A Green Chemistry Approach to Catalytic Synthesis of Ethyl Levulinate
Abstract
1. Introduction
2. Results and Discussion
2.1. Phase Behaviour Studies
2.2. Conventional Esterification of Levulinic Acid with Ethanol
2.2.1. Effect of the Catalyst Loading
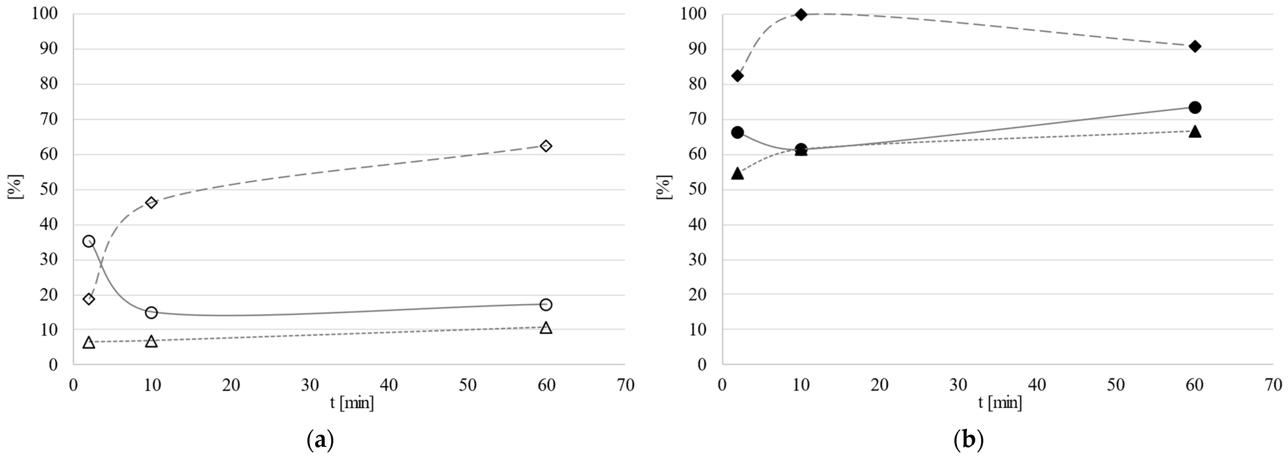
2.2.2. Effect of the Temperature
2.2.3. Effect of the Reaction Time
2.2.4. Effect of Substrates Ratio
2.2.5. Potential Mechanism
2.3. Esterification Reaction with Alternative Energy Inputs
2.3.1. Ultrasound-Assisted Esterification
2.3.2. Mechanosynthesis of Ethyl Levulinate
2.3.3. Microwave-Induced Esterification of Levulinic Acid
2.4. Comparison with the Literature Data
2.5. Benefits and Limitations
3. Materials and Methods
3.1. Materials
3.2. Apparatus and Experimental Procedure
3.2.1. Preparation of DES
3.2.2. Determination of Binodal Curves
3.2.3. Esterification Reaction
3.2.4. Analysis
4. Conclusions
Supplementary Materials
Author Contributions
Funding
Data Availability Statement
Acknowledgments
Conflicts of Interest
References
- Hoydonckx, H.E.; De Vos, D.E.; Chavan, S.A.; Jacobs, P.A. Esterification and transesterification of renewable chemicals. Top. Catal. 2004, 27, 83–96. [Google Scholar] [CrossRef]
- Khan, Z.; Javed, F.; Shamair, Z.; Hafeez, A.; Fazal, T.; Aslam, A.; Zimmerman, W.B.; Rehman, F. Current developments in esterification reaction: A review on process and parameters. J. Ind. Eng. Chem. 2021, 103, 80–101. [Google Scholar] [CrossRef]
- Werpy, T.; Petersen, G. Top Value Added Chemicals from Biomass Volume 1. In Results of Screening for Potential Candidates from Sugars and Synthesis Gas; U.S. Department of Energy (DOE): Golden, CO, USA, 2004; DOE/GO-102004-1992; Available online: https://www.nrel.gov/docs/fy04osti/35523.pdf (accessed on 10 September 2024).
- Badgujara, K.C.; Badgujara, V.C.; Bhanage, B.M. A review on catalytic synthesis of energy rich fuel additive levulinate compounds from biomass derived levulinic acid. Fuel Process. Technol. 2020, 197, 106213. [Google Scholar] [CrossRef]
- Leal Silva, J.F.; Grekin, R.; Pinto Mariano, A.; Maciel Filho, R. Making Levulinic Acid and Ethyl Levulinate Economically Viable: A Worldwide Technoeconomic and Environmental Assessment of Possible Routes. Energy Technol. 2018, 6, 613–639. [Google Scholar] [CrossRef]
- Ahmad, E.; Imteyaz Alam, M.d.; Pant, K.K.; Ali Haider, M. Catalytic and mechanistic insights into the production of ethyl levulinate from biorenewable feedstocks. Green Chem. 2016, 18, 4804–4823. [Google Scholar] [CrossRef]
- Shan, J.; Wang, Q.; Hao, H.; Guo, H. Critical Review on the Synthesis of Levulinate Esters from Biomass-Based Feedstocks and Their Application. Ind. Eng. Chem. Res. 2023, 62, 17135–17147. [Google Scholar] [CrossRef]
- Liu, P.; Hao, J.-W.; Mo, L.-P.; Zhang, Z.-H. Recent advances in the application of deep eutectic solvents as sustainable media as well as catalysts in organic reactions. RSC Adv. 2015, 5, 48675–48704. [Google Scholar] [CrossRef]
- Ünlü, E.; Arıkaya, A.; Takaç, S. Use of deep eutectic solvents as catalyst: A mini-review. Green Process Synth. 2019, 8, 355–372. [Google Scholar] [CrossRef]
- Qin, H.; Hu, X.; Wang, J.; Cheng, H.; Chen, L.; Qi, Z. Overview of acidic deep eutectic solvents on synthesis, properties and applications. Green Energy Environ. 2020, 5, 8–21. [Google Scholar] [CrossRef]
- Kalhor, P.; Ghandi, K. Deep Eutectic Solvents as Catalysts for Upgrading Biomass. Catalysts 2021, 11, 178. [Google Scholar] [CrossRef]
- Smith, E.L.; Abbott, A.P.; Ryder, K.S. Deep Eutectic Solvents (DESs) and Their Applications. Chem. Rev. 2014, 114, 11060–11082. [Google Scholar] [CrossRef]
- Hansen, B.B.; Spittle, S.; Chen, B.; Poe, D.; Zhang, Y.; Klein, J.M.; Horton, A.; Adhikari, L.; Zelovich, T.; Doherty, B.W.; et al. Deep Eutectic Solvents: A Review of Fundamentals and Applications. Chem. Rev. 2021, 121, 1232–1285. [Google Scholar] [CrossRef] [PubMed]
- De Santi, V.; Cardellini, F.; Brinchi, L.; Germani, R. Novel Brønsted acidic deep eutectic solvent as reaction media for esterification of carboxylic acid with alcohols. Tetrahedron Lett. 2012, 53, 5151–5155. [Google Scholar] [CrossRef]
- Sunitha, S.; Kanjilal, S.; Reddy, P.S.; Prasad, R.B.N. Liquid–liquid biphasic synthesis of long chain wax esters using the Lewis acidic ionic liquid choline chloride-2ZnCl2. Tetrahedron Lett. 2007, 48, 6962–6965. [Google Scholar] [CrossRef]
- Li, Z.; Liu, W.; Yang, G. Solvent-free synthesis of oleic acid-based wax esters using recyclable acidic deep eutectic solvent. Grasas Aceites 2022, 73, e444. [Google Scholar] [CrossRef]
- Hayyan, A.; Hashim, M.A.; Hayyan, M.; Mjalli, F.S.; AlNashef, I.M. A new processing route for cleaner production of biodiesel fuel using a choline chloride based deep eutectic solvent. J. Clean. Prod. 2014, 65, 246–251. [Google Scholar] [CrossRef]
- Hayyan, A.; Hashim, M.A.; Mjalli, F.S.; Hayyan, M.; AlNashef, I.M. A novel phosphonium-based deep eutectic catalyst for biodiesel production from industrial low grade crude palm oil. Chem. Eng. Sci. 2013, 92, 81–88. [Google Scholar] [CrossRef]
- Qin, H.; Song, Z.; Zeng, Q.; Cheng, H.; Chen, L.; Qi, Z. Bifunctional Imidazole-PTSA Deep Eutectic Solvent for Synthesizing Long-Chain Ester IBIBE in Reactive Extraction. AIChE J. 2019, 65, 675–683. [Google Scholar] [CrossRef]
- Wang, R.; Qin, H.; Song, Z.; Cheng, H.; Chen, L.; Qi, Z. Toward reactive extraction processes for synthesizing long-chain esters: A general approach by tuning bifunctional deep eutectic solvent. Chem. Eng. J. 2022, 445, 136664. [Google Scholar] [CrossRef]
- Cao, J.; Qi, B.; Liu, J.; Shang, Y.; Liu, H.; Wang, W.; Lv, J.; Chen, Z.; Zhang, H.; Zhou, X. Deep eutectic solvent choline chloride·2CrCl3·6H2O: An efficient catalyst for esterification of formic and acetic acid at room temperature. RSC Adv. 2016, 6, 21612–21616. [Google Scholar] [CrossRef]
- Taysun, M.B.; Sert, E.; Atalay, F.S. Physical properties of benzyl tri-methyl ammonium chloride based deep eutectic solvents and employment as catalyst. J. Mol. Liq. 2016, 223, 845–852. [Google Scholar] [CrossRef]
- Sert, M. Catalytic effect of acidic deep eutectic solvents for the conversion of levulinic acid to ethyl levulinate. Renew. Energy 2020, 153, 1155–1162. [Google Scholar] [CrossRef]
- Maugeri, Z.; Leitner, W.; Domínguez de María, P. Practical separation of alcohol–ester mixtures using Deep-Eutectic-Solvents. Tetrahedron Lett. 2012, 53, 6968–6971. [Google Scholar] [CrossRef]
- Samarov, A.; Prikhodko, I.; Shner, N.; Sadowski, G.; Held, C.; Toikka, A. Liquid−Liquid Equilibria for Separation of Alcohols from Esters Using Deep Eutectic Solvents Based on Choline Chloride: Experimental Study and Thermodynamic Modeling. J. Chem. Eng. Data 2019, 64, 6049–6059. [Google Scholar] [CrossRef]
- Samarov, A.; Shner, N.; Mozheeva, E.; Toikka, A. Liquid-liquid equilibrium of alcohol–ester systems with deep eutectic solvent on the base of choline chloride. J. Chem. Thermodyn. 2019, 131, 369–374. [Google Scholar] [CrossRef]
- Williams, R. pKa Values in Water Compilation. ACS Division of Organic Chemistry, updated 4/7/2022. Available online: https://organicchemistrydata.org/hansreich/resources/pka/pka_data/pka-compilation-williams.pdf (accessed on 20 September 2024).
- Brown, R.L.; Stein, S.E. Boiling Point Data in NIST Chemistry WebBook. In NIST Standard Reference Database Number 69; Linstrom, P.J., Mallard, W.G., Eds.; National Institute of Standards and Technology: Gaithersburg, MD, USA, 2013; p. 20899. [Google Scholar] [CrossRef]
- Rodriguez Rodriguez, N.; van den Bruinhorst, A.; Kollau, L.J.B.M.; Kroon, M.C.; Binnemans, K. Degradation of Deep-Eutectic Solvents Based on Choline Chloride and Carboxylic Acids. ACS Sustainable Chem. Eng. 2019, 7, 11521–11528. [Google Scholar] [CrossRef]
- Florindo, C.; Oliveira, F.S.; Rebelo, L.P.N.; Fernandes, A.M.; Marrucho, I.M. Insights into the Synthesis and Properties of Deep Eutectic Solvents Based on Cholinium Chloride and Carboxylic Acids. ACS Sustainable Chem. Eng. 2014, 2, 2416–2425. [Google Scholar] [CrossRef]
- Abbott, A.P.; Boothby, D.; Capper, G.; Davies, D.L.; Rasheed, R.K. Deep Eutectic Solvents Formed between Choline Chloride and Carboxylic Acids: Versatile Alternatives to Ionic Liquids. J. Am. Chem. Soc. 2004, 126, 9142–9147. [Google Scholar] [CrossRef]
- Chen, W.; Xue, Z.; Wang, J.; Jiang, J.; Zhao, X.; Mu, T. Investigation on the Thermal Stability of Deep Eutectic Solvents. Acta Phys.-Chim. Sin. 2018, 34, 904–911. [Google Scholar] [CrossRef]
- Veljković, V.B.; Avramović, J.M.; Stamenković, O.S. Biodiesel production by ultrasound-assisted transesterification: State of the art and the perspectives. Renew. Sustain. Energy Rev. 2012, 16, 1193–1209. [Google Scholar] [CrossRef]
- Malek, M.N.F.A.; Hussin, N.M.; Embong, N.H.; Bhuyar, P.; Rahim, M.H.A.; Govindan, N.; Maniam, G.P. Ultrasonication: A process intensification tool for methyl ester synthesis: A mini review. Biomass Conv. Bioref. 2023, 13, 1457–1467. [Google Scholar] [CrossRef]
- Gaudino, E.C.; Cravotto, G.; Manzoli, M.; Tabasso, S. Sono- and mechanochemical technologies in the catalytic conversion of biomass. Chem. Soc. Rev. 2021, 50, 1785–1812. [Google Scholar] [CrossRef] [PubMed]
- Gilet, A.; Quettier, C.; Wiatz, V.; Bricout, H.; Ferreira, M.; Rousseau, C.; Monflier, E.; Tilloy, S. Unconventional media and technologies for starch etherification and esterification. Green Chem. 2018, 20, 1152–1168. [Google Scholar] [CrossRef]
- Russo, V.; Hrobar, V.; Mäki-Arvela, P.; Eränen, K.; Sandelin, F.; Di Serio, M.; Salmi, T. Kinetics and Modelling of Levulinic Acid Esterification in Batch and Continuous Reactors. Top. Catal. 2018, 61, 1856–1865. [Google Scholar] [CrossRef]
- Negus, M.P.; Mansfield, A.C.; Leadbeater, N.E. The preparation of ethyl levulinate facilitated by flow processing: The catalyzed and uncatalyzed esterification of levulinic acid. J. Flow Chem. 2015, 5, 148–150. [Google Scholar] [CrossRef]
- Ahmad, E.; Alam, M.I.; Pant, K.K.; Haider, M.A. Insights into the Synthesis of Ethyl Levulinate under Microwave and Nonmicrowave Heating Conditions. Ind. Eng. Chem. Res. 2019, 58, 16055–16064. [Google Scholar] [CrossRef]
- Martins, F.P.; Rodrigues, F.A.; Silva, M.J. Fe2(SO4)3-catalyzed levulinic acid esterification: Production of fuel bioadditives. Energies 2018, 11, 1263. [Google Scholar] [CrossRef]
- Huang, Y.B.; Yang, T.; Cai, B.; Chang, X.; Pan, H. Highly efficient metal salt catalyst for the esterification of biomass derived levulinic acid under microwave irradiation. RSC Adv. 2016, 6, 2106–2111. [Google Scholar] [CrossRef]
- Castro, G.A.D.; Fernandes, S.A. Microwave-assisted green synthesis of levulinate esters as biofuel precursors using calix[4]arene as an organocatalyst under solvent-free conditions. Sustain. Energy Fuels 2021, 5, 108–111. [Google Scholar] [CrossRef]
- Wang, J.; Wang, J.; Cui, H.; Li, Z.; Wang, M.; Yi, W. Spontaneous Biphasic System with Lithium Chloride Hydrate for Efficient Esterification of Levulinic Acid. Chem. Sel. 2022, 7, e202200347. [Google Scholar] [CrossRef]
- Kalghatgi, S.G.; Bhanage, B.M. Green syntheses of levulinate esters using ionic liquid 1-methyl imidazolium hydrogen sulphate [MIM][HSO4] in solvent free system. J. Mol. Liq. 2019, 281, 70–80. [Google Scholar] [CrossRef]
- Zeng, Q.; Song, Z.; Qin, H.; Cheng, H.; Chen, L.; Pan, M.; Heng, Y.; Qi, Z. Ionic liquid [BMIm][HSO4] as dual catalyst-solvent for the esterification of hexanoic acid with n-butanol. Catal. Today 2020, 339, 113–119. [Google Scholar] [CrossRef]
- Zeng, Q.; Qin, H.; Cheng, H.; Chen, L.; Qi, Z. Development of a reactive extraction process for isobutyl isobutyrate formation intensified by bifunctional ionic liquid. Chem. Eng. Sci. 2019, 1, 100001. [Google Scholar] [CrossRef]
- Liu, H.; Chen, X.; Zhang, Y.; Lu, M.; Lyu, H.; Han, L.; Xiao, W. Alcoholysis of Ball-Milled Corn Stover: The Enhanced Conversion of Carbohydrates into Biobased Chemicals over Combination Catalysts of [Bmim-SO3H][HSO4] and Al2(SO4)3. Energy Fuels 2020, 34, 7085–7093. [Google Scholar] [CrossRef]
- Fuchineco, D.A.B.; Heredia, A.C.; Mendoza, S.M.; Rodríguez-Castellón, E.; Crivello, M.E. Production of Levulinic Esters by Heterogeneous Catalysis with Zr Metal−Organic Frameworks in Pressure Reactors. Ind. Eng. Chem. Res. 2022, 61, 17821–17832. [Google Scholar] [CrossRef]
- Lanaya, S.; Jemli, Y.E.; Khallouk, K.; Abdelouahdi, K.; Hannioui, A.; Solhy, A.; Barakat, A. Sulfated Well-Defined Mesoporous Nanostructured Zirconia for Levulinic Acid Esterification. ACS Omega 2022, 7, 27839–27850. [Google Scholar] [CrossRef] [PubMed]
- Kaul, A. The Phase Diagram. In Aqueous Two-Phase Systems: Methods and Protocols. Methods in Biotechnology; Hatti-Kaul, R., Ed.; Humana Press: Totowa, NJ, USA, 2000; Volume 11. [Google Scholar]
- Bogel-Łukasik, E.; Lourenço, C.; Zakrzewska, M.E.; Bogel-Łukasik, R. Insight into the Phase Equilibrium Phenomena of Systems Containing Dienes and Dicyanamide Ionic Liquids as a New Potential Application. J. Phys. Chem. B 2010, 114, 15605–15609. [Google Scholar] [CrossRef]
- Bogel-Łukasik, R.; Matkowska, D.; Zakrzewska, M.E.; Bogel-Łukasik, E.; Hofman, T. The phase envelopes of alternative solvents (ionic liquid, CO2) and building blocks of biomass origin (lactic acid, propionic acid). Fluid. Phase Equilibr. 2010, 295, 177–185. [Google Scholar] [CrossRef]












| Phase | Acid | Alcohol | Catalyst | Alcohol:acid Molar Ratio | T [K] | t [min] | Energy Input 1 | Acid Conversion [%] | Ref. |
|---|---|---|---|---|---|---|---|---|---|
| Homogeneous | levulinic | ethanol | H2SO4 | 5:1 | 343.15 | ~180 | conv. | ~72 | [37] |
| 10:1 | 393.15 | 5 | MW | 100 | [38] | ||||
| pTSA | 10:1 | 393.15 | 5 | MW | 100 | ||||
| 5:1 | 393.15 | 5 | MW | 80 | |||||
| 5:1 | 393.15 | 30 | MW | 80 | |||||
| silicotungstic acid | 42:1 | 353.15 | 5 | conv. | 5 | [39] | |||
| 42:1 | 353.15 | 90 | conv. | ~82 | |||||
| 42:1 | 353.15 | 5 | MW | ~8 | |||||
| 42:1 | 353.15 | 90 | MW | ~84 | |||||
| Fe2(SO4)3 | 3:1 | 333.15 | ~180 | conv. | ~88 | [40] | |||
| Al2(SO4)3 | 240:1 | 383.15 | 150 | MW | ~95 | [41] | |||
| p-sulfonic acid calix[4]arene | 1:1 | 353.15 | 2.5 | conv. | 49 2 | [42] | |||
| 1:1 | 353.15 | 2.5 | conv. | 99 2 | |||||
| ChCl:p-TSA (3:7) | 5:1 | 343.15 | 180 | conv. | ~90 | [23] | |||
| ChCl:p-TSA (1:1) | 5:1 | 343.15 | 180 | conv. | 100 | [this work] | |||
| 5:1 | 343.15 | 60 | MW | 73 | |||||
| 5:1 | 393.15 | 10 | MW | 74 | |||||
| 5:1 | 343.15 | 10 | MW | 62 | |||||
| 5:1 | 301.15 | 10 | MECH | 70 | |||||
| 5:1 | 343.15 | 10 | US | 68 | |||||
| ChCl:OxAc (1:1) | 5:1 | 343.15 | 180 | conv. | 17 | ||||
| 5:1 | 343.15 | 10 | conv. | 8 | |||||
| 5:1 | 343.15 | 10 | MW | 15 | |||||
| 5:1 | 301.15 | 10 | MECH | 70 | |||||
| 5:1 | 343.15 | 10 | US | 18 | |||||
| Homogeneous with in situ phase split | levulinic | butanol | LiCl·3H2O, AlCl3 | 2:1 | 373.15 | 150 | conv. | ~80 | [43] |
| 2:1 | 373.15 | 150 | MW | ~95 | |||||
| [mim][HSO4] | 1.5:1 | 343.15 | 180 | conv. | ~65 | [44] | |||
| haxanoic | butanol | [bmim][HSO4] | 1.75:1 | 343.15 | 180 | conv. | ~95 | [45] | |
| isobutyric | isobutanol | [bmim][HSO4] | 1:2 | 353.15 | 180 | conv. | ~90 | [46] | |
| acetic | butanol | ChCl:2Cr3·6H2O (1:2) | 1:5 | 298.15 | 1440 | conv. | 93 | [21] | |
| isobutyric | isobutanol | imidazole:pTSA | 5:1 | 353.15 | 180 | conv. | 93 | [19] | |
| palmitic | cetyl | ChCl:2ZnCl2 (1:2) | 1:1 | 383.15 | 720 | conv. | 90 | [15] | |
| oleic | cetyl | ChCl:pTSA (1:4) | 1:1.5 | 343.15 | 180 | conv. | 99 | [16] |
Disclaimer/Publisher’s Note: The statements, opinions and data contained in all publications are solely those of the individual author(s) and contributor(s) and not of MDPI and/or the editor(s). MDPI and/or the editor(s) disclaim responsibility for any injury to people or property resulting from any ideas, methods, instructions or products referred to in the content. |
© 2024 by the authors. Licensee MDPI, Basel, Switzerland. This article is an open access article distributed under the terms and conditions of the Creative Commons Attribution (CC BY) license (https://creativecommons.org/licenses/by/4.0/).
Share and Cite
Sušjenka, M.; Prašnikar, F.; Jakovljević Kovač, M.; Molnar, M.; Fernandes, L.; Nunes, A.V.M.; Duarte, A.R.C.; Zakrzewska, M.E. A Green Chemistry Approach to Catalytic Synthesis of Ethyl Levulinate. Catalysts 2024, 14, 842. https://doi.org/10.3390/catal14120842
Sušjenka M, Prašnikar F, Jakovljević Kovač M, Molnar M, Fernandes L, Nunes AVM, Duarte ARC, Zakrzewska ME. A Green Chemistry Approach to Catalytic Synthesis of Ethyl Levulinate. Catalysts. 2024; 14(12):842. https://doi.org/10.3390/catal14120842
Chicago/Turabian StyleSušjenka, Martina, Fran Prašnikar, Martina Jakovljević Kovač, Maja Molnar, Luz Fernandes, Ana Vital Marques Nunes, Ana Rita Cruz Duarte, and Małgorzata Ewa Zakrzewska. 2024. "A Green Chemistry Approach to Catalytic Synthesis of Ethyl Levulinate" Catalysts 14, no. 12: 842. https://doi.org/10.3390/catal14120842
APA StyleSušjenka, M., Prašnikar, F., Jakovljević Kovač, M., Molnar, M., Fernandes, L., Nunes, A. V. M., Duarte, A. R. C., & Zakrzewska, M. E. (2024). A Green Chemistry Approach to Catalytic Synthesis of Ethyl Levulinate. Catalysts, 14(12), 842. https://doi.org/10.3390/catal14120842

