, 3H). 13C-NMR (100 MHz, CDCl3, ppm) δ 165.9, 143.5, 137.8, 137.4, 135.9, 133.1, 129.9, 129.5, 129.1, 129.0, 128.8, 127.3, 127.0, 55.8, 52.2, 21.6. IR (KBr) 3251 (s), 3069 (w), 2953 (w), 2882 (w), 1722 (s), 1629 (w), 1444 (m), 1339 (m), 1321 (s), 1242 (s), 1153 (s), 1133 (m), 1070 (m), 926 (m), 818 (m), 751 (m), 694 (m).
- Methyl 2-[(4-chlorophenyl){[(4-methylphenyl)sulfonyl]amino}methyl]acrylate (6h) [29] MF: C18H18ClNO4S MW: 379.9 g/mol. White solid. Yield = 60%; Rf = 0.24 (hexane/acetone, 7.5:2.5 v/v); Mp. = 119–120 °C; 1H-NMR (500 MHz, CDCl3, ppm): δH 7.65 (d, 2H, J = 8.3 Hz), 7.32 (s, 1H), 7.23 (d, 1H, J = 8.0 Hz), 7.20 (d, 2H, J = 8.6 Hz), 7.10 (d, 2H, J = 8.4 Hz), 6.20 (s, 1H), 5.79 (s, 1H), 5.72 (d, 1H, J = 9.1 Hz), 5.26 (d, 1H, J = 9.1 Hz), 3.61 (s, 3H), 2.41 (s, 3H). 13C-NMR (100 MHz, CDCl3, ppm) δ 165.6, 143.7, 138.3, 137.7, 137.3, 133.8, 129.7, 128.8, 128.3, 128.0, 127.3, 58.7, 52.2, 21.6. IR (KBr, cm−1) 3258 (s), 3055 (w) 2959 (w), 2923 (w), 1705 (s), 1626 (w), 1555 (w), 1495 (m), 1455 (m), 1430 (m), 1332 (s), 1163(s), 1094 (m), 1065 (m), 1014 (m), 945 (m), 812 (m), 678 (s).
- Methyl 2-[(2,4-dichlorophenyl){[(4-methylphenyl)sulfonyl]amino}methyl]acrylate (6i) [30] MF: C18H17Cl2NO4S MW: 414.3 g/mol. White solid. Yield = 52%; Rf = 0.31 (hexane/acetone, 7.5:2.5 v/v); Mp. = 156–157 °C; 1H-NMR (500 MHz, CDCl3, ppm): δH 7.63 (d, 2H, J = 8.3 Hz), 7.28–7.26 (m, 2H), 7.19 (d, 2H, J = 8.1 Hz), 7.08 (dd, 1H, J = 8.5, 2.1 Hz), 6.28 (s, 1H), 5.88 (s, 1H), 5.73 (d, 1H, J = 8.7 Hz), 5.66 (d, 1H, J = 8.4 Hz), 3.64 (s, 3H), 2.39 (s, 3H). 13C-NMR (100 MHz, CDCl3, ppm) δ 165.8, 143.7, 137.33, 137.29, 134.6, 134.4, 133.7, 130.1, 129.6, 129.2, 127.3, 55.6, 52.3, 21.6. IR (KBr, cm−1) 3252 (s), 2954 (w), 1722(s), 1649 (s), 1439(m), 1336 (m), 1320 (m), 1244 (m), 1157 (s), 1135 (w), 1077 (w), 1045 (w), 928 (w), 810 (w), 777 (w).
- Methyl 2-[(4-bromophenyl){[(4-methylphenyl)sulfonyl]amino}methyl]acrylate (6j) MF: C18H18BrNO4S MW: 424.3 g/mol. Colourless solid. Yield = 57%; Rf = 0.26 (hexane/acetone, 7:3, v/v); Mp. = 115–116 °C; 1H NMR (500 MHz, CDCl3, ppm): δH 7.65 (d, 2H, J = 8.3 Hz), 7.34 (d, 2H, J = 8.6), 7.23 (d, 2H, J = 8.2), 7.04 (d, 2H, J = 8.2), 6.20 (s, 1H), 5.79 (s, 1H), 5.78 (d, 1H, J = 9.2 Hz), 5.23 (d, 1H, J = 9.2 Hz), 3.61 (3H, s), 2.41 (s, 3H). 13C-NMR (100 MHz, CDCl3, ppm) δ 165.8, 143.7, 138.3, 137.9, 137.6, 131.8, 129.7, 128.4, 128.3, 121.9, 58.8, 52.2, 21.7. IR (KBr, cm−1) 3279 (s), 2996 (w), 2953 (w), 2926 (w), 1718 (s), 1630 (w), 1596 (w), 1484 (m), 1441 (m),1417 (m), 1396 (m), 1328 (s), 1160 (s), 1073 (s), 1007 (m), 971 (m), 926 (m), 814 (m), 676 (s). MS(ES+): m/z (%) = 392.10, 255.05, 240.13, 155.04.
- Methyl 2-[(3-nitrophenyl){[(4-methylphenyl)sulfonyl]amino}methyl]acrylate (6k) [6] MF: C18H18N2O6S MW: 390.4 g/mol. Colourless oil. Yield = 42%; Rf = 0.23 (hexane/acetone, 7:3, v/v); 1H NMR (500 MHz, CDCl3, ppm): δH 8.07 (dd, 1H, J = 8.1, 1.7 Hz), 7.97 (s, 1H), 7.67 (d, 2H, J = 8.3 Hz), 7.64–7.61 (m, 1H), 7.45 (t, 1H, J = 8.0 Hz), 7.24 (d, 2H, J = 8.0 Hz), 6.27 (s, 1H), 5.90 (d, 1H, J = 9.3 Hz), 5.86 (s, 1H), 5.37 (d, 1H, J = 9.3 Hz), 3.64 (s, 3H), 2.40 (s, 3H). 13C-NMR (100 MHz, CDCl3, ppm) δ 165.5, 148.4, 145.0, 141.1, 137.7, 137.5, 132.8, 129.8, 129.7, 129.3, 127.3, 126.6, 122.8, 121.7, 58.8, 52.4, 21.6. IR (NaCl disc, cm−1) 3020 (s), 2954 (w), 1717 (s), 1630 (w), 1523 (s), 1441 (m), 1350 (s), 1217 (s) 1160 (s), 1092 (m), 1049 (m), 965 (w), 813 (w), 756 (s), 668 (s).
- Methyl 2-[(4-nitrophenyl){[(4-methylphenyl)sulfonyl]amino}methyl]acrylate (6l) [6] MF: C18H18N2O6S MW: 390.4 g/mol. Yellow oil. Yield = 53%; Rf = 0.21 (hexane/acetone, 7.5:2.5 v/v); 1H-NMR (500 MHz, CDCl3, ppm): δH 8.10 (d, 2H, J = 8.8 Hz), 7.67 (d, 2H, J = 8.3 Hz), 7.40 (d, 2H, J = 8.4 Hz), 7.25 (d, 2H, J = 8.0 Hz), 6.24 (s, 1H), 5.94 (d, 1H, J = 9.4 Hz), 5.82 (s, 1H), 5.37 (d, 1H, J = 9.4 Hz), 3.62 (s, 3H), 2.41 (s, 3H). 13C-NMR (100 MHz, CDCl3, ppm) δ 165.5, 147.5, 146.1, 144.0, 137.6, 137.5, 129.8, 129.3, 127.5, 127.3, 123.8, 59.0, 52.4, 21.6. IR (NaCl, cm−1) 3079 (w), 3000 (w), 2953 (m), 1713 (s), 1630 (m), 1606 (m), 1516 (s), 1440 (s), 1436 (w), 1350 (s), 1194 (s), 1151 (s), 1109 (m), 1050 (s), 1014(w), 956 (m), 857 (m), 828 (s). 726 (m), 699 (m).
- Ethyl 2-[{[(4-methylphenyl)sulfonyl]amino}(phenyl)methyl]acrylate (6m) MF: C19H21NO4S MW: 359.4 g/mol. White solid. Yield = 83%; Rf = 0.31 (hexane/acetone, 7.5:2.5 v/v); Mp. = 98–100 °C; 1H-NMR (500 MHz, CDCl3, ppm): δH 7.68 (d, 2H, J = 8.3 Hz), 7.25–7.20 (m, 5H), 7.17–7.13 (m, 2H), 6.21 (s, 1H), 5.80 (s, 1H), 5.61 (d, 1H, J = 9.0 Hz), 5.30 (d, 1H, J = 9.0 Hz), 4.05 (q, 2H, J = 7.2 Hz), 2.41 (s, 3H), 1.14 (t, 3H, J = 7.2 Hz). 13C-NMR (100 MHz, CDCl3, ppm) δ 165.4, 143.4, 139.0, 138.9, 137.9, 129.6, 128.6, 127.8, 127.6, 127.4, 126.6, 61.1, 59.2, 21.6, 14.0. IR (KBr, cm−1): 3296 (s), 3054 (w), 2982 (w), 2925 (w), 1719 (s), 1635 (m), 1583 (m), 1494 (m), 1450 (m), 1420 (m), 1329 (s), 1315 (s), 1292 (m), 1280 (m), 1235 (m), 1200 (s), 1157 (s), 1091 (s), 1066 (m), 1027 (m), 970 (m), 862 (w). 816 (s), 753 (s), 674 (s). MS(ES+): m/z (%) = 358.25, 204.18, 189.07, 155.01.
- N-(2-cyano-1-phenyl-2-propenyl)-4-methyl-benzenesulfonamide (6n) [6] MF: C17H16N2O2S MW: 312.4 g/mol. White crystalline solid. Yield = 69%; Rf = 0.20 (hexane/acetone, 7:3, v/v); Mp. = 112–114 °C; 1H NMR (500 MHz, CDCl3, ppm): δH 7.70 (d, 2H, J = 8.3 Hz), 7.32–7.26 (m, 5H), 7.13–7.09 (m, 2H), 6.06 (d, 1H, J = 1.2 Hz), 6.00 (s, 1H), 5.10 (d, 1H, J = 7.1 Hz), 5.06 (d, 1H, J = 7.1 Hz, 2.43 (s, 3H). 13C-NMR (100 MHz, CDCl3, ppm) δ 144.2, 136.9, 136.2, 132.0, 129.9, 129.4, 129.2, 127.4, 127.0, 123.5, 116.7, 59.9, 21.7. IR (KBr, cm−1) 3242 (s), 3064 (w), 3032 (w), 2951 (w), 2919 (w), 2225 (m), 1587 (m), 1493 (m), 1459 (s), 1393 (m), 1322(s), 1190 (m), 1163 (s), 1085 (m), 1064 (m), 953 (m), 921 (m), 846 (m), 813 (m), 699 (s), 673 (s).
4. Conclusions
Supplementary Materials
Author Contributions
Funding
Data Availability Statement
Acknowledgments
Conflicts of Interest
References
- Trost, B.M. The Atom Economy—A Search for Synthetic Efficiency. Science 1991, 254, 1471–1477. [Google Scholar] [CrossRef] [PubMed]
- Basavaiah, D.; Dharma Rao, P.; Suguna Hyma, R. The Baylis-Hillman Reaction: A Novel Carbon-Carbon Bond Forming Reaction. Tetrahedron 1996, 52, 8001–8062. [Google Scholar] [CrossRef]
- Morita, K.; Suzuki, Z.; Hirose, H. A Tertiary Phosphine-Catalyzed Reaction of Acrylic Compounds with Aldehydes. Bull. Chem. Soc. Jpn. 1968, 41, 2815. [Google Scholar] [CrossRef]
- Baylis, A.B.; Hillman, M.E.D. Acrylic Compounds. German Patent 2,155,113, 10 May 1972. [Google Scholar]
- Lee, C.-G.; Gowrisankar, S.; Kim, J.-N. Synthesis of Substituted Uracil Derivatives from the Acetates of the Baylis-Hillman Adducts. Bull. Korean Chem. Soc. 2005, 26, 481–484. [Google Scholar] [CrossRef]
- Balan, D.; Adolfsson, H. Titanium Isopropoxide as Efficient Catalyst for the Aza-Baylis-Hillman Reaction. Selective Formation of Alpha-Methylene-Beta-Amino Acid Derivatives. J. Org. Chem. 2002, 67, 2329–2334. [Google Scholar] [CrossRef]
- Perlmutter, P.; Chin Teo, C. A Simple Synthesis of 2-Methylidene-3-Aminopropanoates. Tetrahedron Lett. 1984, 25, 5951–5952. [Google Scholar] [CrossRef]
- Declerck, V.; Martinez, J.; Lamaty, F. Aza-Baylis−Hillman Reaction. Chem. Rev. 2009, 109, 1–48. [Google Scholar] [CrossRef]
- Ciganek, E. The Catalyzed α-Hydroxyalkylation and α-Aminoalkylation of Activated Olefins (The Morita-Baylis-Hillman Reaction). Org. React. 2004, 51, 201–350. [Google Scholar] [CrossRef]
- Denmark, S.E.; Beutner, G.L. Lewis Base Catalysis in Organic Synthesis. Angew. Chem. Int. Ed. 2008, 47, 1560–1638. [Google Scholar] [CrossRef]
- Shi, M.; Xu, Y.-M. Lewis Base Effects in the Baylis−Hillman Reaction of Imines with Methyl Vinyl Ketone. Eur. J. Org. Chem. 2002, 2002, 696–701. [Google Scholar] [CrossRef]
- Bertenshaw, S.; Kahn, M. Phosphine Mediated Synthesis of 2-Methylidene-3-Amino Esters and Ketones. Tetrahedron Lett. 1989, 30, 2731–2732. [Google Scholar] [CrossRef]
- Madhavan, S.; Shanmugam, P. Activated Alkene Dependent One-Pot, Three-Component Aza-Morita−Baylis−Hillman Reaction of Ferrocenealdehyde: Synthesis of Highly Functionalized Diverse Ferrocene Derivatives. Org. Lett. 2011, 13, 1590–1593. [Google Scholar] [CrossRef] [PubMed]
- Bosica, G.; Cachia, F.; De Nittis, R.; Mariotti, N. Efficient One-Pot Synthesis of 3, 4-Dihydropyrimidin-2(1H)-ones via a Three-Component Biginelli Reaction. Molecules 2021, 26, 3753. [Google Scholar] [CrossRef] [PubMed]
- Bosica, G.; De Nittis, R.; Borg, R. Solvent-Free, One-Pot, Multicomponent Synthesis of Xanthene Derivatives. Catalysts 2023, 13, 561. [Google Scholar] [CrossRef]
- Baidya, M.; Mayr, H. Nucleophilicities and Carbon Basicities of DBU and DBN. Chem. Commun. 2008, 15, 1792–1794. [Google Scholar] [CrossRef]
- Trombetta, M.; Busca, G.; Lenarda, M.; Storaro, L.; Ganzerla, R.; Piovesan, L.; Jimenez Lopez, A.; Alcantara-Rodrı̀guez, M.; Rodríguez-Castellón, E. Solid Acid Catalysts from Clays: Evaluation of Surface Acidity of Mono- and Bi-Pillared Smectites by FT-IR Spectroscopy Measurements, NH3-TPD and Catalytic Tests. Appl. Catal. A Gen. 2000, 193, 55–69. [Google Scholar] [CrossRef]
- Flessner, U.; Jones, D.J.; Rozière, J.; Zajac, J.; Storaro, L.; Lenarda, M.; Pavan, M.; Jiménez-López, A.; Rodríguez-Castellón, E.; Trombetta, M.; et al. A Study of the Surface Acidity of Acid-Treated Montmorillonite Clay Catalysts. J. Mol. Catal. A Chem. 2001, 168, 247–256. [Google Scholar] [CrossRef]
- Bosica, G.; Abdilla, R.; Demanuele, K.; Fiteni, J. Facile imine synthesis under green conditions using Amberlyst® 15. PeerJ Org. Chem. 2022, 4, e7. [Google Scholar] [CrossRef]
- Harmer, M.A.; Sun, Q. Solid Acid Catalysis Using Ion-Exchange Resins. Appl. Catal. A Gen. 2001, 221, 45–62. [Google Scholar] [CrossRef]
- Dunn, P.J. The Importance of Green Chemistry in Process Research and Development. Chem. Soc. Rev. 2012, 41, 1452–1461. [Google Scholar] [CrossRef]
- Alfonsi, K.; Colberg, J.; Dunn, P.J.; Fevig, T.; Jennings, S.; Johnson, T.A.; Kleine, H.P.; Knight, C.; Nagy, M.A.; Perry, D.A. Green Chemistry Tools to Influence a Medicinal Chemistry and Research Chemistry Based Organisation. Green Chem. 2008, 10, 31–36. [Google Scholar] [CrossRef]
- Anastas, P.T.; Constable, D.; Jiménez-González, C.C. Green Metrics; John Wiley & Sons: Hoboken, NJ, USA, 2018; Volume 11. [Google Scholar]
- Sheldon, R.A. Metrics of Green Chemistry and Sustainability: Past, Present, and Future. ACS Sustain. Chem. Eng. 2018, 6, 32–48. [Google Scholar] [CrossRef]
- Beach, E.S.; Cui, Z.; Anastas, P.T. Green Chemistry: A Design Framework for Sustainability. Energy Environ. Sci. 2009, 2, 1038–1049. [Google Scholar] [CrossRef]
- Sheldon, R.A. Organic Synthesis-Past, Present and Future. Chem. Ind. 1992, 23, 903–906. [Google Scholar]
- Sheldon, R.A. The E Factor: Fifteen Years On. Green Chem. 2007, 9, 1273–1283. [Google Scholar] [CrossRef]
- Siril, P.F.; Davison, A.D.; Randhawa, J.K.; Brown, D.R. Acid Strengths and Catalytic Activities of Sulfonic Acid on Polymeric and Silica Supports. J. Mol. Catal. A Chem. 2007, 267, 72–78. [Google Scholar] [CrossRef]
- Mi, X.; Luo, S.; Xu, H.; Zhang, L.; Cheng, J.-P. Hydroxyl Ionic Liquid (HIL)-Immobilized Quinuclidine for Baylis–Hillman Catalysis: Synergistic Effect of Ionic Liquids as Organocatalyst Supports. Tetrahedron 2006, 62, 2537–2544. [Google Scholar] [CrossRef]
- Yoshikawa, K.; Kobayashi, S.; Nakamoto, Y.; Haginoya, N.; Komoriya, S.; Yoshino, T.; Nagata, T.; Mochizuki, A.; Watanabe, K.; Suzuki, M.; et al. Design, Synthesis, and SAR of Cis-1,2-Diaminocyclohexane Derivatives as Potent Factor Xa Inhibitors. Part II: Exploration of 6–6 Fused Rings as Alternative S1 Moieties. Bioorg. Med. Chem. 2009, 17, 8221–8233. [Google Scholar] [CrossRef]






![]() | ||
| Entry | Catalyst | Yield (%) a |
| 1 | Triethylamine | 0 |
| 2 | DMAP | 18 |
| 3 | DBU | 28 |
| 4 | DABCO | 79 |
| 5 | 3-HQD | 85 |
| 6 | PPh3 | 14 |
| 7 | Amberlyst-21 | 0 |
| 8 | Amberlyst-26 hydroxide | 0 |
| 9 | Amberlite IRA-400 chloride | 0 |
![]() | ||||
| Entry | Acid Catalyst (Quantity) | Base Catalyst (Quantity) | Temperature (°C) | Yield a (%) |
| 1 | - | - | R.T. | / b |
| 2 | - | PPh3 (15 mol%) | 40 | / |
| 3 | - | DIPEA (15 mol%) | R.T. | / |
| 4 | - | DMAP (15 mol%) | R.T. | / |
| 5 | - | DBU (15 mol%) | R.T. | / |
| 6 | - | DABCO (15 mol%) | R.T. | 48 |
| 7 | - | DABCO (15 mol%) | 100 | / |
| 8 | - | DABCO (30 mol%) | R.T. | 52 |
| 9 | - | 3-HQD (15 mol%) | R.T. | 35 |
| 10 | - | Amberlyst-21 (15 mol%) | R.T. | / |
| 11 | Neutral alumina (5 mol%) | DABCO (30 mol%) | R.T. | 57 |
| 12 | Acidic alumina (5 mol%) | DABCO (30 mol%) | R.T. | 63 |
| 13 | Montmorillonite K10 (5 mol%) | DABCO (30 mol%) | R.T. | 66 |
| 14 | Montmorillonite K30 (5 mol%) | DABCO (30 mol%) | R.T. | 66 |
| 15 | Amberlyst® 15 (5 mol%) | DABCO (30 mol%) | R.T. | 77 |
| 16 | Nafion® NR50 (5 mol%) | DABCO (30 mol%) | R.T. | 56 |
| 17 | Amberlyst® 15 (5 mol%) | 3-HQD (30 mol%) | R.T. | 53 |
| 18 | Amberlyst® 15 (5 mol%) | PPh3 (30 mol%) | R.T. | 9 |
| 19 | Amberlyst® 15 (5 mol%) | DBU (30 mol%) | R.T. | 28 |
![]() | |||||
| Entry | Acid Catalyst Amberlyst® 15 (Quantity) | Base Catalyst DABCO (Quantity) | Temperature (°C) | Solvent (200 μL) | Yield a (%) |
| 1 | (50 mol%) | (30 mol%) | R.T. | Propan-2-ol | 8 |
| 2 | (30 mol%) | (30 mol%) | R.T. | Propan-2-ol | 24 |
| 3 | (5 mol%) | (20 mol%) | R.T. | Propan-2-ol | 75 |
| 4 | (5 mol%) | (10 mol%) | R.T. | Propan-2-ol | 75 |
| 5 b | (5 mol%) | (10 mol%) | R.T. | Propan-2-ol | 71 |
| 6 | (5 mol%) | (10 mol%) | 40 | Propan-2-ol | 64 |
| 7 | (5 mol%) | (10 mol%) | 60 | Propan-2-ol | 46 |
| 8 | (5 mol%) | (10 mol%) | Reflux | Propan-2-ol | / c |
| 9 | (5 mol%) | (10 mol%) | R.T. | Solventless | 58 |
| 10 | (5 mol%) | (10 mol%) | R.T. | Methanol | 61 |
| 11 | (5 mol%) | (10 mol%) | R.T. | Acetonitrile | 55 |
| 12 | (5 mol%) | (10 mol%) | R.T. | Tetrahydrofuran | 55 |
| 13 | (5 mol%) | (10 mol%) | R.T. | 2-Methyltetrahydrofuran | 74 |
![]() | |||
| Entry a | Aldehyde | Product | Yield (%) b |
| 1 | ![]() (1a) | ![]() (6a) | 75 |
| 2 | ![]() (1b) | ![]() (6b) | 75 |
| 3 | ![]() (1c) | ![]() (6c) | 81 |
| 4 | ![]() (1d) | ![]() (6d) | 81 |
| 5 | ![]() (1e) | ![]() (6e) | 74 |
| 6 | ![]() (1f) | ![]() (6f) | 62 |
| 7 | ![]() (1g) | ![]() (6g) | 60 |
| 8 | ![]() (1h) | ![]() (6h) | 60 |
| 9 | ![]() (1i) | ![]() (6i) | 52 |
| 10 | ![]() (1j) | ![]() (6j) | 57 |
| 11 | ![]() (1k) | ![]() (6k) | 42 |
| 12 | ![]() (1l) | ![]() (6l) | 53 |
| Alkene | |||
| 13 | ![]() (2a) | ![]() (6m) | 83 |
| 14 | ![]() (2b) | ![]() (6n) | 69 |
| Reagent | Quantities | Waste |
|---|---|---|
| p-Toluenesulfonamide | 2.5 mmol | - |
| Benzaldehyde | 2.5 mmol | - |
| Methyl acrylate | 2.75 mmol | 0.25 mmol = 0.022 g |
| Amberlyst® 15 | 5 mol% | Recyclable |
| DABCO | 10 mol% | 0.028 g |
| Molecular sieves | 0.3 g | Recyclable |
| Propan-2-ol | 250 μL | 0.196 g |
| Waste generated: | 0.246 g | |
| Extra waste (side products and non-converted reagents): | 0.216 g | |
| Total actual waste generated: | 0.246 + 0.216 = 0.462 g | |
Disclaimer/Publisher’s Note: The statements, opinions and data contained in all publications are solely those of the individual author(s) and contributor(s) and not of MDPI and/or the editor(s). MDPI and/or the editor(s) disclaim responsibility for any injury to people or property resulting from any ideas, methods, instructions or products referred to in the content. |
© 2024 by the authors. Licensee MDPI, Basel, Switzerland. This article is an open access article distributed under the terms and conditions of the Creative Commons Attribution (CC BY) license (https://creativecommons.org/licenses/by/4.0/).
Share and Cite
Bosica, G.; De Nittis, R.; Vella Refalo, M. DABCO/Amberlyst® 15-Cocatalysed One-Pot Three-Component Aza-Morita–Baylis–Hillman Reaction Under Green Conditions. Catalysts 2024, 14, 873. https://doi.org/10.3390/catal14120873
Bosica G, De Nittis R, Vella Refalo M. DABCO/Amberlyst® 15-Cocatalysed One-Pot Three-Component Aza-Morita–Baylis–Hillman Reaction Under Green Conditions. Catalysts. 2024; 14(12):873. https://doi.org/10.3390/catal14120873
Chicago/Turabian StyleBosica, Giovanna, Riccardo De Nittis, and Matthew Vella Refalo. 2024. "DABCO/Amberlyst® 15-Cocatalysed One-Pot Three-Component Aza-Morita–Baylis–Hillman Reaction Under Green Conditions" Catalysts 14, no. 12: 873. https://doi.org/10.3390/catal14120873
APA StyleBosica, G., De Nittis, R., & Vella Refalo, M. (2024). DABCO/Amberlyst® 15-Cocatalysed One-Pot Three-Component Aza-Morita–Baylis–Hillman Reaction Under Green Conditions. Catalysts, 14(12), 873. https://doi.org/10.3390/catal14120873

































